Soil Efflux of Carbon Dioxide in Brazilian Cerrado Wheat (Triticum aestivum L.) under Variable Soil Preparation and Irrigation
Abstract
1. Introduction
2. Materials and Methods
3. Results and Discussion
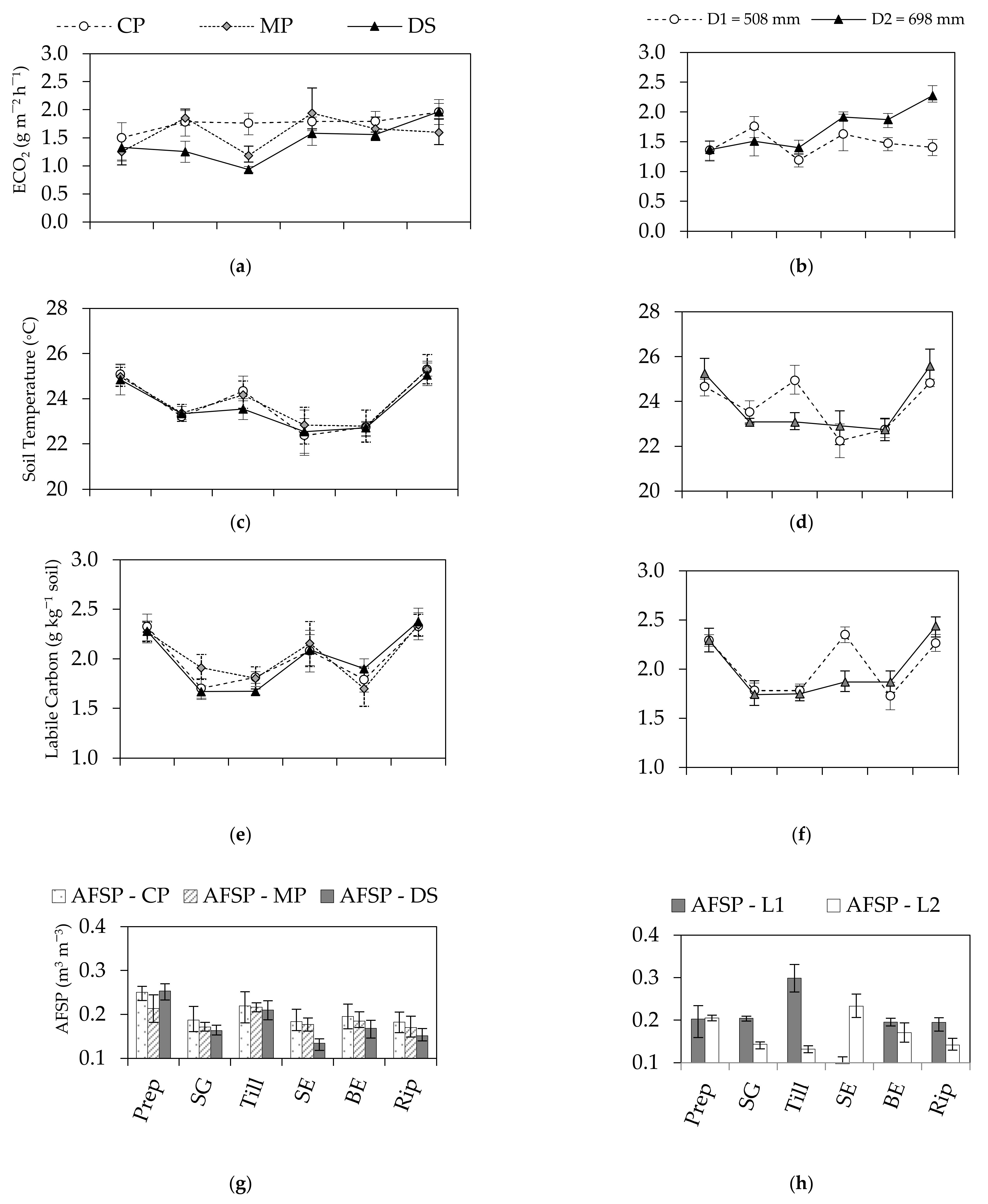
3.1. Soil Carbon Dioxide Emissions
3.2. Contrast with and Context within Prior Research
4. Conclusions
Author Contributions
Funding
Institutional Review Board Statement
Informed Consent Statement
Data Availability Statement
Acknowledgments
Conflicts of Interest
References
- Kuzyakov, Y. Sources of CO2 efflux from soil and review of partitioning methods. Soil Biol. Biochem. 2006, 38, 425–448. [Google Scholar] [CrossRef]
- Kuzyakov, Y.; Domanski, G. Carbon input by plants into the soil. Review. J. Plant. Nutr. Soil Sci. 2000, 163, 421–431. [Google Scholar] [CrossRef]
- Shao, R.; Deng, L.; Yang, Q.; Shangguan, Z. Nitrogen fertilization increase soil carbon dioxide efflux of winter wheat field: A case study in Northwest China. Soil Till. Res. 2014, 143, 164–171. [Google Scholar] [CrossRef]
- Schiavo, J.A.; Colordro, G. Agregação e resistência à penetração de um Latossolo Vermelho sob sistema de integração. Bragantia 2012, 71, 406–412. [Google Scholar] [CrossRef]
- Guan, D.; Zhang, Y.; Al-Kaisi, M.M.; Wang, Q.; Zhang, M.; Li, Z. Tillage practices effect on root distribution and water use efficiency of winter wheat under rain-fed condition in the North China Plain. Soil Till. Res. 2015, 146 Pt B, 286–295. [Google Scholar] [CrossRef]
- Dong, W.; Hu, C.; Chen, S.; Zhang, Y. Tillage and residue management effects on soil carbon and CO2 emission in a wheat-corn double-cropping system. Nutr. Cycl. Agroecosyst. 2009, 83, 27. [Google Scholar] [CrossRef]
- Zhang, H.; Wang, X.; Feng, Z.; Pang, J.; Lu, F.; Ouyang, Z.; Zheng, H.; Liu, W.; Hui, D. Soil temperature and moisture sensitivities of soil CO2 efflux before and after tillage in a wheat field of Loess Plateau, China. J. Environ. Sci. 2011, 23, 79–86. [Google Scholar] [CrossRef]
- Zhang, H.; Zhou, X.; Lu, F.; Pang, J.; Feng, Z.; Liu, W.; Ouyang, Z.; Wang, X. Seasonal dynamics of soil CO2 efflux in a conventional tilled wheat field of the Loess Plateau, China. Ecol. Res. 2011, 26, 735–743. [Google Scholar] [CrossRef]
- Peterson, B.L.; Hanna, L.; Steiner, J.L. Reduced soil disturbance: Positive effects on greenhouse gas efflux and soil N losses in winter wheat systems of the southern plains. Soil Till. Res. 2019, 191, 317–326. [Google Scholar] [CrossRef]
- Eshel, G.; Lifschitz, D.; Bonfil, D.J.; Sternberg, M. Carbon exchange in rainfed wheat fields: Effects of long-term tillage and fertilization under arid conditions. Agric. Ecosyst. Enviorn. 2014, 195, 112–119. [Google Scholar] [CrossRef]
- Zakharova, A.; Midwood, A.J.; Hunt, J.E.; Graham, S.L.; Artz, R.R.E.; Turnbull, M.H.; Whitehead, D.; Millard, P. Loss of labile carbon following soil disturbance determined by measurement of respired δ13 CO2. Soil Biol. Biochem. 2014, 68, 125–132. [Google Scholar] [CrossRef]
- Pandey, D.; Agrawal, M.; Bohra, J.S.; Adhya, T.K.; Battacharyya, P. Recalcitrant and labile carbon pools in a sub-humid tropical soil under different tillage combinations: A case study of rice–wheat system. Soil Till. Res. 2014, 143, 116–122. [Google Scholar] [CrossRef]
- La Scala, J.N.; Bolonhezi, D.; Pereira, G.T. Short-term soil CO2 emission after conventional and reduced tillage of a no-till sugar cane area in southern Brazil. Soil Till. Res. 2006, 91, 244–248. [Google Scholar] [CrossRef]
- Chavez, L.F.; Amado, T.J.C.; Bayer, C.; La Scala, J.N.; Escobar, L.F.; Fiorin, J.E.; Campos, B.H.C.D. Carbon dioxide efflux in a rhodic hapludox as affected by tillage systems in southern Brazil. Rev. Brasil. Ciên. Solo 2009, 33, 325–334. [Google Scholar] [CrossRef]
- Teixeira, L.G.; Fukuda, A.; Panosso, A.R.; Lopes, A.; La Scala, J.N. Soil CO2 emission as related to incorporation of sugarcane crop residues and aggregate breaking after rotary tiller. Eng. Agríc. 2011, 31, 1075–1084. [Google Scholar] [CrossRef][Green Version]
- Wood, T.E.; Detto, M.; Silver, W.L. Sensitivity of Soil Respiration to Variability in Soil Moisture and Temperature in a Humid Tropical Forest. PLoS ONE 2013, 8, e80965. [Google Scholar] [CrossRef]
- Sierra, C.A.; Trumbore, S.E.; Davidson, E.A.; Vicca, S.; Janssens, I. Sensitivity of decomposition rates of soil organic matter with respect to simultaneous changes in temperature and moisture. J. Adv. Model. Earth Syst. 2015, 7, 335–356. [Google Scholar] [CrossRef]
- Manzoni, S.; Schimel, J.P.; Porporato, A. Responses of soil microbial communities to water stress: Results from a meta-analysis. Ecology 2012, 93, 930–938. [Google Scholar] [CrossRef]
- Moyano, F.E.; Manzoni, S.; Chenu, C. Responses of soil heterotrophic respiration to moisture availability: An exploration of processes and models. Soil Biol. Biochem. 2013, 59, 72–85. [Google Scholar] [CrossRef]
- Moldrup, P.; Deepagoda, T.K.K.C.; Hamamoto, S.; Komatsu, T.; Kawamoto, K.; Rolston, D.E.; de Jonge, L.W. Structure-dependent water-induced linear reduction model for predicting gas diffusivity and tortuosity in repacked and intact soil. Vadose Zone J. 2013, 12, 1–11. [Google Scholar] [CrossRef]
- Bhattacharyya, P.; Nayak, A.K.; Mohanty, S.; Tripathi, R.; Shahid, M.; Kumar, A.; Raja, R.; Panda, B.B.; Roy, K.S.; Neogi, S.; et al. Greenhouse gas emission in relation to labile soil C, N pools and functional microbial diversity as influenced by 39 years long-term fertilizer management in tropical rice. Soil Till. Res. 2013, 129, 93–105. [Google Scholar] [CrossRef]
- Ding, W.; Yu, H.; Cai, Z.; Han, F.; Xu, Z. Responses of soil respiration to N fertilization in a loamy soil under maize cultivation. Geoderma 2010, 155, 381–389. [Google Scholar] [CrossRef]
- Schwendenmann, L.; Veldkamp, E.; Brenes, T.; O’Brien, J.J.; Mackensen, J. Spatial and temporal variation in soil CO2 efflux in an old-growth neotropical rain forest, La Selva, Costa Rica. Biogeochemistry 2003, 64, 111–128. [Google Scholar] [CrossRef]
- Silva-Olaya, A.M.; Cerri, C.E.P.; La Scala, N., Jr.; Dias, C.T.S.; Cerri, C.C. Carbon dioxide emissions under different soil tillage systems in mechanically harvested sugarcane. Environ. Res. Lett. 2013, 8, 1–8. [Google Scholar] [CrossRef]
- Moitinho, M.R.; Padovan, M.P.; Panosso, A.R.; La Scala, J.N. Efeito do preparo do solo e resíduo da colheita de cana-de-açúcar sobre a emissão de CO2. Rev. Brasil. Ciên. Solo 2013, 37, 1720–1728. [Google Scholar] [CrossRef][Green Version]
- Oliveira, Z.B.; Carlesso, R.; Knies, A.E.; Martins, J.D. Influência de resíduos vegetais na superfície do solo e de diferentes espaçamentos entre linhas do feijoeiro na temperatura do solo. Rev. Irrig. Botucatu 2015, 20, 33–45. [Google Scholar] [CrossRef]
- Moitinho, M.R.; Padovan, M.P.; Panosso, A.R.; de Teixeira, D.B.; Ferraudo, A.S.; La Scala, J.N. On the spatial and temporal dependence of CO2 emission on soil properties in sugarcane (Saccharum spp.) production. Soil Till. Res. 2015, 148, 127–132. [Google Scholar] [CrossRef]
- Beesley, L. Carbon storage and fluxes in existing and newly created urban soils. J. Environ. Manag. 2012, 104, 158–165. [Google Scholar] [CrossRef]
- Kindler, R.; Siemens, J.; Kaiser, K.; Walmsley, D.C.; Bernhofer, C.; Buchmann, N.; Cellier, P.; Eugster, W.; Gleixner, G.; Grũnwald, T.; et al. Dissolved carbon leaching from soil is a crucial component of the net ecosystem carbon balance. Glob. Chang. Biol. 2011, 17, 1167–1185. [Google Scholar] [CrossRef]
- Martins, J.A.; Dallacort, R.; Inoue, M.H.; Santi, A.; Kolling, E.M.; Coletti, A.J. Probabilidade de precipitação para a microregião de Tangará da Serra, estado do Mato Grosso. Pesq. Agropec. Trop. 2010, 40, 291–296. [Google Scholar] [CrossRef][Green Version]
- EMBRAPA (Empresa Brasileira de Pesquisa Agropecuária). Sistema brasileiro de classificação de solos. In Centro Nacional de Pesquisa em Solos, 2nd ed.; Embrapa Solos: Rio de Janeiro, Brazil, 2013; p. 353. Available online: https://www.embrapa.br/en/solos/sibcs (accessed on 18 October 2021).
- Moreira, J.A.A.; Stone, L.F.; Trindade, M.d.G.; Canovas, A.D. A Cultura do Trigo Irrigado no Sistema Plantio Direto. Available online: http://www.infoteca.cnptia.embrapa.br/infoteca/handle/doc/215235 (accessed on 15 August 2021).
- Panosso, A.R.; Marques, J.; Milori, D.M.B.P.; Ferraudo, A.S.; Barbieri, D.M.; Pereira, G.T.; La Scala, J.N. Soil CO2 emission and its relation to soil properties in sugarcane areas under Slash-and-burn and Green harvest. Soil Till. Res. 2011, 111, 190–196. [Google Scholar] [CrossRef]
- Blair, G.J.; Lefroy, R.D.B.; Lisle, L. Soil carbon fractions based on their degree of oxidation, and the development of a carbon management index for agricultural systems. Aust. J. Agric. Res. 1995, 46, 1459–1466. [Google Scholar] [CrossRef]
- Shang, C.; Tiessen, H. Organic matter lability in a tropical oxisol: Evidence from shifting cultivation, chemical oxidation, particle size, density, and magnetic fractionations. Soil Sci. 1997, 162, 795–807. [Google Scholar] [CrossRef]
- Pimentel-Gomes, F.; Garcia, C.H. Estatistica Aplicada a Experimentos Agronomicos e Florestais: Exposicao com Exemplos e Orientacoes Para Uso de Aplicativos; Issue 11 of Biblioteca de Ciências Agrárias Luiz de Queiroz; Editora Fealq: Piracicaba, SP, Brazil, 2002; Volume 11, p. 309. Available online: https://repositorio.usp.br/item/001309130 (accessed on 2 September 2021).
- Christie, D. Resampling with Excel. Teach. Stat. 2004, 26, 9–14. [Google Scholar] [CrossRef]
- Mello, J.M.; Couto, E.G.; Amorin, R.S.S.; Chig, L.A.; Johnson, M.S.; Lobo, F.A. Dinâmica dos atributos físico-químicos e variação sazonal dos estoques de carbono no solo em diferentes fitofisionomias do pantanal norte mato-grossense. Rev. Árvore 2015, 39, 325–336. [Google Scholar] [CrossRef]
- Felix, G.A.; Paz, I.C.L.A.; Piovezan, U.; Garcia, R.G.; Lima, K.A.O.; Nääs, I.A.; Salgado, D.D.; Pilecco, M.; Belloni, M. Feeding behavior and crop damage caused by capybaras (Hydrochoerus hydrochaeris) in an agricultural landscape. Braz. J. Biol. 2014, 74, 779–786. [Google Scholar] [CrossRef][Green Version]
- Iamaguti, J.L.; Moitinho, M.R.; Teixeira, D.D.B.; Bicalho, E.D.S.; Panosso, A.R.; La Scala, J.N. Preparo do solo e emissão de CO2, temperatura e umidade do solo em área canavieira. Rev. Bras. Eng. Agric. Ambient. 2015, 19, 497–504. [Google Scholar] [CrossRef]
- Jabro, J.D.; Sainju, U.; Stevens, W.B.; Evans, R.G. Carbon dioxide flux as affected by tillage and irrigation in soil converted from perennial forages to annual crops. J. Environ. Manag. 2008, 88, 1478–1484. [Google Scholar] [CrossRef]
- Ussiri, D.A.N.; Lal, R. Long-term tillage effects on soil carbon storage and carbon dioxide emissions in continuous corn cropping system from an alfisol in Ohio. Soil Till. Res. 2009, 104, 39–47. [Google Scholar] [CrossRef]
- Varella, R.F.; Bustamante, M.M.C.; Pinto, A.S.; Kisselle, K.W.; Santos, R.V.; Burke, R.A.; Zepp, R.G.; Viana, L.T. Soil fluxes of CO2 CO, NO and N2O from an old pasture and from native savanna in Brazil. Ecol. Appl. 2004, 14, 221–231. [Google Scholar] [CrossRef]
- Gorissen, A.; Tietema, A.; Joosten, N.N.; Estiarte, M.; Penñuelas, J.; Sowerby, A.; Emmett, B.A.; Beier, C. Climate change affects carbon allocation to the soil in shrublands. Ecosystem 2004, 7, 650–661. [Google Scholar] [CrossRef]
- Dijkstra, F.A.; Cheng, W. Moisture modulates rhizosphere effects on C decomposition in two different soil types. Soil Biol. Biochem. 2007, 39, 2264–2274. [Google Scholar] [CrossRef]
- Panosso, A.R.; Rodrigues Ribeiro, C.E.; Zanini, J.R.; Pavani, L.C.; Pereira, G.T.; La Scala, J.N. Variabilidade espacial da emissão de CO2, da temperatura e umidade de um latossolo desprovido de vegetação sob diferentes lâminas de molhamento. Semin. Cienc. Agrar. 2009, 30 (Suppl. S1), 1017–1034. [Google Scholar] [CrossRef]
- Reicosky, D.C.; Lindstrom, N.J. Fall tillage method: Effect on short-term carbon dioxide flux from soil. Agron. J. 1993, 85, 1237–1245. [Google Scholar] [CrossRef]
- Reicosky, D.C.; Dugas, W.A.; Torbert, H.A. Tillage-induced soil carbon dioxide loss from different cropping systems. Soil Till. Res. 1997, 41, 105–118. [Google Scholar] [CrossRef]
- Rochette, P.; Angers, D.A. Soil surface carbon dioxide fluxes induced by spring, summer, and fall moldboard plowing in a sandy loam. Soil Sci. Soc. Amer. J. 1999, 63, 621–628. [Google Scholar] [CrossRef]
- Alvarez, R.; Alvarez, C.R.; Lorenzo, G. Carbon dioxide fluxes following tillage from a mollisol in the Argentine Rolling Pampa. Eur. J. Soil Biol. 2001, 37, 161–166. [Google Scholar] [CrossRef]
- La Scala, J.N.; Lopes, A.; Marques, J.J.; Pereira, G.T. Carbon dioxide emissions after application of tillage systems for a dark red latosol in southern Brazil. Soil Till. Res. 2001, 62, 163–166. [Google Scholar] [CrossRef]
- De Gryze, S.; Six, J.; Merckx, S. Quantifying water-stable soil aggregate turnover and its implication for soil organic matter dynamics in a model study. Eur. J. Soil Sci. 2006, 57, 693–707. [Google Scholar] [CrossRef]
- Grandy, A.S.; Robertson, G.P. Land-use intensity effects on soil organic carbon accumulation rates and mechanisms. Ecosystems 2007, 10, 59–74. [Google Scholar] [CrossRef]
- D’Andrea, A.F.; Silva, M.L.N.; Curi, M.; de Freitas, D.A.F.; Roscoe, R.; Guimarães, P.T.G. Variações de curto prazo nas emissões de co2 do solo em diferentes sistemas de manejo do cafeeiro. Quím. Nova 2009, 32, 2314–2317. [Google Scholar] [CrossRef]
- Lundquist, E.J.; Jackson, L.E.; Scow, K.M. Wet-dry cycles affect dissolved organic carbon in two California agricultural soils. Soil Biol. Biochem. 1999, 31, 1031–1038. [Google Scholar] [CrossRef]
- Helal, H.M.; Sauerbeck, D.R. Influence of plant-roots on C and P metabolism in soil. Plant Soil 1984, 76, 175–182. Available online: https://www.jstor.org/stable/42934498 (accessed on 20 September 2021). [CrossRef]
- Helal, H.M.; Sauerbeck, D.R. Effect of plant-roots on carbon metabolism of soil microbial biomass. J. Plant. Nutrit. Soil Sci. 1986, 149, 181–188. [Google Scholar] [CrossRef]
- Gubiani, P.A.; Van Lier, Q.d.J.; Drescher, M.S.; Mezzomo, H.C.; Veiga, C.M.C. Relação entre densidade do solo e conteúdo de água em repetidos ciclos de contração e expansão em um Latossolo. Rev. Brasil. Ciên. Solo 2015, 39, 100–108. [Google Scholar] [CrossRef][Green Version]
- Bavoso, M.A.; da Silva, A.P.; Figueiredo, G.C.; Tormena, C.A.; Giarola, N.F.B. Resiliência física de dois latossolos vermelhos sob plantio direto. Rev. Brasil. Ciên. Solo 2012, 36, 1892–1904. [Google Scholar] [CrossRef]
- Panosso, A.R.; Marques, J.J.; Pereira, G.T.; La Scala, J.N. Spatial and temporal variability of soil CO2 emission in a sugarcane area under green and slash-and-burn managements. Soil Till. Res. 2009, 105, 275–282. [Google Scholar] [CrossRef]
- Kolton, M.; Marks, A.; Wilson, R.M.; Chanton, J.P.; Kostka, J.E. Impact of warming on greenhouse gas production and microbial diversity in anoxic peat from a Sphagnum-dominated bog (Grand Rapids, Minnesota, United States). Front. Microbiol. 2019, 26, 1–14. [Google Scholar] [CrossRef]
- Menichetti, L.; Reyes Ortigoza, A.L.; García, N.; Giagnoni, L.; Nannipieri, P.; Renella, G. Thermal sensitivity of enzyme activity in tropical soils assessed by the Q10 and equilibrium model. Biol. Fertil. Soils 2015, 51, 299–310. [Google Scholar] [CrossRef]
- Sjögersten, S.; Aplin, P.; Gauci, V.; Peacock, M.; Siegenthaler, A.; Turner, B.L. Temperature response of ex-situ greenhouse gas emissions from tropical peatlands: Interactions between forest type and peat moisture conditions. Geoderma 2018, 324, 47–55. [Google Scholar] [CrossRef]
- Huang, F.; Xiaoxue, D.; Wenwen, L.; Hongtao, J.; Xiaorong, W.; Xiaoning, Z. The effect of temperature on the decomposition of different parts of maize residues in a solonchak. Catena 2021, 201, 105207. [Google Scholar] [CrossRef]
- Zornoza, R.; Acosta, J.A.; Gabarrón, M.; Gómez-Garrido, M.; Sánchez-Navarro, V.; Terreno, A.; Martínez- Martínez, S.; Faz, A.; Pastor, A.P. Greenhouse gas emissions and soil organic matter dynamics in woody crop orchards with different irrigation regimes. Sci. Total Environ. 2018, 644, 1429–1438. [Google Scholar] [CrossRef] [PubMed]
- Wang, Y.; Hu, C.; Ming, H.; Oenema, O.; Schaefer, D.A.; Dong, W.; Zhang, Y.; Li, X. Methane, Carbon Dioxide and Nitrous Oxide Fluxes in Soil Profile under a Winter Wheat-Summer Maize Rotation in the North China Plain. PLoS ONE 2014, 9, e98445. [Google Scholar] [CrossRef] [PubMed]
- Ahmad, W.; Singh, B.; Dijkstra, F.A.; Dala, R.C. Inorganic and organic carbon dynamics in a limed acid soil are mediated by plants. Soil Biol. Biochem. 2013, 57, 549–555. [Google Scholar] [CrossRef]
- Bornhofen, E.; Todeschini, M.H.; Stoco, M.G.; Madureira, A.; Marchioro, V.S.; Storck, L.; Benin, G. Wheat Yield Improvements in Brazil: Roles of Genetics and Environment. Crop. Sci. 2018, 58, 1–12. [Google Scholar] [CrossRef]
- Pereira, J.F.; da Cunha, G.R.; Moresco, E.R. Improved drought tolerance in wheat is required to unlock the production potential of the Brazilian Cerrado. Crop. Breed. Appl. Biotechnol. 2019, 19, 217–225. [Google Scholar] [CrossRef]
- Scheeren, P.L.; Caierão, E.; Silva, M.S.; Nascimento, A.J.; Caetano, V.R.; Bassoi, M.C.; Brunetta, D.; Albrecht, J.C.; Quadros, W.J.; Sousa, P.G.; et al. Challenges to Wheat Production in Brazil. In Proceedings of the International Symposium on Wheat Yield Potential: Challenges to International Wheat Breeding; Reynolds, M.P., Pietragalla, J., Braun, H.-J., Eds.; CIMMYT: Ciudad Obregón, Mexico, 2008; pp. 167–170. Available online: https://repository.cimmyt.org/handle/10883/1274?locale-attribute=en (accessed on 16 December 2021).
- GaGama, G.F.V.; de Oliveira, R.M.; Pinheiro, D.T.; da Silva, L.J.; dos Santos Dias, D.C.F. Yield and physiological quality of wheat seeds produced under different irrigation depths and leaf Silicon. Semin. Ciênc. Agrár. Londrina 2021, 42, 2233–2252. [Google Scholar] [CrossRef]
- Santos, I.S.; Mantovani, E.C.; Venancio, L.P.; da Cunha, F.F.; Aleman, C.C. Controlled water stress in agricultural crops in Brazilian Cerrado. Biosci. J. Uberlândia 2020, 36, 886–895. [Google Scholar] [CrossRef]
- Scheeren, P.L.; Caierão, E.; Silva, M.S.; Junior, A.N.; Caetano, V.R.; Bassoi, M.C.; Brunetta, D.; Albrecht, J.C.; Trindade, M.G.; Mori, C.D.; et al. The Brazil country survey. In International Symposium on Wheat Yield Potential: Challenges to International Wheat Breeding; Reynolds, M.P., Pietragalla, J., Braun, H.-J., Eds.; CIMMYT: Ciudad Obregón, Mexico, 2008; pp. 35–38. Available online: https://repository.cimmyt.org/handle/10883/1274?locale-attribute=en (accessed on 16 December 2021).




| Preparation | Depth (m) | pH H2O | P | K | Ca+Mg | SB | CEC7 | BS | SOM |
|---|---|---|---|---|---|---|---|---|---|
| mg dm−3 | cmolc dm−3 | % | g dm−3 | ||||||
| 2011 | |||||||||
| Implementation | 0.0–0.1 | 6.2 | 3.8 | 2.5 | 7.5 | 8.2 | 14.3 | 57.5 | 51.2 |
| 0.1–0.2 | 6.1 | 1.7 | 2.2 | 6.8 | 7.4 | 13.3 | 55.4 | 48.0 | |
| 2012 | |||||||||
| Soil Preparation | |||||||||
| Conventional | 0.0–0.1 | 5.9 | 7.8 | 2.4 | 7.5 | 8.2 | 17.3 | 47.7 | 55.8 |
| 0.1–0.2 | 6.1 | 1.5 | 2.5 | 7.1 | 7.8 | 14.4 | 53.9 | 52.7 | |
| Minimal | 0.0–0.1 | 5.7 | 5.2 | 2.4 | 6.3 | 7.0 | 16.0 | 43.9 | 54.2 |
| 0.1–0.2 | 5.8 | 3.2 | 2.6 | 6.0 | 6.6 | 14.3 | 46.0 | 51.2 | |
| Direct Seeding | 0.0–0.1 | 5.9 | 2.2 | 2.2 | 7.4 | 8.1 | 17.0 | 47.6 | 57.4 |
| 0.1–0.2 | 6.2 | 2.2 | 2.8 | 7.2 | 7.7 | 14.0 | 55.3 | 52.7 | |
| Woods | 0.0–0.1 | 6.3 | 2.8 | 2.3 | 10.8 | 11.6 | 19.5 | 59.3 | 59.2 |
| 0.1–0.2 | 6.2 | 1.2 | 2.5 | 10.3 | 10.9 | 18.3 | 59.5 | 55.8 | |
| Preparation | Layer | Sand | Silt | Clay | BD | MaP | MiP | TP | SRPfc |
|---|---|---|---|---|---|---|---|---|---|
| cm | g kg−1 | Mg m−3 | m3 m−3 | m3 m−3 | m3 m−3 | Mpa | |||
| 2011 | |||||||||
| Implementation | 0.0–0.1 | 84 | 218 | 698 | 1.09 | 0.14 | 0.43 | 0.57 | 0.94 |
| 0.1–0.2 | 66 | 199 | 699 | 1.12 | 0.11 | 0.45 | 0.56 | 0.97 | |
| 2012 | |||||||||
| Soil Preparation | |||||||||
| Conventional | 0.0–0.1 | 123 | 195 | 682 | 1.07 | 0.16 | 0.42 | 0.58 | 0.92 |
| 0.1–0.2 | 107 | 202 | 691 | 1.12 | 0.11 | 0.45 | 0.56 | 0.86 | |
| Minimal | 0.0–0.1 | 156 | 179 | 665 | 1.06 | 0.17 | 0.42 | 0.59 | 1.34 |
| 0.1–0.2 | 156 | 182 | 662 | 1.12 | 0.11 | 0.45 | 0.56 | 0.75 | |
| Direct Seeding | 0.0–0.1 | 123 | 195 | 682 | 1.13 | 0.11 | 0.44 | 0.56 | 1.47 |
| 0.1–0.2 | 90 | 222 | 688 | 1.11 | 0.12 | 0.44 | 0.57 | 1.00 | |
| Woods | 0.0–0.1 | 223 | 184 | 593 | 0.85 | 0.22 | 0.46 | 0.68 | 1.05 |
| 0.1–0.2 | 190 | 178 | 632 | 0.87 | 0.21 | 0.44 | 0.65 | 1.13 | |
| 508 mm Irrigation Depth | 698 mm Irrigation Depth | |||||||||||
|---|---|---|---|---|---|---|---|---|---|---|---|---|
| Preparation b | Mean c | SD | Min | Max | UL | LL | Mean c | SD | Min | Max | UL | LL |
| Soil Prep. | CO2 emission (g m−2 h−1) | |||||||||||
| Conv. | 1.81 aA | 0.54 | 0.79 | 3.10 | 0.22 | 0.20 | 2.01 aA | 0.47 | 1.04 | 2.70 | 0.18 | 0.21 |
| Minimal | 1.51 abA | 0.56 | 0.84 | 3.22 | 0.25 | 0.20 | 1.66 bA | 0.44 | 0.83 | 2.41 | 0.17 | 0.18 |
| Direct Sd. | 1.24 bB | 0.33 | 0.74 | 1.97 | 0.13 | 0.12 | 1.64 bA | 0.56 | 0.78 | 2.95 | 0.21 | 0.22 |
| Soil Prep. | Soil Temperature (°C) | |||||||||||
| Conv. | 21.33 n.s. | 1.46 | 21.33 | 26.67 | 0.54 | 0.57 | 24.50 n.s. | 2.77 | 21.00 | 31.00 | 1.17 | 1.04 |
| Minimal | 21.33 n.s. | 1.31 | 21.33 | 26.33 | 0.54 | 0.51 | 24.25 n.s. | 1.89 | 22.00 | 28.00 | 0.88 | 0.67 |
| Direct Sd. | 21.00 n.s. | 1.10 | 21.00 | 25.00 | 0.39 | 0.44 | 24.13 n.s. | 2.03 | 22.00 | 29.00 | 0.79 | 0.71 |
| Soil Prep. | Labile Carbon (mg g−1 soil) | |||||||||||
| Conv. | 2.04 n.s. | 0.30 | 1.75 | 2.34 | 0.12 | 0.13 | 1.97 n.s. | 0.31 | 1.62 | 2.36 | 0.18 | 0.16 |
| Minimal | 2.04 n.s. | 0.35 | 1.50 | 2.42 | 0.12 | 0.13 | 2.03 n.s. | 0.25 | 1.75 | 2.41 | 0.21 | 0.18 |
| Direct Sd. | 2.02 n.s. | 0.28 | 1.70 | 2.30 | 0.11 | 0.12 | 1.98 n.s. | 0.36 | 1.64 | 2.55 | 0.09 | 0.10 |
| Soil Prep. | Air-filled Soil Pore Space (m3 m−3) | |||||||||||
| Conv. | 0.21 aA | 0.07 | 0.05 | 0.34 | 0.02 | 0.03 | 0.19 aA | 0.05 | 0.11 | 0.31 | 0.02 | 0.02 |
| Minimal | 0.20 aA | 0.07 | 0.04 | 0.32 | 0.03 | 0.03 | 0.18 abA | 0.05 | 0.11 | 0.29 | 0.02 | 0.02 |
| Direct Sd. | 0.18 bA | 0.09 | 0.06 | 0.39 | 0.03 | 0.04 | 0.14 bA | 0.05 | 0.07 | 0.22 | 0.02 | 0.02 |
| Soil Preparation | 508 mm Irrigation Depth | 698 mm Irrigation Depth | ||
|---|---|---|---|---|
| and/or Planting | Plants m−2 a | Est. Yield (kg ha−1) b | Plants m−2 a | Est. Yield (kg ha−1) b |
| 2011 | ||||
| Soil Preparation | ||||
| Conventional | 52 n.s. | 3764.24 aB | 57 n.s. | 4243.47 aA |
| Minimal | 48 n.s. | 3401.98 aB | 57 n.s. | 5627.66 aA |
| Direct Seeding | 64 n.s. | 4604.56 aA | 53 n.s. | 4666.89 aA |
| 2012 | ||||
| Soil Preparation | ||||
| Conventional | 58 n.s. | 3055.90 bB | 56 n.s. | 4101.53 bA |
| Minimal | 61 n.s. | 3532.63 abB | 56 n.s. | 4688.31 abA |
| Direct Seeding | 59 n.s. | 4066.52 aB | 59 n.s. | 5352.06 aA |
Publisher’s Note: MDPI stays neutral with regard to jurisdictional claims in published maps and institutional affiliations. |
© 2022 by the authors. Licensee MDPI, Basel, Switzerland. This article is an open access article distributed under the terms and conditions of the Creative Commons Attribution (CC BY) license (https://creativecommons.org/licenses/by/4.0/).
Share and Cite
Silva, W.M.d.; Bianchini, A.; Amorim, R.S.S.; Couto, E.G.; Weber, O.L.d.S.; Hoshide, A.K.; Pereira, P.S.X.; Cremon, C.; Abreu, D.C.d. Soil Efflux of Carbon Dioxide in Brazilian Cerrado Wheat (Triticum aestivum L.) under Variable Soil Preparation and Irrigation. Agriculture 2022, 12, 163. https://doi.org/10.3390/agriculture12020163
Silva WMd, Bianchini A, Amorim RSS, Couto EG, Weber OLdS, Hoshide AK, Pereira PSX, Cremon C, Abreu DCd. Soil Efflux of Carbon Dioxide in Brazilian Cerrado Wheat (Triticum aestivum L.) under Variable Soil Preparation and Irrigation. Agriculture. 2022; 12(2):163. https://doi.org/10.3390/agriculture12020163
Chicago/Turabian StyleSilva, Wininton M. da, Aloísio Bianchini, Ricardo S. S. Amorim, Eduardo G. Couto, Oscarlina L. dos S. Weber, Aaron Kinyu Hoshide, Pedro S. X. Pereira, Cassiano Cremon, and Daniel C. de Abreu. 2022. "Soil Efflux of Carbon Dioxide in Brazilian Cerrado Wheat (Triticum aestivum L.) under Variable Soil Preparation and Irrigation" Agriculture 12, no. 2: 163. https://doi.org/10.3390/agriculture12020163
APA StyleSilva, W. M. d., Bianchini, A., Amorim, R. S. S., Couto, E. G., Weber, O. L. d. S., Hoshide, A. K., Pereira, P. S. X., Cremon, C., & Abreu, D. C. d. (2022). Soil Efflux of Carbon Dioxide in Brazilian Cerrado Wheat (Triticum aestivum L.) under Variable Soil Preparation and Irrigation. Agriculture, 12(2), 163. https://doi.org/10.3390/agriculture12020163

