Seed Priming and Foliar Application with Nitrogen and Zinc Improve Seedling Growth, Yield, and Zinc Accumulation in Rice
Abstract
:1. Introduction
2. Materials and Methods
2.1. Study Site, Rice Materials, and Soil Properties
2.2. Experiment 1: Preliminary Investigation of the Effects of Seed Priming with Zn and N on Seedling Growth and Zn Accumulation in Seedlings
2.3. Experiment 2: Effect of Seed Priming with Selected Concentrations of N and Zn Solution on Seedling Growth and Development
2.4. Experiment 3: Effect of Foliar Application of Zn and N on Yield and Grain Zn Accumulation
2.5. Zn Concentration Analysis
2.6. Statistical Analysis
3. Results
3.1. Experiment 1: Preliminary Investigation of the Effects of Seed Priming with Zn and N on Seedling Growth and Zn Accumulation
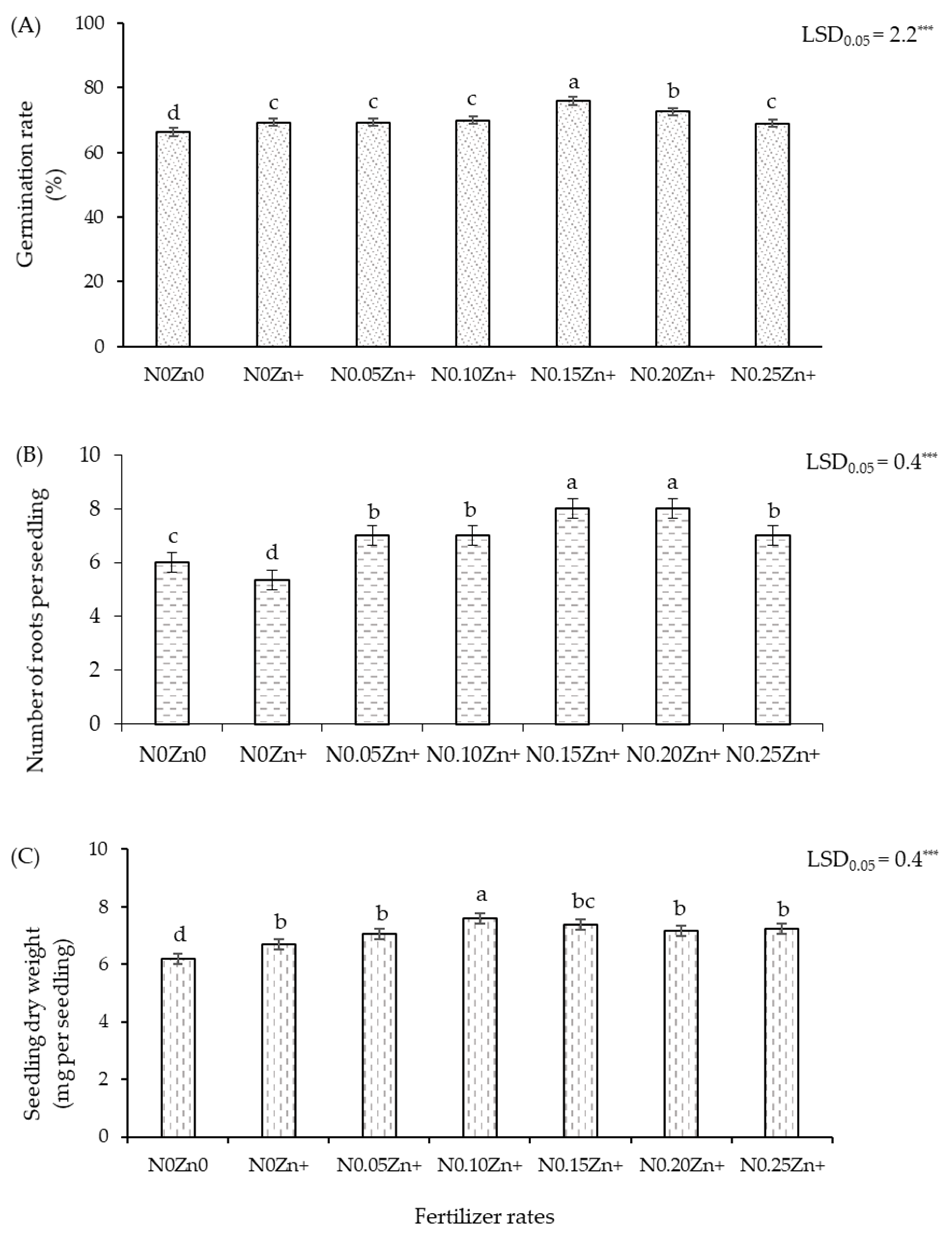
3.2. Experiment 2: Effect of Seed Priming with Selected Concentrations of N and Zn Solution on Seedling Growth and Development
3.3. Experiment 3: Effect of Foliar Application of Zn and N on Yield and Grain Zn Accumulation
4. Discussion
5. Conclusions
Author Contributions
Funding
Institutional Review Board Statement
Conflicts of Interest
References
- Glangchai, P.; Rangsri, W. Effects of Pressure Soaking on Elastic Modulus of Steamed-Cooked Glutinous Rice Kernel. Trends Sci. 2021, 18, 501. [Google Scholar]
- Dhaliwal, S.S.; Sharma, V.; Shukla, A.K.; Kaur, J.; Verma, V.; Singh, P.; Singh, H.; Abdel-Hafez, S.H.; Sayed, S.; Gaber, A. Enrichment of Zinc and Iron Micronutrients in Lentil (Lens Culinaris Medik.) through Biofortification. Molecules 2021, 26, 7671. [Google Scholar] [CrossRef] [PubMed]
- Ei, H.H.; Zheng, T.; Farooq, M.U.; Zeng, R.; Su, Y.; Zhang, Y.; Liang, Y.; Tang, Z.; Ye, X.; Jia, X. Impact of Selenium, Zinc and Their Interaction on Key Enzymes, Grain Yield, Selenium, Zinc Concentrations, and Seedling Vigor of Biofortified Rice. Environ. Sci. Pollut. Res. 2020, 27, 16940–16949. [Google Scholar] [CrossRef] [PubMed]
- Castillo-González, J.; Ojeda-Barrios, D.; Hernández-Rodríguez, A.; González-Franco, A.C.; Robles-Hernández, L.; López-Ochoa, G.R. Zinc Metalloenzymes in Plants. Interciencia 2018, 43, 242–248. [Google Scholar]
- Shrestha, J.; Kandel, M.; Subedi, S.; Shah, K.K. Role of Nutrients in Rice (Oryza Sativa L.): A Review. Agrica 2020, 9, 53–62. [Google Scholar] [CrossRef]
- Zaman, Q.U.; Aslam, Z.; Yaseen, M.; Ihsan, M.Z.; Khaliq, A.; Fahad, S.; Bashir, S.; Ramzani, P.M.A.; Naeem, M. Zinc Biofortification in Rice: Leveraging Agriculture to Moderate Hidden Hunger in Developing Countries. Arch. Agron. Soil Sci. 2018, 64, 147–161. [Google Scholar] [CrossRef]
- Prom-u-thai, C.; Rerkasem, B.; Yazici, A.; Cakmak, I. Zinc Priming Promotes Seed Germination and Seedling Vigor of Rice. J. Plant Nutr. Soil Sci. 2012, 175, 482–488. [Google Scholar] [CrossRef]
- Mahdieh, M.; Sangi, M.R.; Bamdad, F.; Ghanem, A. Effect of Seed and Foliar Application of Nano-Zinc Oxide, Zinc Chelate, and Zinc Sulphate Rates on Yield and Growth of Pinto Bean (Phaseolus Vulgaris) Cultivars. J. Plant Nutr. 2018, 41, 2401–2412. [Google Scholar] [CrossRef]
- Afzal, S.; Akbar, N.; Ahmad, Z.; Maqsood, Q.; Iqbal, M.A.; Aslam, M.R. Role of Seed Priming with Zinc in Improving the Hybrid Maize (Zea Mays L.) Yield. crops 2013, 8, 10. [Google Scholar]
- Imran, M.; Garbe-Schönberg, D.; Neumann, G.; Boelt, B.; Mühling, K.H. Zinc Distribution and Localization in Primed Maize Seeds and Its Translocation during Early Seedling Development. Environ. Exp. Bot. 2017, 143, 91–98. [Google Scholar] [CrossRef]
- Neto, V.G.; Ribeiro, P.R.; Del-Bem, L.E.; Bernal, D.T.; Lima, S.C.; Ligterink, W.; Fernandez, L.G.; de Castro, R.D. Characterization of the Superoxide Dismutase Gene Family in Seeds of Two Ricinus Communis L. Genotypes Submitted to Germination under Water Restriction Conditions. Environ. Exp. Bot. 2018, 155, 453–463. [Google Scholar] [CrossRef]
- Ullah, A.; Farooq, M.; Hussain, M.; Ahmad, R.; Wakeel, A. Zinc Seed Priming Improves Stand Establishment, Tissue Zinc Concentration and Early Seedling Growth of Chickpea. J. Anim. Plant Sci. 2019, 29, 1046–1053. [Google Scholar]
- Abbas, S.Q.; Hassan, M.U.; Hussain, B.; Rasool, T.; Ali, Q. RETRACTED: Optimization of Zinc Seed Priming Treatments for Improving the Germination and Early Seedling Growth of Oryza Sativa. Adv. Life Sci. 2014, 2, 31–37. [Google Scholar]
- Prom-u-thai, C.; Rerkasem, B. Effect of Zinc Priming on Zinc Concentration of Germinating Rice Seed. Chiang Mai Univ. J. Nat. Sci. 2012, 11, 421–428. [Google Scholar]
- Pavithra, G.J.; Reddy, B.R.; Salimath, M.; Geetha, K.N.; Shankar, A.G. Zinc Oxide Nano Particles Increases Zn Uptake, Translocation in Rice with Positive Effect on Growth, Yield and Moisture Stress Tolerance. Indian J. Plant Physiol. 2017, 22, 287–294. [Google Scholar]
- Moulick, D.; Santra, S.C.; Ghosh, D.; Panda, S.K. An Assessment of Efficiency of Zinc Priming in Rice (Cv. MTU-7029) during Germination and Early Seedling Growth. In Priming and Pretreatment of Seeds and Seedlings; Springer: Cham, Switzerland, 2019; pp. 495–507. [Google Scholar]
- Boonchuay, P.; Cakmak, I.; Rerkasem, B.; Prom-U-Thai, C. Effect of Different Foliar Zinc Application at Different Growth Stages on Seed Zinc Concentration and Its Impact on Seedling Vigor in Rice. Soil Sci. Plant Nutr. 2013, 59, 180–188. [Google Scholar] [CrossRef] [Green Version]
- Liu, H.; Zhao, P.; Qin, S.; Nie, Z. Chemical Fractions and Availability of Zinc in Winter Wheat Soil in Response to Nitrogen and Zinc Combinations. Front. Plant Sci. 2018, 9, 1489. [Google Scholar] [CrossRef]
- Lin, Z.; Dou, C.; Li, Y.; Wang, H.; Niazi, N.K.; Zhang, S.; Liu, D.; Zhao, K.; Fu, W.; Li, Y. Nitrogen Fertilizer Enhances Zinc and Cadmium Uptake by Hyperaccumulator Sedum Alfredii Hance. J. Soils Sediments 2020, 20, 320–329. [Google Scholar] [CrossRef]
- Khampuang, K.; Rerkasem, B.; Lordkaew, S.; Prom-u-thai, C. Nitrogen Fertilizer Increases Grain Zinc along with Yield in High Yield Rice Varieties Initially Low in Grain Zinc Concentration. Plant Soil 2021, 467, 239–252. [Google Scholar] [CrossRef]
- Zhao, P.; Yang, F.; Sui, F.; Wang, Q.; Liu, H. Effect of Nitrogen Fertilizers on Zinc Absorption and Translocation in Winter Wheat. J. Plant Nutr. 2016, 39, 1311–1318. [Google Scholar] [CrossRef]
- Meena, R.P.; Prasad, S.K.; Layek, A.; Singh, M.K.; Das, M. Nitrogen and Zinc Scheduling for Zinc Biofortification in Direct Seeded Rice (Oryza Sativa). Indian J. Agric. Sci. 2018, 88, 805–808. [Google Scholar]
- Wang, S.; Li, M.; Tian, X.; Li, J.; Li, H.; Ni, Y.; Zhao, J.; Chen, Y.; Guo, C.; Zhao, A. Foliar Zinc, Nitrogen, and Phosphorus Application Effects on Micronutrient Concentrations in Winter Wheat. Agron. J. 2015, 107, 61–70. [Google Scholar] [CrossRef]
- Climate in Chiang Mai, Thailand. Available online: http://climate.tmd.go.th/ (accessed on 16 January 2022).
- Tuiwong, P.; Lordkaew, S.; Prom-u-thai, C. Improving Grain Zinc Concentration in Wetland and Upland Rice Varieties Grown under Waterlogged and Well-Drained Soils by Applying Zinc Fertilizer. Agronomy 2021, 11, 554. [Google Scholar] [CrossRef]
- Allan, J.E. The Determination of Zinc in Agricultural Materials by Atomic-Absorption Spectrophotometry. Analyst 1961, 86, 530–534. [Google Scholar] [CrossRef]
- Aboutalebian, M.A.; Ekbatani, G.Z.; Sepehri, A. Effects of On-Farm Seed Priming with Zinc Sulfate and Urea Solutions on Emergence Properties, Yield and Yield Components of Three Rainfed Wheat Cultivars. Ann. Biol. Res. 2012, 3, 4790–4796. [Google Scholar]
- Esper Neto, M.; Britt, D.W.; Lara, L.M.; Cartwright, A.; dos Santos, R.F.; Inoue, T.T.; Batista, M.A. Initial Development of Corn Seedlings after Seed Priming with Nanoscale Synthetic Zinc Oxide. Agronomy 2020, 10, 307. [Google Scholar] [CrossRef] [Green Version]
- Reis, S.; Pavia, I.; Carvalho, A.; Moutinho-Pereira, J.; Correia, C.; Lima-Brito, J. Seed Priming with Iron and Zinc in Bread Wheat: Effects in Germination, Mitosis and Grain Yield. Protoplasma 2018, 255, 1179–1194. [Google Scholar] [CrossRef]
- Prasad, T.; Sudhakar, P.; Sreenivasulu, Y.; Latha, P.; Munaswamy, V.; Reddy, K.R.; Sreeprasad, T.S.; Sajanlal, P.R.; Pradeep, T. Effect of Nanoscale Zinc Oxide Particles on the Germination, Growth and Yield of Peanut. J. Plant Nutr. 2012, 35, 905–927. [Google Scholar] [CrossRef]
- Rajjou, L.; Duval, M.; Gallardo, K.; Catusse, J.; Bally, J.; Job, C.; Job, D. Seed Germination and Vigor. Annu. Rev. Plant Biol. 2012, 63, 507–533. [Google Scholar] [CrossRef] [Green Version]
- Mondal, S.; Bose, B. Impact of Micronutrient Seed Priming on Germination, Growth, Development, Nutritional Status and Yield Aspects of Plants. J. Plant Nutr. 2019, 42, 2577–2599. [Google Scholar] [CrossRef]
- Leghari, S.J.; Wahocho, N.A.; Laghari, G.M.; HafeezLaghari, A.; MustafaBhabhan, G.; HussainTalpur, K.; Bhutto, T.A.; Wahocho, S.A.; Lashari, A.A. Role of Nitrogen for Plant Growth and Development: A Review. Adv. Environ. Biol. 2016, 10, 209–219. [Google Scholar]
- Prasad, R.; Shivay, Y.S.; Kumar, D. Interactions of Zinc with Other Nutrients in Soils and Plants-A Review. Indian J. Fertil. 2016, 12, 16–26. [Google Scholar]
- Munir, T.; Rizwan, M.; Kashif, M.; Shahzad, A.; Ali, S.; Amin, N.; Zahid, R.; Alam, M.F.E.; Imran, M. Effect of Zinc Oxide Nanoparticles on the Growth and Zn Uptake in Wheat (Triticum Aestivum L.) by Seed Priming Method. Dig. J. Nanomater. Biostructures DJNB 2018, 13, 315–323. [Google Scholar]
- Narsai, R.; Edwards, J.M.; Roberts, T.H.; Whelan, J.; Joss, G.H.; Atwell, B.J. Mechanisms of Growth and Patterns of Gene Expression in Oxygen-deprived Rice Coleoptiles. Plant J. 2015, 82, 25–40. [Google Scholar] [CrossRef]
- Rauf, M.; Choi, Y.-M.; Lee, S.; Lee, M.-C.; Oh, S.; Hyun, D.Y. Evaluation of Anaerobic Germinability in Various Rice Subpopulations: Identifying Genotypes Suitable for Direct-Seeded Rice Cultivation. Euphytica 2019, 215, 1–15. [Google Scholar] [CrossRef]
- Hamed, M.A. Impact of Storage Conditions on Seed Vigor and Viability of Bread Wheat (Triticum Aestivum) Seeds. In Proceedings of the IOP Conference Series: Earth and Environmental Science; IOP Publishing: Bristol, UK, 2021; Volume 761, p. 012069. [Google Scholar]
- Cui, N.; Cai, M.; Zhang, X.; Abdelhafez, A.A.; Zhou, L.; Sun, H.; Chen, G.; Zou, G.; Zhou, S. Runoff Loss of Nitrogen and Phosphorus from a Rice Paddy Field in the East of China: Effects of Long-Term Chemical N Fertilizer and Organic Manure Applications. Glob. Ecol. Conserv. 2020, 22, e01011. [Google Scholar] [CrossRef]
- Yao, Y.; Zhang, M.; Tian, Y.; Zhao, M.; Zhang, B.; Zhao, M.; Zeng, K.; Yin, B. Urea Deep Placement for Minimizing NH3 Loss in an Intensive Rice Cropping System. Field Crops Res. 2018, 218, 254–266. [Google Scholar] [CrossRef]
- Huang, M.; Chen, J.; Cao, F.; Zou, Y. Increased Hill Density Can Compensate for Yield Loss from Reduced Nitrogen Input in Machine-Transplanted Double-Cropped Rice. Field Crops Res. 2018, 221, 333–338. [Google Scholar] [CrossRef]
- Dingkuhn, M.; De Datta, S.K.; Javellana, C.; Pamplona, R.; Schnier, H.F. Effect of Late-Season N Fertilization on Photosynthesis and Yield of Transplanted and Direct-Seeded Tropical Flooded Rice. I. Growth Dynamics. Field Crops Res. 1992, 28, 223–234. [Google Scholar] [CrossRef]
- Singh, P.; Shukla, A.K.; Behera, S.K.; Tiwari, P.K.; Das, S.; Tripathi, A. Categorization of Diverse Wheat Genotypes for Zinc Efficiency Based on Higher Yield and Uptake Efficiency. J. Soil Sci. Plant Nutr. 2020, 20, 648–656. [Google Scholar] [CrossRef]
- Imsande, J. Iron, Sulfur, and Chlorophyll Deficiencies: A Need for an Integrative Approach in Plant Physiology. Physiol. Plant. 1998, 103, 139–144. [Google Scholar] [CrossRef]
- Li, M.; Wang, S.; Tian, X.; Zhao, J.; Li, H.; Guo, C.; Chen, Y.; Zhao, A. Zn Distribution and Bioavailability in Whole Grain and Grain Fractions of Winter Wheat as Affected by Applications of Soil N and Foliar Zn Combined with N or P. J. Cereal Sci. 2015, 61, 26–32. [Google Scholar] [CrossRef]
- Wang, S.; Li, M.; Liu, K.; Tian, X.; Li, S.; Chen, Y.; Jia, Z. Effects of Zn, Macronutrients, and Their Interactions through Foliar Applications on Winter Wheat Grain Nutritional Quality. PLoS ONE 2017, 12, e0181276. [Google Scholar] [CrossRef] [PubMed] [Green Version]
- Gul, H.; Said, A.; Saeed, B.; Mohammad, F.; Ahmad, I. Effect of Foliar Application of Nitrogen, Potassium and Zinc on Wheat Growth. ARPN J. Agric Biol. Sci. 2011, 6, 56–59. [Google Scholar]
- Saha, S.; Chakraborty, M.; Padhan, D.; Saha, B.; Murmu, S.; Batabyal, K.; Seth, A.; Hazra, G.C.; Mandal, B.; Bell, R.W. Agronomic Biofortification of Zinc in Rice: Influence of Cultivars and Zinc Application Methods on Grain Yield and Zinc Bioavailability. Field Crops Res. 2017, 210, 52–60. [Google Scholar] [CrossRef]





| Foliar Applications | Plant Height (cm) | Panicle Number per Plant | Tillers per Plant | Spikelet per Panicle | Filled Grains (%) | Thousand Grains Weight (g) | Straw Yield (kg m−2) | Grain Yield (kg m−2) | ||||||||
|---|---|---|---|---|---|---|---|---|---|---|---|---|---|---|---|---|
| N0Zn0 | 85.0 | b | 14.8 | b | 15.0 | c | 201.5 | d | 72.5 | b | 27.0 | c | 0.83 | b | 0.83 | c |
| N0Zn+ | 85.3 | b | 14.8 | b | 15.0 | c | 203.5 | c | 70.5 | c | 28.0 | a | 0.80 | b | 0.85 | c |
| N+Zn0 | 89.3 | a | 16.5 | a | 16.0 | b | 208.0 | b | 84.5 | a | 27.5 | b | 0.98 | a | 1.16 | b |
| N+Zn+ | 89.8 | a | 16.3 | a | 16.8 | a | 214.0 | a | 85.5 | a | 28.0 | a | 0.98 | a | 1.23 | a |
| F-test | *** | *** | *** | *** | *** | *** | *** | *** | ||||||||
| LSD 0.05 | 2.5 | 0.9 | 0.4 | 1.8 | 1.3 | 0.5 | 0.06 | 0.06 | ||||||||
| Foliar Application | Zn Concentration (mg kg−1) | |||||||
|---|---|---|---|---|---|---|---|---|
| Straw | Leaves | Unhusked Grain | Brown Rice | |||||
| N0Zn0 | 32.0 | d | 35.5 | d | 21.2 | c | 27.2 | c |
| N0Zn+ | 39.8 | a | 43.9 | b | 24.7 | b | 40.1 | b |
| N+Zn0 | 35.0 | c | 42.2 | c | 20.5 | c | 25.1 | d |
| N+Zn+ | 38.5 | b | 46.2 | a | 27.9 | a | 43.8 | a |
| F-test | *** | *** | *** | *** | ||||
| LSD 0.05 | 1.3 | 0.8 | 1.6 | 1.6 | ||||
Publisher’s Note: MDPI stays neutral with regard to jurisdictional claims in published maps and institutional affiliations. |
© 2022 by the authors. Licensee MDPI, Basel, Switzerland. This article is an open access article distributed under the terms and conditions of the Creative Commons Attribution (CC BY) license (https://creativecommons.org/licenses/by/4.0/).
Share and Cite
Tuiwong, P.; Lordkaew, S.; Veeradittakit, J.; Jamjod, S.; Prom-u-thai, C. Seed Priming and Foliar Application with Nitrogen and Zinc Improve Seedling Growth, Yield, and Zinc Accumulation in Rice. Agriculture 2022, 12, 144. https://doi.org/10.3390/agriculture12020144
Tuiwong P, Lordkaew S, Veeradittakit J, Jamjod S, Prom-u-thai C. Seed Priming and Foliar Application with Nitrogen and Zinc Improve Seedling Growth, Yield, and Zinc Accumulation in Rice. Agriculture. 2022; 12(2):144. https://doi.org/10.3390/agriculture12020144
Chicago/Turabian StyleTuiwong, Patcharin, Sithisavet Lordkaew, Jeeraporn Veeradittakit, Sansanee Jamjod, and Chanakan Prom-u-thai. 2022. "Seed Priming and Foliar Application with Nitrogen and Zinc Improve Seedling Growth, Yield, and Zinc Accumulation in Rice" Agriculture 12, no. 2: 144. https://doi.org/10.3390/agriculture12020144
APA StyleTuiwong, P., Lordkaew, S., Veeradittakit, J., Jamjod, S., & Prom-u-thai, C. (2022). Seed Priming and Foliar Application with Nitrogen and Zinc Improve Seedling Growth, Yield, and Zinc Accumulation in Rice. Agriculture, 12(2), 144. https://doi.org/10.3390/agriculture12020144
