Assessment of Four-Seasonal Quality and Yield of Cut Flower Roses Grafted onto Rosa Rootstocks
Abstract
1. Introduction
2. Materials and Methods
2.1. Plant Materials and Growth Conditions
2.2. Yield and Quality
2.3. Experimental Design and Statistical Analysis
3. Results
3.1. Yield and Quality of Cut Roses
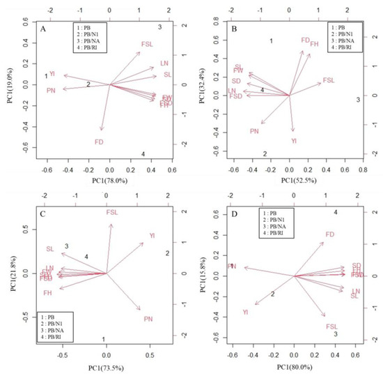
3.2. Biplot Given by the Principal Component Analysis (PCA) of Yield and Growth on Grafted Standard Type Rose Rosa Hybrida cv. Pink Beauty
3.3. Biplot Given by the Principal Component Analysis (PCA) of Yield and Growth of Grafted Standard Type Rose Rosa Hybrida cv. Pink Shine in Four Seasons by Rootstock Type
3.4. Greenhouse Biplot of the Principal Component Analysis (PCA) of Yield and Growth of Grafted Standard Type Rose Rosa Hybrida cv. Pink Beauty between Rootstock Types in Four Seasons
3.5. Biplot of the Principal Component Analysis (PCA) of Yield and Growth of Grafted Spray Type Rose Rosa hybrida cv. Pink Shine between Rootstock Types in Four Seasons
3.6. Biplot of the Principal Component Analysis of Total Yield and Growth on Grafted Cut Rose Rosa hybrida cv. Pink Beauty and Pink Shine between Rootstock Types Year-Round
4. Discussion
5. Conclusions
Author Contributions
Funding
Institutional Review Board Statement
Informed Consent Statement
Data Availability Statement
Acknowledgments
Conflicts of Interest
References
- Ferrante, A.; Mariani, L. Agronomic management for enhancing plant tolerance to abiotic stresses: High and low values of temperature, light intensity, and relative humidity. Horticulturae 2018, 4, 21. [Google Scholar] [CrossRef]
- Qi, W.; Zhang, C.; Wang, W.; Cao, Z.; Li, S.; Li, H.; Zhu, W.; Huang, Y.; Bao, M.; He, Y. Comparative transcriptome analysis of different heat stress responses between self-root grafting line and heterogeneous grafting line in rose. Hortic. Plant J. 2021, 7, 243–255. [Google Scholar] [CrossRef]
- Li, Y.; Tian, X.; Wei, M.; Shi, Q.; Yang, F.; Wang, X. Mechanisms of tolerance differences in cucumber seedlings grafted on rootstocks with different tolerance to low temperature and weak light stresses. Turk. J. Bot. 2015, 39, 1–9. [Google Scholar] [CrossRef]
- Rezaee, R.; Vahdati, K.; Grigoorian, W.; Valizadeh, M. Walnut grafting success and bleeding rate as affected by different grafting methods and seedling vigor. J. Hortic. Sci. Biotechnol. 2008, 83, 94–99. [Google Scholar] [CrossRef]
- Thapa, R.; Thapa, P.; Ahamad, K.; Vahdati, K. Effect of grafting methods and dates on the graft take rate of Persian walnut in open field condition. Int. J. Hortic. Sci. 2021, 8, 133–147. [Google Scholar]
- Sadeghi-Majd, R.; Vahdati, K.; Roozban, M.R.; Arab, M.; Sütyemez, M. Optimizing environmental conditions and irrigation regimes can improve grafting success in Persian walnut. Acta Sci. Pol.-Hortorum Cultus 2022, 21, 43–51. [Google Scholar] [CrossRef]
- Huang, Y.; Tang, R.; Cao, Q.L.; Bie, Z.L. Improving the fruit yield and quality of cucumber by grafting onto the salt tolerant rootstock under NaCl stress. Sci. Hortic. 2009, 122, 26–31. [Google Scholar] [CrossRef]
- Ruiz, J.M.; Belakbir, A.; López-Cantarero, I.; Romero, L. Leaf-macronutrient content and yield in grafted melon plants. A model to evaluate the influence of rootstock genotype. Sci. Hortic. 1997, 71, 227–234. [Google Scholar] [CrossRef]
- Ximing, H. Growth and Productivity of Cut Rose as Related to the Rootstock. Ph.D. Thesis, Wageningen University, Wageningen, The Netherlands, 2001. [Google Scholar]
- National Agricultural Products Quality Management Service (NAQS). National Agricultural Products Quality Management. Available online: https://www.naqs.go.kr/eng/contents/contents.do?menuId=MN20674 (accessed on 14 October 2020).
- Cabrera, R.I. Rose yield, dry matter partitioning and nutrient status responses to rootstock selection. Sci. Hortic. 2002, 95, 75–83. [Google Scholar] [CrossRef]
- Qi, W. The Mechanism of Improving the Heat Resistance of Rose by Grafting. Ph.D. Thesis, Huazhong Agricultural University, Wuhan, China, 2020. [Google Scholar]
- Romero, L.; Belakbir, A.; Ragala, L.; Ruiz, J.M. Response of plant yield and leaf pigments to saline conditions: Effectiveness of different rootstocks in melon plants (Cucumis melo L.). Soil Sci. Plant Nutr. 1997, 43, 855–862. [Google Scholar] [CrossRef]
- Ruiz, J.M.; Blasco, B.; Rivero, R.M.; Romero, L. Nicotine-free and salt tolerant tabacco plants obtained by grafting to salinità-resistant rootstocks of tomato. Physiol. Plant. 2005, 124, 465–475. [Google Scholar] [CrossRef]
- Kwon, O.H.; Choi, H.G.; Kim, S.J.; Lee, Y.R.; Jung, H.H.; Park, K.Y. Changes in yield, quality, and morphology of three grafted cut roses grown in a greenhouse year-round. Horticulturae 2022, 8, 655. [Google Scholar] [CrossRef]
- Kwon, O.H.; Choi, H.G. Yield, flower quality, and photo-physiological responses of cut rose flowers grafted onto three different rootstocks in summer season. Agronomy 2022, 12, 1468. [Google Scholar] [CrossRef]
- Abdi, H.; Williams, L.J. Principal component analysis. Wiley Inter-discip. Rev. Comput. Stat. 2010, 2, 433–459. [Google Scholar]
- Mishra, S.; Sarkar, U.; Taraphder, S.; Datta, S.; Swain, D.; Saikhom, R. Multivariate statistical data analysis- principal component analysis (PCA). Int. J. Livest. Res. 2017, 7, 60–78. [Google Scholar]
- Aslam, M.; Maqbool, M.A.; Zaman, Q.U.; Shahid, M.; Akhtar, M.A.; Rana, A.S. Comparison of different tolerance indices and PCA biplot analysis for assessment of salinity tolerance in lentil (Lens culinaris) genotypes. Int. J. Agric. Biol. 2017, 19, 470–478. [Google Scholar] [CrossRef]
- Sena, M.M.; Frighetto, R.T.S.; Valarini, O.J.; Tokeshi, H.; Poppi, R.J. Discrimination of management effects on soil parameters by using principal component analysis: A multivariate analysis case study. Soil Tillage Res. 2002, 67, 171–181. [Google Scholar] [CrossRef]
- Ferrer, V.; Paymal, N.; Quinton, C.; Costantino, G.; Paoli, M.; Froelicher, Y.; Ollitrault, P.; Tomi, F.; Luro, F. Influence of the rootstock and the ploidy level of the scion and the rootstock on sweet orange (Citrus sinensis) peel essential oil yield, composition and aromatic properties. Agriculture 2022, 12, 214. [Google Scholar] [CrossRef]
- Zouaghi, G.; Najar, A.; Aydi, A.; Claumann, C.A.; Zibetti, A.W.; Ben Mahmoud, K. Essential oil components of citrus cultivar ‘maltaise demi sanguine’ (Citrus sinensis) as affected by the effects of rootstocks and viroid infection. Int. J. Food Prop. 2019, 22, 438–448. [Google Scholar] [CrossRef]
- Mady, E.A.; Uguru, M.I.; Ugwoke, K.I. Interrelations of growth and disease expression in pepper using principal component analysis. Afr. J. Biotechnol. 2006, 5, 1054–1057. [Google Scholar]
- Hanci, F.; Gokce, A.F. Genetic diversity evaluations in Turkish onion (Allium cepa L.) genotypes: Principal component analyses (PCA) for breeding strategies. Acta Hort. 2016, 1143, 227–234. [Google Scholar] [CrossRef]
- Ehsanirad, A. Plant Classification Based on Leaf Recognition. Int. J. Comput. Sci. Inf. Secur. 2010, 8, 78–81. [Google Scholar]
- Yang, K.R.; Kim, W.H.; Kim, S.J.; Jung, H.H.; Yoo, B.S.; Lee, H.J.; Park, K.Y. Breeding of spray rose cultivar ‘Pink Shine’ with pink color and longer vase life. Flower Res. J. 2020, 28, 210–215. [Google Scholar] [CrossRef]
- An, D.C.; Kim, S.Y.; Chin, Y.D.; Park, H.G.; Bae, M.J.; Hwang, J.C. Yellow spray rose cultivar ‘Egg Tart’ with high productivity and suitable for export. Flower Res. J. 2020, 28, 220–227. [Google Scholar] [CrossRef]
- Park, K.Y.; Yoo, B.S.; Kwon, O.H.; Lee, H.J.; Jung, H.H. Breeding of standard rose cultivar ‘White Beauty’ with white color and high productivity. Hortic. Sci. Technol. 2019, 37, 779–786. [Google Scholar]
- Palada, M.C.; Wu, D.L. Evaluation of chili rootstocks for grafted sweet pepper production during the hot-wet and hot-dry seasons in Taiwan. Acta Horticult. 2008, 767, 151–157. [Google Scholar] [CrossRef]
- Palada, M.C.; Wu, D.L. Grafting Sweet Peppers for Production in the Hot-Wet Season; AVRDC-The World Vegetable Center: Southern, Taiwan, 2009. [Google Scholar]
- Riga, P. Effect of rootstock on growth, fruit production and quality of tomato plants grown under low temperature and light conditions. Hortic. Environ. Biotechnol. 2015, 56, 626–638. [Google Scholar] [CrossRef]
- Kwack, Y.; Park, S.W.; Chun, C. Growth and development of grafted cucumber transplants as affected by seedling ages of scions and rootstocks and light intensity during their cultivation in a closed production system. Hortic. Sci. Technol. 2014, 32, 600–606. [Google Scholar] [CrossRef][Green Version]
- CUS, F. The effect of different scion/rootstock combinations on yield properties of cv. ‘Cabernet Sauvignon’. Acta Agric. Slov. 2004, 83, 63–71. [Google Scholar]
- Ramburan, S.; Zhou, M.; Labuschagne, M. Interpretation of genotype × environment interactions of sugarcane: Identifying significant environmental factors. Field Crop. Res. 2011, 124, 392–399. [Google Scholar] [CrossRef]
- Praveen, T.M.; Patil, S.R.; Patil, B.C.; Seetharamu, G.K.; Rudresh, D.L.; Pavankumar, P.; Patil, R.T. Influence of biostimulants on growth and yield of floribunda rose cv. Mirabel. J. Pharmacogn. Phytochem. 2021, 10, 2701–2705. [Google Scholar]
- Dieleman, J.A.; Meinen, E. Interacting effects of temperature integration and light intensity on growth and development of single-stemmed cut rose plants. Sci. Hortic. 2007, 113, 182–187. [Google Scholar] [CrossRef]
- Albacete, A.; Ghanem, M.E.; Martinez-Andujar, C.; Acosta, M.; Sanchez Bravo, J.; Martinez, V.; Lutts, S.; Dodd, I.C.; Perez-Alfocea, F. Hormonal changes in relation to biomass partitioning and shoot growth impairment in salinized tomato (Solanum lycopersicum L.) plants. J. Exp. Bot. 2008, 59, 4119–4131. [Google Scholar] [CrossRef] [PubMed]
- Aloni, B.; Cohen, R.; Karni, L.; Aktas, H.; Edelstein, M. Hormonal signaling in rootstock–scion interactions. Sci. Hortic. 2010, 127, 119–126. [Google Scholar] [CrossRef]
- Tanimoto, E. Regulation of root growth by plant hormones—Roles for auxin and gibberellin. Crit. Rev. Plant Sci. 2005, 24, 249–265. [Google Scholar] [CrossRef]
- Yamaguchi, S. Gibberellin metabolism and its regulation. Annu. Rev. Plant Biol. 2008, 59, 225–251. [Google Scholar] [CrossRef]
- Challer, G.E.; Bishopp, A.; Kieber, J.J. The yin-yang of hormones: Cytokinin and auxin interactions in plant development. Plant Cell. 2015, 27, 44–63. [Google Scholar] [CrossRef]






| Season | Treatment | Stem Length (cm) | Length of Flower Neck (cm) | Stem Diameter (mm) | Diameter of Flower Neck (mm) | Flower Height (mm) | Flower Diameter (mm) | No. of Leaves (ea) | Fresh Weight (g) | No. of Petals (ea) | Yield of Stem (/Plant) |
|---|---|---|---|---|---|---|---|---|---|---|---|
| Spring | PB | 54.8 ± 4.0 ef z | 8.5 ± 0.2 bc | 5.5 ± 0.3 e | 4.8 ± 0.1 cd | 32.5 ± 1.2 ab | 5.5 ± 0.1 bc | 8.9 ± 0.6 f | 44.4 ± 4.8 d | 58.8 ± 0.2 bcd | 4.9 ± 0.9 bcdef |
| PB/N1 | 61.4 ± 6.0 c | 9.0 ± 0.2 ab | 5.8 ± 0.4 cde | 5.1 ± 0.1 abc | 33.6 ± 1.0 ab | 5.6 ± 0.2 abc | 9.4 ± 0.3 def | 53.0 ± 7.0 abc | 56.2 ± 1.3 def | 4.5 ± 1.1 cdef | |
| PB/NA | 70.8 ± 3.5 a | 9.4 ± 0.6 a | 6.5 ± 0.4 abc | 5.3 ± 0.2 ab | 31.4 ± 1.2 c | 5.8 ± 0.1 ab | 10.7 ± 0.7 ab | 59.7 ± 6.7 ab | 48.1 ± 2.1 i | 4.0 ± 1.1 ef | |
| PB/RI | 65.4 ± 1.1 abc | 8.7 ± 0.2 abc | 6.6 ± 0.4 ab | 5.4 ± 0.2 ab | 34.4 ± 0.8 a | 5.9 ± 0.1 a | 9.9 ± 0.5 cde | 60.4 ± 2.9 a | 50.5 ± 0.8 ghi | 4.3 ± 0.7 def | |
| Summer | PB | 50.5 ± 3.6 efg | 7.8 ± 0.3 d | 5.9 ± 0.8 bcde | 4.3 ± 0.3 ef | 23.1 ± 1.3 d | 4.6 ± 0.2 d | 9.4 ± 0.1 def | 34.1 ± 6.9 e | 56.5 ± 2.4 cdef | 3.6 ± 0.4 f |
| PB/N1 | 49.8 ± 2.4 fg | 7.4 ± 0.3 de | 5.9 ± 0.2 cde | 4.4 ± 0.1 ef | 22.7 ± 0.7 d | 4.3 ± 0.1 d | 9.4 ± 0.4 def | 32.9 ± 1.2 e | 64.5 ± 2.3 a | 3.9 ± 0.9 ef | |
| PB/NA | 48.6 ± 2.2 g | 8.0 ± 0.6 cd | 5.4 ± 0.6 e | 4.1 ± 0.3 f | 23.4 ± 1.9 d | 4.7 ± 0.2 d | 8.1 ± 0.1 g | 31.0 ± 5.2 e | 52.2 ± 0.5 fghi | 3.9 ± 0.7 ef | |
| PB/RI | 50.5 ± 0.9 efg | 7.0 ± 0.5 e | 6.3 ± 0.4 abcd | 4.3 ± 0.3 ef | 23.1 ± 0.6 d | 4.6 ± 0.4 d | 9.3 ± 0.2 def | 35.4 ± 4.3 e | 54.9 ± 2.2 defg | 4.0 ± 0.3 ef | |
| Autumn | PB | 62.4 ± 0.3 bc | 8.6 ± 0.4 bc | 6.3 ± 0.1 abcd | 5.0 ± 0.1 bc | 31.4 ± 2.6 c | 5.5 ± 0.4 bc | 10.1 ± 0.3 bcd | 53.8 ± 5.7 abc | 61.1 ± 7.2 abc | 5.5 ± 0.5 abcd |
| PB/N1 | 60.4 ± 1.8 cd | 9.1 ± 0.6 ab | 5.7 ± 0.3 de | 4.6 ± 0.2 de | 31.6 ± 1.7 c | 5.4 ± 0.0 c | 9.3 ± 0.4 def | 47.5 ± 2.9 cd | 62.3 ± 0.8 ab | 6.6 ± 0.1 a | |
| PB/NA | 67.7 ± 3.8 ab | 9.1 ± 0.5 ab | 6.5 ± 0.2 abc | 5.1 ± 0.3 abc | 32.9 ± 1.1 ab | 5.7 ± 0.3 ab | 10.9 ± 0.7 a | 59.1 ± 2.6 ab | 53.7 ± 4.2 efgh | 5.7 ± 0.5 abc | |
| PB/RI | 65.3 ± 0.2 abc | 9.0 ± 0.3 ab | 6.3 ± 0.1 abcd | 5.1 ± 0.1 abc | 33.1 ± 0.2 ab | 5.6 ± 0.1 abc | 10.0 ± 0.1 bcd | 59.7 ± 1.8 ab | 55.1 ± 2.6 defg | 6.2 ± 0.2 ab | |
| Winter | PB | 55.6 ± 4.3 de | 8.5 ± 0.2 bc | 5.7 ± 0.2 de | 4.9 ± 0.1 cd | 33.2 ± 0.3 ab | 5.5 ± 0.1 bc | 9.1 ± 0.5 ef | 46.5 ± 3.9 cd | 58.5 ± 1.0 bcde | 4.9 ± 0.6 bcdef |
| PB/N1 | 63.3 ± 3.3 bc | 8.9 ± 0.4 ab | 6.0 ± 0.2 bcde | 5.1 ± 0.1 abc | 32.5 ± 0.2 ab | 5.5 ± 0.2 bc | 9.5 ± 0.4 def | 51.9 ± 2.7 bcd | 56.1 ± 2.0 def | 4.7 ± 1.2 cdef | |
| PB/NA | 70.7 ± 3.1 a | 9.5 ± 0.6 a | 6.4 ± 0.2 abc | 5.3 ± 0.2 ab | 32.2 ± 1.0 ab | 6.0 ± 0.1 a | 10.6 ± 0.5 abc | 57.8 ± 1.3 ab | 48.0 ± 2.3 i | 4.2 ± 0.9 def | |
| PB/RI | 67.1 ± 1.2 ab | 8.8 ± 0.3 ab | 6.7 ± 0.3 a | 5.4 ± 0.2 a | 33.2 ± 1.5 ab | 5.8 ± 0.1 ab | 10.1 ± 0.2 bcd | 58.8 ± 1.9 ab | 49.2 ± 0.3 hi | 5.3 ± 0.8 abcde | |
| Season | 0.000 | 0.000 | 0.170 | 0.000 | 0.000 | 0.000 | 0.000 | 0.000 | 0.000 | 0.000 | |
| Effect (p value) y | Rootstock | 0.000 | 0.002 | 0.000 | 0.003 | 0.189 | 0.001 | 0.001 | 0.000 | 0.000 | 0.396 |
| Interaction | 0.001 | 0.329 | 0.011 | 0.010 | 0.297 | 0.676 | 0.000 | 0.019 | 0.084 | 0.657 |
| Season | Treatment | No. of Florets (ea) | Stem Length (cm) | Stem Diameter (mm) | Flower Height (cm) | Flower Diameter (mm) | No. of Petals (ea) | No. of Leaves (ea) | Fresh Weight (g) | Yield of Stem (/Plant) |
|---|---|---|---|---|---|---|---|---|---|---|
| Spring | PS | 7.2 ± 0.1 abcd y | 54.6 ± 5.3 cd | 5.8 ± 0.2 abc | 2.5 ± 0.0 bc | 20.0 ± 0.3 abcd | 61.6 ± 2.2 de | 9.4 ± 0.3 bc | 77.5 ± 14.5 ab | 4.2 ± 0.5 bcdef |
| PS/N1 | 7.3 ± 0.3 ab | 52.7 ± 0.3 cd | 5.8 ± 0.1 abc | 2.4 ± 0.0 c | 21.2 ± 0.1 a | 79.8 ± 3.3 abc | 8.7 ± 0.1 def | 60.8 ± 1.0 b | 4.3 ± 0.3 bcde | |
| PS/NA | 7.6 ± 0.6 a | 56.9 ± 6.4 abcd | 6.1 ± 0.7 a | 2.4 ± 0.0 c | 20.9 ± 1.0 ab | 77.0 ± 16.5 abcd | 7.9 ± 0.6 f | 62.7 ± 8.7 b | 4.0 ± 0.7 bcdef | |
| PS/RI | 7.7 ± 0.4 a | 53.3 ± 6.3 cd | 5.6 ± 0.3 abc | 2.4 ± 0.1 c | 20.0 ± 0.5 abcd | 74.5 ± 6.5 bcd | 8.3 ± 0.5 f | 60.9 ± 9.1 b | 5.0 ± 0.5 ab | |
| Summer z | PS | 5.8 ± 0.2 e | 52.0 ± 0.6 cd | 5.1 ± 0.1 c | 2.3 ± 0.0 c | 18.6 ± 0.8 cde | 49.9 ± 4.0 ef | 8.4 ± 0.2 def | 39.0 ± 2.6 c | 4.4 ± 0.8 abcd |
| PS/N1 | 6.1 ± 0.3 fg | 49.3 ± 0.8 d | 5.1 ± 0.0 c | 2.2 ± 0.2 c | 17.7 ± 1.5 efg | 64.0 ± 16.9 cde | 8.2 ± 0.3 f | 41.5 ± 4.1 c | 5.3 ± 0.3 a | |
| PS/NA | 6.2 ± 0.4 efg | 54.0 ± 1.9 cd | 5.2 ± 0.2 c | 2.3 ± 0.0 c | 16.6 ± 0.6 fg | 39.9 ± 1.4 f | 8.3 ± 0.3 f | 39.8 ± 3.6 c | 4.9 ± 0.1 ab | |
| PS/RI | 6.3 ± 0.6 defg | 50.5 ± 0.2 d | 5.2 ± 0.1 bc | 2.3 ± 0.0 c | 16.0 ± 0.4 g | 49.2 ± 2.5 ef | 8.5 ± 0.2 def | 41.4 ± 1.8 c | 4.9 ± 0.1 ab | |
| Autumn | PS | 7.2 ± 0.3 abc | 64.2 ± 2.3 a | 6.3 ± 0.3 a | 2.7 ± 0.0 a | 18.7 ± 1.1 bcde | 79.0 ± 2.7 abc | 10.5 ± 0.3 a | 80.6 ± 3.4 a | 3.7 ± 0.4 cdef |
| PS/N1 | 7.0 ± 0.8 abcde | 58.8 ± 3.8 abc | 6.2 ± 0.8 a | 2.8 ± 0.0 a | 19.6 ± 0.5 abcd | 89.7 ± 13.0 ab | 9.4 ± 0.8 bcd | 73.3 ± 17.8 ab | 4.9 ± 0.9 ab | |
| PS/NA | 7.2 ± 0.7 abc | 62.8 ± 5.7 ab | 6.1 ± 0.2 a | 2.9 ± 0.1 a | 18.1 ± 0.2 defg | 67.8 ± 5.3 cd | 10.6 ± 0.7 a | 72.5 ± 13.6 ab | 4.7 ± 0.6 abc | |
| PS/RI | 6.8 ± 0.2 abcdef | 60.0 ± 6.2 abc | 6.0 ± 0.3 a | 2.9 ± 0.0 a | 18.9 ± 0.7 abcd | 79.7 ± 5.4 abc | 9.9 ± 0.7 ab | 71.4 ± 11.1 ab | 4.4 ± 0.3 abcd | |
| Winter | PS | 6.4 ± 0.6 cdefg | 55.2 ± 1.2 bcd | 5.6 ± 0.1 abc | 2.7 ± 0.0 ab | 20.1 ± 0.3 abc | 93.0 ± 4.3 a | 9.9 ± 0.6 ab | 64.3 ± 4.1 ab | 3.3 ± 0.7 ef |
| PS/N1 | 6.5 ± 0.1 bcdefg | 53.4 ± 3.2 cd | 5.7 ± 0.8 abc | 2.7 ± 0.2 ab | 20.1 ± 2.5 abc | 89.8 ± 13.6 ab | 8.4 ± 0.6 ef | 65.5 ± 15.7 ab | 3.1 ± 0.5 f | |
| PS/NA | 7.0 ± 0.3 abcde | 56.2 ± 5.7 bcd | 6.0 ± 0.4 a | 2.8 ± 0.1 a | 19.6 ± 1.1 abcd | 71.2 ± 2.4 cd | 9.3 ± 0.5 bcd | 66.2 ± 8.8 ab | 3.4 ± 0.9 def | |
| PS/RI | 6.9 ± 0.2 abcdef | 60.1 ± 6.9 abc | 5.9 ± 0.2 ab | 2.7 ± 0.1 a | 19.5 ± 1.2 abcd | 79.6 ± 5.5 abc | 9.7 ± 0.8 ab | 65.1 ± 2.6 ab | 3.5 ± 0.5 def | |
| Effect(p value) x | Season | 0.000 | 0.000 | 0.000 | 0.000 | 0.000 | 0.000 | 0.000 | 0.000 | 0.000 |
| Rootstock | 0.221 | 0.147 | 0.736 | 0.002 | 0.133 | 0.001 | 0.002 | 0.048 | 0.066 | |
| Interaction | 0.801 | 0.783 | 0.863 | 0.027 | 0.547 | 0.098 | 0.027 | 0.731 | 0.251 |
Publisher’s Note: MDPI stays neutral with regard to jurisdictional claims in published maps and institutional affiliations. |
© 2022 by the authors. Licensee MDPI, Basel, Switzerland. This article is an open access article distributed under the terms and conditions of the Creative Commons Attribution (CC BY) license (https://creativecommons.org/licenses/by/4.0/).
Share and Cite
Kwon, O.-H.; Choi, H.-G.; Kim, S.-J.; Kim, W.-H. Assessment of Four-Seasonal Quality and Yield of Cut Flower Roses Grafted onto Rosa Rootstocks. Agriculture 2022, 12, 1848. https://doi.org/10.3390/agriculture12111848
Kwon O-H, Choi H-G, Kim S-J, Kim W-H. Assessment of Four-Seasonal Quality and Yield of Cut Flower Roses Grafted onto Rosa Rootstocks. Agriculture. 2022; 12(11):1848. https://doi.org/10.3390/agriculture12111848
Chicago/Turabian StyleKwon, O-Hyeon, Hyo-Gil Choi, Se-Jin Kim, and Won-Hee Kim. 2022. "Assessment of Four-Seasonal Quality and Yield of Cut Flower Roses Grafted onto Rosa Rootstocks" Agriculture 12, no. 11: 1848. https://doi.org/10.3390/agriculture12111848
APA StyleKwon, O.-H., Choi, H.-G., Kim, S.-J., & Kim, W.-H. (2022). Assessment of Four-Seasonal Quality and Yield of Cut Flower Roses Grafted onto Rosa Rootstocks. Agriculture, 12(11), 1848. https://doi.org/10.3390/agriculture12111848

