Biochar Amendment Combined with Straw Mulching Increases Winter Wheat Yield by Optimizing Soil Water-Salt Condition under Saline Irrigation
Abstract
1. Introduction
2. Materials and Methods
2.1. Study Site Description
2.2. Experimental Design
2.3. Sampling and Measurements
2.4. Evaluation Methods
2.5. Statistical Analysis
3. Results
3.1. Effects on Soil Moisture Content
3.2. Effects on Soil Salt Content
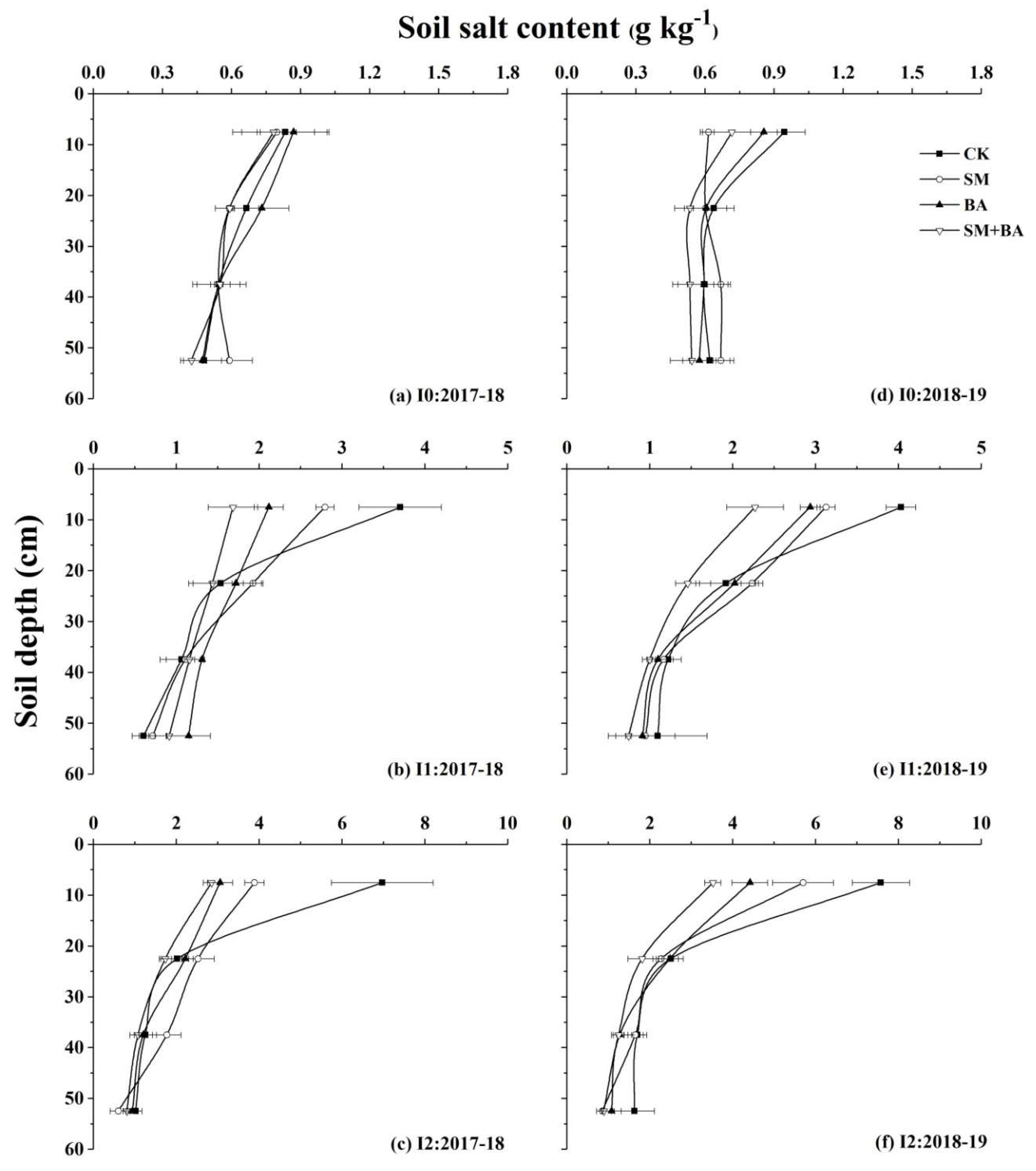
3.2.1. Vertical Distribution of Soil Salt
3.2.2. Soil Salt Content within the 0–60 cm Soil Profile
3.3. Effects on Soil Organic Carbon and Bulk Density
3.3.1. Soil Organic Carbon (SOC)
3.3.2. Soil Bulk Density (BD)
3.4. Effects on Winter Wheat Yield
4. Discussion
5. Conclusions
Author Contributions
Funding
Institutional Review Board Statement
Informed Consent Statement
Data Availability Statement
Acknowledgments
Conflicts of Interest
References
- Zhang, T.; van der Wiel, K.; Wei, T.; Screen, J.; Yue, X.; Zheng, B.; Selten, F.; Bintanja, R.; Anderson, W.; Blackport, R.; et al. Increased wheat price spikes and larger economic inequality with 2 °C global warming. One Earth 2022, 5, 907–916. [Google Scholar] [CrossRef]
- Qiao, J.; Wang, J.; Zhao, D.; Zhu, N.; Tang, J.; Zhou, W.; Schwenke, G.; Yan, T.; Yang, L. Effect of continuous N fertilizer reduction on N losses and wheat yield in the Taihu Lake region, China. J. Clean. Prod. 2022, 364, 132475. [Google Scholar] [CrossRef]
- Lyu, J.; Jiang, Y.; Xu, C.; Liu, Y.; Su, Z.; Liu, J.; He, J. Multi-objective winter wheat irrigation strategies optimization based on coupling AquaCrop-OSPy and NSGA-III: A case study in Yangling, China. Sci. Total Environ. 2022, 843, 157104. [Google Scholar] [CrossRef] [PubMed]
- Zhuo, W.; Fang, S.; Wu, D.; Wang, L.; Li, M.; Zhang, J.; Gao, X. Integrating remotely sensed water stress factor with a crop growth model for winter wheat yield estimation in the North China Plain during 2008–2018. Crop J. 2022, 10, 1470–1482. [Google Scholar] [CrossRef]
- Qadir, M.; Sharma, B.R.; Bruggeman, A.; Choukr-Allah, R.; Karajeh, F. Non-conventional water resources and opportunities for water augmentation to achieve food security in water scarce countries. Agric. Water Manag. 2007, 87, 2–22. [Google Scholar] [CrossRef]
- Huang, M.; Wang, C.; Qi, W.; Zhang, Z.; Xu, H. Modelling the integrated strategies of deficit irrigation, nitrogen fertilization, and biochar addition for winter wheat by AquaCrop based on a two-year field study. Field Crops Res. 2022, 282, 108510. [Google Scholar] [CrossRef]
- Tahtouh, J.; Mohtar, R.; Assi, A.; Schwab, P.; Jantrania, A.; Deng, Y.; Munster, C. Impact of brackish groundwater and treated wastewater on soil chemical and mineralogical properties. Sci. Total Environ. 2019, 647, 99–109. [Google Scholar] [CrossRef]
- Kummu, M.; Ward, P.J.; de Moel, H.; Varis, O. Is physical water scarcity a new phenomenon? Global assessment of water shortage over the last two millennia. Environ. Res. Lett. 2010, 5, 034006. [Google Scholar] [CrossRef]
- Hussain, M.I.; Farooq, M.; Muscolo, A.; Rehman, A. Crop diversification and saline water irrigation as potential strategies to save freshwater resources and reclamation of marginal soils—A review. Environ. Sci. Pollut. Res. 2020, 27, 28695–28729. [Google Scholar] [CrossRef]
- Cavalcante, E.S.; Lacerda, C.F.; Mesquita, R.O.; de Melo, A.S.; da Silva Ferreira, J.F.; dos Santos Teixeira, A.; Lima, S.C.R.V.; da Silva Sales, J.R.; de Souza Silva, J.; Gheyi, H.R. Supplemental Irrigation with Brackish Water Improves Carbon Assimilation and Water Use Efficiency in Maize under Tropical Dryland Conditions. Agriculture 2022, 12, 544. [Google Scholar] [CrossRef]
- Singh, G.; Mavi, M.S.; Choudhary, O.P.; Gupta, N.; Singh, Y. Rice straw biochar application to soil irrigated with saline water in a cotton-wheat system improves crop performance and soil functionality in north-west India. J. Environ. Manag. 2021, 295, 113277. [Google Scholar] [CrossRef]
- Mosaffa, H.R.; Sepaskhah, A.R. Performance of irrigation regimes and water salinity on winter wheat as influenced by planting methods. Agric. Water Manag. 2019, 216, 444–456. [Google Scholar] [CrossRef]
- Chauhan, C.P.S.; Singh, R.B.; Gupta, S.K. Supplemental irrigation of wheat with saline water. Agric. Water Manag. 2008, 95, 253–258. [Google Scholar] [CrossRef]
- Wang, X.; Yang, J.; Liu, G.; Yao, R.; Yu, S. Impact of irrigation volume and water salinity on winter wheat productivity and soil salinity distribution. Agric. Water Manag. 2015, 149, 44–54. [Google Scholar] [CrossRef]
- Munns, R.; Tester, M. Mechanisms of salinity tolerance. Annu. Rev. Plant Biol. 2008, 59, 651–681. [Google Scholar] [CrossRef]
- Jiang, J.; Huo, Z.; Feng, S.; Zhang, C. Effect of irrigation amount and water salinity on water consumption and water productivity of spring wheat in Northwest China. Field Crops Res. 2012, 137, 78–88. [Google Scholar] [CrossRef]
- Liu, B.; Wang, S.; Kong, X.; Liu, X.; Sun, H. Modeling and assessing feasibility of long-term brackish water irrigation in vertically homogeneous and heterogeneous cultivated lowland in the North China Plain. Agric. Water Manag. 2019, 211, 98–110. [Google Scholar] [CrossRef]
- Sun, G.; Zhu, Y.; Ye, M.; Yang, J.; Qu, Z.; Mao, W.; Wu, J. Development and application of long-term root zone salt balance model for predicting soil salinity in arid shallow water table area. Agric. Water Manag. 2019, 213, 486–498. [Google Scholar] [CrossRef]
- Wu, Y.; Li, Y.; Zhang, Y.; Bi, Y.; Sun, Z. Responses of Saline Soil Properties and Cotton Growth to Different Organic Amendments. Pedosphere 2018, 28, 521–529. [Google Scholar] [CrossRef]
- Ren, F.; Yang, G.; Li, W.; He, X.; Gao, Y.; Tian, L.; Li, F.; Wang, Z.; Liu, S. Yield-compatible salinity level for growing cotton (Gossypium hirsutum L.) under mulched drip irrigation using saline water. Agric. Water Manag. 2021, 250, 106859. [Google Scholar] [CrossRef]
- Clare, A.; Shackley, S.; Joseph, S.; Hammond, J.; Pan, G.; Bloom, A. Competing uses for China’s straw: The economic and carbon abatement potential of biochar. GCB Bioenergy 2015, 7, 1272–1282. [Google Scholar] [CrossRef]
- Lal, R. The Role of Residues Management in Sustainable Agricultural Systems. J. Sustain. Agric. 1995, 5, 51–78. [Google Scholar] [CrossRef]
- Akhtar, K.; Wang, W.; Ren, G.; Khan, A.; Feng, Y.; Yang, G. Changes in soil enzymes, soil properties, and maize crop productivity under wheat straw mulching in Guanzhong, China. Soil Tillage Res. 2018, 182, 94–102. [Google Scholar] [CrossRef]
- Paul, P.L.C.; Bell, R.W.; Barrett-Lennard, E.G.; Kabir, E. Impact of Rice Straw Mulch on Soil Physical Properties, Sunflower Root Distribution and Yield in a Salt-Affected Clay-Textured Soil. Agriculture 2021, 11, 264. [Google Scholar] [CrossRef]
- Zhang, Z.; Zhang, Z.; Lu, P.; Feng, G.; Qi, W. Soil Water-Salt Dynamics and Maize Growth as Affected by Cutting Length of Topsoil Incorporation Straw under Brackish Water Irrigation. Agronomy 2020, 10, 246. [Google Scholar] [CrossRef]
- Luo, C.L.; Zhang, X.F.; Duan, H.X.; Mburu, D.M.; Ren, H.X.; Kavagi, L.; Dai, R.Z.; Xiong, Y.C. Dual plastic film and straw mulching boosts wheat productivity and soil quality under the El Nino in semiarid Kenya. Sci. Total Environ. 2020, 738, 139808. [Google Scholar] [CrossRef]
- Sarangi, S.K.; Maji, B.; Sharma, P.C.; Digar, S.; Mahanta, K.K.; Burman, D.; Mandal, U.K.; Mandal, S.; Mainuddin, M. Potato (Solanum tuberosum L.) Cultivation by Zero Tillage and Paddy Straw Mulching in the Saline Soils of the Ganges Delta. Potato Res. 2020, 64, 277–305. [Google Scholar] [CrossRef]
- Liao, Y.; Cao, H.-X.; Liu, X.; Li, H.-T.; Hu, Q.-Y.; Xue, W.-K. By increasing infiltration and reducing evaporation, mulching can improve the soil water environment and apple yield of orchards in semiarid areas. Agric. Water Manag. 2021, 253, 106936. [Google Scholar] [CrossRef]
- Dong, Q.g.; Yang, Y.; Yu, K.; Feng, H. Effects of straw mulching and plastic film mulching on improving soil organic carbon and nitrogen fractions, crop yield and water use efficiency in the Loess Plateau, China. Agric. Water Manag. 2018, 201, 133–143. [Google Scholar] [CrossRef]
- Gong, H.; Li, Y.; Li, S. Effects of the interaction between biochar and nutrients on soil organic carbon sequestration in soda saline-alkali grassland: A review. Glob. Ecol. Conserv. 2021, 26, e01449. [Google Scholar] [CrossRef]
- Lehmann, J.; Kuzyakov, Y.; Pan, G.; Ok, Y.S. Biochars and the plant-soil interface. Plant Soil 2015, 395, 1–5. [Google Scholar] [CrossRef]
- Conte, P.; Bertani, R.; Sgarbossa, P.; Bambina, P.; Schmidt, H.-P.; Raga, R.; Lo Papa, G.; Chillura Martino, D.F.; Lo Meo, P. Recent Developments in Understanding Biochar’s Physical–Chemistry. Agronomy 2021, 11, 615. [Google Scholar] [CrossRef]
- Razzaghi, F.; Obour, P.B.; Arthur, E. Does biochar improve soil water retention? A systematic review and meta-analysis. Geoderma 2020, 361, 114055. [Google Scholar] [CrossRef]
- Dai, Y.; Zheng, H.; Jiang, Z.; Xing, B. Combined effects of biochar properties and soil conditions on plant growth: A meta-analysis. Sci. Total Environ. 2020, 713, 136635. [Google Scholar] [CrossRef] [PubMed]
- Agbna, G.H.D.; Dongli, S.; Zhipeng, L.; Elshaikh, N.A.; Guangcheng, S.; Timm, L.C. Effects of deficit irrigation and biochar addition on the growth, yield, and quality of tomato. Sci. Hortic. 2017, 222, 90–101. [Google Scholar] [CrossRef]
- Chaganti, V.N.; Crohn, D.M. Evaluating the relative contribution of physiochemical and biological factors in ameliorating a saline–sodic soil amended with composts and biochar and leached with reclaimed water. Geoderma 2015, 259–260, 45–55. [Google Scholar] [CrossRef]
- Li, C.; Xiong, Y.; Qu, Z.; Xu, X.; Huang, Q.; Huang, G. Impact of biochar addition on soil properties and water-fertilizer productivity of tomato in semi-arid region of Inner Mongolia, China. Geoderma 2018, 331, 100–108. [Google Scholar] [CrossRef]
- Feng, G.; Zhang, Z.; Wan, C.; Lu, P.; Bakour, A. Effects of saline water irrigation on soil salinity and yield of summer maize (Zea mays L.) in subsurface drainage system. Agric. Water Manag. 2017, 193, 205–213. [Google Scholar] [CrossRef]
- Nelson, D.W.; Sommers, L.E. Total carbon, organic carbon, and organic matter. Methods Soil Anal. Part 3 Chem. Methods 1996, 5, 961–1010. [Google Scholar]
- Bremner, J. Determination of nitrogen in soil by the Kjeldahl method. J. Agric. Sci. 1960, 55, 11–33. [Google Scholar] [CrossRef]
- Olsen, S.R. Estimation of Available Phosphorus in Soils by Extraction with Sodium Bicarbonate; US Department of Agriculture: Washington, DC, USA, 1954. [Google Scholar]
- Helmke, P.A.; Sparks, D.L. Lithium, sodium, potassium, rubidium, and cesium. Methods Soil Anal. Part 3 Chem. Methods 1996, 5, 551–574. [Google Scholar]
- Huang, M.; Zhang, Z.; Zhai, Y.; Lu, P.; Zhu, C. Effect of Straw Biochar on Soil Properties and Wheat Production under Saline Water Irrigation. Agronomy 2019, 9, 457. [Google Scholar] [CrossRef]
- She, D.; Sun, X.; Gamareldawla, A.H.D.; Nazar, E.A.; Hu, W.; Edith, K.; Yu, S. Benefits of soil biochar amendments to tomato growth under saline water irrigation. Sci. Rep. 2018, 8, 14743. [Google Scholar] [CrossRef] [PubMed]
- Lu, T.; Wang, X.; Du, Z.; Wu, L. Impacts of continuous biochar application on major carbon fractions in soil profile of North China Plain’s cropland: In comparison with straw incorporation. Agric. Ecosyst. Environ. 2021, 315, 107445. [Google Scholar] [CrossRef]
- Sekhon, K.S.; Kaur, A.; Thaman, S.; Sidhu, A.S.; Garg, N.; Choudhary, O.P.; Buttar, G.S.; Chawla, N. Irrigation water quality and mulching effects on tuber yield and soil properties in potato (Solanum tuberosum L.) under semi-arid conditions of Indian Punjab. Field Crops Res. 2020, 247, 107544. [Google Scholar] [CrossRef]
- Rengasamy, P. Soil processes affecting crop production in salt-affected soils. Funct. Plant Biol. 2010, 37, 613–620. [Google Scholar] [CrossRef]
- Ma, L.; Kong, F.; Wang, Z.; Luo, Y.; Lv, X.; Zhou, Z.; Meng, Y. Growth and yield of cotton as affected by different straw returning modes with an equivalent carbon input. Field Crops Res. 2019, 243, 107616. [Google Scholar] [CrossRef]
- Xie, X.; Pu, L.; Zhu, M.; Meadows, M.; Sun, L.; Wu, T.; Bu, X.; Xu, Y. Differential effects of various reclamation treatments on soil characteristics: An experimental study of newly reclaimed tidal mudflats on the east China coast. Sci. Total Environ. 2021, 768, 144996. [Google Scholar] [CrossRef]







| Attribute | Soil | Biochar | Straw |
|---|---|---|---|
| pH | 7.76 | 9.48 | – |
| Electrical Conductivity (dS m−1) | 1.34 | 3.92 | – |
| Bulk Density (g cm−3) | 1.37 | 0.21 | – |
| Organic carbon (g kg−1) | 8.0 | 587.6 | 423.9 |
| Total nitrogen (g kg−1) | 1.95 | 32.6 | 6.1 |
| Available phosphorus (g kg−1) | 0.021 | 11.4 | 1.5 |
| Available potassium (g kg−1) | 0.064 | 48.2 | 19.6 |
| Calcium (g kg−1) | 0.018 | 0.016 | – |
| Sodium (g kg−1) | 0.105 | 0.032 | – |
| Magnesium (g kg−1) | 0.014 | 0.024 | – |
| Cation exchange capacity (cmol kg−1) | 18.2 | 76.1 | – |
| Field capacity (cm3 cm−3) | 35.2 | – | – |
| Silt (%) | 37.88 | – | – |
| Sand (%) | 31.29 | – | – |
| Clay (%) | 30.83 | – | – |
| Year | Sowing | Greening | Jointing | Heading | Filling | Total | |
|---|---|---|---|---|---|---|---|
| Fresh Water | Saline Water | ||||||
| 2017–2018 | Date | 21 Nov. | 12 Feb. | 21 Mar. | 18 Apr. | 10 May | |
| Amount | 40 mm | 80 mm | 80 mm | 80 mm | 80 mm | 360 mm | |
| 2018–2019 | Date | 21 Nov. | 19 Feb. | 31 Mar. | 14 Apr. | 15 May | |
| Amount | 40 mm | 80 mm | 80 mm | 80 mm | 80 mm | 360 mm | |
| Irrigation Salinity | Straw Treatment | Aboveground Biomass (t ha−1) | Grain Yield (t ha−1) | Spike Number (m−2) | Kernel Number (spike−1) | 1000-Grain Weight (g) | |||||
|---|---|---|---|---|---|---|---|---|---|---|---|
| 2017–2018 | 2018–2019 | 2017–2018 | 2018–2019 | 2017–2018 | 2018–2019 | 2017–2018 | 2018–2019 | 2017–2018 | 2018–2019 | ||
| I0 | CK | 15.23 aC | 14.89 aC | 7.53 aB | 7.31 aB | 504 aC | 510 aC | 33.70 aA | 34.10 aA | 42.48 aB | 41.93 aB |
| SM | 15.91 aB | 16.02 aB | 7.63 aB | 7.76 aB | 527 aAB | 532 aB | 34.80 aA | 33.93 aA | 43.56 aA | 43.77 aA | |
| BA | 16.32 aA | 16.62 aA | 8.12 aAB | 8.37 aA | 525 aB | 543 aAB | 34.87 aA | 34.73 aA | 44.08 aA | 44.60 aA | |
| SM+BA | 16.72 aA | 16.92 aA | 8.50 aA | 8.63 aA | 540 aA | 558 aA | 34.87 aA | 34.97 aA | 44.31 aA | 45.60 aA | |
| I1 | CK | 14.29 bD | 13.62 bD | 6.82 bC | 6.55 bD | 493 bB | 487 bC | 33.77 aA | 30.83 abA | 41.55 bC | 40.88 bC |
| SM | 14.78 bC | 14.79 bC | 7.33 bBC | 7.27 bC | 496 bB | 496 bBC | 33.47 aA | 33.33 abA | 42.35 bBC | 42.20 bB | |
| BA | 15.42 bB | 15.42 bB | 7.72 bAB | 7.49 bB | 504 bB | 514 bAB | 33.97 aA | 32.43 abA | 43.18 bAB | 43.88 bA | |
| SM+BA | 16.05 bA | 15.95 bA | 8.02 bA | 7.99 bA | 522 bA | 523 bA | 34.37 aA | 33.97 abA | 44.01 bA | 44.38 bA | |
| I2 | CK | 12.98 cD | 12.10 cD | 6.23 cD | 5.98 cD | 462 cC | 463 cD | 31.30 aA | 29.60 bA | 40.12 cC | 39.09 cD |
| SM | 13.40 cC | 13.32 cC | 6.68 cC | 6.33 cC | 484 cB | 472 cC | 32.43 aA | 32.37 bA | 41.09 cB | 40.35 cC | |
| BA | 14.27 cB | 14.32 cB | 7.14 cB | 6.88 cB | 491 cB | 490 cB | 32.97 aA | 31.93 bA | 41.85 cAB | 41.11 cB | |
| SM+BA | 14.98 cA | 14.87 cA | 7.51 cA | 7.25 cA | 510 cA | 498 cA | 34.03 aA | 33.10 bA | 42.73 cA | 42.07 cA | |
| Salinity | ** | ** | ** | ** | ** | ** | ns | * | ** | ** | |
| Straw | ** | ** | ** | ** | ** | ** | ns | ns | ** | ** | |
| Salinity × Straw | ns | ns | ns | ns | ns | ns | ns | ns | ns | ns | |
Publisher’s Note: MDPI stays neutral with regard to jurisdictional claims in published maps and institutional affiliations. |
© 2022 by the authors. Licensee MDPI, Basel, Switzerland. This article is an open access article distributed under the terms and conditions of the Creative Commons Attribution (CC BY) license (https://creativecommons.org/licenses/by/4.0/).
Share and Cite
Zhang, Z.; Zhang, Z.; Feng, G.; Lu, P.; Huang, M.; Zhao, X. Biochar Amendment Combined with Straw Mulching Increases Winter Wheat Yield by Optimizing Soil Water-Salt Condition under Saline Irrigation. Agriculture 2022, 12, 1681. https://doi.org/10.3390/agriculture12101681
Zhang Z, Zhang Z, Feng G, Lu P, Huang M, Zhao X. Biochar Amendment Combined with Straw Mulching Increases Winter Wheat Yield by Optimizing Soil Water-Salt Condition under Saline Irrigation. Agriculture. 2022; 12(10):1681. https://doi.org/10.3390/agriculture12101681
Chicago/Turabian StyleZhang, Zemin, Zhanyu Zhang, Genxiang Feng, Peirong Lu, Mingyi Huang, and Xinyu Zhao. 2022. "Biochar Amendment Combined with Straw Mulching Increases Winter Wheat Yield by Optimizing Soil Water-Salt Condition under Saline Irrigation" Agriculture 12, no. 10: 1681. https://doi.org/10.3390/agriculture12101681
APA StyleZhang, Z., Zhang, Z., Feng, G., Lu, P., Huang, M., & Zhao, X. (2022). Biochar Amendment Combined with Straw Mulching Increases Winter Wheat Yield by Optimizing Soil Water-Salt Condition under Saline Irrigation. Agriculture, 12(10), 1681. https://doi.org/10.3390/agriculture12101681

