The Influence of Dense Planting System on the Technical Efficiency of Saffron Production and Land Use Sustainability: Empirical Evidence from Gonabad County, Iran
Abstract
1. Introduction
2. Materials and Methods
2.1. Study Area
2.2. Data Collection and Questionnaire
2.3. Analytical Framework: OLS and Bootstrapped Truncated Regression as the Second Stage of DEA Efficiency Analysis
2.3.1. Data Envelopment Analysis
2.3.2. Second Stage of DEA Efficiency Analysis
- Estimate the efficiency scores for all DMUs and use them for further analysis.
- Use the method of maximum likelihood (ML) to obtain an estimate of β, as well as of , in the truncated regression of on zi.
- For each i = 1, …, n, loop over the next four steps L1 times to obtain n sets of bootstrapped estimates :
- Draw εi from the normally distributed error term with left truncation at ,
- Again for each i = 1, …, n, estimate ,
- Produce a pseudo-dataset (), where and ,
- Use the pseudo-dataset () to estimate the pseudo-efficiency score DEA .
- For each i = 1, …, n, calculate the bias-corrected efficiency estimator as:where is the bootstrapped estimator of bias, calculated as:
- Regress on zi using a truncated maximum likelihood estimation to obtain of β, and of .
- Loop over the next three steps L2 times to obtain a set of bootstrapped estimates :
- For each i = 1, …, n, draw εi from the normally distributed error term with left truncation at ,
- Again for each i = 1, …, n, estimate ,
- Regress on zi using a truncated maximum likelihood estimation to obtain of β, and of .
- Use the values in ζ to calculate the confidence interval and standard errors for and from the bootstrap distribution of and .
3. Results
3.1. Summary Statistics of the Sample Farms
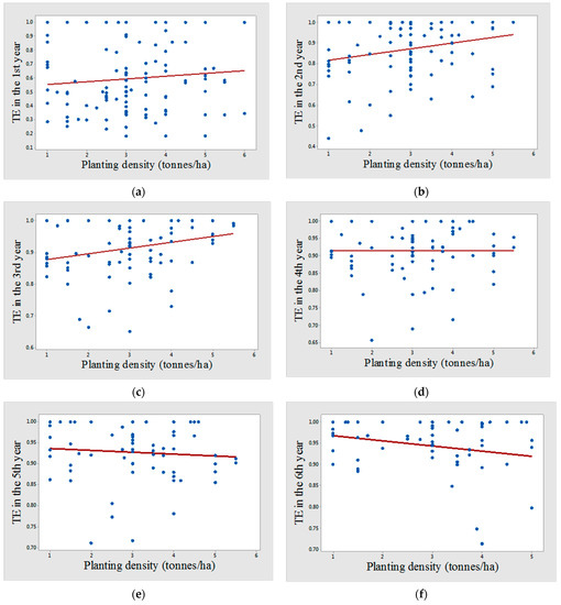
3.2. Technical Efficiency
3.3. Factors Influencing Technical Efficiency
4. Discussion
5. Conclusions
Author Contributions
Funding
Institutional Review Board Statement
Informed Consent Statement
Data Availability Statement
Acknowledgments
Conflicts of Interest
References
- Sahabi, H.; Feizi, H.; Karbasi, A. Is saffron more energy and economic efficient than wheat in crop rotation systems in northeast Iran? Sustain. Prod. Consum. 2016, 5, 29–35. [Google Scholar] [CrossRef]
- Jafari-Ghanavati, M.; Saket, S. Chapter 1-Saffron and Folklore. In Saffron: Science, Technology and Health; Koocheki, A., Khajeh-Hosseini, M.B.T.-S., Eds.; Woodhead Publishing: Sawston, UK, 2020; pp. 3–13. ISBN 978-0-12-818638-1. [Google Scholar]
- Rezvani-Moghaddam, P. Chapter 8-Ecophysiology of Saffron. In Saffron: Science, Technology and Health; Inoocheki, A., Khajeh-Hosseini, M.B.T.-S., Eds.; Woodhead Publishing: Sawston, UK, 2020; pp. 119–137. ISBN 978-0-12-818638-1. [Google Scholar]
- Shahnoushi, N.; Abolhassani, L.; Kavakebi, V.; Reed, M.; Saghaian, S. Chapter 21-Economic Analysis of Saffron Production. In Saffron: Science, Technology and Health; Koocheki, A., Khajeh-Hosseini, M.B.T.-S., Eds.; Woodhead Publishing: Sawston, UK, 2020; pp. 337–356. ISBN 978-0-12-818638-1. [Google Scholar]
- Rashed-Mohassel, M.-H. Chapter 4-Evolution and Botany of Saffron (Crocus sativus L.) and Allied Species. In Saffron: Science, Technology and Health; Koocheki, A., Khajeh-Hosseini, M.B.T.-S., Eds.; Woodhead Publishing: Sawston, UK, 2020; pp. 37–57. ISBN 978-0-12-818638-1. [Google Scholar]
- World Bank Saffron: A Major Source of Income and an Alternative to Poppy. Available online: https://www.worldbank.org/en/news/feature/2015/01/20/saffron-major-source-income-alternative-poppy (accessed on 30 November 2021).
- UNODC Executive Summary Policy Implications. Available online: https://www.unodc.org/unodc/en/data-and-analysis/wdr-2021_booklet-1.html (accessed on 30 November 2021).
- ITC Trade Map-Value of saffron exported by Iran in 2018 [online database]. Available online: https://www.trademap.org/Index.aspx (accessed on 16 May 2020).
- Bazrafshan, O.; Ramezani Etedali, H.; Gerkani Nezhad Moshizi, Z.; Shamili, M. Virtual water trade and water footprint accounting of Saffron production in Iran. Agric. Water Manag. 2019, 213, 368–374. [Google Scholar] [CrossRef]
- Mohammadi, H.; Kashefi, M.; Abolhasani, L. Effect of Marketing Strategies on Export Performance of Agricultural Products: The Case of Saffron in Iran. J. Agric. Sci. Technol. 2019, 21, 785–798. [Google Scholar]
- Ministry of agriculture Jihad. Available online: https://www.maj.ir (accessed on 17 May 2020).
- Koocheki, A.; Seyyedi, S.-M. Chapter 7-Saffron “Seed”, the Corm. In Saffron: Science, Technology and Health; Koocheki, A., Khajeh-Hosseini, M.B.T.-S., Eds.; Woodhead Publishing: Sawston, UK, 2020; pp. 93–118. ISBN 978-0-12-818638-1. [Google Scholar]
- Khajeh-Hosseini, M.; Fallahpour, F. Chapter 12-Emerging Innovation in Saffron Production. In Saffron: Science, Technology and Health; Koocheki, A., Khajeh-Hosseini, M.B.T.-S., Eds.; Woodhead Publishing: Sawston, UK, 2020; pp. 205–216. ISBN 978-0-12-818638-1. [Google Scholar]
- FAO. The Future of Food and Agriculture. Cause for Hope and Concern-Trends and Challenges; FAO: Rome, Italy, 2017; p. 163. [Google Scholar]
- Zulfiqar, F.; Thapa, G.B. Determinants and intensity of adoption of “better cotton” as an innovative cleaner production alternative. J. Clean. Prod. 2018, 172, 3468–3478. [Google Scholar] [CrossRef]
- Asimeh, M.; Nooripoor, M.; Azadi, H.; Van Eetvelde, V.; Sklenička, P.; Witlox, F. Agricultural land use sustainability in Southwest Iran: Improving land leveling using consolidation plans. Land Use Policy 2020, 94, 104555. [Google Scholar] [CrossRef]
- Reytar, K.; Hanson, C.; Henninger, N. Indicators of Sustainable Agriculture: A Scoping Study. Creat. Sustain. Food Futur. 2014, 1–20. Available online: https://www.wri.org/research/indicators-sustainable-agriculture-scoping-analysis (accessed on 30 November 2021).
- Trigo, A.; Marta-Costa, A.; Fragoso, R. Principles of sustainable agriculture: Defining standardized reference points. Sustainability 2021, 13, 4086. [Google Scholar] [CrossRef]
- Ait-Oubahou, A.; El-Otmani, M. Saffron cultivation in Morocco. In Saffron: Crocus sativus L.; Negbi, M., Ed.; Gordon and Breach: Amsterdam, The Netherlands, 1999. [Google Scholar]
- Ranjbar, A.; Emami, H.; Khorassani, R.; Karimi Karouyeh, A.R. Soil quality assessments in some Iranian saffron fields. J. Agric. Sci. Technol. 2016, 18, 865–878. [Google Scholar]
- Yau, S.K.; Nimah, M. Spacing effects on corm and flower production of saffron (Crocus sativus). Leban. Sci. J. 2004, 5, 1–8. [Google Scholar]
- Saeidirad, M.-H. Chapter 11-Mechanization of Saffron Production. In Saffron: Science, Technology and Health; Koocheki, A., Khajeh-Hosseini, M.B.T.-S., Eds.; Woodhead Publishing: Sawston, UK, 2020; ISBN 978-0-12-818638-1. [Google Scholar]
- Koocheki, A.; Fallahi, H.-R.; Jami-Al-Ahmadi, M. Chapter 6-Saffron water requirements. In Saffron: Science, Technology and Health; Koocheki, A., Khajeh-Hosseini, M.B.T.-S., Eds.; Woodhead Publishing: Sawston, UK, 2020; pp. 67–92. ISBN 978-0-12-818638-1. [Google Scholar]
- Tammaro, F. Saffron. In Saffron: Crocus sativus L.; Negbi, M., Ed.; Gordon and Breach: Amsterdam, The Netherlands, 1999; p. 148. ISBN 0203303660. [Google Scholar]
- Zulfiqar, F.; Datta, A.; Thapa, G.B. Determinants and resource use efficiency of “better cotton”: An innovative cleaner production alternative. J. Clean. Prod. 2017, 166, 1372–1380. [Google Scholar] [CrossRef]
- Mukhtar, U.; Mohamed, Z.; Shamsudin, M.N.; Sharifuddin, J.; Iliyasu, A. Application of data envelopment analysis for technical efficiency of smallholder pearl millet farmers in Kano state, Nigeria. Bulg. J. Agric. Sci. 2018, 24, 213–222. [Google Scholar]
- Habiyaremye, N.; Tabe-Ojong, M.P.J.; Ochieng, J.; Chagomoka, T. New insights on efficiency and productivity analysis: Evidence from vegetable-poultry integration in rural Tanzania. Sci. Afr. 2019, 6, e00190. [Google Scholar] [CrossRef]
- Mengui, K.C.; Oh, S.; Lee, S.H. The Technical Efficiency of Smallholder Irish Potato Producers in Santa Subdivision, Cameroon. Agriculture 2019, 9, 259. [Google Scholar] [CrossRef]
- Attipoe, S.G.; Jianmin, C.; Opoku-Kwanowaa, Y.; Ohene-Sefa, F. The Determinants of Technical Efficiency of Cocoa Production in Ghana: An Analysis of the Role of Rural and Community Banks. Sustain. Prod. Consum. 2020, 23, 11–20. [Google Scholar] [CrossRef]
- Kazemi, S.H. A Proposal for Designation as a GIAHS Qanat-Basedsaffron Farming System in Gonabad County, Khorasan Razavi Province, Islamic Republic of Iran. 2018. Available online: https://www.fao.org/giahs/giahsaroundtheworld/designated-sites/asia-and-the-pacific/qanat-based-saffron-farming-system-in-gonabad/annexes/en/ (accessed on 30 November 2021).
- Wickham, H. ggplot2: Create elegant data visualisations using the grammar of graphics. Wiley Interdiscip. Rev. Comput. Stat. 2011, 3, 180–185. [Google Scholar] [CrossRef]
- Sauro, J.; Lewis, J.R. Chapter 6-What Sample Sizes Do We Need? Part 1: Summative Studies. In Quantifying the User Experience: Practical Statistics for User Research; Sauro, J., Lewis, J.R.B.T.-Q.U.E., Eds.; Morgan Kaufmann: Cambridge, MA, USA, 2016; pp. 103–141. ISBN 978-0-12-384968-7. [Google Scholar]
- Farrell, M.J. The Measurement of Productive Efficiency. J. R. Stat. Soc. Ser. A 1957, 120, 253–281. [Google Scholar] [CrossRef]
- Charnes, A.; Cooper, W.W.; Rhodes, E. Measuring the efficiency of decision making units. Eur. J. Oper. Res. 1978, 2, 429–444. [Google Scholar] [CrossRef]
- Wang, X. Irrigation Water Use Efficiency of Farmers and Its Determinants: Evidence from a Survey in Northwestern China. Agric. Sci. China 2010, 9, 1326–1337. [Google Scholar] [CrossRef]
- Stolp, C. Strengths and weaknesses of data envelopment analysis: An urban and regional perspective. Comput. Environ. Urban Syst. 1990, 14, 103–116. [Google Scholar] [CrossRef]
- De Koeijer, T.J.; Wossink, G.A.A.; Struik, P.C.; Renkema, J.A. Measuring agricultural sustainability in terms of efficiency: The case of Dutch sugar beet growers. J. Environ. Manage. 2002, 66, 9–17. [Google Scholar] [CrossRef]
- Toma, E.; Dobre, C.; Dona, I.; Cofas, E. DEA Applicability in Assessment of Agriculture Efficiency on Areas with Similar Geographically Patterns. Agric. Agric. Sci. Procedia 2015, 6, 704–711. [Google Scholar] [CrossRef]
- Coelli, T.J.; Prasada Rao, D.S.; O’Donnell, C.J.; Battese, G.E. An Introduction to Efficiency and Productivity Analysis; Springer: New York, NY, USA, 2005; ISBN 0387242651. [Google Scholar]
- Pastor, J.T.; Ruiz, J.L.; Sirvent, I. A Statistical Test for Nested Radial Dea Models. Oper. Res. 2002, 50, 728–735. [Google Scholar] [CrossRef]
- Boubacar, O.; Hui-qiu, Z.; Rana, M.A.; Ghazanfar, S. Analysis on Technical Efficiency of Rice Farms and Its Influencing Factors in South-western of Niger. J. Northeast Agric. Univ. Engl. Ed. 2016, 23, 67–77. [Google Scholar] [CrossRef]
- Tipi, T.; Yildiz, N.; Nargeleçekenler, M.; Çetin, B. Measuring the technical efficiency and determinants of efficiency of rice (Oryza sativa) farms in Marmara region, Turkey. N. Zeal. J. Crop Hortic. Sci. 2009, 37, 121–129. [Google Scholar] [CrossRef][Green Version]
- Toma, L.; March, M.; Stott, A.W.; Roberts, D.J. Environmental efficiency of alternative dairy systems: A productive efficiency approach. J. Dairy Sci. 2013, 96, 7014–7031. [Google Scholar] [CrossRef]
- Hansson, H. Are larger farms more efficient?A farm level study of the relationships between efficiency and size on specialized dairy farms in Sweden. Agric. Food Sci. 2008, 17, 325–337. [Google Scholar] [CrossRef]
- McDonald, J. Using least squares and tobit in second stage DEA efficiency analyses. Eur. J. Oper. Res. 2009, 197, 792–798. [Google Scholar] [CrossRef]
- Banker, R.D.; Natarajan, R. Evaluating Contextual Variables Affecting Productivity Using Data Envelopment Analysis. Oper. Res. 2008, 56, 48–58. [Google Scholar] [CrossRef]
- Simar, L.; Wilson, P.W. Estimation and inference in two-stage, semi-parametric models of production processes. J. Econom. 2007, 136, 31–64. [Google Scholar] [CrossRef]
- López-Penabad, M.-C.; Maside-Sanfiz, J.M.; Torrelles Manent, J.; Iglesias-Casal, A. Application of the DEA Double Bootstrap to Analyze Efficiency in Galician Sheltered Workshops. Sustainability 2020, 12, 6625. [Google Scholar] [CrossRef]
- Hall, P. On the Number of Bootstrap Simulations Required to Construct a Confidence Interval. Ann. Stat. 1986, 14, 1453–1462. [Google Scholar] [CrossRef]
- Shahandeh, H. Chapter 5-Soil Conditions for Sustainable Saffron Production. In Saffron: Science, Technology and Health; Koocheki, A., Khajeh-Hosseini, M.B.T.-S., Eds.; Woodhead Publishing: Sawston, UK, 2020; pp. 59–66. ISBN 978-0-12-818638-1. [Google Scholar]
- Dourandish, A.; Ramezani, M.; Aminizadeh, M. Investigation of the Effective Factors on Use of Chemical Fertilizers in Saffron Farms (Case study: Gonabad County). Saffron Agron. Technol. 2019, 7, 359–376, (originally in persian). [Google Scholar] [CrossRef]
- Bazoobandi, M.; Rahimi, H.; Karimi-Shahri, M.-R. Chapter 10-Saffron Crop Protection. In Saffron: Science, Technology and Health; Koocheki, A., Khajeh-Hosseini, M.B.T.-S., Eds.; Woodhead Publishing: Sawston, UK, 2020; pp. 169–185. ISBN 978-0-12-818638-1. [Google Scholar]
- Oyetunde-usman, Z.; Olagunju, K.O. Determinants of Food Security and Technical Efficiency among Agricultural Households in Nigeria. Economies 2019, 7, 103. [Google Scholar] [CrossRef]
- Tan, S.; Heerink, N.; Kuyvenhoven, A.; Qu, F. NJAS-Wageningen Journal of Life Sciences Impact of land fragmentation on rice producers’ technical efficiency in South-East China. NJAS Wagening. J. Life Sci. 2010, 57, 117–123. [Google Scholar] [CrossRef]
- Umanath, M.; David Rajasekar, D. Estimation of Technical, Scale and Economic Efficiency of Paddy Farms: A Data Envelopment Analysis Approach. J. Agric. Sci. 2013, 5, 243–251. [Google Scholar] [CrossRef]
- Wongnaa, C.A.; Awunyo-Vitor, D. Scale efficiency of maize farmers in four agro ecological zones of Ghana: A parametric approach. J. Saudi Soc. Agric. Sci. 2019, 18, 275–287. [Google Scholar] [CrossRef]
- Ugbabe, O.; Abdoulaye, T.; Kamara, A.; Mbavai, J.; Oyinbo, O. Profitability and Technical Efficiency of Soybean Production in Northern Nigeria. Tropicultura 2017, 35, 203–214. [Google Scholar]



| Mean | SD | Min. | Max. | ||
|---|---|---|---|---|---|
| Output per hectare | Harvested saffron flowers (kg/ha) | 426.75 | 345.96 | 20 | 2000 |
| Production input | Land (ha) | 0.56 | 0.40 | 0.1 | 2 |
| Saffron corm (tonnes/ha) | 3.17 | 1.28 | 1 | 6 | |
| Labour (person/year/ha) | 54.92 | 30.55 | 10 | 207.15 | |
| Water (cubic metres/ha) | 6480 | 1527.79 | 4050 | 12,150 | |
| Chemical fertiliser (kg/ha) | 182.79 | 117.73 | 28 | 500 | |
| Cattle manure (tonnes/ha) | 38.20 | 30.11 | 5 | 105 | |
| Farm and farmer characteristics | Farmer’s age (years) | 49.93 | 13.92 | 24 | 79 |
| Education (years) | 7.13 | 4.06 | 0 | 16 | |
| Income (IRR million *) | 21.11 | 9.18 | 5.4 | 46.80 | |
| Household size (number of persons) | 4.67 | 1.91 | 1 | 8 | |
| Planting density (tonnes/ha) | 3.17 | 1.28 | 1 | 6 | |
| Farm size (ha) | 0.56 | 0.40 | 0.1 | 2 | |
| Age of the farm (years) | 5.45 | 3.15 | 1 | 13 | |
| Insurance (dummy) | 0.24 | 0.43 | 0 | 1 | |
| Training course (dummy) | 0.28 | 0.45 | 0 | 1 |
| Mean | SD | Min. | Max. | |
|---|---|---|---|---|
| 1st year (110 farms) | 131.80 | 104.95 | 10 | 500 |
| 2nd year (90 farms) | 302.36 | 187.76 | 20 | 1000 |
| 3rd year (81 farms) | 478.11 | 263.50 | 50 | 1428.57 |
| 4th year (77 farms) | 580.22 | 303.09 | 150 | 2000 |
| 5th year (68 farms) | 635.52 | 322.84 | 150 | 2000 |
| 6th year (57 farms) | 670.33 | 361.23 | 100 | 2000 |
| Efficiency Range | Overall Technical Efficiency (CRS) | Pure Technical Efficiency (VRS) | Scale Efficiency | ||||
|---|---|---|---|---|---|---|---|
| Freq. | % | Freq. | % | Freq. | % | ||
| Frequency | 0.3–0.40 | 1 | 0.9 | - | - | - | - |
| 0.41–0.5 | 1 | 0.9 | 1 | 0.9 | - | - | |
| 0.51–0.6 | 8 | 7.3 | 5 | 4.5 | 1 | 0.9 | |
| 0.61–0.70 | 19 | 17.3 | 8 | 7.3 | 4 | 3.6 | |
| 0.71–0.8 | 39 | 35.5 | 30 | 27.3 | 8 | 7.3 | |
| 0.81–0.9 | 23 | 20.9 | 32 | 29.1 | 9 | 8.2 | |
| 0.91–0.99 | 9 | 8.2 | 12 | 10.9 | 78 | 70.9 | |
| 1 | 10 | 9.1 | 22 | 20 | 10 | 9.1 | |
| Total DMUs | 110 | 100 | 110 | 100 | 110 | 100 | |
| Summary statistics of efficiency score | Mean | 0.77 | 0.83 | 0.93 | |||
| SD | 0.13 | 0.12 | 0.09 | ||||
| Min. | 0.39 | 0.50 | 0.55 | ||||
| Max. | 1 | 1 | 1 | ||||
| 1st Year | 2nd Year | 3rd Year | 4th Year | 5th Year | 6th Year | ||
|---|---|---|---|---|---|---|---|
| Overall technical efficiency | Mean | 0.45 | 0.80 | 0.89 | 0.91 | 0.91 | 0.92 |
| SD | 0.26 | 0.15 | 0.09 | 0.07 | 0.06 | 0.08 | |
| Min. | 0.05 | 0.25 | 0.43 | 0.64 | 0.70 | 0.70 | |
| Max. | 1 | 1 | 1 | 1 | 1 | 1 | |
| Pure technical efficiency | Mean | 0.59 | 0.87 | 0.91 | 0.92 | 0.93 | 0.93 |
| SD | 0.24 | 0.13 | 0.09 | 0.07 | 0.07 | 0.08 | |
| Min. | 0.18 | 0.44 | 0.65 | 0.66 | 0.71 | 0.71 | |
| Max. | 1 | 1 | 1 | 1 | 1 | 1 | |
| Scale efficiency | Mean | 0.78 | 0.92 | 0.97 | 0.99 | 0.99 | 0.99 |
| SD | 0.28 | 0.09 | 0.07 | 0.02 | 0.03 | 0.02 | |
| Min. | 0.08 | 0.53 | 0.43 | 0.86 | 0.89 | 0.91 | |
| Max. | 1 | 1 | 1 | 1 | 1 | 1 |
| Variable | OLS | BTR | ||
|---|---|---|---|---|
| Coefficient | Observed Coefficient | |||
| Farmer’s age (year) | −0.0002893 (0.0005585) | −0.0010755 (0.0007307) | ||
| Education (year) | −0.0039596 ** (0.0018143) | −0.0046747 ** (0.0021135) | ||
| Income (IRR million) | 0.0021102 *** (0.0006839) | 0.0026016 *** (0.0006479) | ||
| Household size (person) | 0.0106486 *** (0.0029393) | 0.0150109 *** (0.0041031) | ||
| Planting density (tonnes/ha) | −0.0159393 *** (0.0058302) | −0.0209548 *** (0.0068499) | ||
| Farm size (ha) | −0.0314697 * (0.0165183) | −0.0429285 * (0.0252818) | ||
| Age of the farm (year) | 0.0085347 *** (0.001799) | 0.0063351 *** (0.0018986) | ||
| Insurance (dummy) | 0.018882 (0.0140989) | 0.0226544 (0.0150991) | ||
| Training course (dummy) | 0.0319484 ** (0.0122884) | 0.0372746 * (0.0199329) | ||
| Constant | 0.8294427 *** (0.0467917) | 0.8375636 *** (0.0617453) | ||
| Sigma | - | 0.0770393 *** (0.0064382) | ||
| Model fit measures | F (9,100) | 11.54 *** | Wald chi2 (9) | 103.65 *** |
| Root MSE | 0.0788 | Log-likelihood | 236.49 | |
| R-squared | 0.331 | Upper limit | 1 | |
| Adj. R-squared | 0.302 | Truncated obs. | 22 | |
| Total obs. | 110 | Total obs. | 110 | |
| Variables | Fisher Test | |
|---|---|---|
| Statistic | p-Value | |
| Technical Efficiency | 153.1089 | 0.00 |
| Variable | Random Effect | Fixed Effect | Fixed Effect | Fixed Effect |
|---|---|---|---|---|
| Ln(Corm) | 0.0092 (0.0179) | −0.5549 *** (0.2033) | 0.0228 * (0.0130) | −0.2715 ** (0.1287) |
| Constant | 0.8306 *** (0.0201) | 1.3383 *** (0.2207) | 0.57192 *** (0.0192) | 0.8305 *** (0.1407) |
| Farmer-specific effect | √ | √ | ||
| Time-specific effect | √ | √ | ||
| LR | 0.27 | 287.06 *** | 313.74 *** | 739.39 *** |
| AIC | −204.9845 | −273.778 | −508.465 | −716.113 |
| Total observations | 483 | |||
| Variable | Random Effect | Fixed Effect | Fixed Effect | Fixed Effect |
|---|---|---|---|---|
| Ln(Corm) | 0.0079 (0.0216) | −0.2123 ** (0.1066) | 0.0202 * (0.0116) | −0.2937 *** (0.0929) |
| Constant | 0.8213 *** (0.0149) | 1.0184 *** (0.1133) | 0.5879 *** (0.1424) | 0.7928 *** (0.0161) |
| farmer specific effect | √ | √ | ||
| time specific effect | √ | √ | ||
| LR | 0.22 | 446.78 *** | 312.26 *** | 1073.09 *** |
| AIC | 68.0338 | −39.6037 | −97.5983 | −618.7344 |
| Total observations | 483 | |||
Publisher’s Note: MDPI stays neutral with regard to jurisdictional claims in published maps and institutional affiliations. |
© 2022 by the authors. Licensee MDPI, Basel, Switzerland. This article is an open access article distributed under the terms and conditions of the Creative Commons Attribution (CC BY) license (https://creativecommons.org/licenses/by/4.0/).
Share and Cite
Ramezani, M.; Dourandish, A.; Jamali Jaghdani, T.; Aminizadeh, M. The Influence of Dense Planting System on the Technical Efficiency of Saffron Production and Land Use Sustainability: Empirical Evidence from Gonabad County, Iran. Agriculture 2022, 12, 92. https://doi.org/10.3390/agriculture12010092
Ramezani M, Dourandish A, Jamali Jaghdani T, Aminizadeh M. The Influence of Dense Planting System on the Technical Efficiency of Saffron Production and Land Use Sustainability: Empirical Evidence from Gonabad County, Iran. Agriculture. 2022; 12(1):92. https://doi.org/10.3390/agriculture12010092
Chicago/Turabian StyleRamezani, Mohammadreza, Arash Dourandish, Tinoush Jamali Jaghdani, and Milad Aminizadeh. 2022. "The Influence of Dense Planting System on the Technical Efficiency of Saffron Production and Land Use Sustainability: Empirical Evidence from Gonabad County, Iran" Agriculture 12, no. 1: 92. https://doi.org/10.3390/agriculture12010092
APA StyleRamezani, M., Dourandish, A., Jamali Jaghdani, T., & Aminizadeh, M. (2022). The Influence of Dense Planting System on the Technical Efficiency of Saffron Production and Land Use Sustainability: Empirical Evidence from Gonabad County, Iran. Agriculture, 12(1), 92. https://doi.org/10.3390/agriculture12010092

