Effect of Modified Atmosphere Packaging (MAP) and UV-C Irradiation on Postharvest Quality of Red Raspberries
Abstract
1. Introduction
2. Materials and Methods
2.1. Plant Material
2.2. UV-C Treatment
2.3. Modified Atmosphere Packaging (MAP) and Atmosphere Evolution during Shelf Life
2.4. Respiration Rate
2.5. Microbiological Quality and Rot Incidence
2.6. Physicochemical Fruit Quality Determination
2.6.1. Mass Loss
2.6.2. Total Soluble Solids (TSS)
2.6.3. Titratable Acidity (TA)
2.6.4. Color Determination by Image Digital Analysis
2.6.5. Fruit Firmness
2.7. Analysis of Bioactive Compounds
2.7.1. Polyphenolic Extracts Preparation
2.7.2. Total Phenolic Content (TPC)
2.7.3. Total Flavonoid Content (TFC)
2.7.4. 1,1-Diphenil-2-picrilhidrazil (DPPH) Scavenging Activity
2.7.5. Ferric Reduction Antioxidant Power (FRAP)
2.7.6. Total Anthocyanin Content (TAC)
2.8. Statistical Analysis
3. Results and Discussion
3.1. Determination of Respiratory Activity and Influence of UV-C Radiation
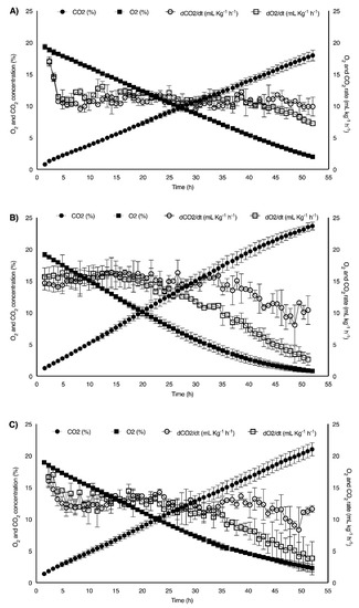
3.2. Changes in O2 and CO2 Concentrations in Modified Atmosphere Packages during Shelf Life
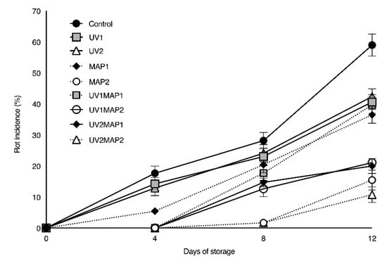
3.3. Influence of UV-C Radiation, MAP and Combined Treatments on the Microbiological Quality
3.4. Influence of UV-C Radiation, MAP and Combined Treatments on the Physicochemical Parameters
3.5. Influence of UV-C Radiation, MAP and Combined Treatments on Bioactive Compounds
4. Conclusions
Author Contributions
Funding
Institutional Review Board Statement
Informed Consent Statement
Data Availability Statement
Conflicts of Interest
References
- Khanizadeh, S.; Rekika, D.; Ehsani-Moghaddam, B.; Tsao, R.; Yang, R.; Charles, M.T.; Sullivan, J.A.; Gauthier, L.; Gosselin, A.; Potel, A.-M.; et al. Thomas, E. Horticultural Characteristics and Chemical Composition of Advanced Raspberry Lines from Quebec and Ontario. LWT—Food Sci. Technol. 2009, 42, 893–898. [Google Scholar] [CrossRef]
- Barikloo, H.; Ahmadi, E. Shelf Life Extension of Strawberry by Temperatures Conditioning, Chitosan Coating, Modified Atmosphere, and Clay and Silica Nanocomposite Packaging. Sci. Hortic. 2018, 240, 496–508. [Google Scholar] [CrossRef]
- Freitas, P.M.; Lopez-Galvez, F.; Tudela, J.A.; Gil, M.I.; Allende, A. Postharvest Treatment of Table Grapes with Ultraviolet-C and Chitosan Coating Preserves Quality and Increases Stilbene Content. Postharvest Biol. Technol. 2015, 105, 51–57. [Google Scholar] [CrossRef]
- Guerreiro, A.C.; Gago, C.M.L.; Faleiro, M.L.; Miguel, M.G.C.; Antunes, M.D.C. Raspberry Fresh Fruit Quality as Affected by Pectin- and Alginate-Based Edible Coatings Enriched with Essential Oils. Sci. Hortic. 2015, 194, 138–146. [Google Scholar] [CrossRef]
- Xu, F.; Liu, S. Control of Postharvest Quality in Blueberry Fruit by Combined 1-Methylcyclopropene (1-MCP) and UV-C Irradiation. Food Bioprocess Technol. 2017, 10, 1695–1703. [Google Scholar] [CrossRef]
- Elias, M.I.; Madureira, J.; Santos, P.M.P.; Carolino, M.M.; Margaça, F.M.A.; Cabo Verde, S. Preservation Treatment of Fresh Raspberries by E-Beam Irradiation. Innov. Food Sci. Emerg. Technol. 2020, 66, 102487. [Google Scholar] [CrossRef]
- Briano, R.; Giuggioli, N.R.; Girgenti, V.; Peano, C. Biodegradable and Compostable Film and Modified Atmosphere Packaging in Postharvest Supply chain of Raspberry Fruits (cv. Grandeur). J. Food Process Preserv. 2015, 39, 2061–2073. [Google Scholar] [CrossRef]
- Tezotto-Uliana, J.V.; Berno, N.D.; Quispe Saji, F.R.; Kluge, R.A. Gamma Radiation: An Efficient Technology to Conserve the Quality of Fresh Raspberries. Sci. Hortic. 2013, 164, 348–352. [Google Scholar] [CrossRef]
- Forney, C.F.; Jamieson, A.R.; Pennell, K.D.M.; Jordan, M.A.; Fillmore, S.A.E. Relationships between Fruit Composition and Storage Life in Air or Controlled Atmosphere of Red Raspberry. Postharvest Biol. Technol. 2015, 110, 121–130. [Google Scholar] [CrossRef]
- Hirneisen, K.A.; Black, E.P.; Cascarino, J.L.; Fino, V.R.; Hoover, D.G.; Kniel, K.E. Viral Inactivation in Foods: A Review of Traditional and Novel Food-Processing Technologies. Compr. Rev. Food. Sci. Food Saf. 2010, 9, 3–20. [Google Scholar] [CrossRef]
- Janisiewicz, W.J.; Takeda, F.; Glenn, D.M.; Camp, M.J.; Jurick, W.M., II. Dark Period Following UV-C Treatment Enhances Killing of Botrytis Cinerea Conidia and Controls Gray Mold of Strawberries. Phytopathology 2016, 106, 386–394. [Google Scholar] [CrossRef]
- Usall, J.; Ippolito, A.; Sisquella, M.; Neri, F. Physical Treatments to Control Postharvest Diseases of Fresh Fruits and Vegetables. Postharvest Biol. Technol. 2016, 122 (Suppl. I), 30–40. [Google Scholar] [CrossRef]
- Adhikari, A.; Syamaladevi, R.M.; Killinger, K.; Sablani, S.S. Ultraviolet-C Light Inactivation of Escherichia Coli 0157:H7 and Listeria Monocytogenes on Organic Fruit Surfaces. Int. J. Food Microbiol. 2015, 210, 136–142. [Google Scholar] [CrossRef]
- Syamaladevi, R.M.; Lu, X.; Sablani, S.S.; Insan, S.K.; Adhikari, A.; Killinger, K.; Rasco, B.; Dhingra, A.; Bandyopadhyay, A.; Annapure, U. Inactivation of Escherichia Coli Population on Fruit Surfaces Using Ultraviolet-C Light: Influence of Fruit Surface Characteristics. Food Bioprocess Technol. 2013, 6, 2959–2973. [Google Scholar] [CrossRef]
- Syamaladevi, R.M.; Adhikari, A.; Lupien, S.L.; Dugan, F.; Bhunia, K.; Dhingra, A.; Sablani, S.S. Ultraviolet-C Light Inactivation of Penicillium Expansum on Fruit Surfaces. Food Control 2015, 50, 297–303. [Google Scholar] [CrossRef]
- Perkins-Veazie, P.; Collins, J.K.; Howard, L. Blueberry Fruit Response to Postharvest Application of Ultraviolet Radiation. Postharvest Biol. Technol. 2008, 47, 280–285. [Google Scholar] [CrossRef]
- Gonzalez-Barrio, R.; Salmenkallio-Marttila, M.; Tomas-Barberan, F.A.; Cantos, E.; Espin, J.C. Etiology of UV-C-Induced Browning in Var. Superior White Table Grapes. J. Agric. Food Chem. 2005, 53, 5990–5996. [Google Scholar] [CrossRef]
- Rivera-Pastrana, D.M.; Gardea, A.A.; Yahia, E.M.; Martinez-Tellez, M.A.; Gonzalez-Aguilar, G.A. Effect of UV-C Irradiation and Low Temperature Storage on Bioactive Compounds, Antioxidant Enzymes and Radical Scavenging Activity of Papaya Fruit. J. Food Sci. Technol.—MYSORE 2014, 51, 3821–3829. [Google Scholar] [CrossRef] [PubMed][Green Version]
- Teoh, L.S.; Lasekan, O.; Adzahan, N.M.; Hashim, N. The Effect of Combinations of UV-C Exposure with Ascorbate and Calcium Chloride Dips on the Enzymatic Activities and Total Phenolic Content of Minimally Processed Yam Slices. Postharvest Biol. Technol. 2016, 120, 138–144. [Google Scholar] [CrossRef]
- Giuggioli, N.R.; Briano, R.; Baudino, C.; Peano, C. Effects of Packaging and Storage Conditions on Quality and Volatile Compounds of Raspberry Fruits. CyTA—J. Food 2015, 13, 512–521. [Google Scholar] [CrossRef]
- Giuffre, A.M.; Louadj, L.; Rizzo, P.; Poiana, M.; Sicari, V. Packaging and Storage Condition Affect the Physicochemical Properties of Red Raspberries (Rubus Idaeus L., Cv. Erika). Food Control 2019, 97, 105–113. [Google Scholar] [CrossRef]
- Siro, I.; Devlieghere, F.; Jacxsens, L.; Uyttendaele, M.; Debevere, J. The Microbial Safety of Strawberry and Raspberry Fruits Packaged in High-Oxygen and Equilibrium-Modified Atmospheres Compared to Air Storage. Int. J. Food Sci. Technol. 2006, 41, 93–103. [Google Scholar] [CrossRef]
- Arias, E.; Gonzalez, J.; Peiro, J.M.; Oria, R.; Lopez-Buesa, P. Browning Prevention by Ascorbic Acid and 4-Hexylresorcinol: Different Mechanisms of Action on Polyphenol Oxidase in the Presence and in the Absence of Substrates. J. Food Sci. 2007, 72, C464–C470. [Google Scholar] [CrossRef]
- Haffner, K.; Rosenfeld, H.J.; Skrede, G.; Wang, L.X. Quality of Red Raspberry Rubus Idaeus L. Cultivars after Storage in Controlled and Normal Atmospheres. Postharvest Biol. Technol. 2002, 24, 279–289. [Google Scholar] [CrossRef]
- Giovanelli, G.; Limbo, S.; Buratti, S. Effects of New Packaging Solutions on Physico-Chemical, Nutritional and Aromatic Characteristics of Red Raspberries (Rubus Idaeus L.) in Postharvest Storage. Postharvest Biol. Technol. 2014, 98, 72–81. [Google Scholar] [CrossRef]
- Li, D.; Luo, Z.; Mou, W.; Wang, Y.; Ying, T.; Mao, L. ABA and UV-C Effects on Quality, Antioxidant Capacity and Anthocyanin Contents of Strawberry Fruit (Fragaria Ananassa Duch.). Postharvest Biol. Technol. 2014, 90, 56–62. [Google Scholar] [CrossRef]
- Stavang, J.A.; Freitag, S.; Foito, A.; Verrall, S.; Heide, O.M.; Stewart, D.; Sonsteby, A. Raspberry Fruit Quality Changes during Ripening and Storage as Assessed by Colour, Sensory Evaluation and Chemical Analyses. Sci. Hortic. 2015, 195, 216–225. [Google Scholar] [CrossRef]
- Wang, S.Y.; Chen, C.-T.; Wang, C.Y. The Influence of Light and Maturity on Fruit Quality and Flavonoid Content of Red Raspberries. Food Chem. 2009, 112, 676–684. [Google Scholar] [CrossRef]
- Krueger, E.; Dietrich, H.; Schoepplein, E.; Rasim, S.; Kuerbel, P. Cultivar, Storage Conditions and Ripening Effects on Physical and Chemical Qualities of Red Raspberry Fruit. Postharvest Biol. Technol. 2011, 60, 31–37. [Google Scholar] [CrossRef]
- Teng, H.; Fang, T.; Lin, Q.; Song, H.; Liu, B.; Chen, L. Red Raspberry and Its Anthocyanins: Bioactivity beyond Antioxidant Capacity. Trends Food Sci. Technol. 2017, 66, 153–165. [Google Scholar] [CrossRef]
- Butot, S.; Cantergiani, F.; Moser, M.; Jean, J.; Lima, A.; Michot, L.; Putallaz, T.; Stroheker, T.; Zuber, S. UV-C Inactivation of Foodborne Bacterial and Viral Pathogens and Surrogates on Fresh and Frozen Berries. Int. J. Food Microbiol. 2018, 275, 8–16. [Google Scholar] [CrossRef]
- Selcuk, N.; Erkan, M. The Effects of Modified and Palliflex Controlled Atmosphere Storage on Postharvest Quality and Composition of ‘Istanbul’ Medlar Fruit. Postharvest Biol. Technol. 2015, 99, 9–19. [Google Scholar] [CrossRef]
- Wang, L.; Luo, Z.; Li, J.; Yang, M.; Yan, J.; Lu, H.; Li, D.; Chen, C.; Aghdam, M.S.; Wu, B.; et al. Morphological and Quality Characterization of Grape Berry and Rachis in Response to Postharvest 1-Methylcyclopropene and Elevated Oxygen and Carbon Dioxide Atmospheres. Postharvest Biol. Technol. 2019, 153, 107–117. [Google Scholar] [CrossRef]
- Kou, L.; Luo, Y.; Ingram, D.T.; Yan, S.; Jurick, W.M., II. Open-Refrigerated Retail Display Case Temperature Profile and Its Impact on Product Quality and Microbiota of Stored Baby Spinach. Food Control 2015, 47, 686–692. [Google Scholar] [CrossRef]
- Morelli, E.; Noel, V.; Rosset, P.; Poumeyrol, G. Performance and Conditions of Use of Refrigerated Display Cabinets among Producer/Vendors of Foodstuffs. Food Control 2012, 26, 363–368. [Google Scholar] [CrossRef]
- Nunes, M.C.N.; Emond, J.P.; Rauth, M.; Dea, S.; Chau, K.V. Environmental Conditions Encountered during Typical Consumer Retail Display Affect Fruit and Vegetable Quality and Waste. Postharvest Biol. Technol. 2009, 51, 232–241. [Google Scholar] [CrossRef]
- Paula Junqueira-Goncalves, M.; Alarcon, E.; Niranjan, K. The Efficacy of Potassium Sorbate-Coated Packaging to Control Postharvest Gray Mold in Raspberries, Blackberries and Blueberries. Postharvest Biol. Technol. 2016, 111, 205–208. [Google Scholar] [CrossRef]
- Der Steen, C.; Jacxsens, L.; Devlieghere, F.; Debevere, J. Combining High Oxygen Atmospheres with Low Oxygen Modified Atmosphere Packaging to Improve the Keeping Quality of Strawberries and Raspberries. Postharvest Biol. Technol. 2002, 26, 49–58. [Google Scholar] [CrossRef]
- Morales, M.L.; Callejon, R.M.; Ubeda, C.; Guerreiro, A.; Gago, C.; Miguel, M.G.; Antunes, M.D. Effect of Storage Time at Low Temperature on the Volatile Compound Composition of Sevillana and Maravilla Raspberries. Postharvest Biol. Technol. 2014, 96, 128–134. [Google Scholar] [CrossRef]
- Wang, J.-F.; Ma, L.; Xi, H.-F.; Wang, L.-J.; Li, S.-H. Resveratrol Synthesis under Natural Conditions and after UV-C Irradiation in Berry Skin Is Associated with Berry Development Stages in ‘Beihong’ (V. Vinifera × V. Amurensis). Food Chem. 2015, 168, 430–438. [Google Scholar] [CrossRef]
- Gonzalez-Buesa, J.; Ferrer-Mairal, A.; Oria, R.; Salvador, M.L. A Mathematical Model for Packaging with Microperforated Films of Fresh-Cut Fruits and Vegetables. J. Food Eng. 2009, 95, 158–165. [Google Scholar] [CrossRef]
- Gonzalez-Buesa, J.; Salvador, M.L. An Arduino-Based Low Cost Device for the Measurement of the Respiration Rates of Fruits and Vegetables. Comput. Electron. Agric. 2019, 162, 14–20. [Google Scholar] [CrossRef]
- AENOR. UNE 48103:2014. Pinturas y Barnices. Colores Normalizados; AENOR: Madrid, Spain, 2014. [Google Scholar]
- Lei, Z.; Jervis, J.; Helm, R.F. Use of Methanolysis for the Determination of Total Ellagic and Gallic Acid Contents of Wood and Food Products. J. Agric. Food Chem. 2001, 49, 1165–1168. [Google Scholar] [CrossRef]
- Newsome, A.G.; Li, Y.; van Breemen, R.B. Improved Quantification of Free and Ester-Bound Gallic Acid in Foods and Beverages by UHPLC-MS/MS. J. Agric. Food Chem. 2016, 64, 1326–1334. [Google Scholar] [CrossRef]
- Perez-Jimenez, J.; Arranz, S.; Tabernero, M.; Diaz-Rubio, M.E.; Serrano, J.; Goni, I.; Saura-Calixto, F. Updated Methodology to Determine Antioxidant Capacity in Plant Foods, Oils and Beverages: Extraction, Measurement and Expression. Food Res. Int. 2008, 41, 274–285. [Google Scholar] [CrossRef]
- Perez-Ramirez, I.F.; Reynoso-Camacho, R.; Saura-Calixto, F.; Perez-Jimenez, J. Comprehensive Characterization of Extractable and Nonextractable Phenolic Compounds by High-Performance Liquid Chromatography-Electrospray Ionization-Quadrupole Time-of-Flight of a Grape/Pomegranate Pomace Dietary Supplement. J. Agric. Food Chem. 2018, 66, 661–673. [Google Scholar] [CrossRef]
- Singleton, V.L.; Orthofer, R.; Lamuela-Raventos, R.M. Analysis of Total Phenols and Other Oxidation Substrates and Antioxidants by Means of Folin-Ciocalteu Reagent. Methods Enzymol. 1999, 299, 152–178. [Google Scholar]
- Iacopini, P.; Camangi, F.; Stefani, A.; Sebastiani, L. Antiradical Potential of Ancient Italian Apple Varieties of Malus x Domestica Borkh. in a Peroxynitrite-Induced Oxidative Process. J. Food Compos. Anal. 2010, 23, 518–524. [Google Scholar] [CrossRef]
- Gu, C.; Howell, K.; Dunshea, F.R.; Suleria, H.A.R. LC-ESI-QTOF/MS Characterisation of Phenolic Acids and Flavonoids in Polyphenol-Rich Fruits and Vegetables and Their Potential Antioxidant Activities. Antioxidants 2019, 8, 405. [Google Scholar] [CrossRef]
- Llorach, R.; Tomas-Barberan, F.A.; Ferreres, F. Lettuce and Chicory Byproducts as a Source of Antioxidant Phenolic Extracts. J. Agric. Food Chem. 2004, 52, 5109–5116. [Google Scholar] [CrossRef] [PubMed]
- Benzie, I.F.F.; Strain, J.J. The Ferric Reducing Ability of Plasma (FRAP) as a Measure of antioxidant Power: The FRAP Assay. Anal. Biochem. 1996, 239, 70–76. [Google Scholar] [CrossRef] [PubMed]
- Dekazos, E.D. Anthocyanin Pigments in Red Tart Cherries. J. Food Sci. 1970, 35, 237–241. [Google Scholar] [CrossRef]
- Peelman, N.; Ragaert, P.; De Meulenaer, B.; Adons, D.; Peeters, R.; Cardon, L.; Van Impe, F.; Devlieghere, F. Application of Bioplastics for Food Packaging. Trends Food Sci. Technol. 2013, 32, 128–141. [Google Scholar] [CrossRef]
- Hardenburg, R.E.; Watada, A.E.; Wang, C.Y. The Commercial Storage of Fruits, Vegetables, and Florist and Nursery Stocks; Unite States Department of Agricultura (USDA): San Jose, Costa Rica, 1986.
- Allende, A.; Marin, A.; Buendia, B.; Tomas-Barberan, F.; Gil, M.I. Impact of Combined Postharvest Treatments (UV-C Light, Gaseous O-3, Superatmospheric O-2 and High CO2) on Health Promoting Compounds and Shelf-Life of Strawberries. Postharvest Biol. Technol. 2007, 46, 201–211. [Google Scholar] [CrossRef]
- Maharaj, R.; Arul, J.; Nadeau, P. Effect of Photochemical Treatment in the Preservation of Fresh Tomato (Lycopersicon esculentum cv. Capello) by Delaying Senescence. Postharvest Biol. Technol. 1999, 15, 13–23. [Google Scholar] [CrossRef]
- Alamar, M.C.; Collings, E.; Cools, K.; Terry, L.A. Impact of Controlled Atmosphere Scheduling on Strawberry and Imported Avocado Fruit. Postharvest Biol. Technol. 2017, 134, 76–86. [Google Scholar] [CrossRef]
- Gonzalez-Orozco, B.D.; Mercado-Silva, E.M.; Castano-Tostado, E.; Vazquez-Barrios, M.E.; Rivera-Pastrana, D.M. Effect of Short-Term Controlled Atmospheres on the Postharvest Quality and Sensory Shelf Life of Red Raspberry (Rubus Idaeus L.). CyTA—J. Food 2020, 18, 352–358. [Google Scholar] [CrossRef]
- Fonseca, S.C.; Oliveira, F.A.R.; Brecht, J.K. Modelling Respiration Rate of Fresh Fruits and Vegetables for Modified Atmosphere Packages: A Review. J. Food Eng. 2002, 52, 99–119. [Google Scholar] [CrossRef]
- Kim, C.; Hung, Y.-C. Inactivation of E. Coli O157:H7 on Blueberries by Electrolyzed Water, Ultraviolet Light, and Ozone. J. Food Sci. 2012, 77, M206–M211. [Google Scholar] [CrossRef] [PubMed]
- Pinto, L.; Palma, A.; Cefola, M.; Pace, B.; D’Aquino, S.; Carboni, C.; Baruzzi, F. Effect of Modified Atmosphere Packaging (MAP) and Gaseous Ozone Pre-Packaging Treatment on the Physico-Chemical, Microbiological and Sensory Quality of Small Berry Fruit. Food Packag. Shelf Life 2020, 26, 100573. [Google Scholar] [CrossRef]
- Sheng, K.; Shui, S.; Yan, L.; Liu, C.; Zheng, L. Effect of Postharvest UV-B or UV-C Irradiation on Phenolic Compounds and Their Transcription of Phenolic Biosynthetic Genes of Table Grapes. J. Food Sci. Technol.—MYSORE 2018, 55, 3292–3302. [Google Scholar] [CrossRef]
- Sheng, K.; Zheng, H.; Shui, S.; Yan, L.; Liu, C.; Zheng, L. Comparison of Postharvest UV-B and UV-C Treatments on Table Grape: Changes in Phenolic Compounds and Their Transcription of Biosynthetic Genes during Storage. Postharvest Biol. Technol. 2018, 138, 74–81. [Google Scholar] [CrossRef]
- Nguyen, C.T.T.; Kim, J.; Yoo, K.S.; Lim, S.; Lee, E.J. Effect of Prestorage UV-A, -B, and -C Radiation on Fruit Quality and Anthocyanin of ‘Duke’ Blueberries during Cold Storage. J. Agric. Food Chem. 2014, 62, 12144–12151. [Google Scholar] [CrossRef]
- Mayorga-Martínez, A.A.; Olvera-Trejo, D.; Elías-Zúñiga, A.; Parra-Saldívar, R.; Chuck-Hernández, C. Non-destructive Assessment of Guava (Psidium guajava L.) Maturity and Firmness Based on Mechanical Vibration Response. Food Bioproc. Technol. 2016, 9, 1471–1480. [Google Scholar] [CrossRef]
- Pan, Y.-G.; Zu, H. Effect of UV-C Radiation on the Quality of Fresh-Cut Pineapples. Second Sree Conference on Engineering Modelling and Simulation (CEMS 2012). Procedia Eng. 2012, 37, 113–119. [Google Scholar] [CrossRef]
- Cote, S.; Rodoni, L.; Miceli, E.; Concellon, A.; Civello, P.M.; Vicente, A.R. Effect of Radiation Intensity on the Outcome of Postharvest UV-C Treatments. Postharvest Biol. Technol. 2013, 83, 83–89. [Google Scholar] [CrossRef]
- Bu, J.; Yu, Y.; Aisikaer, G.; Ying, T. Postharvest UV-C Irradiation Inhibits the Production of Ethylene and the Activity of Cell Wall-Degrading Enzymes during Softening of Tomato (Lycopersicon Esculentum L.) Fruit. Postharvest Biol. Technol. 2013, 86, 337–345. [Google Scholar] [CrossRef]
- Pan, J.; Vicente, A.R.; Martínez, G.A.; Chaves, A.R.; Civello, P.M. Combined Use of UV-C Irradiation and Heat Treatment to Improve Postharvest Life of Strawberry Fruit. J. Sci. Food Agric. 2004, 84. [Google Scholar] [CrossRef]
- Pristijono, P.; Golding, J.B.; Bowyer, M.C. Postharvest UV-C Treatment, Followed by Storage in a Continuous Low-Level Ethylene Atmosphere, Maintains the Quality of ‘Kensington Pride’ Mango Fruit Stored at 20 °C. Horticulturae 2019, 5, 1. [Google Scholar] [CrossRef]
- Charles, M.T.; Goulet, A.; Arul, J. Physiological Basis of UV-C Induced Resistance to Botrytis Cinerea in Tomato Fruit—IV. Biochemical Modification of Structural Barriers. Postharvest Biol. Technol. 2008, 47, 41–53. [Google Scholar] [CrossRef]
- Shen, Y.; Sun, Y.; Qiao, L.; Chen, J.; Liu, D.; Ye, X. Effect of UV-C Treatments on Phenolic Compounds and Antioxidant Capacity of Minimally Processed Satsuma Mandarin during Refrigerated Storage. Postharvest Biol. Technol. 2013, 76, 50–57. [Google Scholar] [CrossRef]
- Sari, L.K.; Setha, S.; Naradisorn, M. Effect of UV-C Irradiation on Postharvest Quality of ‘Phulae’ Pineapple. Sci. Hortic. 2016, 213, 314–320. [Google Scholar] [CrossRef]
- Gogo, E.O.; Opiyo, A.M.; Hassenberg, K.; Ulrichs, C.; Huyskens-Keil, S. Postharvest UV-C Treatment for Extending Shelf Life and Improving Nutritional Quality of African Indigenous Leafy Vegetables. Postharvest Biol. Technol. 2017, 129, 107–117. [Google Scholar] [CrossRef]









| Day | Sample | TSS (%) | pH | TA (g Citric Acid/L) | TSS/TA | Firmness (N) | L* | a* | b* |
|---|---|---|---|---|---|---|---|---|---|
| 0 | Non-treated, no MAP | 11.6 ± 0.1 a | 3.3 ± 0.2 a | 19.2 ± 0.2 a | 0.61 ± 0.01 a | 2.26 ± 0.17 a | 35.3 ± 1.3 a | 25.6 ± 1.7 a | 11.9 ± 0.8 a |
| 4 | Non-treated, no MAP | 10.7 ± 0.0 Dc | 3.3 ± 0.1 Aa | 18.7 ± 0.3 Ba | 0.57 ± 0.01 Bd | 1.67 ± 0.15 Cb | 38.8 ± 1.2 Ab | 18.1 ± 2.4 Ab | 3.2 ± 1.0 Ac |
| UV1 | 11.4 ± 0.1 Cb | 3.1 ± 0.1 Bc | 18.9 ± 0.2 Ba | 0.60 ± 0.01 ABa | 1.74 ± 0.23 Cb | 37.0 ± 1.0 BCb | 18.1 ± 1.4 Ab | 2.6 ± 0.7 Ac | |
| UV2 | 10.3 ± 0.1 EFc | 3.3 ± 0.0 Aa | 17.2 ± 0.3 Db | 0.60 ± 0.01 ABa | 1.75 ± 0.20 Cb | 36.4 ± 1.2 Ca | 18.6 ± 0.8 Ab | 2.7 ± 0.3 Ac | |
| MAP1 | 11.8 ± 0.1 Ba | 3.3 ± 0.1 Aa | 18.9 ± 0.3 Ba | 0.62 ± 0.01 Aa | 1.88 ± 0.23 Bb | 38.2 ± 0.8 ABb | 18.1 ± 1.1 Abc | 3.1 ± 0.5 Ac | |
| MAP2 | 10.7 ± 0.1 Db | 3.3 ± 0.0 Aa | 18.2 ± 0.3 BCb | 0.59 ± 0.01 ABa | 2.14 ± 0.27 ABa | 38.1 ± 0.8 ABb | 18.2 ± 0.9 Ab | 3.0 ± 0.2 Ac | |
| UV1MAP1 | 11.8 ± 0.2 Ba | 3.1 ± 0.0 Bc | 19.9 ± 0.4 Aa | 0.60 ± 0.02 ABa | 2.07 ± 0.22 Bab | 37.1 ± 0.9 BCb | 17.8 ± 2.3 Ab | 3.5 ± 0.7 Ac | |
| UV1MAP2 | 12.1 ± 0.2 Ab | 3.0 ± 0.0 Bb | 19.9 ± 0.2 Aab | 0.61 ± 0.01 Aa | 2.23 ± 0.23 ABa | 37.5 ± 0.4 ABCb | 18.6 ± 1.0 Abc | 3.1 ± 0.4 Ad | |
| UV2MAP1 | 10.1 ± 0.0 Fb | 3.3 ± 0.0 Aa | 17.3 ± 0.3 Dc | 0.59 ± 0.01 ABa | 2.04 ± 0.16 Bab | 38.5 ± 0.4 Abb | 18.2 ± 0.6 Ac | 3.1 ± 0.3 Ac | |
| UV2MAP2 | 10.5 ± 0.1 DEb | 3.4 ± 0.0 Aa | 17.6 ± 0.4 CDb | 0.59 ± 0.01 ABa | 2.27 ± 0.34 Aa | 38.6 ± 0.3 Ab | 18.1 ± 1.1 Abc | 3.1 ± 0.5 Ac | |
| 8 | Non-treated, no MAP | 10.9 ± 0.1 Abc | 3.4 ± 0.0 ABab | 15.6 ± 0.3 Eb | 0.70 ± 0.01 Ac | 1.72 ± 0.15 BCb | 38.2 ± 0.4 Ab | 13.9 ± 0.4 Dc | 1.6 ± 0.2 Dd |
| UV1 | 11.0 ± 0.1 Ac | 3.5 ± 0.0 Ab | 15.8 ± 0.5 Eb | 0.69 ± 0.03 Ac | 1.73 ± 0.20 BCb | 32.6 ± 0.5 Cc | 17.5 ± 0.6 Bb | 7.8 ± 0.2 Bb | |
| UV2 | 10.4 ± 0.1 Bc | 3.3 ± 0.0 Ba | 15.6 ± 0.2 Ec | 0.67 ± 0.0 Ac | 1.55 ± 0.13 Cb | 38.0 ± 0.5 Ab | 14.9 ± 1.6 CDc | 1.8 ± 0.6 Dd | |
| MAP1 | 10.9 ± 0.1 Ab | 3.1 ± 0.2 Cb | 17.7 ± 0.3 CDb | 0.62 ± 0.01 Ba | 1.86 ± 0.24 Bbc | 36.4 ± 0.6 Ba | 16.9 ± 1.4 BCc | 2.2 ± 0.5 CDd | |
| MAP2 | 10.5 ± 0.1 Bbc | 3.1 ± 0.1 Cb | 19.4 ± 0.2 Aa | 0.54 ± 0.01 Cc | 2.14 ± 0.28 ABa | 38.0 ± 1.0 Ab | 17.1 ± 1.6 Bb | 2.8 ± 0.8 Cc | |
| UV1MAP1 | 10.8 ± 0.1 Ab | 3.5 ± 0.0 Ab | 17.4 ± 0.7 Db | 0.62 ± 0.02 Ba | 1.93 ± 0.31 Bb | 32.7 ± 1.1 Cc | 17.6 ± 1.0 Bb | 7.6 ± 0.3 Bb | |
| UV1MAP2 | 10.4 ± 0.1 Bc | 3.5 ± 0.1 Aa | 18.9 ± 0.4 ABb | 0.55 ± 0.02 Cc | 2.39 ± 0.16 Aa | 33.3 ± 1.1 Cc | 19.8 ± 1.4 Ab | 8.6 ± 0.4 Ab | |
| UV2MAP1 | 10.1 ± 0.1 Cb | 3.2 ± 0.1 Db | 18.4 ± 0.1 BCb | 0.55 ± 0.01 Cb | 1.89 ± 0.20 Bb | 38.5 ± 0.5 Ab | 16.7 ± 1.0 BCc | 2.4 ± 0.3 CDc | |
| UV2MAP2 | 10.5 ± 0.1 Bb | 3.2 ± 0.1 BCb | 19.0 ± 0.3 ABa | 0.55 ± 0.01 Cc | 2.22 ± 0.23 Aa | 38.0 ± 0.9 Ab | 17.3 ± 1.4 Bc | 2.7 ± 0.5 Cc | |
| 12 | Non-treated, no MAP | 11.2 ± 0.1 Ab | 3.5 ± 0.1 Ab | 11.3 ± 0.3 Dc | 0.99 ± 0.02 Ab | 1.25 ± 0.22Dc | 31.8 ± 1.5 CDc | 18.7 ± 1.2 BCb | 7.8 ± 0.5 ABCb |
| UV1 | 10.6 ± 0.1 BCd | 3.6 ± 0.0 ABb | 11.4 ± 0.3 Dc | 0.93 ± 0.02 Bb | 1.42 ± 0.16 Dc | 32.8 ± 1.6 BCc | 17.5 ± 1.6 Cb | 7.3 ± 0.5 BCb | |
| UV2 | 10.8 ± 0.1 Bb | 3.4 ± 0.0 Ba | 13.0 ± 0.2 Cd | 0.83 ± 0.02 Cb | 0.97 ± 0.12 Ec | 31.7 ± 2.0 CDc | 18.6 ± 2.3 BCb | 7.3 ± 0.2 BCb | |
| MAP1 | 10.0 ± 0.1 DEc | 3.4 ± 0.0 Ba | 14.8 ± 0.2 Bc | 0.68 ± 0.01 DEb | 1.84 ± 0.29 Bbc | 31.0 ± 1.0 Dc | 19.7 ± 1.3 ABb | 7.7 ± 0.3 ABCb | |
| MAP2 | 10.4 ± 0.1 Cc | 3.4 ± 0.0 Ba | 15.7 ± 0.2 Ac | 0.66 ± 0.01 Eb | 2.11 ± 0.23 Aa | 34.1 ± 0.6 ABc | 17.4 ± 0.8 Cb | 7.8 ± 0.5 ABb | |
| UV1MAP1 | 10.1 ± 0.0 Dc | 3.4 ± 0.0 Bab | 15.5 ± 0.3 ABc | 0.65 ± 0.01 EFb | 1.67 ± 0.28 Cbc | 34.3 ± 0.5 Aa | 17.7 ± 1.1 BCb | 7.9 ± 0.7 ABb | |
| UV1MAP2 | 10.4 ± 0.1 Cc | 3.4 ± 0.0 Ba | 14.9 ± 0.2 ABc | 0.70 ± 0.01 Db | 1.76 ± 0.29 BCb | 31.7 ± 0.7 CDd | 17.7 ± 2.2 BCc | 6.9 ± 0.6 Cc | |
| UV2MAP1 | 9.7 ± 0.1 Ec | 3.4 ± 0.0 Ba | 16.0 ± 0.3 Ad | 0.62 ± 0.01 Fa | 1.94 ± 0.22 ABb | 32.2 ± 1.4 CDc | 21.4 ± 1.1 Ab | 8.2 ± 0.4 Ab | |
| UV2MAP2 | 10.3 ± 0.1 CDb | 3.4 ± 0.0 Ba | 15.6 ± 0.1 ABc | 0.66 ± 0.01 Eb | 2.11 ± 0.25 ABa | 30.9 ± 0.7 Dc | 19.7 ± 1.9 ABb | 7.4 ± 0.7 BCb |
Publisher’s Note: MDPI stays neutral with regard to jurisdictional claims in published maps and institutional affiliations. |
© 2021 by the authors. Licensee MDPI, Basel, Switzerland. This article is an open access article distributed under the terms and conditions of the Creative Commons Attribution (CC BY) license (https://creativecommons.org/licenses/by/4.0/).
Share and Cite
Gimeno, D.; Gonzalez-Buesa, J.; Oria, R.; Venturini, M.E.; Arias, E. Effect of Modified Atmosphere Packaging (MAP) and UV-C Irradiation on Postharvest Quality of Red Raspberries. Agriculture 2022, 12, 29. https://doi.org/10.3390/agriculture12010029
Gimeno D, Gonzalez-Buesa J, Oria R, Venturini ME, Arias E. Effect of Modified Atmosphere Packaging (MAP) and UV-C Irradiation on Postharvest Quality of Red Raspberries. Agriculture. 2022; 12(1):29. https://doi.org/10.3390/agriculture12010029
Chicago/Turabian StyleGimeno, David, Jaime Gonzalez-Buesa, Rosa Oria, Maria Eugenia Venturini, and Esther Arias. 2022. "Effect of Modified Atmosphere Packaging (MAP) and UV-C Irradiation on Postharvest Quality of Red Raspberries" Agriculture 12, no. 1: 29. https://doi.org/10.3390/agriculture12010029
APA StyleGimeno, D., Gonzalez-Buesa, J., Oria, R., Venturini, M. E., & Arias, E. (2022). Effect of Modified Atmosphere Packaging (MAP) and UV-C Irradiation on Postharvest Quality of Red Raspberries. Agriculture, 12(1), 29. https://doi.org/10.3390/agriculture12010029

