Mycorrhizal Inoculation Improves Plant Growth and Yield of Micropropagated Early Globe Artichoke under Field Conditions
Abstract
:1. Introduction
2. Materials and Methods
2.1. In Vitro Culture of Globe Artichoke Explants
2.2. Experimental Field and Plant Material
2.3. Morphological and Bio-Agronomical Characterization
2.4. Meteorological Trend
2.5. Statistical Analysis
3. Results
3.1. Plant Growth Responses and Mycorrhizal Colonization
3.2. Morphological Characterization of Plant
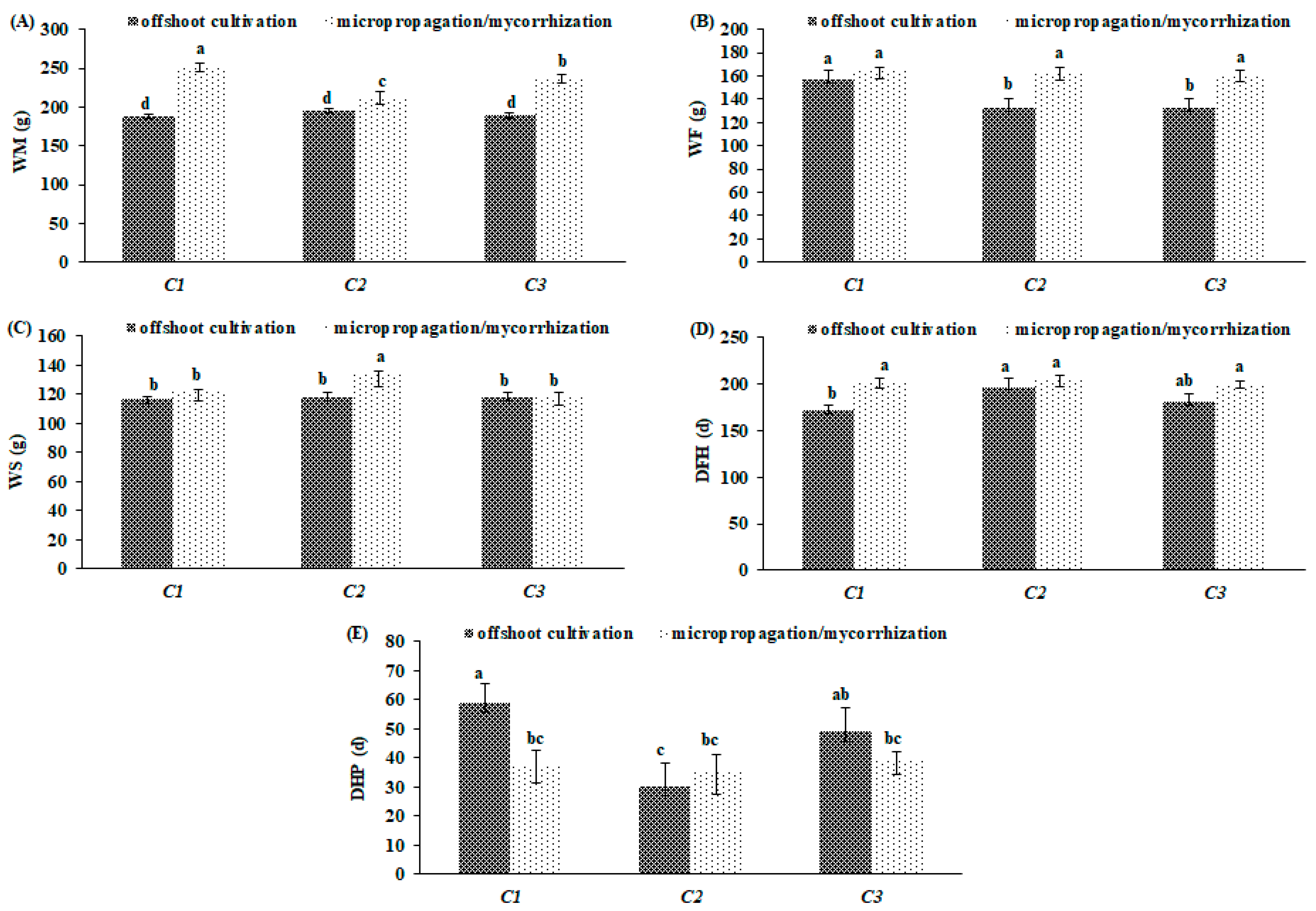
3.3. Bio-Agronomical Characterization of Plant
4. Discussion
5. Conclusions
Author Contributions
Funding
Institutional Review Board Statement
Informed Consent Statement
Data Availability Statement
Conflicts of Interest
References
- Mauromicale, G.; Pesce, G.R.; Curt, M.D.; Fernández, J.; González, J.; Gominho, G.; Tabla, R.; Roa, I.; Portis, E. Cynara cardunculus as a Multiuse Crop. In The Globe Artichoke Genome. Compendium of Plant Genomes; Portis, E., Acquadro, A., Lanteri, S., Eds.; Springer: Cham, Switzerland, 2019; pp. 65–98. [Google Scholar]
- Dabbou, S.; Dabbou, S.; Pandino, G.; Lombardo, S.; Mauromicale, G.; Chahdoura, H.; Gasco, L.; Helal, A.N. In vitro antioxidant activities and phenolic content in crop residues of Tunisian globe artichoke. Sci. Hortic. 2015, 190, 128–136. [Google Scholar]
- Lombardo, S.; Pandino, G.; Mauromicale, G. Minerals profile of two globe artichoke cultivars as affected by NPK fertilizer regimes. Food Res. Int. 2017, 100, 95–99. [Google Scholar] [CrossRef] [PubMed]
- Scavo, A.; Pandino, G.; Restuccia, A.; Lombardo, S.; Pesce, G.R.; Mauromicale, G. Allelopathic potential of leaf aqueous extracts from Cynara cardunculus L. on the seedling growth of two cosmopolitan weed species. Ital. J. Agron. 2019, 14, 78–83. [Google Scholar] [CrossRef] [Green Version]
- Lombardo, S.; Pandino, G.; Mauromicale, G. The influence of pre-harvest factors on the quality of globe artichoke. Sci. Hortic. 2018, 233, 479–490. [Google Scholar] [CrossRef]
- Lombardo, S.; Restuccia, C.; Muratore, G.; Barbagallo, R.N.; Licciardello, F.; Pandino, G.; Scifò, G.O.; Mazzaglia, A.; Ragonese, F.; Mauromicale, G. Effect of nitrogen fertilisation on the overall quality of minimally processed globe artichoke heads. J. Sci. Food Agr. 2017, 97, 650–658. [Google Scholar] [CrossRef] [PubMed]
- Portis, E.; Mauromicale, G.; Barchi, L.; Mauro, R.; Lanteri, S. Population structure and genetic variation in autochthonous globe artichoke germplasm from Sicily Island. Plant Sci. 2005, 168, 1591–1598. [Google Scholar] [CrossRef]
- Costanzo, A.; Bàrberi, P. Functional agrobiodiversity and agroecosystem services in sustainable wheat production. A review. Agron. Sustain. Dev. 2014, 34, 327–348. [Google Scholar] [CrossRef] [Green Version]
- Mauro, R.P.; Portis, E.; Lanteri, S.; Lo Monaco, A.; Mauromicale, G. Clonal selection in a globe artichoke landrace: Characterization of superior germplasm to improve cultivation in Mediterranean environments. J. Agric. Sci. 2015, 153, 102–113. [Google Scholar] [CrossRef]
- Morone-Fortunato, I.; Ruta, C.; Castrignano, A.; Saccardo, F. The effect of mycorrhizal symbiosis on the development of micropropagated artichokes. Sci. Hortic. 2005, 106, 472–483. [Google Scholar] [CrossRef]
- El Boullani, R.; Elmoslih, A.; El Finti, A.; El Mousadik, A.; Serghini, M.A. Improved in Vitro Micropropagation of Artichoke (Cynara Cardunculus var. scolymus L.). Eur. J. Sci. Res. 2012, 80, 430–436. [Google Scholar]
- Barba, M.; Di Lernia, G.; Babes, G.; Citrulli, F. Produzione e conservazione di germoplasma di carciofo di tipo “Romanesco” esenti da virus. Italus Hortus 2004, 11, 5–10. [Google Scholar]
- Papanice, M.A.; Cinquanta, A.; Bottalico, G.; Sumerano, P.; Gallitelli, G. Produzione di germoplasma risanato di carciofo brindisino. Italus Hortus 2004, 11, 11–15. [Google Scholar]
- Rey, N.A.; Papacchioli, V.; Tavazza, R.; Pagnotta, M.A. Gauging the genetic changes occurring across globe artichoke micropropagation towards an appropriate variety registration and nursery production. Sci. Hortic. 2013, 156, 121–126. [Google Scholar] [CrossRef]
- Pécaut, P.; Martin, F. Variation occurring after natural and in vitro multiplication of early Mediterranean varieties of globe artichoke (Cynara scolymus L.). Agronomie 1993, 13, 909–919. [Google Scholar] [CrossRef] [Green Version]
- Kumar, K.; Rao, I.U. Morphophysiologicals problems in acclimatization of micropropagated plants in -ex vitro conditions—A reviews. J. Ornam. Hortic. 2012, 2, 271–278. [Google Scholar]
- Ruta, C.; Perrini, R.; Tagarelli, A.; Morone-Fortunato, I. Use of arbuscular mycorrhiza for acclimatization of micropropagated plantlets of melon, oregano, artichoke and Spanish broom. Acta Hortic. 2009, 812, 473–478. [Google Scholar] [CrossRef]
- Campanelli, A.; Ruta, C.; Tagarelli, A.; Morone-Fortunato, I.; De Mastro, G. Effectiveness of mycorrhizal fungi on globe artichoke (Cynara cardunculus L. var. scolymus) micropropagation. J. Plant Interact. 2014, 9, 100–106. [Google Scholar] [CrossRef]
- Gianinazzi, S.; Gollotte, A.; Binet, M.-N.; van Tuinen, D.; Redecker, D.; Wipf, D. Agroecology: The key role of arbuscular mycorrhizas in ecosystem services. Mycorrhiza 2010, 20, 519–530. [Google Scholar] [CrossRef] [PubMed]
- Gosling, P.; Hodge, A.; Goodlass, G.; Bending, G.D. Arbuscular mycorrhizal fungi and organic farming. Agric. Ecosyst. Environ. 2006, 113, 17–35. [Google Scholar] [CrossRef]
- Jeffries, P.; Gianinazzi, S.; Perotto, S.; Turnau, K.; Barea, J.-M. The contribution of arbuscular mycorrhizal fungi in sustainable maintenance of plant health and soil fertility. Biol. Fertil. Soils 2003, 37, 1–16. [Google Scholar] [CrossRef]
- Pacifici, S.; Lucchesini, M.; Curadi, M.; Grainfenberg, A. Influence of medium composition and vessel ventilation during the micropropagation stages of Cynara scolymus L. cv. Grato 1. Adv. Hortic. Sci. 2007, 21, 83–88. [Google Scholar]
- Bedini, L.; Lucchesini, M.; Bertozzi, F.; Graifenberg, A. Plant tissue cultures from four Tuscan globe artichoke cultivars. Cent. Eur. J. Biol. 2012, 7, 680–689. [Google Scholar] [CrossRef] [Green Version]
- Rouphael, Y.; Franken, P.; Schneider, C.; Schwarz, D.; Giovannetti, M.; Agnolucci, M.; De Pascale, S.; Bonini, P.; Colla, G. Arbuscular mycorrhizal fungi act as biostimulants in horticultural crops. Sci. Hortic. 2015, 196, 91–108. [Google Scholar] [CrossRef]
- Lombardo, S.; Abbate, C.; Pandino, G.; Parisi, B.; Scavo, A.; Mauromicale, G. Productive and physiological response of organic potato grown under highly calcareous soils to fertilization and mycorrhization management. Agronomy 2020, 10, 1200. [Google Scholar] [CrossRef]
- Pandino, G.; Lombardo, S.; Lo Monaco, A.; Ruta, C.; Mauromicale, G. In vitro micropropagation and mycorrhizal treatment influences the polyphenols content profile of globe artichoke under field conditions. Food Res. Int. 2017, 99, 385–392. [Google Scholar] [CrossRef]
- Murashige, T.; Skoog, R. A revised medium from rapid growth and bioassays with tobacco tissue culture. Physiol. Plant. 1962, 15, 473–497. [Google Scholar] [CrossRef]
- Nitsch, J.P.; Nitsch, C. Haploid plants for pollen grains. Science 1969, 63, 85–87. [Google Scholar] [CrossRef]
- Giovannetti, M.; Mosse, B. An evaluation of techniques for measuring vescicular arbuscular mycorrhizal infection in roots. New Phytol. 1980, 84, 489–500. [Google Scholar] [CrossRef]
- Ruta, C.; Tagarelli, A.; Campanelli, A.; De Mastro, G. Field performance of micropropagated and mycorrhizal early globe artichoke plants. Eur. J. Agron. 2018, 99, 13–20. [Google Scholar] [CrossRef]
- Bianco, V.V. Carciofo (Cynara scolymus). In Orticoltura; Bianco, V.V., Rimpini, F., Eds.; Patron Editore: Bologna, Italy, 1990; pp. 209–251. [Google Scholar]
- Saccardo, F.; Micozzi, F.; Di Lernia, G.; Piccioni, C.; Barba, M.; Pagnotta, M.A. Virus-free artichoke germplasm: Quali-quantitative response of globe artichoke. Acta Hortic. 2007, 730, 375–379. [Google Scholar] [CrossRef]
- Cruz, C.; Green, J.J.; Watson, C.A.; Wilson, F.; Martins-Loucão, M.A. Functional aspects of root architecture and mycorrhizal inoculation with respect to nutrient uptake capacity. Mycorrhiza 2004, 14, 177–184. [Google Scholar] [CrossRef] [Green Version]
- Smith, S.E.; Read, D.J. Mycorrhizal Symbiosis; Academic Press: Cambridge, UK, 2008. [Google Scholar]
- Apóstolo, N.M.; Brutti, C.B.; Llorente, B.E. Leaf anatomy of Cynara scolymus L. in successive micropropagation stages. In Vitro Cell. Dev. Biol. Plant 2005, 41, 307–313. [Google Scholar] [CrossRef]
- Ancona, S.; De Mastro, G.; Jenderek, M.M.; Ruta, C. Micropropagation supports reintroduction of an apulian artichoke landrace in sustainable cropping systems. Agronomy 2021, 11, 1169. [Google Scholar] [CrossRef]
- Kavatagi, P.K.; Lakshman, H.C. Interaction between AMF and plant growth-promoting rhizobacteria on two varities of Solanum lycopersicum L. World Appl. Sci. J. 2014, 32, 2054–2062. [Google Scholar]
- Ceccarelli, N.; Curadi, M.; Martelloni, L.; Sbrana, C.; Picciarelli, P.; Giovannetti, M. Mycorrhizal colonization impacts on phenolic content and antioxidant properties of artichoke leaves and flower heads two years after field transplant. Plant Soil 2010, 335, 311–323. [Google Scholar] [CrossRef]
- Sbrana, C.; Avio, L.; Giovannetti, M. Beneficial mycorrhizal symbionts affecting the production of health-promoting phytochemicals. Electrophoresis 2014, 35, 1535–1546. [Google Scholar] [CrossRef] [PubMed]
- Krishna, H.; Singh, S.K.; Sharma, R.R.; Khawale, R.N.; Grover, M.; Patel, V.B. Biochemical changes in micropropagated grape (Vitis vinifera L.) plantlets due to arbuscular-mycorrhizal fungi (AMF) inoculation during ex vitro acclimatization. Sci. Hortic. 2005, 106, 554–567. [Google Scholar] [CrossRef]
- Pécaut, P.; Martin, F. Non-conformity of in vitro propagated plants of early Mediterranean varieties of globe artichoke (Cynara scolymus L). Acta Hortic. 1992, 300, 363–366. [Google Scholar] [CrossRef]
- Tavazza, R.; Papacchioli, V.; Ancora, G. An improved medium for in vitro propagation of globe artichoke (Cynara scolymus L.) cv. Acta Hortic. 2004, 660, 91–97. [Google Scholar] [CrossRef]
- Portis, E.; Scaglione, D.; Acquadro, A.; Mauromicale, G.; Mauro, R.; Knapp, S.J.; Lanteri, S. Genetic mapping and identification of QTL for earliness in the globe artichoke/cultivated cardoon complex. BMC Res. Notes 2012, 5, 252. [Google Scholar] [CrossRef] [Green Version]
- Lombardo, S.; Scavo, A.; Abbate, C.; Pandino, G.; Parisi, B.; Mauromicale, G. Mycorrhizal inoculation improves mineral content of organic potatoes grown under calcareous soil. Agriculture 2021, 11, 333. [Google Scholar] [CrossRef]
- Gopal, J.; Minocha, J.L.; Sidhu, J.S. Comparative performance of potato crops raised from microtubers induced in the dark versus microtubers induced in light. Potato Res. 1997, 40, 407–412. [Google Scholar] [CrossRef]
- Jamieson, A.R.; Nickerson, N.L. Field performance of the lowbush blueberry propagated by seed, stem cuttings and micropropagation. Acta Hortic. 2003, 626, 423–428. [Google Scholar] [CrossRef]
- Oggema, J.N.; Kinyua, M.G.; Ouma, J.P.; Owuoche, J.O. Agronomic performance of locally adapted sweet potato (Ipomoea batatas (L) Lam.) cultivars derived from tissue culture regenerated plants. Afr. J. Biotechnol. 2007, 6, 1418–1425. [Google Scholar]
- Ledda, L.; Mameli, M.G.; Milia, M.; Marras, G.F. Influence of plant shading and ovoli typology on globe artichoke development, early production and head atrophy: Preliminary results. Acta Hortic. 2003, 660, 365–371. [Google Scholar] [CrossRef]
- Deligios, P.A.; Tiloca, M.T.; Sulas, L.; Buffa, M.; Caraffini, S.; Doro, L.; Sanna, G.; Spanu, E.; Spissu, E.; Urracci, G.R.; et al. Stable nutrient flows in sustainable and alternative cropping systems of globe artichoke. Agron. Sustain. Dev. 2017, 37, 54. [Google Scholar] [CrossRef] [Green Version]





| Parameter | Source of Variation | |||||
|---|---|---|---|---|---|---|
| Genotype (G) | Propagation Method (PM) | Season (S) | G × PM | G × S | PM × S | |
| Plant height | 1.2 *** | 93.8 *** | ns | 3.6 *** | ns | ns |
| Main floral stem length | 18.9 *** | 45.3 *** | ns | 34.8 *** | ns | ns |
| Main floral stem diameter | ns | 97.6 *** | ns | ns | ns | ns |
| Leaf length of longest lobe | 2.1 *** | 92.0 *** | ns | ns | ns | ns |
| Leaf width of longest lobe | 6.2 *** | 90.2 *** | ns | ns | ns | ns |
| First harvest | 6.1 *** | 29.1 *** | 57.0 *** | 3.6 *** | ns | ns |
| Harvest period | 25.3 *** | 23.3 *** | 22.7 *** | 17.0 ** | ns | ns |
| Number of heads | ns | 68.5 *** | 25.9 *** | ns | ns | 4.1 *** |
| Fresh weight yield | ns | 76.0 *** | 21.1 *** | ns | ns | ns |
| Main head fresh weight | 4.2 *** | 85.2 *** | ns | 8.9 *** | ns | ns |
| First order head fresh weight | 8.1 *** | 51.9 *** | 20.2 *** | 5.7 ** | ns | 9.0 ** |
| Second order head fresh weight | 22.2 *** | 38.3 *** | 11.8 *** | 20.2 *** | ns | 4.2 * |
| Third order head fresh weight | 2.3 *** | 96.8 *** | ns | ns | ns | ns |
| Degree of freedom | 2 | 1 | 1 | 2 | 2 | 1 |
| Plant | Leaf | ||||
|---|---|---|---|---|---|
| Source of Variation | Plant Height (cm) | Main Floral Stem Length (cm) 1 | Main Floral Stem Diameter (cm) | Length of Longest Lobe (cm) | Width of Longest Lobe (cm) |
| Propagation method | |||||
| offshoots cultivation | 93.7 ± 2.9 b | 28.8 ± 1.4 b | 2.3 ± 0.1 b | 9.1 ± 0.6 b | 4.9 ± 0.4 b |
| micropropagation/mycorrhization | 158.0 ± 5.4 a | 34.1 ± 3.8 a | 3.0 ± 0.1 a | 11.6 ± 0.4 a | 6.9 ± 0.5 a |
| Genotype | |||||
| C1 | 119.9 ± 4.3 b | 28.3 ± 2.0 c | 2.6 ± 0.3 | 10.7 ± 0.1 a | 6.4 ± 0.3 a |
| C2 | 122.0 ± 4.2 b | 32.1 ± 1.1 b | 2.7 ± 0.3 | 10.1 ± 0.2 c | 5.6 ± 0.2 b |
| C3 | 135.6 ± 3.1 a | 34.0 ± 0.8 a | 2.6 ± 0.4 | 10.3 ± 0.2 b | 5.6 ± 0.2 b |
| Season | |||||
| I | 124.7 ± 3.2 | 31.1 ± 2.5 | 2.6 ± 0.3 | 10.2 ± 0.4 | 5.8 ± 0.1 |
| II | 127.0 ± 3.2 | 31.8 ± 2.2 | 2.7 ± 0.4 | 10.8 ± 0.3 | 6.0 ± 0.2 |
| Source of Variation | DFH (d) | DHP (d) | NH (n Plants−1) | Y (kg Plant−1) | WM (g) | WF (g) | WS (g) | WT (g) |
|---|---|---|---|---|---|---|---|---|
| Propagation method | ||||||||
| offshoots cultivation | 183 ± 5.3 b | 46 ± 2.6 a | 10 ± 2.7 b | 1.2 ± 0.4 b | 190.5 ± 4.3 b | 140.8 ± 8.1 b | 117.6 ± 2.5 b | 68.8 ± 3.5 b |
| micropropagation/mycorrhization | 207 ± 6.5 a | 37 ± 3.3 b | 15 ± 2.1 a | 2.1 ± 0.3 a | 233.1 ± 2.6 a | 162.5 ± 7.9 a | 123.9 ± 2.9 a | 89.0 ± 3.5 a |
| Genotype | ||||||||
| C1 | 187 ± 2.5 b | 48 ± 4.9 a | 12 ± 4.1 | 1.7 ± 0.6 | 219.6 ± 5.6 a | 160.2 ± 1.1 a | 118.9 ± 3.1 | 82.0 ± 1.9 a |
| C2 | 201 ± 1.3 a | 33 ± 3.1 b | 12 ± 3.7 | 1.7 ± 0.6 | 203.2 ± 1.2 b | 148.2 ± 2.0 b | 125.5 ± 4.1 | 77.5 ± 2.4 b |
| C3 | 190 ± 2.2 b | 44 ± 2.9 a | 12 ± 3.4 | 1.7 ± 0.5 | 212.6 ± 5.2 a | 146.6 ± 1.5 b | 117.9 ± 3.0 | 77.3 ± 2.1 b |
| Season | ||||||||
| I | 205 ± 6.8 a | 37 ± 4.4 b | 11 ± 3.8 b | 1.5 ± 0.6 b | 210.6 ± 7.7 | 144.9 ± 2.5 b | 119.0 ± 1.2 b | 78.4 ± 5.5 |
| II | 185 ± 3.1 b | 46 ± 2.2 a | 14 ± 2.6 a | 1.9 ± 0.5 a | 213.1 ± 5.1 | 158.4 ± 1.1 a | 122.5 ± 1.5 a | 79.4 ± 6.4 |
Publisher’s Note: MDPI stays neutral with regard to jurisdictional claims in published maps and institutional affiliations. |
© 2022 by the authors. Licensee MDPI, Basel, Switzerland. This article is an open access article distributed under the terms and conditions of the Creative Commons Attribution (CC BY) license (https://creativecommons.org/licenses/by/4.0/).
Share and Cite
Pandino, G.; Lombardo, S.; Lo Monaco, A.; Ruta, C.; Mauromicale, G. Mycorrhizal Inoculation Improves Plant Growth and Yield of Micropropagated Early Globe Artichoke under Field Conditions. Agriculture 2022, 12, 114. https://doi.org/10.3390/agriculture12010114
Pandino G, Lombardo S, Lo Monaco A, Ruta C, Mauromicale G. Mycorrhizal Inoculation Improves Plant Growth and Yield of Micropropagated Early Globe Artichoke under Field Conditions. Agriculture. 2022; 12(1):114. https://doi.org/10.3390/agriculture12010114
Chicago/Turabian StylePandino, Gaetano, Sara Lombardo, Antonino Lo Monaco, Claudia Ruta, and Giovanni Mauromicale. 2022. "Mycorrhizal Inoculation Improves Plant Growth and Yield of Micropropagated Early Globe Artichoke under Field Conditions" Agriculture 12, no. 1: 114. https://doi.org/10.3390/agriculture12010114
APA StylePandino, G., Lombardo, S., Lo Monaco, A., Ruta, C., & Mauromicale, G. (2022). Mycorrhizal Inoculation Improves Plant Growth and Yield of Micropropagated Early Globe Artichoke under Field Conditions. Agriculture, 12(1), 114. https://doi.org/10.3390/agriculture12010114

