Next Article in Journal
Greenhouse Gas Emissions Trends and Mitigation Measures in Australian Agriculture Sector—A Review
Previous Article in Journal
Winter Wheat Straw Decomposition under Different Nitrogen Fertilizers
 
 
Font Type:
Arial Georgia Verdana
Font Size:
Aa Aa Aa
Line Spacing:
Column Width:
Background:
Article

The Dependence of Crop Potatoes on the Level of Irrigation under Polish Conditions

by
Piotr Pszczółkowski
1,*,
Barbara Sawicka
2,
Tomasz Lenartowicz
3 and
Mateusz Pszczółkowski
4
1
Experimental Station for Cultivar Assessment of Central Crop Research Centre, Uhnin, 21-211 Dębowa Kłoda, Poland
2
Department of Plant Production Technology and Commodity Science, University of Life Sciences in Lublin Akademicka 15, str., 20-950 Lublin, Poland
3
Research Centre for Cultivar Testing, 63-022 Słupia Wielka, Poland
4
Staphyt Sp. z o.o. Włodawska 45 str., 21-200 Parczew, Poland
*
Author to whom correspondence should be addressed.
Agriculture 2021, 11(2), 84; https://doi.org/10.3390/agriculture11020084
Submission received: 8 December 2020 / Revised: 5 January 2021 / Accepted: 16 January 2021 / Published: 20 January 2021
(This article belongs to the Section Agricultural Water Management)

Abstract

:
The aim of the study was to evaluate the dependence of potato crops on the level of irrigation in three mesoregions of Poland. The field experiments were carried out in 2009–2011 according to an obligatory methodology for evaluation of crop cultivars. Three factors were tested: two cultivation practices (with irrigation and without irrigation as control), five potato cultivars, and three locations (Masłowice, Szczecin-Dąbie, and Węgrzce). The study was conducted in randomized blocks in triplicate. The study included the same nutrition across locations and protection against potato blight. Irrigation was applied according to the criterion of optimal soil moisture at a humidity decrease below 70% of the field water capacity. At the time of harvest, total and commercial yields of tubers were determined. Detailed analysis of the dependent variables, total and marketable yield, and the independent variables for the second harvest date, confirmed confidence in the achieved results. The coefficients of variation for total and marketable yield, on the second harvest date, were 23% and 25%, respectively, which means high stability for the results. Irrigation of potato plantations contributed to an increase in the total yield of tubers in the first harvest term by 3.22 t·ha−1 and by 7.23 t·ha−1 -in the second term; and the commercial yield of tubers by 3.45 t·ha−1 in the first term and by 7.42 t·ha−1 -in the second term of tuber harvest. The highest watering efficiency in the first harvest time, 60 days after planting, was distinguished by the “Miłek” variety, and in the second harvest date by the “Denar” variety.

1. Introduction

Potato plants are shallow rooted, but have highly branched, horizontal root systems (Buckley et al.) [1]. They are thus very sensitive to slight water deficiencies in the rhizosphere, particularly during setting and formation of tubers (from budding till flowering) [2]. Always, when the plant suffers from even a small deficiency of moisture, the rate of its growth is reduced and the moisture stress increases, which affects the yield and quality of tubers. The best conditions for the growth and development of potatoes occur when the soil moisture content at a depth of 10 cm is about 55–60% of field water capacity at the beginning of the growing season and 65–70% in the period after the rows compact [3,4,5]. Plant requirements for water are greater at a higher air temperature and increased plantation insolation. The average amount of rainfall during the potato growing season is usually less than the demands of this species for water. Factors determining the irrigation efficiency are time, methods, and irrigation depth [6,7]. The water needs of potatoes during the vegetation season are very diverse and depend on cultivar earliness, bush conformation, date, planting density, and other agronomic factors affecting the water management of potatoes. The smallest water needs are observed in the early stages, from planting to emergence of the potato. Excessively high soil moisture during this period at low air temperatures may increase infection by blackleg and potato blight. Potato emergence is followed by a rapid increase in plant’s demand for water and minerals and by periods of row compacting, stolonization, and then tuberization in hot weather after 2–3 weeks [8,9,10]. During this period, a decrease in soil moisture below 55% of the field water capacity, particularly in light soils, promotes fungal infection of tubers by common scabs [3,5]. Irrigation planning must take into account both the water requirements of the species, and climatic, soil, and natural conditions. When analyzing the natural conditions, the length of the growing season of a given cultivar, the duration of its longest development, the depth of the root system, and the mass of plants, should be taken into account. Ierna and Giovanni [11] reported that increased water supplies increased transpiration from potato leaves, plant fresh weight, tuber growth rate, yield, and earliness, and decreased stomatal resistance and tuber dry weight; but a higher yield response was obtained from lower water regimes. According to Głuska [3] and King et al. [10] the shorter the vegetation season for early cultivars, the shallower their root systems; and the greater the masses of aboveground and underground parts, the greater the sensitivity of potato plants towards temporary deficits in soil moisture, and the greater the positive response to irrigation. In view of significant climatic changes observed worldwide during the last 50 years, manifesting as warming on every spatial scale, changes in precipitation, and a series of weather extremes [12,13], there is a spectrum of climatic risks for agriculture, which can be prevented, among others, by means of irrigation. Therefore, the aim of the study was to evaluate the effectiveness of irrigation of very early potato cultivars in three Polish mesoregions.

2. Material and Methods

The field experiments were conducted in 2009–2011 at the Experimental Stations of Cultivars Evaluation of the Research Centre for Cultivar Testing in Słupia Wielka. The study was carried out in a randomized sub-block pattern in triplicate. The experiment included 3 factors: cultivation practices, cultivars, and locations. Two cultivation practices were used: (a) with irrigation; (b) without irrigation as a control object. For each cultivation technology, 5 cultivars were assigned (“Denar,” “Flaming,” “Justa,” “Lord,” and “Miłek”). Experiments in the same system were carried out in three sites located in 3 physiographic regions of Poland: Masłowice, Szczecin-Dąbie, and Węgrzce. Masłowice is located in the south-western part of the Lodz region in the district of Wieluń (51°15′ N 18°38′ E, 174 m.a.s.l.), Szczecin-Dąbie (58°23′ N 14°40′ E, 9 m.a.s.l.) is situated in West-Pomeranian province, and Węgrzce is localized in Lesser Poland province and borders Cracow in the north (50°07 N19°59′ E, 285 m.a.s.l.).

2.1. Characteristics of the Varieties

The characteristics of the studied varieties are presented in Table 1.

2.2. Agrotechnical and Plant Protection Treatments

Constant nitrogen–phosphorus–potassium fertilization was applied at the amounts: 100 kg N, 43.6 kg P, and 124.5 kg K ha−1. In the trial, two kind of fertilizers were used: Polifoska 6-20-30-7 (NPK-S) and Pulrea (46% N). Tillage treatments were conducted in accordance with the principles of good agricultural practice. Chemical plant protection was used to control weeds, potato beetle, and late blight. The dosage, dates of applications, and product selections were complied with the principles of good agricultural practice [14] and recommendations of the Institute of Plant Protection. Spring cereals (wheat, barley, oats) were the potato forecrop. Crop was sowed on density 60,000 plants per ha−1.
Irrigation was applied according to the criterion of optimal soil moisture at a humidity decrease in the layer 0–30 cm below 70% of the field water capacity. Current soil moisture content was tested using a tensiometer, and according to its indications, water sprinkling was applied at the right times and dosages. The reel sprinklers equipped with a low-pressure pouring console were used. A single water quantity of water was 16–30 dm3·m−2 (Table 2).
The first harvest of tubers was performed 60 days after the planting (i.e., 40 days after emergence), whereas the second coincided with full physiological maturity of tubers, i.e., in phase 99 BBCH scale. The size of a single plot for harvest was 15 m2. The total tuber yield was determined during the harvest and representative samples were collected to the yield structure assessment. The yield structure on the first harvest date was determined according to the following fractions: below 30 mm, 31–40 mm, 41–50 mm, 51–60 mm, and above 60 mm. Tubers above 30 mm in diameter were considered marketable. The yield structure on the second harvest date was determined according to the following fractions: below 35 mm, 36–50 mm, 51–60 mm, and above 60 mm. Tubers larger than 35 mm in diameter were considered marketable on the second date.

2.3. Soil Analysis

The soil conditions in analyzed localities were diverse. Soil acidity ranged from slightly acidic (5.7 pH in KCl) in Masłowice to alkaline (7.8 pH in KCl) in Szczecin-Dąbie. The soil types, according to [15], were determined as lessive (Masłowice) through specific brown soil developed from loess (Węgrzce). The complexes of agricultural usefulness were from class VIb (Masłowice) to class II (Węgrzce) [16] (Table 3).

2.4. Meteorological Conditions

All years of research were quite wet, or optimal in relation to the demands of potato plants for water. The exception was the year 2009, when moisture conditions almost reached drought-level in Szczecin-Dąbie. April in Masłowice and Szczecin-Dąbie was extremely dry in all years of study, and in Węgrzce, it proved to be extremely dry in 2009. In May, during the emergence of potatoes, it was wet in 2009 and 2010, and in Masłowice and Węgrzce it was very humid. June, important for setting and growth of tubers, in 2009 was wet in all places, whereas in 2010, it appeared to be dry or had dry spells in Masłowice and Szczecin-Dąbie. In 2011, June was dry in all localities. July, the month determinant for tuber yields harvested on the second date, was diverse in terms of humidity. In Masłowice and Węgrzce, it was wet or very humid, and in Szczecin-Dąbie in 2009 and 2010, there was a dry spell, but it was humid in 2011. Rainfall in August did not determine the yield of very early and early potato cultivars (Table 4).
k = 10 P t
where P is the sum of the monthly precipitation in mm; Σt is monthly total air temperature > 0 °C. Ranges of values of this index were classified as follows: extremely dry, 0.0 ≤ k < 0.4; very dry, 0.7 ≤ k < 0.4; dry, 1.0 ≤ k < 0.7; rather dry, 1.3 ≤ k < 1.0; optimal, 1.6 ≤ k < 1.3; rather humid, 2.0 ≤ k < 1.6; wet, 2.5 ≤ k < 2.0; very humid, 3.0 ≤ k < 2.5; extremely humid, 3.0 > k [17].

2.5. Statistical Calculations

The results were subject to tri-factorial variance analysis (ANOVA) and multiple t-Tukey tests at a significance level of p = 0.05. The multiple comparison t-Tukey tests enabled for detailed comparative analysis of mean values by extracting statistically homogeneous medium sized groups (homologous groups) and determining the least significant differences of average values, which were marked as HSD (Tukey’s honest significant difference) [18]. The use of multifactorial analysis of variance also allowed for calculating the combined coefficient of variation (CV) or relative standard deviation (RSD, %) for each variable. It is a measure of random variation of the analyzed variables. This coefficient is calculated using the root mean square error, divided by general mean value and expressed in percent via SAS/STAT 9.2 software [19]. The Pearson correlation coefficients between the total and marketable yield vs. cultivation practices, water doses, and rainfall were also calculated. On this basis, variables for regression analysis of the total and marketable yields were selected. A stepwise, progressive construction of the regression model was applied. It consisted in the fact that during the first step, the explanatory variable that was most strongly correlated with the dependent variable was selected to the model and the model with relevant parameters was determined. In the second step, another explanatory variable, the values of which were most closely correlated with the residues of the first step, was selected, and the expanded model was characterized by the significance of all parameters. In addition to the significance of parameters, significance of the coefficient of determination was also tested. The procedure was terminated when the explanatory variables were missing or adding a new variable to the equation led to a loss of the significance of parameters or coefficient of determination. The function parameters were determined by means of the least squares and significance verification was performed using the Student’s t-test. In the statistical processing, dependent variables (y) were: y1—total yield of tubers; y2—marketable yield. The independent variables were: x1—cultivation practices, where only two options were assigned ”0”-without irrigation, and “1”-with irrigation; x2—water dose in mm·ha−1; x3–rainfall during potato vegetation in mm. Partial regression equations illustrated in figures were calculated according to formula: y = a + b j x j , where y—dependent variable, a—free term, b—regression coefficient, x—independent variable. The regression equations were described in terms of standard deviation from the arithmetic mean. Partial regression coefficients (bj) indicate how much the yield changes, if a given factor varies by a unit.

3. Results

Cultivation practices significantly affected the value of the total yield (Table 5).
Irrigation applied on the first date of harvest contributed to an increase in the total yield of tubers by 8.1–19.6%, depending on the localization, in relation to technology without irrigation. The highest increase in tuber yield was recorded in West Pomeranian province (Szczecin-Dąbie) (19.6%), which is characterized by deficient rainfall during the growing season, and the lowest was recorded in Węgrzce, Lesser Poland province, which has enough rainfall to ensure the potatoes’ demands for water (8.1%) (Table 5).
Analysis of the simple correlations between tuber yield (y) and independent variables (x) showed that both the total and marketable yields were positively correlated with the practices of cultivation for the first date of harvest (r = 0.46) and negatively with total precipitation during vegetation season (r = −0.43 and −0.45, respectively) (Table 6).
Applying the polynomial, linear regression allowed for plotting the parabolic second-degree curve for the total yield of tubers against the dose of water used for irrigation. The optimal dose for the total crop irrigation, under the conditions of the study, was determined to be 194.5 mm (Figure 1).
Variability of the results was characterized by arithmetic mean, median, standard deviation, kurtosis, skewness, range (minimum, maximum), and coefficient of variation (Table 7). The latter is a measure of concentration around the mean value. The higher the value, the more values of a variable are concentrated around the mean value. If it is negative, the distribution is more flattened than the normal one; if positive, the distribution is slenderer than normal. Skewness is a measure of asymmetry observed among results. This shows how the results for a given variable shape around the mean value. If the asymmetry value (skewness) is closer to zero, data are more distributed around the mean value. The value of this coefficient should be within the range of −1 to 1, but in the case of very high asymmetry, it can be outside of this range. Positive values testify to the presence of right-hand skewness, and negative values, the left-hand skewness. In turn, the range of data is the difference between the maximum and minimum values of the feature and is a measure that characterizes the empirical area of the variability of tested traits, but it does not give information about the diversity of individual values of the feature in the community.
Analysis of simple correlation between tuber yield (y) on the second date of harvest and independent variables (x) revealed that both the total and marketable yields were positively correlated with cultivation practices (r = 0.21), while negatively with the precipitation sum during the growing season (r = −0.27 and −0.31, respectively) (Table 8).
Detailed analysis of the dependent variables, for both the total (y1) and marketable yield (y2) and independent variables (x) for the second harvest date (Table 9), confirmed remarkable confidence for the achieved results. The coefficients of variation for the total and marketable yields, on the second harvest date, were respectively 23.05% and 25.05%, which means high stability of the results. The skewness oscillated close to zero with the “+” sign meaning that achieved data were distributed with right-hand skewness. Kurtosis, for both total and marketable yields, got negative values, which means that the distribution of values was more flattened than the normal one, whereas a positive (x3) distribution is slenderer than normal.
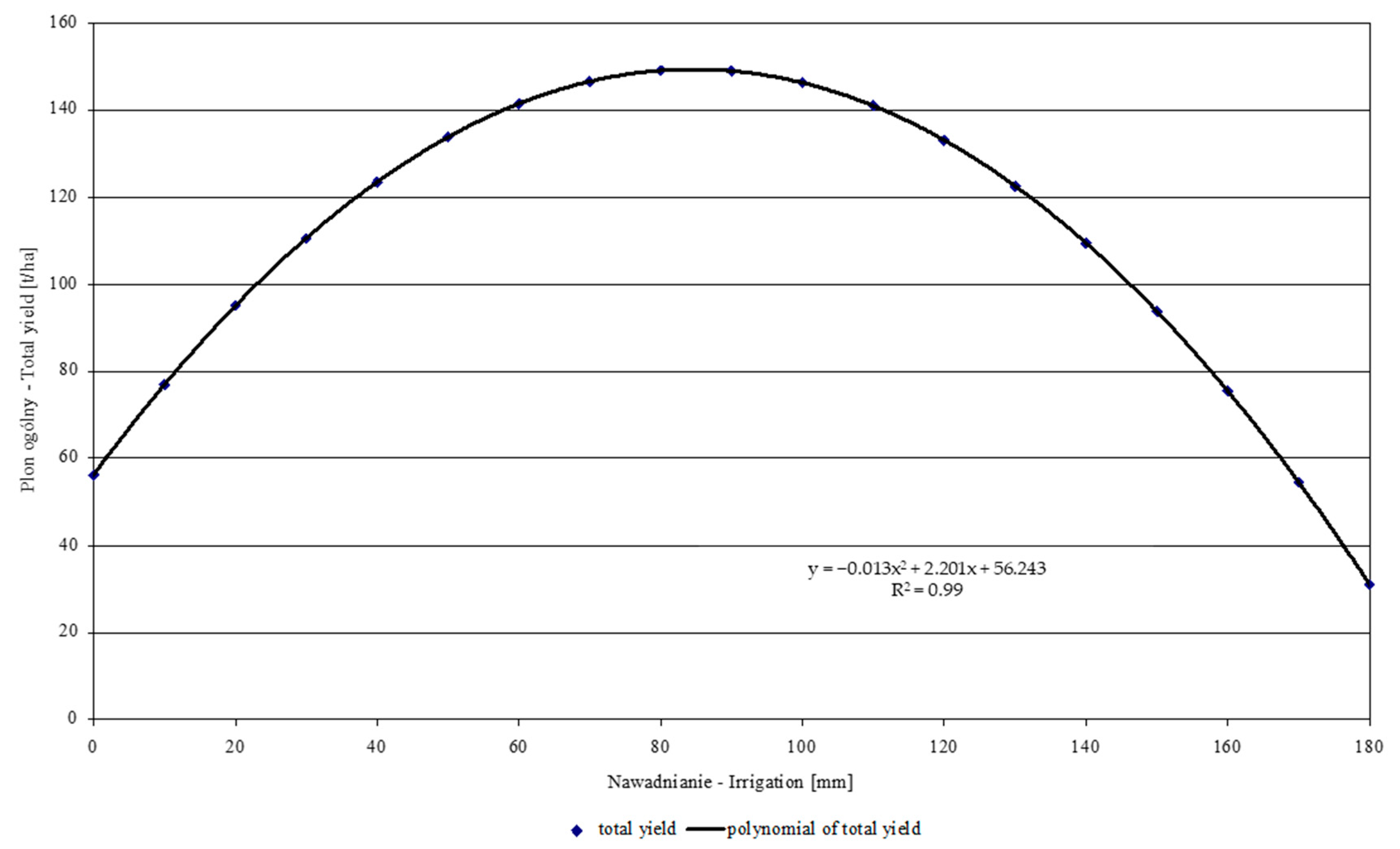
On the second harvest date, there was a more than 2-fold increase in the total yield of tubers. Irrigation resulted in an increase in the total yield of tubers, but the yield increase was smaller than on the first date of harvest and ranged from 6.3% to 17.6%, depending on the location of research (Table 5). Applications of polynomial, linear regression made it possible to determine the optimal dose of irrigation under Polish conditions for the total yield of tubers on the second harvest date. The optimal dose calculated from the linear regression equation was determined as 85.5 mm (Figure 2).
The highest irrigation effect was recorded under conditions of The Belt of Great Valleys (Masłowice)—rainfall was the smallest, whereas the lowest effect was in Węgrzce, which had the highest rainfall during the growing season (Table 5). The increase in yield due to irrigation did not differ significantly between Szczecin-Dąbie and Węgrzce, despite the differences in the soil type and amount of precipitation.
On both dates of tubers harvest, significant inter-variety differences were found in the case of the total yield (Table 10). The highest fertility on the first harvest date was had by “Miłek” cv., and on the second date, after tuber ripening—very early “Denar” cv. The highest value of this feature for the first date was recorded in 2009, and for the second date in 2011.
As a result of irrigation, the yield structure also changed, as the fraction of marketable tubers considerably increased, both on the first and second harvest dates (Table 11). Therefore, on the first date of harvest, the achieved marketable tuber yield increased on average by 15.8% and 14.0%, as compared with technology of growing without irrigation (Table 12).
Under drier conditions (Masłowice), marketable yield increased by 15.0%, whereas under the better hydrothermal conditions of Western Pomerania (Szczecin-Dąbie), there was a significantly higher effect with irrigation (22.9%) relative to without irrigation. On the other hand, under conditions of South-Central Poland (Węgrzce), additional applications of water even contributed to a decline in the marketable yield fpr the first date of harvest (Table 12).
Applying the polynomial, linear regression for the first harvest date allowed for plotting the marketable yield curve under the influence of irrigation and determination of the total water amount due to this characteristic. The size of the dose, under Polish conditions, was set to 186 mm. The determination coefficient of the regression equation was 67% (R2 = 0.67) and it can be regarded as credible (Figure 3).
For the harvest conducted during the full maturity of tubers (second term), the increase in marketable yield of tubers under the influence of irrigation ranged from 7.0% to 19.6%, which was the highest under conditions of Central Poland (Masłowice) (Table 12). Applications of polynomial, linear regression allowed for plotting the marketable yield curve and determining the optimal dose of irrigation water referring to this feature. The amount of the dose was set as 92 mm (Figure 4).
The highest commercial tuber yield, on the first date of harvest, was obtained in 2009, whereas for the harvest carried out on fully mature tubers (second harvest date), the highest value of this trait was achieved in 2011 (Table 13).
When analyzing the obtained total and marketable yields of tubers, the interaction of the harvest date × cultivars and years of research × cultivars, was found. On the first date of harvest, the highest yield was achieved from following cultivars: “Miłek” cv. and “Denar” cv., and only slightly below from “Lord” cv.; in the harvest of tubers after ripening, the highest marketable yields were obtained from “Denar” cv. and “Lord” cv. On the first harvest date (60 days after planting), the highest total and marketable yields of tubers were produced by “Miłek” cv. and “Denar” cv. in 2009, and the highest marketable tuber yield on the second harvest date was from “Lord” cv. in 2011 (Table 14).
Interactions between cultivars and cultivation technology appeared to be important for the total and marketable yields. The highest total and marketable yields of tubers on the first date of harvest were produced by “Miłek” cv.; for the second, ”Denar” cv. produced the highest yields, particularly with irrigation. The highest increases in the total and marketable yields, in relation to the non-irrigated plan, were reported on the first date of harvest for “Flaming” cv.; total yield was higher by 3.98 t·ha−1 (by 17.2%), and marketable yield was 4.05 t·ha−1 (by 20%). On the second harvest date, the highest increase in the total yield was recorded in the case of “Lord” cv.—8.93 t·ha−1 (by 12%) (Table 13), and in marketable yield by 8.71 t·ha−1 (by 12%) (Table 15).
The three-year field experiment in three mesoregions of Poland revealed that irrigation effectiveness ranged from 20.1 up to 132.1 kg tubers per 1 mm−1 water on the first date of harvest, and in the harvest after ripeningfrom 42.9 to 199.8 kg tubers; 1 mm−1 water (Table 16). The average effects of irrigation were on the first date 66.8 kg tubers, 1 mm−1 water; and on the second harvest date, 132.2 kg tubers, 1 mm−1 water. The poorest irrigation results were recorded in 2010 for the first harvest and in 2011 on the second date of harvest. Additional water doses to plants with irrigation in Węgrzce (South-Central Poland) in 2011 caused an insignificant decrease in the total yield of tubers in relation to the control objects without irrigation. The most stable irrigation effect was recorded on the second harvest date under hydrothermal conditions of West Pomerania (Szczecin-Dąbie) and Central Poland (Masłowice). The best effects of water treatment on potato plantations were achieved in Masłowice during the first year of the experiment (2009) on both dates, which were: 223.2 kg and 454.5 kg tubers·1 mm−1 water, respectively (Table 16).
The coefficient of variability (CV or RSD), which is a measure of a random variability, was very low—5.3–7.3%—which means that these results are credible and great confidence can be given to experimental data (Table 5 and Table 10, Table 11, Table 12, Table 13, Table 14 and Table 15).

4. Discussion

The highest effect of irrigation was obtained under soil and climatic conditions of Western Pomerania and the lowest effect in South-Central Poland. The dependence of the effect of irrigation on geographical location was confirmed by Kundzewicz and Kozyra [13] and Das et al. [8]. In the opinion of Supito et al. [20], higher productivity and profitability of potato cultivation in southern and central Europe can be possible only in the case of sufficient quantities of water available for irrigation.
The effect of irrigation was dependent on the meteorological conditions in the years of research. A similar effect was also obtained by Łabędzki [21], Posadas et al. [22], Karam et al. [6], and Mehring et al. [23]. Kundzewicz and Kozyra [13], when analyzing many years of climate data, found that on average in Poland there are three very dry years and four years with temporal drought in every ten years. Regardless of periodical wet years, a large area of Poland has a negative water balance. The average annual rainfall is about 600 mm, which is inadequate for potato crops.
The effect of irrigation, depending on the year, in case of the total yield of tubers harvested 60 days after planting, ranged from 8.1% to 19.6%, while for the yield harvested after tuber ripeningfrom 6.3 to17.6% in relation to the technology without irrigation. In case of marketable yield, the irrigation effect was 15.0–22.9% on the first date and 7.0–19.6% on the second date, depending on the year. Ossowski et al. [24], when growing medium early cultivars, recorded an increase in marketable yield due to spray irrigation by 10.1 t·ha−1 (i.e., by 26%), whilst using irrigation technology—by 10.7 t·ha−1 (i.e., by 28%) as compared to non-irrigated objects.
Varietal characteristics, regardless of irrigation, determined the total and marketable yields. Cultivar “Miłek” had the highest yields 60 days after planting, whereas cultivar “Denar” was best at the later (mature) harvest. Rolbiecki and Chmura [25] and Singh [5,26] found that the effect of irrigation depended on the genetic characteristics of potato cultivars.
Irrigation of potato crops in Poland with insufficient rainfall during the growing season, or an uneven distribution, is one of the most important factors determining the size of a potato yield and its quality [3,21,27]. For example, Karam et al. [6] found that irrigation increased the size of tubers but not their number, particularly when water deficit occurred during ripening of tubers.
Here presented study revealed that productivity of 1 mm irrigation water was the highest under conditions of very small rainfall (150–200 mm during vegetation season) amounting for cultivation of very early cultivars from 11.1 to 454.5 kg tubers onmm water−1, depending on localization, year, and harvest date. Average irrigation effect for the first date of harvest was 66.8 kg tubers, while for the second date—132.2 kg tubers on mm water−1. Rzekanowski et al. [28], when irrigating early potato cultivars, achieved the unit effectiveness of 113.2 tubers. mm water−1. Żarski et al. [29] proved that irrigation effectiveness is influenced not only by the irrigation dose, but also the water quality. Poor-quality water can diminish the crop yields and worsen its quality. It also affects the durability and reliability of irrigator’s work. The major problems that relate to water include the removal of chemical impurities, in particular iron, magnesium, and calcium present in ionic form. This is particularly important during drip irrigation at the point delivery of water, as this may cause localized accumulation of compounds toxic for plants in the soil. Contents of minerals in water should not exceed 192 mg·dm−1. Supplying the soil with excessive amounts of sodium, boron, or chlorides along with water can lead to their concentration at the levels that can be toxic for crops. Besides chemical compounds, water supplied from the open reservoirs can contain also mechanical impurities such as sand, decayed plant and animal-origin fragments, and biological ones–algae, bacteria.
Differences of productivity, depending on plantation localization and soil type, the irrigation was applied, was also found in present study. Rolbiecki et al. [25] reported that the sum of precipitation in Poland is sufficient during tuberization, if soil moisture content at the level of 10 cm is larger than 55% of the field water capacity. Decrease in the water humidity below 55% of the field water capacity, in particular on light soils, favors tuber infection by scab. In opinion of Supito et al. [20], water alone did not determine the irrigation results. Initially, potato utilizes the increase in CO2 emission, however, increasing temperatures diminish these positive effects in time. Higher productivity and profitability of potato cultivation in southern and central Europe can be possible only in the case of sufficient quantities of water available for irrigation. In northern Europe, depending on temperature and CO2 growth, yields stagnate or decrease. Nevertheless, the increase in potato productivity is still possible in some cooler regions.
Reducing the gap between the needs of plants and the amount of rainfall can be done through genetic activity-breeding varieties resistant to water stress. Domínguez et al. [7] have shown that the shortage of water during the vegetation causes a 12% loss of tuber’s elasticity, but at this time the dry weight of tubers increases by 1–2% as compared to the control. This may help to improve the competitiveness of the potato tubers processing industry. On the other hand, lack of water during the ripening of tubers leads to a 42% loss of yield and indicates the inclusion of irrigation strategy. The largest size was reported for tubers due to irrigation, when water deficit occurred during the ripening of tubers, while their number did not depend on irrigation during the period of water deficit.
Domínguez et al. [7] suggests that farmers can increase their profits by using less water than the dose required to achieve maximum yields. In the opinion of Pereira and Shock [30], the dose of irrigation should depend on production costs. Farmers can benefit from reduced irrigation costs while maintaining profitability at 1 mm, the same dose or more, without any water restriction. Saving the water for irrigation because of its deficit indicates that reducing the supply of irrigation from well-irrigated strategy allows one to divide a given amount of water for irrigation onto proportionally larger area. Domínguez, et al. [7] report that if water is the limiting factor, farmers often use the irrigation strategies, or apply it intuitively to maximize net profits, although it is not based on economic calculation. The economic analysis allows for the creation of irrigation strategies for farmers to increase the net value generated from limited water resources. It is hoped that the study findings would indicate new opportunities to engage irrigation managers and farmers in order to apply irrigation, especially under conditions of water deficit in potato breeding in arid regions.
The greatest water demand is manifested by potato plants during the period from rows compacting till full flowering. In opinion of Głuska [31], Borówczak and Rębarz [4], Karam et al. [6], Poddar et al. [32], and King et al. [10] during intensive growth, even several days’ shortcomings of available water in the soil can cause a growth retardation and significant decrease in tuber yields. In turn, the uneven distribution of rainfall causes distortion of tubers, cracking, secondary tubers, hollow hearts, and rusty dark spots, especially on light soils [30]. Głuska [3,31] reported that potato’s water needs in June-July are high, and in September, when growing the late cultivars and decreasing water consumption, the requirements amount to only approximately 50 mm and no longer have a significant impact on the yield earlier formed. The study upon very early and early cultivars shows that the greatest demand for water has been manifested by potato in a period of intensive growth and yield accumulation.
According to Głuska [31], to obtain high yield of tubers under Polish conditions, early cultivars require during their growing season 250–300 mm of precipitation with proportional distribution from April to August; medium early cultivars—300–350 mm from May to 15 September, and medium late; and late cultivars—350–450 mm from May to late September. In light soils with low humus content, potato’s water needs are 20% higher due to the low degree of water accumulation. The lack of precipitation should be supplemented with intervention irrigation. Research performed by Borówczak and Rębarz [4] and Ossowski et al. [24] showed that, under Polish climatic conditions, as a result of additional irrigation, the yield of potato increased by 25–30% over the period with the average rainfall. In this study, the average increase in the total yield was 6.3% to 19.6%, and that of the marketable yield was 7.0% to 22.9%, depending on the harvest date, locality and year, whereby they concerned a group of cultivars with the shortest growing season.
According to Buckley et al. [1] and Meligy et al. [33], due to the rising production costs and quality requirements as to the potato tubers, it is reasonable to implement GPS precision irrigation technology (precision water management). This technology involves the optimization of plant irrigation considering the variability of conditions in different parts of the field. The plants are supplied with water in an amount and time to guarantee achieving the highest yields. New irrigation technologies enable precise water dosage in each portion of potato cultivation. Only the bridge sprinklers equipped with a water dose adjustment and drip systems are suitable for this type of irrigation. Unfortunately, the reel sprinklers (irrigating areas of the circle or ring shape) popular in Poland are useless for this purpose.
In irrigated objects of this study, nitrogen dose was divided into two parts: before planting and post-crop during the growing season to avoid losses of nitrogen that could be leached from the soil. Mazurczyk et al. [27], Buckley et al. [1], and King et al. [10], suggested environmental, sustainable management of fertilization and irrigation, which is performed using an integrated system based on high-quality satellite data from advanced models of evaporation processes control and innovative service management. In the opinion of these authors, potatoes should be irrigated in three phases: stolon formation (20–25 DPS); stolon development and tuber formation (45–50 DPS); tuber development (65 DPS).
Irrigation of potato plantation carries, in addition to the obvious benefits, negative effects. Disadvantages of irrigation are: greater risk of fungal (late blight) and bacterial diseases (e.g., blackleg), destroying of the structure of topsoil, increasing the soil susceptibility to erosion, and soil salinity reduction [1,6,31,34]. Our findings support this view. Under conditions of South-Central Poland (Węgrzce), additional water application contributed to a decrease in marketable yield on the first date of harvest, despite the fact that the total yield was higher in relation to the plants without irrigation. An additional water dose for plants with irrigation forced additional applications of fungicides to combat fungal diseases, which increased the production costs.
The increases in the total and marketable yields under the influence of irrigation varied depending on the localization: the highest result was achieved in Szczecin-Dąbie–West Pomeranian region, and the lowest in Węgrzce—south-central Poland. Kalbarczyk and Kalbarczyk [12] proved that the greatest average precipitation deficit, in relation to the needs of potatoes, occurs in the north-western and central-western parts of the country. The obtained results indicate the need for irrigation of potatoes as a crucial yield-forming element, especially in very light soils with permeable surfaces. Żarski et al. [29] and Ossowski et al. [24] also believe that water scarcity occurs in areas with particular shortages of water, depending on the locality and soil conditions. The soil in which potato plants are cultivated should keep enough moisture in the rhizosphere between rainfall events or irrigation applications to prevent the drought stress [22,30].

5. Conclusions

Optimum management of potato irrigation requires a working knowledge of soil water conditions and the water and fertilization requirements of the cultivated varieties. The developed irrigation schedule helps to optimize water use for irrigation in water-poor areas in the temperate climate zone.
Irrigation of potato plantations contributed to an increase in the total yield by 3.22 t·ha−1 on the first date and by 7.23 t·ha−1 on the second date of harvest, and in marketable yield by 3.45 t·ha−1 on the first date and by 7.42 t·ha−1 on the second date of tuber harvest. Applying the polynomial, linear regression made it possible to determine the optimal dose of irrigation for the earliest harvest date for the total yield as 194.5 mm, and for the marketable yield as 186 mm. For the harvest of tubers after ripening, the optimal doses were 85.5 and 92 mm, respectively.
Varietal characteristics, regardless of irrigation, determined the sizes of the total and marketable yields. The most fertile cultivar harvested 60 days after planting proved to be “Miłek” cv., and regarding harvested after ripening—”Denar” cv. “Flaming” cv. best responded to irrigation, accumulating the highest total and marketable yields of tubers on the first date of harvest, but on the second date it was “Lord” cv.
Mean potato irrigation’s effectiveness was 66.8 kg tubers on the first date, whereas it was 132.2 kg tubers per mm water on the second date of harvest. Irrigation efficiency was related to the location of research. The highest effect of irrigation was obtained under soil and climatic conditions of Western Pomerania, the lowest in South-Central Poland. Irrigation of potato plantation during the water deficit period in the soil can be an important opportunity to increase profits in potato growing, and can be an opportunity for the competitiveness of potatoes targeted for processing into French fries or potato chips.

Author Contributions

Conceptualization, P.P. and B.S.; methodology, P.P., B.S. and T.L.; software, M.P.; validation, B.S. and T.L.; formal analysis, P.P. and M.P.; investigation, T.L. and P.P.; data curation, P.P., T.L. and M.P.; writing—original draft preparation, P.P. and B.S.; writing—review and editing, B.S.; visualization, M.P. and T.L., supervision, B.S.; project administration, P.P.; funding acquisition, P.P. and T.L. All authors have read and agreed to the published version of the manuscript.

Funding

This research received no external funding (self-financed).

Institutional Review Board Statement

Not applicable.

Informed Consent Statement

Not applicable.

Data Availability Statement

Not applicable.

Conflicts of Interest

The authors declare no conflict of interest.

References

  1. Buckley, D.; Groves, S.; Bailey, J.; Peters, J.; Bradshaw, F. Irrigation Best Practice Water Management for Potatoes a Guide for Growers. 2012. Available online: http://www.ukia.org/pdfs/water%20management%20for%20potatoes.pdf (accessed on 3 April 2019).
  2. Chmura, K.; Chylińska, E.; Dmowski, Z.; Nowak, L. Role of the water factor in yield formation of chosen field crops. Infrastruct. Ecol. Rural Areas 2009, 9, 33–44. [Google Scholar]
  3. Głuska, A. Influence of water shortage at different stages of the potato plant on field tuber quality. Potato Res. 1998, 41, 195–196. [Google Scholar]
  4. Borówczak, F.; Rębarz, K. The effects of different cultivation intensity on size and chemical composition of tubers in potato cv. Ania. Biul. Inst. Hod. I Aklim. Rosl. 2006, 242, 185–193. [Google Scholar]
  5. Singh, A. Groundwater modelling for the assessment of water management alternatives. J. Hydrol. 2013, 481, 220–229. [Google Scholar] [CrossRef]
  6. Karam, F.; Amacha, N.; Fahed, S.; Asmar, T.E.L.; Domínguez, A. Response of potato to full and deficit irrigation under semiarid climate: Agronomic and economic implications. Agric. Water Manag. 2014, 142, 144–151. [Google Scholar] [CrossRef]
  7. Domínguez, A.; Martínez-Romero, A.; Leite, K.N.; Tarjuelo, J.M.; de Juan, J.A.; López-Urrea, R. Combination of typical meteorological year with regulated deficit irrigation to improve the profitability of garlic growing in central Spain. Agric. Water Manag. 2013, 130, 154–167. [Google Scholar] [CrossRef]
  8. Das, B.; Singh, A.; Panda, S.N.; Yasuda, H. Optimal land and water resources allocation policies for sustainable irrigated agriculture. Land Use Policy 2009, 42, 527–537. [Google Scholar] [CrossRef]
  9. Dash, S.N.; Pushpavathi, Y.; Beher, S. Effect of Irrigation and Mulching on Growth Yield and Water Use Efficiency of Potato. Int. J. Curr. Microbiol. Appl. Sci. 2018, 7, 2582–2587. [Google Scholar] [CrossRef]
  10. King, B.A.; Stark, J.C.; Neibling, H. Potato Irrigation Management. In Potato Production Systems; Stark, J., Thornton, M., Nolte, P., Eds.; Springer: Cham, Switzerland, 2020; pp. 417–446. Available online: http://doi-org-443.webvpn.fjmu.edu.cn/10.1007/978-3-030-39157-7_13 (accessed on 3 April 2019).
  11. Ierna, A.; Giovanni, M. Tuber yield and irrigation water productivity in early potatoes as affected by irrigation regime. Agric. Water Manag. 2012, 115, 276–284. [Google Scholar] [CrossRef]
  12. Kalbarczyk, R.; Kalbarczyk, E. The needs and deficiency in atmospheric precipitation in cultivated mid-late and late potato in Poland. Infrastruct. Ecol. Rural Areas 2009, 3, 129–140. [Google Scholar]
  13. Kundzewicz, Z.W.; Kozyra, J. Limiting the impact of climate risks for agriculture and rural areas. Pol. J. Agron. 2011, 7, 68–81. [Google Scholar]
  14. Duer, I.; Fotyma, M.; Madej, A. Code of Good Agricultural Practice; MRiRW Warszawa: Warsaw, Poland, 2004; p. ss.93. [Google Scholar]
  15. The classification of Polish soils. Soil Sci. Annu. 2011, 62, 1–193.
  16. Marcinek, J.; Komisarek, J.; Bednarek, R.; Mocek, A.; Skiba, S.; Wiatrowska, K. Systematics of Polish soils. Rocz. Glebozn. 2001, 62, 5–12. [Google Scholar]
  17. Skowera, B.; Kopcińska, J.; Kopeć, B. Changes in thermal and precipitation conditions in Poland in 1971–2010. Ann. Warsaw Univ. Life Sci. SGGW Land Reclam. 2014, 46, 153–162. [Google Scholar] [CrossRef]
  18. Koronacki, J. Statistics, for Students of Technical and Natural Sciences; WNT: Warsaw, Poland, 2009; p. 491. [Google Scholar]
  19. SAS Institute Inc. SAS/STAT®9.2 User’s Guide; SAS Institute Inc.: Cary, NC, USA, 2008. [Google Scholar]
  20. Supita, I.; van Diepenb, C.A.; de Witb, A.J.W.; Wolf, J.; Kabata, P.; Baruth, B.; Ludwig, F. Assessing climate change effects on European crop yields using the Crop Growth Monitoring System and a weather generator. Agric. For. Meteorol. 2012, 164, 96–111. [Google Scholar] [CrossRef]
  21. Łabędzki, L. Estimation of local drought frequency in Central Poland using the standardized precipitation index SPI. Irrig. Drain. 2007, 56, 67–77. [Google Scholar] [CrossRef]
  22. Posadas, A.; Rojas, G.; Málaga, M.; Mares, V.; Quiroz, R.A. Partial root-zone drying: An alternative irrigation management to improve the water use efficiency of potato crop. In CIP Production Systems and the Environment Working Paper; International Potato Center CIP: Lima, Perú, 2008; p. 2. [Google Scholar]
  23. Mehring, G.H.; Stenger, J.E.; Hatterman-Valenti, H.M. Weed Control with Cover Crops in Irrigated Potatoes. Agronomy 2016, 6, 3. [Google Scholar] [CrossRef]
  24. Ossowski, W.; Rolbiecki, S.; Wojdyła, T.; Wichrowska, D.; Rolbiecki, R. Effect of irrigation methods on yields of medium early potato grown on a light soil in the pomeranian region. Infrastruct. Ecol. Rural Areas 2012, 1/II, 133–145. [Google Scholar]
  25. Rolbiecki, S.; Chmura, M. Optimal precipitation for field-cultivated vegetables. Infrastruct. Ecol. Rural Areas 2014, 4, 1397–1405. [Google Scholar]
  26. Singh, A. Land and water management planning for increasing farm income in irrigated dry areas. Land Use Policy 2015, 42, 244–250. [Google Scholar] [CrossRef]
  27. Mazurczyk, W.; Wierzbicka, A.; Trawczyński, C. Harvest index of potato crop grown under different nitrogen and water supply. Acta Sci. Pol. Agric. 2009, 8, 15–21. [Google Scholar]
  28. Rzekanowski, C.Z.; Rolbiecki, S.; Rolbiecki, R. Influence of sprinkler irrigation and differentiated nitrogen fertilization on yields of early potato cv. ‘Dorota’ on the soil of weak rye complex in the region of Bydgoszcz. Infrastruct. Ecol. Rural Area 2013, 2/I, 31–41. [Google Scholar]
  29. Żarski, J.; Dudek, S.; Kuśmierek-Tomaszewska, R. Needs and irrigation effects on potato in areas of particular deficits in the water. Infrastruct. Ecol. Rural Areas 2011, 5, 175–182. [Google Scholar]
  30. Pereira, A.B.; Shock, C.C. Development of irrigation best management practices for potato from a research perspective in the United State. Sakia.org e-Publ. 2006, 1, 1–20. [Google Scholar]
  31. Głuska, A. Potato Water Needs and Irrigation Rules for Plantations; Publisher IHAR Radzików: Błonie, Poland, 2004. [Google Scholar]
  32. Poddar, A.; Kumar, N.; Shankar, V. Evaluation of two irrigation scheduling methodologies for potato (Solanum tuberosum L.) in north-western mid-hills of India. ISH J. Hydraul. Eng. 2018, 1–9. [Google Scholar] [CrossRef]
  33. Meligy, M.M.; El-Shinawy, M.Z.; El-Behairy, U.A.; Abou-Hadid, A.F. Impact of Climate Change on Water Requirements and The Productivity on Potato Crop. Egypt. J. Hortic. 2020, 47, 57–68. [Google Scholar] [CrossRef]
  34. Nazaraliev, D.; Akmalov, S. Anti-erosion technology of potatoes irrigation on typical Chirchik-Angren valley serosemes. EDP Sci. J. 2020, 175, 01018. [Google Scholar] [CrossRef]
Figure 1. Dependencies of the total and commercial yields on the dose of irrigation in the first term.
Figure 1. Dependencies of the total and commercial yields on the dose of irrigation in the first term.
Agriculture 11 00084 g001
Figure 2. Dependence of the total yield of tubers on the dose of irrigation for the second harvest time.
Figure 2. Dependence of the total yield of tubers on the dose of irrigation for the second harvest time.
Agriculture 11 00084 g002
Figure 3. Dependence of the commercial yield of tubers on the dose of irrigation in the first harvest.
Figure 3. Dependence of the commercial yield of tubers on the dose of irrigation in the first harvest.
Agriculture 11 00084 g003
Figure 4. Dependence of the commercial yield of tubers on the dose of irrigation in the second of harvest time.
Figure 4. Dependence of the commercial yield of tubers on the dose of irrigation in the second of harvest time.
Agriculture 11 00084 g004
Table 1. Characteristics of the studied varieties.
Table 1. Characteristics of the studied varieties.
FeaturesVarieties
“Denar”“Flaming”“Justa”“Lord”“Miłek”
earlinessvery earlyvery earlyvery earlyvery earlyvery early
the shape of the tubersround-ovalovalround-ovalround-ovalround-oval
skin coloryellowredyellowyellowyellow
color of the fleshlight yellowlight yellowyellowlight yellowlight yellow
consumption typeABBB–BCABBC
Tastiness (scale 9°)77776–7
resistance to late blight potato (scale 9°)32332
PVY resistance (scale 9°)795–677
PLRV resistance (scale 9°)775–675–6
Resistance to common scab (scale 9°)88888
A—salad type; B—general use type, AB—salad type to general use type, C—mealy type; B–BC—general use to slightly floury.
Table 2. Doses of water and terms of irrigation during the growing season of potatoes in 2009–2011 in localities: Masłowice, Szczecin-Dąbie, and Węgrzce.
Table 2. Doses of water and terms of irrigation during the growing season of potatoes in 2009–2011 in localities: Masłowice, Szczecin-Dąbie, and Węgrzce.
LocalityYears
200920102011
The Terms of IrrigationThe Dose of Water
(dm·m−2)
The Terms of IrrigationThe Dose of Water
(dm·m−2)
The Terms of IrrigationThe Dose of Water
(dm·m−2)
Masłowice30 April 200920.025 June 201020.020 May 201120.0
28 June 201020.023 May 201120.0
30 June 201020.030 May 201120.0
08 July 201020.006 June 201120.0
10 June 201120.0
16 June 201120.0
Sum-20.0-80.0-120.0
Szczecin-Dąbie10 July 200920.018 June 201020.003 June 201120.0
24 June 201020.009 June 201120.0
30 June 201020.015 June 201120.0
03 July 201020.001 July 201120.0
09 July 201020.0
12 July 201020.0
17 July 201020.0
28 July 201020.0
Sum-20.0-160.0-80.0
Węgrzce15 May 200916.010 July 201016.011 June 201130.0
21 May 200916.017 July 201016.017 June 201130.0
25 May 200916.0 14 July 201130.0
08 June 200916.0
16 June 200916.0
12 July 200916.0
03 August 200916.0
Sum-112.0-32.0-90.0
source: own research.
Table 3. Abundance of available phosphorus, potassium, and magnesium in soil, and pH of the soil in different localities (2009–2011).
Table 3. Abundance of available phosphorus, potassium, and magnesium in soil, and pH of the soil in different localities (2009–2011).
LocalityYearsThe Content of Available Forms [mg·100 g−1 Soil]pH
[KCl]
P2O5K2OMg
Masłowice200937.424.24.56.4
201040.021.95.66.7
201121.416.96.65.7
Mean32.921.05.66.3
Szczecin-Dąbie200918.425.09.97.8
201015.419.27.67.8
201119.223.08.67.7
Mean17.722.48.77.8
Węgrzce200923.524.010.06.3
201023.025.29.96.0
201124.221.910.66.2
Mean23.623.710.26.2
Source: results of research performed in the Chemical-Agricultural Station.
Table 4. Rainfall, air temperature, and the hydrothermal coefficient of Sielianinov, during the growing season of potatoes, according to the meteorological stations in Masłowiece, Szczecin-Dąbie, and Węgrzce 2009‒2011.
Table 4. Rainfall, air temperature, and the hydrothermal coefficient of Sielianinov, during the growing season of potatoes, according to the meteorological stations in Masłowiece, Szczecin-Dąbie, and Węgrzce 2009‒2011.
LocalizationMonthAverage Air TemperatureSum of RainfallsSielianinov Coefficients *
Years
200920102011200920102011200920102011
MasłowiceIV11.18.710.10.020.013.00.00.80.4
V13.412.514.061.1184.229.61.54.80.7
VI15.617.517.0117.629.854.82.50.61.0
VII19.321.318.0102.9173.3108.81.72.62.0
VIII18.819.219.245.986.352.90.81.50.9
Mean15.615.815.7---1.32.11.0
Sum of rainfalls---2336.52503.62270.1---
Szczecin-DąbieIV11.68.312.215.46.513.80.40.30.4
V13.211.013.962.746.457.71.51.41.3
VI15.116.417.665.519.250.71.40.41.0
VII19.121.517.449.947.9168.00.80.73.1
VIII18.620.118.167.1150.052.11.22.60.9
Mean15.515.515.8---1.11.11.3
Sum of rainfalls---2597.12773.62612.4---
WęgrzceIV12.19.110.51.829.274.00.11.02.3
V14.013.014.198.2227.849.72.25.61.1
VI16.217.518.3142.4166.648.92.93.10.9
VII19.721.117.975.2141.4176.31.22.23.2
VIII19.019.219.452.7147.760.40.92.51.0
Mean16.216.016.0---1.52.91.7
Sum of rainfalls---2967.43486.33021.7---
Source: own, * coefficient was calculated according to the formula.
Table 5. Total yields of potato tubers depending on the technology and the location of cultivation at the first and second harvest times (t·ha−1).
Table 5. Total yields of potato tubers depending on the technology and the location of cultivation at the first and second harvest times (t·ha−1).
LocationHarvest Dates
III
Technology
Without IrrigationWith IrrigationMeanWithout IrrigationWith IrrigationMean
Masłowice24.7127.8026.25 a61.2071.9566.57 a
Szczecin-Dąbie24.4829.2726.87 a52.0359.5255.8 b
Węgrzce21.9723.7522.6 b54.0757.5055.9 b
Mean23.72 b26.94 a 55.76 b62.99 a
CV-RSD (%) 6.95.3
HSDp = 0.05
Technology0.741.34
Location1.091.97
Location × technology1.893.42
a and b letters indicators of homologous groups (identical letters by the average values of the characteristics indicate no significant differences between them).
Table 6. Pearson’s simple correlation coefficients for the first harvest date tubers.
Table 6. Pearson’s simple correlation coefficients for the first harvest date tubers.
y1y2x1x2x3
y11.00 **
y20.99 **1.00 **
x10.46 **0.46 **1.00 **
x20.180.180.75 **1.00 **
x3−0.43 **−0.45 **0.00−0.131.00 **
** Significant at the level of p = 0.05; y1—total yield (t·ha−1), y2—marketable yield (t·ha−1), x1—technologies, x2—dose of water per 1 ha (mm), x3—for the growing season rainfall (mm).
Table 7. Descriptive statistics of the dependent variable (y) and independent variable (x) for the first harvest date tubers.
Table 7. Descriptive statistics of the dependent variable (y) and independent variable (x) for the first harvest date tubers.
Specification *y1y2x1x2x3
Average25.3223.540.5038.56382.82
Median24.8322,840.500.00342.30
Standard deviation6.196.650.5051.99138,05
Kurtosis−0.51−0.56−2.05−0.421.07
Slant0.340.360.000.991.39
Range27.2928.931.00160.00453.60
Minimum13.9711.500.000.00259.10
Maximum41.2640.431.00160.00712.70
Coefficient of variation V [%]24.4528.25100.60134.8436.06
* Designations as in Table 5.
Table 8. Pearson’s simple correlation coefficients for the second harvest date tubers.
Table 8. Pearson’s simple correlation coefficients for the second harvest date tubers.
Specificationy1y2x1x2x3
y11.00
y20.99 **1.00
x10.27 *0.26 *1.00
x20.21 *0.21 *0.75 **1.00
x3−0.27 *−0.31 *0.00−0.131.00
* p = 0.05; ** p = 0.01.
Table 9. Descriptive statistics of the dependent variable (y) and independent variable (x) for the second harvest date tubers.
Table 9. Descriptive statistics of the dependent variable (y) and independent variable (x) for the second harvest date tubers.
Specification *y1y2x1x2x3
Average59.3856.850.5038.56382.82
Median57.9155.620.500.00342.3
Standard deviation13.6914.240.5051.99138.05
Kurtosis−0.31−0.34−2.04−0.421.07
Slant0.360.387.9 × 10 −170.991.39
Range65.1068.311.00160.00453.60
Minimum32.1928.010.000.00259.10
Maximum97.2996.321.00160.00712.70
Coefficient of variation V [%]23.0525.05100.56134.8436.06
* Explanations as in Table 5.
Table 10. Total yield of potato tubers depending on the cultivars and years of research for the first and second harvests (t·ha−1) (mean for technologies).
Table 10. Total yield of potato tubers depending on the cultivars and years of research for the first and second harvests (t·ha−1) (mean for technologies).
CultivarsHarvest Dates
III
Years
200920102011Mean200920102011Mean
“Denar”30.8423.2429.6727.92 ab72.4160.9079.2570.86 a
“Flaming”24.1119.9819.3021.13 c54.8843.9462.1353.65 b
“Justa”23.6218.0522.4321.37 c47.5242.8548.5446.30 c
“Lord”30.2522.7228.4327.13 b70.2758.9380.2169.80 a
“Miłek”34.5524.8927.8329.09 a59.4451.8857.5056.27 b
Mean28.67 a2.78 c25.53 b 60.90 b52.00 c65.53 a
CV-RSD (%)6.95.3
HSDp = 0.05
Years 1.091.97
Cultivars1.652.98
Years × Cultivars3.596.50
The letters a, b and c indicate homologous groups (identical letters for the average values of the characteristics indicate no significant differences between them).
Table 11. The share of commercial tuber weight (average for years and cultivars).
Table 11. The share of commercial tuber weight (average for years and cultivars).
LocationHarvest Dates
III
Cultivation Technology
Without IrrigationWith IrrigationMeanWithout IrrigationWith IrrigationMean
Masłowice91.5893.6092.5995.0596.7195.88 a
Szczecin-Dąbie91.8394.4093.1197.0697.0897.07 a
Węgrzce92.5493.1892.8693.8494.4594.15 b
Mean91.98 a93.72 b92.8595.32 a96.08 b95.70
CV-RSD (%) 5.906.50
HSDp = 0.05
Technology1.080.70
Locationns *ns
Location × technologyns ns
* ns—not significant at p = 0.05. The letters a and b indicate homologous groups (identical letters for the average values of the characteristics indicate no significant differences between them).
Table 12. Commercial yield of potato tubers depending on cultivation technology and the location for the first and second harvest dates (t·ha−1).
Table 12. Commercial yield of potato tubers depending on cultivation technology and the location for the first and second harvest dates (t·ha−1).
LocationHarvest Dates
III
Cultivation Technology
Without IrrigationWith IrrigationMeanWithout IrrigationWith IrrigationMean
Masłowice22.6326.0224.32 a58.1769.5863.88 a
Szczecin-Dąbie22.4827.6325.06 a50.5057.7854.14 b
Węgrzce22.3322.1321.23 b50.7454.3152.53 b
Mean21.81 b25.26 a23.5453.14 b60.56 a56.85
CV-RSD (%)7.36.5
HSDp = 0.05
Technology0.731.56
Location1.082.30
Location × technology1.873.98
The letters a and b indicate homologous groups (identical letters for the average values of the characteristics indicate no significant differences between them).
Table 13. Commercial yield of tubers, depending on the cultivars and years of research for the first and second harvests (t·ha−1).
Table 13. Commercial yield of tubers, depending on the cultivars and years of research for the first and second harvests (t·ha−1).
CultivarsHarvest dates
III
Years
200920102011Mean200920102011Mean
“Denar”29.6921.0428.5126.41 ab71.4258.1077.6869.06 a
“Flaming”21.6016.1517.0818.28 c51.9039.4757.1549.51 c
“Justa”21.8816.2821.4719.88 c45.9640.7647.4444.72 d
“Lord”29.1920.2927.2125.56 b69.3855.8378.4467.88 a
“Miłek”33.4322.6226.6127.55 a56.8949.2653.0553.06 b
Mean27.16 a19.28 c24.17 b 59.11b48.68 c62.75 a
CV-RSD (%) 7.36.5
HSDp= 0.05
Years 1.082.30
Cultivars1.633.47
Years × Cultivars3.557.57
The letters indicate homologous groups (identical letters for the average values of the character-istics indicate no significant differences between them).
Table 14. Total yields of potato tubers depending on cultivation and variety in the first and second harvests (t·ha−1).
Table 14. Total yields of potato tubers depending on cultivation and variety in the first and second harvests (t·ha−1).
CultivarsHarvest Dates
III
Cultivation Technology
Without IrrigationWith IrrigationMeanWithout IrrigationWith IrrigationMean
“Denar”25.9929.8527.92 ab66.6875.0370.86 a
“Flaming”19.1423.1221.13 c50.2857.0253.65 b
“Justa”20.1722.5621.37 c43.5149.0946.30 c
“Lord”25.7828.4927.13 b65.3474.2769.80 a
“Miłek”27.5330.6629.09 a53.0159.5456.27 b
Mean23.72 b26.94 a 55.76 b62.99 a
CV-RSD (%) 6.95.3
HSDp = 0.05
Technology0.741.34
Cultivar1.652.98
Cultivar × technology2.724.93
The letters a, b and c indicate homologous groups (identical letters for the average values of the characteristics indicate no significant differences between them).
Table 15. Commercial yields of potato tubers depending on cultivation and variety in the first and second harvests (t·ha−1).
Table 15. Commercial yields of potato tubers depending on cultivation and variety in the first and second harvests (t·ha−1).
CultivarsHarvest Dates
III
Cultivation Technology
Without IrrigationWith IrrigationMeanWithout IrrigationWith IrrigationMean
“Denar”24.4328.4026.41 ab64.7573.3869.06 a
“Flaming”16.2520.3018.28 c45.6453.3749.50 c
“Justa”18.5321.2319.88 c41.9447.5044.72 d
“Lord”24.0827.0525.56 b63.5372.2467.88 a
“Miłek”25.7829.3327.55 a49.8456.2953.06 b
Mean21.81 b25.26 a 53.14 b60.56 a
CV-RSD (%) 7.36.5
HSDp= 0.05
Technology0.731.56
Cultivar1.633.47
Cultivar × technology2.695.74
The letters indicate homologous groups (identical letters for the average values of the character-istics indicate no significant differences between them).
Table 16. The efficiency of irrigation (kg tubers· 1 mm−1 of water).
Table 16. The efficiency of irrigation (kg tubers· 1 mm−1 of water).
LocationHarvest Dates
III
Technology
200920102011200920102011
Masłowice223.211.132.6454.5190.566.0
Szczecin-Dąbie147.013.197.898.884.772.3
Węgrzce26.236.214.046.2186.9−9.7
Mean132.120.148.1199.8154.042.9
Publisher’s Note: MDPI stays neutral with regard to jurisdictional claims in published maps and institutional affiliations.

Share and Cite

MDPI and ACS Style

Pszczółkowski, P.; Sawicka, B.; Lenartowicz, T.; Pszczółkowski, M. The Dependence of Crop Potatoes on the Level of Irrigation under Polish Conditions. Agriculture 2021, 11, 84. https://doi.org/10.3390/agriculture11020084

AMA Style

Pszczółkowski P, Sawicka B, Lenartowicz T, Pszczółkowski M. The Dependence of Crop Potatoes on the Level of Irrigation under Polish Conditions. Agriculture. 2021; 11(2):84. https://doi.org/10.3390/agriculture11020084

Chicago/Turabian Style

Pszczółkowski, Piotr, Barbara Sawicka, Tomasz Lenartowicz, and Mateusz Pszczółkowski. 2021. "The Dependence of Crop Potatoes on the Level of Irrigation under Polish Conditions" Agriculture 11, no. 2: 84. https://doi.org/10.3390/agriculture11020084

APA Style

Pszczółkowski, P., Sawicka, B., Lenartowicz, T., & Pszczółkowski, M. (2021). The Dependence of Crop Potatoes on the Level of Irrigation under Polish Conditions. Agriculture, 11(2), 84. https://doi.org/10.3390/agriculture11020084

Note that from the first issue of 2016, this journal uses article numbers instead of page numbers. See further details here.

Article Metrics

Back to TopTop