Diets, Food Choices and Environmental Impacts across an Urban-Rural Interface in Northern Vietnam
Abstract
1. Introduction
2. Materials and Methods
2.1. Survey
2.2. Individual Socio-Demographics
2.3. Dietary Assessment and Food Sources
2.4. Environmental Impact Assessment
2.5. Perceptions of Food Choices
2.6. Statistical Analysis
3. Results
3.1. Socio-Demographic Characteristics of Study Participants
3.2. Food Group Intake across the Rural-Urban Transect in Vietnam
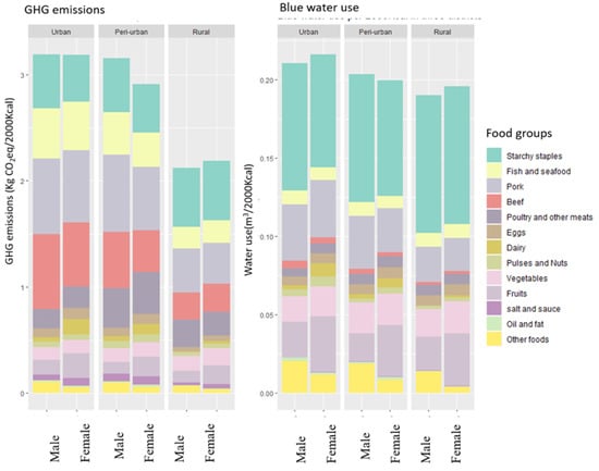
3.3. Environmental Impacts of Diets
3.4. Perceptions of Food Choices
3.5. Trade-Offs and Synergies between Environmental and Nutritional Trends along the Urban–Rural Transect
4. Discussion and Conclusions
Author Contributions
Funding
Institutional Review Board Statement
Informed Consent Statement
Acknowledgments
Conflicts of Interest
Appendix A
| Description | Scoring Criteria | Score | Score Range |
|---|---|---|---|
| Food Groups: 5 food groups: meat/poultry/fish/egg, dairy/beans, grains, fruits, and vegetables | ≥1 serving from each food group/day | 15 | 0–15 |
| Any 1 food group missing/d | 12 | ||
| Any 2 food group missing/d | 9 | ||
| Any 3 food group missing/d | 6 | ||
| Any 4 food group missing/d | 3 | ||
| None from any food groups | 0 | ||
| Protein sources: 6 sources: meat, poultry, fish, dairy, beans, eggs | ≥3 different sources/day | 5 | 0–5 |
| 2 different sources/d | 3 | ||
| From 1 source/d | 1 | ||
| None | 0 | ||
| TOTAL SCORE FOR VARIETY COMPONENT | 0–20 | ||
| Factor | Description | Factor | Description |
|---|---|---|---|
| Health | Is high in fiber and roughage | Sensory Appeal | Tastes good |
| Is high in protein | Smells nice | ||
| Contains a lot of vitamins and minerals | Looks nice | ||
| Keeps me healthy | Has a pleasant texture | ||
| Mood | Makes me feel good emotionally | Price | Is not expensive/cheap/good value for money |
| Keeps me awake/alert | Weight Control | Is low in fat | |
| Convenience | Is easy and/or fast to prepare and cook | Is low in calories | |
| Is easily available in shops and supermarkets | Familiarity | Is familiar what I usually eat when I was a child | |
| Can be bought in shops close to where I live or work | Ethical Concern | Has the country of origin clearly marked | |
| Is not forbidden in my religion | |||
| Natural Content | Contains no additives | Comes from countries I approve of politically | |
| Contains natural ingredients | Is packaged in an environmentally friendly way | ||
| Is produced without chemicals | Produced in a humane way |
| Male | Female | |||||
|---|---|---|---|---|---|---|
| Food Groups | Urban | Peri-Urban | Rural | Urban | Peri-Urban | Rural |
| Starchy staples | 1156.904 a | 1208.963 ab | 1535.1 bc | 893.577 a | 982.372 a | 1160.412 b |
| Fish and seafood | 52.624 | 62.963 | 57.349 | 42.82 | 49.554 | 48.026 |
| Pork | 347.609 a | 335.764 a | 189.662 b | 271.271 a | 237.727 a | 133.02 b |
| Beef | 37.732 | 26.525 | 14.819 | 31.118 a | 16.701 ab | 13.455 bc |
| Poultry and other meats | 129.172 | 149.115 | 131.595 | 119.759 | 135.747 | 97.118 |
| Eggs | 49.393 a | 36.36 ab | 17.752 bc | 46.565 a | 36.881 ab | 15.618 bc |
| Dairy | 28.932 a | 33.028 a | 6.514 b | 64.77 a | 62.111 a | 18.775 b |
| Pulses and Nuts | 101.068 | 89.432 | 81.241 | 94.622 | 104.137 | 68.514 |
| Vegetables | 75.713 | 71.175 | 79.721 | 78.844 | 71.729 | 72.598 |
| Fruits | 89.151 | 65.328 | 92.167 | 106.46 | 98.508 | 111.2 |
| salt and sauce | 11.454 a | 13.181 a | 5.486 b | 12.684 a | 14.68 a | 5.383 b |
| Oil and fat | 87.354 a | 76.058 a | 47.768 b | 77.782 a | 98.771 ab | 40.023 bc |
| Other foods | 37.352 a | 48.068 a | 40.761 b | 31.917 | 26.283 | 11.941 |
| Sum | 2204.458 | 2215.96 | 2299.935 | 1872.189 | 1935.201 | 1796.083 |
| Male | Female | |||||
|---|---|---|---|---|---|---|
| Food Groups | Urban | Peri-Urban | Rural | Urban | Peri-Urban | Rural |
| Starchy staples | 0.579 | 0.561 | 0.677 | 0.434 | 0.443 | 0.507 |
| Fish and seafood | 0.56 a | 0.513 a | 0.252 b | 0.429 a | 0.387 a | 0.206 b |
| Pork | 0.837a | 0.851 a | 0.513 b | 0.663 a | 0.631 a | 0.361 b |
| Beef | 0.876 | 0.619 | 0.327 | 0.717 a | 0.413 ab | 0.255 bc |
| Poultry and other meats | 0.249 | 0.474 | 0.3 | 0.231 ab | 0.423 b | 0.198 ac |
| Eggs | 0.143a | 0.096 ab | 0.051 bc | 0.134 a | 0.087 ab | 0.044 bc |
| Dairy | 0.054ab | 0.072 b | 0.012 ac | 0.132 a | 0.128 a | 0.028 b |
| Pulses and Nuts | 0.053 ab | 0.07 b | 0.042 ac | 0.049 | 0.065 | 0.037 |
| Vegetables | 0.161 a | 0.181 a | 0.332 b | 0.168 a | 0.171 a | 0.288 b |
| Fruits | 0.282 | 0.265 | 0.229 | 0.331 ab | 0.472 b | 0.277 ac |
| salt and sauce | 0.049 a | 0.070 b | 0.043 b | 0.049 a | 0.072 b | 0.04 b |
| Oil and fat | 0.019 a | 0.015 a | 0.005 b | 0.016 a | 0.021 a | 0.005 b |
| Other foods | 0.205 a | 0.164 ab | 0.042 bc | 0.146 | 0.152 | 0.111 |
| Sum | 4.067 | 3.951 | 2.825 | 3.499 | 3.465 | 2.357 |
| Male | Female | |||||
|---|---|---|---|---|---|---|
| Food Groups | Urban | Peri-Urban | Rural | Urban | Peri-Urban | Rural |
| Starchy staples | 0.085 a | 0.09 a | 0.105 b | 0.065 a | 0.072 ab | 0.079 bc |
| Fish and seafood | 0.009 | 0.01 | 0.01 | 0.007 | 0.007 | 0.008 |
| Pork | 0.004 a | 0.005 a | 0.004 b | 0.004 a | 0.004 a | 0.004 b |
| Beef | 0.002 | 0.001 | 0.001 | 0.002 a | 0.001 ab | 0.001 bc |
| Poultry and other meats | 0.01 | 0.008 | 0.008 | 0.01 | 0.007 | 0.006 |
| Eggs | 0.005 | 0.002 | 0.001 | 0.004 | 0.002 | 0.001 |
| Dairy | 0.003 a | 0.003 a | 0.000 b | 0.007 a | 0.006 a | 0.002 b |
| Pulses and Nuts | 0.004 | 0.003 | 0.003 | 0.005 a | 0.004 ab | 0.002 bc |
| Vegetables | 0.017 | 0.021 | 0.019 | 0.018 | 0.019 | 0.018 |
| Fruits | 0.024 | 0.019 | 0.024 | 0.031 | 0.031 | 0.031 |
| salt and sauce | 0.000 | 0.000 | 0.000 | 0.001 | 0.000 | 0.000 |
| Oil and fat | 0.002 a | 0.001 ab | 0.001 bc | 0.001 ab | 0.002 b | 0.001 ac |
| Other foods | 0.021 a | 0.020 ab | 0.015 bc | 0.011 a | 0.009 a | 0.004b |
| Sum | 0.186 | 0.183 | 0.191 | 0.166 | 0.164 | 0.157 |
| Male | Female | |||||
|---|---|---|---|---|---|---|
| Food Groups | Urban | Peri-Urban | Rural | Urban | Peri-Urban | Rural |
| Starchy staples | 0.506 a | 0.511 a | 0.559 b | 0.442 a | 0.459 a | 0.562 b |
| Fish and seafood | 0.472 a | 0.4 a | 0.203 b | 0.455 a | 0.32 ab | 0.213 bc |
| Pork | 0.716 a | 0.725 a | 0.414 b | 0.681 a | 0.601 a | 0.385 b |
| Beef | 0.705 a | 0.531 ab | 0.254 bc | 0.606 | 0.396 | 0.261 |
| Poultry and other meats | 0.182 ab | 0.376 c | 0.262 ac | 0.203 a | 0.392 b | 0.228 a |
| Eggs | 0.082 a | 0.08 a | 0.044 b | 0.101 a | 0.095 a | 0.048 b |
| Dairy | 0.044 a | 0.047 a | 0.004 b | 0.146 a | 0.100 a | 0.028 b |
| Pulses and Nuts | 0.05 ab | 0.064 b | 0.036 ac | 0.051 | 0.069 | 0.041 |
| Vegetables | 0.12 | 0.13 | 0.141 | 0.127 | 0.135 | 0.16 |
| Fruits | 0.138 | 0.111 | 0.105 | 0.235 | 0.187 | 0.18 |
| salt and sauce | 0.053 a | 0.071 a | 0.027 b | 0.069 a | 0.078 a | 0.038 b |
| Oil and fat | 0.017 a | 0.014 a | 0.007 b | 0.015 ab | 0.022 b | 0.008 ac |
| Other foods | 0.104 a | 0.097 a | 0.068 b | 0.055 ab | 0.058 b | 0.036 ac |
| Sum | 3.189 | 3.157 | 2.124 | 3.186 | 2.912 | 2.188 |
| Male | Female | |||||
|---|---|---|---|---|---|---|
| Food Groups | Urban | Peri-Urban | Rural | Urban | Peri-Urban | Rural |
| Starchy staples | 0.081 a | 0.082 ab | 0.088 bc | 0.072 a | 0.074 a | 0.088 b |
| Fish and seafood | 0.009 | 0.009 | 0.009 | 0.008 | 0.008 | 0.009 |
| Pork | 0.036 a | 0.034 a | 0.023b | 0.036 a | 0.028 b | 0.021 b |
| Beef | 0.005 a | 0.003 ab | 0.002 bc | 0.004 a | 0.003 ab | 0.002 bc |
| Poultry and other meats | 0.005 | 0.006 | 0.007 | 0.006 | 0.007 | 0.007 |
| Eggs | 0.005 | 0.006 | 0.007 | 0.006 | 0.007 | 0.007 |
| Dairy | 0.003 a | 0.003 a | 0.000 b | 0.009 a | 0.006 a | 0.002 b |
| Pulses and Nuts | 0.004 a | 0.003ab | 0.002bc | 0.006 a | 0.004 ab | 0.002 bc |
| Vegetables | 0.016 | 0.02 | 0.018 | 0.019 | 0.02 | 0.021 |
| Fruits | 0.023 | 0.018 | 0.022 | 0.035 | 0.033 | 0.033 |
| salt and sauce | 0.000 ab | 0.000 b | 0.000 ac | 0.000 | 0.000 | 0.000 |
| Oil and fat | 0.002 a | 0.001 ab | 0.001 bc | 0.001 a | 0.002 a | 0.001 b |
| Other foods | 0.02 a | 0.019 ab | 0.014 bc | 0.012 a | 0.008 a | 0.004 b |
| Sum | 0.209 | 0.204 | 0.193 | 0.214 | 0.2 | 0.197 |
References
- FAO; IFAD; UNICEF; WFP; WHO. The State of Food Security and Nutrition in the World 2020. Transforming Food Systems for Affordable Healthy Diets; FAO: Rome, Italy, 2020. [Google Scholar] [CrossRef]
- Allievi, L. Francesca and Antonelli, Marta and Dembska, Katarzyna and Principato, Understanding the Global Food System. In Achieving the Sustainable Development Goals through Sustainable Food Systems; Springer: Cham, Switzerland, 2019; pp. 3–23. [Google Scholar]
- IPCC. Climate Change 2007: Impacts, Adaptation and Vulnerability. In Contribution of Working Group II to the Fourth Assessment: Report of the Intergovernmental Panel on Climate Change; Cambridge University Press: Cambridge, UK, 2007. [Google Scholar]
- Gómez, M.I.; Barrett, C.B.; Raney, T.; Pinstrup-Andersen, P.; Meerman, J.; Croppenstedt, A.; Carisma, B.; Thompson, B. Post-green revolution food systems and the triple burden of malnutrition. Food Policy 2013, 42, 129–138. [Google Scholar] [CrossRef]
- FAO. Sustainable Food Systems. Concept and Framework. 2018, pp. 1–8. Available online: http://www.fao.org/3/ca2079en/CA2079EN.pdf (accessed on 4 February 2021).
- Trinh, H.T.; Simioni, M.; Thomas-Agnan, C. Decomposition of changes in the consumption of macronutrients in Vietnam between 2004 and 2014. Econ. Hum. Biol. 2018, 31, 259–275. [Google Scholar] [CrossRef]
- Nguyen, T.T.; Hoang, M.V. Non-communicable diseases, food and nutrition in Vietnam from 1975 to 2015: The burden and national response. Asia Pac. J. Clin. Nutr. 2018, 27, 19–28. [Google Scholar] [CrossRef]
- Thang, N.M.; Popkin, B.M. Patterns of food consumption in Vietnam: Effects on socioeconomic groups during an era of economic growth. Eur. J. Clin. Nutr. 2004, 58, 145–153. [Google Scholar] [CrossRef]
- Trinh, T.H.; Morais, J.; Thomas-Agnan, C.; Simioni, M. Relations between socio-economic factors and nutritional diet in Vietnam from 2004 to 2014: New insights using compositional data analysis. Stat. Methods Med. Res. 2019, 28, 2305–2325. [Google Scholar] [CrossRef]
- Harris, J.; Nguyen, P.H.; Tran, L.M.; Huynh, P.N. Nutrition transition in Vietnam: Changing food supply, food prices, household expenditure, diet and nutrition outcomes. Food Secur. 2020, 12, 1141–1155. [Google Scholar] [CrossRef]
- Heller, M.C.; Walchale, A.; Heard, B.R.; Hoey, L.; Khoury, C.K.; de Haan, S.; Burra, D.D.; Duong, T.T.; Osiemo, J.; Trinh, T.H.; et al. Environmental analyses to inform transitions to sustainable diets in developing countries: Case studies for Vietnam and Kenya. Int. J. Life Cycle Assess. 2020, 25, 1183–1196. [Google Scholar] [CrossRef]
- Vos, T.; Lim, S.S.; Abbafati, C.; Abbas, K.M.; Abbasi, M.; Abbasifard, M.; Abbasi-Kangevari, M.; Abbastabar, H.; Abd-Allah, F.; Abdelalim, A.; et al. Global burden of 369 diseases and injuries in 204 countries and territories, 1990–2019: A systematic analysis for the Global Burden of Disease Study 2019. Lancet 2020, 396, 1204–1222. [Google Scholar] [CrossRef]
- Beal, T.; Le, D.T.; Trinh, T.H.; Burra, D.D.; Huynh, T.; Duong, T.T.; Truong, T.M.; Nguyen, D.S.; Nguyen, K.T.; de Haan, S.; et al. Child stunting is associated with child, maternal, and environmental factors in Vietnam. Matern. Child Nutr. 2019, 15, e12826. [Google Scholar] [CrossRef]
- Beal, T.; Le, T.D.; Trinh, H.T.; Burra, D.D.; Béné, C.; Huynh, T.T.T.; Truong, M.T.; Nguyen, S.D.; Tran, D.T.; Nguyen, K.T.; et al. Child overweight or obesity is associated with modifiable and geographic factors in Vietnam: Implications for program design and targeting. Nutrients 2020, 12, 1286. [Google Scholar] [CrossRef]
- Trinh, T.H.; Simioni, M.; Thomas-Agnan, C. Assessing the nonlinearity of the calorie-income relationship: An estimation strategy—With new insights on nutritional transition in Vietnam. World Dev. 2018, 110, 192–204. [Google Scholar] [CrossRef]
- He, P.; Baiocchi, G.; Hubacek, K.; Feng, K.; Yu, Y. The environmental impacts of rapidly changing diets and their nutritional quality in China. Nat. Sustain. 2018, 1, 122–127. [Google Scholar] [CrossRef]
- He, P.; Baiocchi, G.; Feng, K.; Hubacek, K.; Yu, Y. Environmental impacts of dietary quality improvement in China. J. Environ. Manag. 2019, 240, 518–526. [Google Scholar] [CrossRef]
- Aleksandrowicz, L.; Green, R.; Joy, E.J.M.; Harris, F.; Hillier, J.; Vetter, S.H.; Smith, P.; Kulkarni, B.; Dangour, A.D.; Haines, A. Environmental impacts of dietary shifts in India: A modelling study using nationally-representative data. Environ. Int. 2019, 126, 207–215. [Google Scholar] [CrossRef]
- Vázquez-Rowe, I.; Larrea-Gallegos, G.; Villanueva-Rey, P.; Gilardino, A. Climate change mitigation opportunities based on carbon footprint estimates of dietary patterns in Peru. PLoS ONE 2017, 12, e0188182. [Google Scholar] [CrossRef]
- Kim, B.F.; Santo, R.E.; Scatterday, A.P.; Fry, J.P.; Synk, C.M.; Cebron, S.R.; Mekonnen, M.M.; Hoekstra, A.Y.; de Pee, S.; Bloem, M.W.; et al. Country-specific dietary shifts to mitigate climate and water crises. Glob. Environ. Chang. 2019, 62, 101926. [Google Scholar] [CrossRef]
- Mertens, E.; Kuijsten, A.; van Zanten, H.H.; Kaptijn, G.; Dofková, M.; Mistura, L.; D’Addezio, L.; Turrini, A.; Dubuisson, C.; Havard, S.; et al. Dietary choices and environmental impact in four European countries. J. Clean. Prod. 2019, 237, 117827. [Google Scholar] [CrossRef]
- Jones, A.D.; Hoey, L.; Blesh, J.; Miller, L.; Green, A.; Shapiro, L.F. A Systematic Review of the Measurement of Sustainable Diets. Adv. Nutr. 2016, 7, 641–664. [Google Scholar] [CrossRef]
- Popkin, B.M.; Adair, L.S.; Ng, S.W. Global nutrition transition and the pandemic of obesity in developing countries. Nutr. Rev. 2012, 70, 3–21. [Google Scholar] [CrossRef] [PubMed]
- Roos, E.; Lahelma, E.; Virtanen, M.; Prättälä, R.; Pietinen, P. Gender, socioeconomic status and family status as determinants of food behaviour. Soc. Sci. Med. 1998, 46, 1519–1529. [Google Scholar] [CrossRef]
- Ricciuto, L.; Tarasuk, V.; Yatchew, A. Socio-demographic influences on food purchasing among Canadian households. Eur. J. Clin. Nutr. 2006, 60, 778–790. [Google Scholar] [CrossRef] [PubMed]
- Green, R.F.; Joy, E.J.M.; Harris, F.; Agrawal, S.; Aleksandrowicz, L.; Hillier, J.; Macdiarmid, J.I.; Milner, J.; Vetter, S.H.; Smith, P.; et al. Greenhouse gas emissions and water footprints of typical dietary patterns in India. Sci. Total Environ. 2018, 643, 1411–1418. [Google Scholar] [CrossRef] [PubMed]
- Huynh, T.T.T.; Pham, T.M.H.; Trinh, T.H.; Duong, T.T.; Nguyen, R.; Hernandez, M.T.; Lundy, M.; Nguyen, T.K.; Nguyen, L.T.L.; Vuong, T.V.; et al. Partial Food Systems Baseline Assessment at the Vietnam Benchmark Sites; The CGIAR Research Program on Agriculture for Nutrition and Health (A4NH) in Vietnam: Hanoi, Vietnam, 2020. [Google Scholar]
- de Haan, S.; Huynh, T.T.T.; Duong, T.T.; Rubin, J. Defining the Benchmark Research Sites (Rural to Urban Transect) in vietnam Flagship 1—Food Systems for Healthier Diets. 2017. Available online: https://www.researchgate.net/publication/326095516_Defining_the_benchmark_research_sites_rural_to_urban_transect_in_Vietnam_Flagship_1_-_Food_systems_for_Healthier_Diets (accessed on 4 February 2021).
- HLPE. Nutrition and Food Systems. A Report by the High Level Panel of Experts on Food Security and Nutrition of the Committee on World Food Security; FAO: Rome, Italy, 2017. [Google Scholar]
- Vietnam National Institute of Nutrition. Vietnamese Food Composition Table; Medical Publishing House: Hanoi, Vietnam, 2017. [Google Scholar]
- FAO; FHI. Minimum Dietary Diversity for Women-A Guide to Measurement; FAO: Rome, Italy, 2016; Available online: http://www.fao.org/3/a-i5486e.pdf (accessed on 4 February 2021).
- Tur, J.A.; Romaguera, D.; Pons, A. The Diet Quality Index-International (DQI-I): Is it a useful tool to evaluate the quality of the Mediterranean diet? Br. J. Nutr. 2005, 93, 369–376. [Google Scholar] [CrossRef] [PubMed]
- Heller, M.C.; Willits-Smith, A.; Meyer, R.; Keoleian, G.A.; Rose, D. Greenhouse gas emissions and energy use associated with production of individual self-selected US diets. Environ. Res. Lett. 2018, 13, 044004. [Google Scholar] [CrossRef] [PubMed]
- Mekonnen, M.M.; Hoekstra, A.Y. The green, blue and grey water footprint of crops and derived crop products. Hydrol. Earth Syst. Sci. 2011, 15, 1577–1600. [Google Scholar] [CrossRef]
- Pahlow, M.; van Oel, P.R.; Mekonnen, M.M.; Hoekstra, A.Y. Increasing pressure on freshwater resources due to terrestrial feed ingredients for aquaculture production. Sci. Total Environ. 2015, 536, 847–857. [Google Scholar] [CrossRef]
- Steptoe, A.; Pollard, T.M.; Wardle, J. Development of a Measure of the Motives Underlying the Selection of Food: The Food Choice Questionnaire Department of Psychology, St George’s Hospital Medical School, London. Appetite 1995, 25, 267–284. [Google Scholar] [CrossRef]
- Batlle-Bayer, L.; Aldaco, R.; Bala, A.; Fullana-i-Palmer, P. Toward sustainable dietary patterns under a water–energy–food nexus life cycle thinking approach. Curr. Opin. Environ. Sci. Health 2020, 13, 61–67. [Google Scholar] [CrossRef]
- Allès, B.; Péneau, S.; Kesse-Guyot, E.; Baudry, J.; Hercberg, S.; Méjean, C. Food choice motives including sustainability during purchasing are associated with a healthy dietary pattern in French adults. Nutr. J. 2017, 16, 58. [Google Scholar] [CrossRef]
- Nordhagen, S.; Beal, T.; Lawrence, H. The Role of Animal Sources Foods in Healthy, Sustainable, and Equtable Food Systems; Global Alliance for Improved Nutrition (AGIN) discussion paper #5: Geneva, Switzeland, 2020. [Google Scholar] [CrossRef]
- Perignon, M.; Sinfort, C.; el Ati, J.; Traissac, P.; Drogué, S.; Darmon, N.; Amiot, M.J.; Amiot, M.J.; Achir, N.; Alouane, L.; et al. How to meet nutritional recommendations and reduce diet environmental impact in the Mediterranean region? An optimization study to identify more sustainable diets in Tunisia. Glob. Food Secur. 2019, 23, 227–235. [Google Scholar] [CrossRef]
- Gerber, P.J.; Henning, H.; Benjamin, S.; Mottet, J.D.A.; Carolyn Opio, F.; Allessandra, G.T. Tackling Climate Change through Livestock: A Global Assessment of Emissions and Mitigation Opportunities; Food and Agriculture Organization of the United Nations (FAO): Rome, Italy, 2013. [Google Scholar]
- Mayton, H.; Beal, T.; Rubin, J.; Sanchez, A.; Heller, M.; Hoey, L.; de Haan, S.; Duong, T.T.; Huynh, T.; Burra, D.D.; et al. Conceptualizing sustainable diets in Vietnam: Minimum metrics and potential leverage points. Food Policy 2020, 91, 101836. [Google Scholar] [CrossRef]







| Variables | Urban | Peri-Urban | Rural | |||||
|---|---|---|---|---|---|---|---|---|
| Male | Female | Male | Female | Male | Female | |||
| Number of participants | 105 | 109 | 92 | 92 | 110 | 111 | ||
| Age in years | Mean | 35.2 | 31.6 | 32.4 | 28.9 | 31.0 | 28.3 | |
| Standard deviation | 6.2 | 4.7 | 6.1 | 5.3 | 7.0 | 6.3 | ||
| Share of household in income classes (%) | ||||||||
| <7 million VND per month | 9.5 | 5.5 | 20.7 | 32.6 | 72.7 | 72.1 | ||
| 7–11 million VND per month | 21.0 | 22.9 | 34.8 | 29.3 | 22.7 | 22.5 | ||
| >11 million VND per month | 69.5 | 71.6 | 44.6 | 38.0 | 4.5 | 5.4 | ||
| Share of highest education levels of respondents (%) | ||||||||
| Primary school or no formal education | 2.0 | 0.9 | 8.7 | 9.9 | 37.0 | 33.6 | ||
| Secondary—high school | 19.8 | 11.9 | 56.5 | 50.6 | 57.4 | 61.8 | ||
| University and college | 78.2 | 87.2 | 34.8 | 39.5 | 5.6 | 4.5 | ||
| Main occupation (%) | ||||||||
| Employee (public sector, private company, NGO) | 67.6 | 70.6 | 38.0 | 32.6 | 4.5 | 4.5 | ||
| Self-employed (run family-owned businesses) | 23.8 | 15.6 | 44.6 | 35.9 | 79.1 | 86.5 | ||
| Others | 8.6 | 14.0 | 17.4 | 32.0 | 16.4 | 9.0 | ||
| Factor | Urban | Peri-Urban | Rural |
|---|---|---|---|
| Health | 16.5 a (2.4) | 15.8 b (2.5) | 14.3 c (3.5) |
| Mood | 6.8 a (1.8) | 7.4 b (1.6) | 7.4 b (1.7) |
| Convenience | 10.8 a (2.2) | 10.8 a (2.0) | 9.8 b (2.5) |
| Sensory Appeal | 15.4 ab (2.8) | 15.0 b (2.5) | 15.7 ac (2.5) |
| Natural Content | 12.9 a (1.6) | 12.1 b (2.0) | 11.6 c (2.2) |
| Price | 3.3 (1.0) | 3.5 (0.9) | 3.4 (1.1) |
| Weight Control | 7.2 a (1.6) | 6.9 a (1.4) | 6.1 b (2.0) |
| Familiarity | 3.2 a (1.1) | 3.2 a (1.0) | 3.5 b (0.9) |
| Ethical Concern | 20.6 a (3.5) | 20.5 a (3.3) | 19.2 b (3.6) |
| Variables | Logarithm of GHGE per 2000 Kcal | Logarithm of Blue Water Use per 2000 Kcal | ||||||||||
|---|---|---|---|---|---|---|---|---|---|---|---|---|
| Male | Female | Male | Female | |||||||||
| Urban (1) | Peri-Urban (2) | Rural (3) | Urban (4) | Peri-Urban (5) | Rural (6) | Urban (7) | Peri-Urban (8) | Rural (9) | Urban (10) | Peri-Urban (11) | Rural (12) | |
| (Intercept) | 0.064 | 0.889 ** | 0.116 | −0.322 | 0.469 | −0.269 | −1.794 *** | −1.644 *** | −1.997 *** | −1.681 *** | −2.011 *** | −2.104 *** |
| Variety scores (cont.) | 0.032 ** | 0.025 * | 0.038 *** | 0.041 ** | 0.029 ** | 0.047 *** | 0.008 | 0.006 | 0.02 *** | 0.014 ** | 0.016 ** | 0.022 *** |
| Income: reference: Less than 7 millions VND | ||||||||||||
| From 7 to 11 millions VND | −0.042 | 0.061 | −0.001 | 0.05 | 0.078 | −0.17 | 0.028 | 0.019 | −0.014 | 0.086 | 0.032 | −0.02 |
| Greater than 11 millions VND | 0.167 | 0.032 | −0.034 | 0.14 | −0.146 ** | −0.146 | 0.025 | −0.008 | −0.03 | 0.021 | −0.047 | −0.048 |
| Education: Reference: Primary school or no formal education | ||||||||||||
| Secondary—high school | −0.439 | 0.039 | 0.141 * | 0.417 | −0.068 | 0.113 | −0.124 | −0.138 ** | 0.033 | 0.131 | −0.035 | 0.046 |
| University and college | −0.288 | 0.03 | 0.083 | 0.371 | 0.031 | 0.79 *** | −0.12 | −0.157 ** | 0.004 | 0.038 | 0.002 | 0.061 |
| Own production (reference: No Own production) | −0.183 | −0.121 | 0.017 | −0.24 | −0.204 ** | 0.088 | 0.185 | −0.049 | −0.003 | 0.056 | −0.085 * | 0.018 |
| Factor 1—Health | −0.028 | −0.021 | −0.01 | −0.023 | −0.018 | −0.009 | −0.007 | 0.021 ** | −0.001 | −0.012 | 0.027 *** | 0.004 |
| Factor 5—Natural Content | 0.092 * | 0.005 | 0.03 | 0.067 | 0.026 | 0.025 | 0.028 * | −0.033 ** | 0.014 | 0.005 | −0.033 ** | 0.002 |
| Factor 9—Ethical Concern | 0.01 | 0.006 | −0.017 | −0.007 | 0.009 | −0.005 | −0.001 | 0.003 | −0.009 * | −0.001 | 0 | 0 |
| R squared | 0.115 | 0.084 | 0.269 | 0.129 | 0.18 | 0.417 | 0.096 | 0.15 | 0.313 | 0.141 | 0.235 | 0.325 |
| Number of observations | 105 | 92 | 110 | 109 | 92 | 111 | 105 | 92 | 110 | 109 | 92 | 111 |
Publisher’s Note: MDPI stays neutral with regard to jurisdictional claims in published maps and institutional affiliations. |
© 2021 by the authors. Licensee MDPI, Basel, Switzerland. This article is an open access article distributed under the terms and conditions of the Creative Commons Attribution (CC BY) license (http://creativecommons.org/licenses/by/4.0/).
Share and Cite
Trinh, H.T.; Linderhof, V.; Vuong, V.T.; Esaryk, E.E.; Heller, M.; Dijkxhoorn, Y.; Nguyen, T.M.; Huynh, T.T.T.; Hernandez, R.; Duong, T.T.; et al. Diets, Food Choices and Environmental Impacts across an Urban-Rural Interface in Northern Vietnam. Agriculture 2021, 11, 137. https://doi.org/10.3390/agriculture11020137
Trinh HT, Linderhof V, Vuong VT, Esaryk EE, Heller M, Dijkxhoorn Y, Nguyen TM, Huynh TTT, Hernandez R, Duong TT, et al. Diets, Food Choices and Environmental Impacts across an Urban-Rural Interface in Northern Vietnam. Agriculture. 2021; 11(2):137. https://doi.org/10.3390/agriculture11020137
Chicago/Turabian StyleTrinh, Huong Thi, Vincent Linderhof, Vy Thao Vuong, Erin E. Esaryk, Martin Heller, Youri Dijkxhoorn, Trang Mai Nguyen, Tuyen Thi Thanh Huynh, Ricardo Hernandez, Thanh Thi Duong, and et al. 2021. "Diets, Food Choices and Environmental Impacts across an Urban-Rural Interface in Northern Vietnam" Agriculture 11, no. 2: 137. https://doi.org/10.3390/agriculture11020137
APA StyleTrinh, H. T., Linderhof, V., Vuong, V. T., Esaryk, E. E., Heller, M., Dijkxhoorn, Y., Nguyen, T. M., Huynh, T. T. T., Hernandez, R., Duong, T. T., Luu, V. T., Jones, A. D., Talsma, E. F., Truong, M. T., Achterbosch, T., & de Haan, S. (2021). Diets, Food Choices and Environmental Impacts across an Urban-Rural Interface in Northern Vietnam. Agriculture, 11(2), 137. https://doi.org/10.3390/agriculture11020137

