Significance of Pyrolytic Temperature, Particle Size, and Application Rate of Biochar in Improving Hydro-Physical Properties of Calcareous Sandy Soil
Abstract
:1. Introduction
2. Materials and Methods
2.1. Experimental Design
2.1.1. Preparation of Soil Sample
2.1.2. Biochar Preparation
2.1.3. Soil Columns Preparations
2.2. Cumulative Evaporation
2.3. Cumulative Infiltration
2.4. Saturated Hydraulic Conductivity (KS)
2.5. Statistical Analysis
3. Results and Discussion:
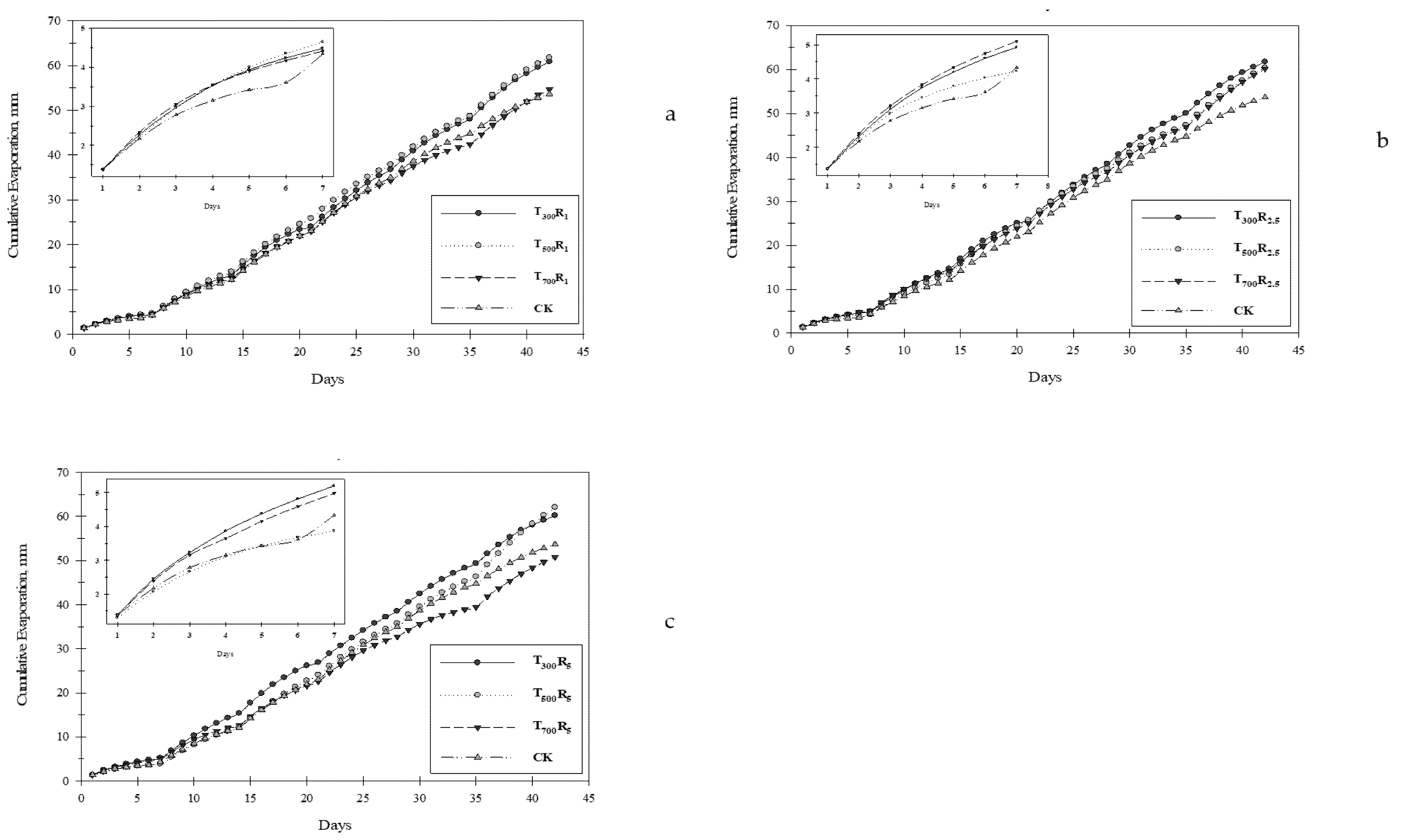
3.1. Cumulative Evaporation
3.1.1. Influence of Temperature of Pyrolysis
3.1.2. Effect of Application Rate
3.1.3. Impact of Diameter of Biochar
3.2. Saturated Hydraulic Conductivity
3.3. Cumulative Infiltration and Infiltration Rate
4. Conclusions
Author Contributions
Funding
Institutional Review Board Statement
Informed Consent Statement
Data Availability Statement
Acknowledgments
Conflicts of Interest
Appendix A. Equations Describing Cumulative Infiltration and Infiltration Rate
| T | Cumulative Evaporation | Infiltration Rate | ||
| T1 | y = 1.4534x − 0.1251 | R2 = 0.9975 | y = 2.2256x + 0.4664 | R2 = 0.9925 |
| T2 | y = 2.0124x − 0.8518 | R2 = 0.9912 | y = 1.8796x + 0.6048 | R2 = 0.9967 |
| T3 | y = 1.7679x − 0.4352 | R2 = 0.9708 | y = 2.5837x + 0.4678 | R2 = 0.9961 |
| T4 | y = 3.0158x + 0.5561 | R2 = 0.9174 | y = 2.3214x − 0.7994 | R2 = 0.9959 |
| T5 | y = 2.6133x − 0.95 | R2 = 0.9982 | y = 2.8205x + 0.7835 | R2 = 0.9886 |
| T6 | y = 2.5537x − 0.9322 | R2 = 0.9786 | y = 3.2641x + 0.5948 | R2 = 0.9192 |
| T7 | y = 2.8297x − 0.9942 | R2 = 0.9929 | y = 2.7413x + 0.8407 | R2 = 0.8009 |
| T8 | y = 2.8212x − 0.9816 | R2 = 0.9938 | y = 2.5538x + 0.9527 | R2 = 0.9352 |
| T9 | y = 4.0581x − 2.4953 | R2 = 0.9885 | y = 2.3642x + 1.181 | R2 = 0.9919 |
| T10 | y = 1.7664x − 0.495 | R2 = 0.9971 | y = 2.1745x + 0.528 | R2 = 0.9941 |
| T11 | y = 1.2225x − 0.0518 | R2 = 0.9976 | y = 1.965x + 0.3926 | R2 = 0.9845 |
| T12 | y = 1.7705x − 0.7166 | R2 = 0.9896 | y = 1.8908x + 0.5051 | R2 = 0.9954 |
| T13 | y = 2.5563x − 0.9953 | R2 = 0.9927 | y = 2.9078x + 0.7172 | R2 = 0.9972 |
| T14 | y = 2.6133x − 0.6669 | R2 = 0.9982 | y = 3.3867x + 0.7835 | R2 = 0.9921 |
| T15 | y = 2.6662x − 1.0981 | R2 = 0.9723 | y = 3.0739x + 0.7083 | R2 = 0.9991 |
| T16 | y = 1.4839x − 0.7078 | R2 = 0.9802 | y = 1.2875x + 0.4263 | R2 = 0.9981 |
| T17 | y = 1.2225x − 0.0518 | R2 = 0.9976 | y = 1.965x + 0.3926 | R2 = 0.9845 |
| T18 | y = 3.0665x − 0.72 | R2 = 0.999 | y = 3.7874x + 0.9799 | R2 = 0.9753 |
| T19 | y = 1.5823x − 0.227 | R2 = 0.9968 | y = 2.1588x + 0.5197 | R2 = 0.9756 |
| T20 | y = 2.0988x − 0.9671 | R2 = 0.9953 | y = 1.8356x + 0.6277 | R2 = 0.9813 |
| T21 | y = 2.099x − 0.8621 | R2 = 0.9984 | y = 1.7311x + 0.6842 | R2 = 0.9497 |
| T22 | y = 1.9711x − 0.8006 | R2 = 0.9977 | y = 1.8635x + 0.6077 | R2 = 0.9755 |
| T23 | y = 3.1899x − 1.0057 | R2 = 0.9994 | y = 3.4941x + 0.9935 | R2 = 0.9861 |
| T24 | y = 3.951x − 1.6413 | R2 = 0.9946 | y = 3.6777x + 1.0836 | R2 = 0.8374 |
| T25 | y = 2.4232x − 1.0245 | R2 = 0.9956 | y = 1.9846x + 0.7801 | R2 = 0.966 |
| T26 | y = 3.1899x − 0.7226 | R2 = 0.9994 | y = 4.0603x + 0.9935 | R2 = 0.9897 |
| T27 | y = 3.951x − 1.3582 | R2 = 0.9946 | y = 3.9499x + 1.2591 | R2 = 0.9892 |
| CK | y = 3.5996x − 0.5772 | R2 = 0.9985 | y = 5.1552x + 1.1224 | R2 = 0.9932 |
References
- Al-Omran, A.M.; Mustafa, M.A.; Shalaby, A.A. Intermittent Evaporation from Soil Columns as Affected by a Gel-forming Conditioner. Soil Sci. Soc. Am. J. 1987, 51, 1593–1599. [Google Scholar] [CrossRef]
- Ai-Omran, A.M.; Ai-Wabel, M.I.; Shalaby, A.A. Impact of Sewage Sludge on Water Movement in Calcareous Sandy Soils. J. Agric. Mar. Sci. 1997, 2, 59. [Google Scholar] [CrossRef] [Green Version]
- Al-Omran, A.M.; Choudhary, M.I.; Shalaby, A.A.; Mursi, M.M. Impact of Natural Clay Deposits on Water Movement in Calcareous Sandy Soil. Arid Land Res. Manag. 2002, 16, 185–193. [Google Scholar] [CrossRef]
- Ahmad, M.; Usman, A.R.; Al-Faraj, A.S.; Ahmad, M.; Sallam, A.; Al-Wabel, M.I. Phosphorus-loaded biochar changes soil heavy metals availability and uptake potential of maize (Zea mays L.) plants. Chemosphere 2018, 194, 327–339. [Google Scholar] [CrossRef]
- Yang, C.D.; Lu, S.G. Effects of five different biochars on aggregation, water retention and mechanical properties of paddy soil: A field experiment of three-season crops. Soil Tillage Res. 2021, 205, 104798. [Google Scholar] [CrossRef]
- Saffari, N.; Hajabbasi, M.A.; Shirani, H.; Mosaddeghi, M.R.; Owens, G. Influence of corn residue biochar on water retention and penetration resistance in a calcareous sandy loam soil. Geoderma 2021, 383, 114734. [Google Scholar] [CrossRef]
- Hussain, R.; Ravi, K.; Garg, A. Influence of biochar on the soil water retention characteristics (SWRC): Potential application in geotechnical engineering structures. Soil Tillage Res. 2020, 204, 104713. [Google Scholar] [CrossRef]
- Razzaghi, F.; Obour, P.B.; Arthur, E. Does biochar improve soil water retention? A systematic review and meta-analysis. Geoderma 2020, 361, 114055. [Google Scholar] [CrossRef]
- Adekiya, A.O.; Agbede, T.M.; Olayanju, A.; Ejue, W.S.; Adekanye, T.A.; Adenusi, T.T.; Ayeni, J.F. Effect of Biochar on Soil Properties, Soil Loss, and Cocoyam Yield on a Tropical Sandy Loam Alfisol. Sci. World J. 2020, 2020, 9391630. [Google Scholar] [CrossRef]
- Verheijen, F.G.; Zhuravel, A.; Silva, F.C.; Amaro, A.; Ben-Hur, M.; Keizer, J.J. The influence of biochar particle size and concentration on bulk density and maximum water holding capacity of sandy vs sandy loam soil in a column experiment. Geoderma 2019, 347, 194–202. [Google Scholar] [CrossRef]
- Głąb, T.; Palmowska, J.; Zaleski, T.; Gondek, K. Effect of biochar application on soil hydrological properties and physical quality of sandy soil. Geoderma 2016, 281, 11–20. [Google Scholar] [CrossRef]
- Usman, A.R.; Abduljabbar, A.; Vithanage, M.; Ok, Y.S.; Ahmad, M.; Ahmad, M.; Elfaki, J.; Abdulazeem, S.S.; Al-Wabel, M.I. Biochar production from date palm waste: Charring temperature induced changes in composition and surface chemistry. J. Anal. Appl. Pyrolysis 2015, 115, 392–400. [Google Scholar] [CrossRef]
- Bridle, T.R.; Pritchard, D. Energy and nutrient recovery from sewage sludge via pyrolysis. Water Sci. Technol. 2004, 50, 169–175. [Google Scholar] [CrossRef]
- DeLuca, T.H.; MacKenzie, M.D.; Gundale, M.J. Bio-char effects on soil nutrient transformation. In Biochar for Environmental Management; Lehmann, J., Joseph, S., Eds.; Science and Technology: Earthscan Publications Ltd., London, UK, 2009; pp. 251–270. [Google Scholar]
- Ahmad, M.; Ahmad, M.; Usman, A.R.A.; Al-Faraj, A.S.; Abduljabbar, A.; Ok, Y.S.; Al-Wabel, M.I. Date palm waste-derived biochar composites with silica and zeolite: Synthesis, characterization and implication for carbon stability and recalcitrant potential. Environ. Geochem. Health 2019, 41, 1687–1704. [Google Scholar] [CrossRef]
- National Center for Palm and Dates (NCPD) 2021; Annual report; Ministry of Environment, Water and Agriculture: Riyadh, Saudi Arabia, 2021.
- Gee, G.W.; Bauder, J.W. Methods of Soil Analysis: Physical and Mineralogical Methods; Soil Science Society of America and American Society of Agronomy: Madison, WI, USA, 1994; pp. 383–409. [Google Scholar]
- Sparks, D.L.; Page, A.L.; Helmke, P.A.; Loeppert, R.H. (Eds.) Methods of Soil Analysis, Part 3: Chemical Methods; John Wiley & Sons: Hoboken, NJ, USA, 2020; Volume 14. [Google Scholar]
- Al-Wabel, M.I.; Al-Omran, A.; El-Naggar, A.H.; Nadeem, M.; Usman, A.R. Pyrolysis temperature induced changes in characteristics and chemical composition of biochar produced from conocarpus wastes. Bioresour. Technol. 2013, 131, 374–379. [Google Scholar] [CrossRef] [PubMed]
- Huang, H.; Reddy, N.G.; Huang, X.; Chen, P.; Wang, P.; Zhang, Y.; Huang, Y.; Lin, P.; Garg, A. Effects of pyrolysis temperature, feedstock type and compaction on water retention of biochar amended soil. Sci. Rep. 2021, 11, 1–19. [Google Scholar] [CrossRef] [PubMed]
- Mollinedo, J.; Schumacher, T.E.; Chintala, R. Influence of feedstocks and pyrolysis on biochar’s capacity to modify soil water retention characteristics. J. Anal. Appl. Pyrolysis 2015, 114, 100–108. [Google Scholar] [CrossRef]
- Ippolito, J.A.; Cui, L.; Kammann, C.; Wrage-Mönnig, N.; Estavillo, J.M.; Fuertes-Mendizabal, T.; Borchard, N. Feedstock Choice, Pyrolysis Temperature and Type Influence Biochar Characteristics: A Comprehensive Meta-Data Analysis Review; Springer: Berlin/Heidelberg, Germany, 2020; pp. 1–18. [Google Scholar]
- Wang, M.; Zhu, Y.; Cheng, L.; Andserson, B.; Zhao, X.; Wang, D.; Ding, A. Review on utilization of biochar for metal-contaminated soil and sediment remediation. J. Environ. Sci. 2018, 63, 156–173. [Google Scholar] [CrossRef]
- Domingues, R.R.; Trugilho, P.F.; Silva, C.A.; De Melo, I.C.N.A.; Melo, L.C.; Magriotis, Z.M.; Sanchez-Monedero, M.A. Properties of biochar derived from wood and high-nutrient biomasses with the aim of agronomic and environmental benefits. PLoS ONE 2017, 12, e0176884. [Google Scholar] [CrossRef] [Green Version]
- Park, J.; Hung, I.; Gan, Z.; Rojas, O.; Lim, K.H.; Park, S. Activated carbon from biochar: Influence of its physicochemical properties on the sorption characteristics of phenanthrene. Bioresour. Technol. 2013, 149, 383–389. [Google Scholar] [CrossRef] [PubMed]
- Rafiq, M.K.; Bachmann, R.T.; Rafiq, M.T.; Shang, Z.; Joseph, S.; Long, R. Influence of Pyrolysis Temperature on Physico-Chemical Properties of Corn Stover (Zea mays L.) Biochar and Feasibility for Carbon Capture and Energy Balance. PLoS ONE 2016, 11, e0156894. [Google Scholar] [CrossRef] [Green Version]
- Murtaza, G.; Ahmed, Z.; Usman, M.; Tariq, W.; Ullah, Z.; Shareef, M.; Iqbal, H.; Waqas, M.; Tariq, A.; Wu, Y.; et al. Biochar induced modifications in soil properties and its impacts on crop growth and production. J. Plant Nutr. 2021, 44, 1–15. [Google Scholar] [CrossRef]
- Alkhasha, A.; Al-Omran, A.; Aly, A. Effects of Biochar and Synthetic Polymer on the Hydro-Physical Properties of Sandy Soils. Sustainability 2018, 10, 4642. [Google Scholar] [CrossRef] [Green Version]
- Herath, H.; Arbestain, M.C.; Hedley, M. Effect of biochar on soil physical properties in two contrasting soils: An Alfisol and an Andisol. Geoderma 2013, 209–210, 188–197. [Google Scholar] [CrossRef]
- Mukherjee, A.; Lal, R. Biochar Impacts on Soil Physical Properties and Greenhouse Gas Emissions. Agronomy 2013, 3, 313–339. [Google Scholar] [CrossRef] [Green Version]
- Hussain, R.; Ghosh, K.K.; Ravi, K. Impact of biochar produced from hardwood of mesquite on the hydraulic and physical properties of compacted soils for potential application in engineered structures. Geoderma 2021, 385, 114836. [Google Scholar] [CrossRef]
- Gelardi, D.L.; Ainuddin, I.; Rippner, D.A.; Abou Najm, M.; Parikh, S.J. Biochar Alters Hydraulic Conductivity and Inhibits Nutrient Leaching in Two Agricultural Soils; European Geosciences Union: Munich, Germany, 2021; pp. 1–23. [Google Scholar]
- Wang, K.; Zhang, X.; Sun, C.; Yang, K.; Zheng, J.; Zhou, J. Biochar application alters soil structure but not soil hydraulic conductivity of an expansive clayey soil under field conditions. J. Soils Sediments 2021, 21, 73–82. [Google Scholar] [CrossRef]
- Bai, B.; Long, F.; Rao, D.; Xu, T. The effect of temperature on the seepage transport of suspended particles in a porous medium. Hydrol. Process. 2016, 31, 382–393. [Google Scholar] [CrossRef]
- Bai, B.; Nie, Q.; Zhang, Y.; Wang, X.; Hu, W. Cotransport of heavy metals and SiO2 particles at different temperatures by seepage. J. Hydrol. 2021, 597, 125771. [Google Scholar] [CrossRef]
- Liu, Z.; Dugan, B.; Masiello, C.; Barnes, R.T.; Gallagher, M.E.; Gonnermann, H. Impacts of biochar concentration and particle size on hydraulic conductivity and DOC leaching of biochar–sand mixtures. J. Hydrol. 2016, 533, 461–472. [Google Scholar] [CrossRef] [Green Version]
- Ibrahim, A.; Usman, A.R.A.; Al-Wabel, M.I.; Nadeem, M.; Ok, Y.S.; Al-Omran, A. Effects of conocarpus biochar on hydraulic properties of calcareous sandy soil: Influence of particle size and application depth. Arch. Agron. Soil Sci. 2016, 63, 185–197. [Google Scholar] [CrossRef]
- Alkhasha, A.; Al-Omran, A.; Alghamdi, A.A.G. Effect of Water Quality and Date Palm Biochar on Evaporation and Specific Hydrological Characteristics of Sandy Soil. Agric. 2020, 10, 300. [Google Scholar] [CrossRef]
- Ibrahim, H.M.; Al-Wabel, M.I.; Usman, A.R.A.; Al-Omran, A. Effect of Conocarpus Biochar Application on the Hydraulic Properties of a Sandy Loam Soil. Soil Sci. 2013, 178, 165–173. [Google Scholar] [CrossRef]
- Alghamdi, A.; Aljohani, B.; Aly, A. Impacts of Olive Waste-Derived Biochar on Hydro-Physical Properties of Sandy Soil. Sustainability 2021, 13, 5493. [Google Scholar] [CrossRef]
- Alghamdi, A.G. Biochar as a potential soil additive for improving soil physical properties—A review. Arab. J. Geosci. 2018, 11, 1–16. [Google Scholar] [CrossRef]
- Alghamdi, A.G.; Alkhasha, A.; Ibrahim, H.M. Effect of biochar particle size on water retention and availability in a sandy loam soil. J. Saudi Chem. Soc. 2020, 24, 1042–1050. [Google Scholar] [CrossRef]
- Eibisch, N.; Durner, W.; Bechtold, M.; Fuß, R.; Mikutta, R.; Woche, S.K.; Helfrich, M. Does water repellency of pyrochars and hydrochars counter their positive effects on soil hydraulic properties? Geoderma 2015, 245–246, 31–39. [Google Scholar] [CrossRef]
- Li, W.; Liang, C.; Dong, L.; Zhao, X.; Wu, H. Accumulation and characteristics of fluorescent dissolved organic matter in loess soil-based subsurface wastewater infiltration system with aeration and biochar addition. Environ. Pollut. 2021, 269, 116100. [Google Scholar] [CrossRef] [PubMed]
- Duan, M.; Liu, G.; Zhou, B.; Chen, X.; Wang, Q.; Zhu, H.; Li, Z. Effects of modified biochar on water and salt distribution and water-stable macro-aggregates in saline-alkaline soil. J. Soils Sediments 2021, 21, 2192–2202. [Google Scholar] [CrossRef]
- Bai, B.; Rao, D.; Chang, T.; Guo, Z. A nonlinear attachment-detachment model with adsorption hysteresis for suspension-colloidal transport in porous media. J. Hydrol. 2019, 578, 124080. [Google Scholar] [CrossRef]










| Physical Properties | ||||||||||
|---|---|---|---|---|---|---|---|---|---|---|
| Sand (%) | Silt (%) | Clay (%) | Soil Texture | Bulk density (g cm−3) | CaCO3 (%) | Ks (cm day−1) | WHC (%) | |||
| 88.1 | 2.0 | 9.9 | Loamy sand | 1.53 | 13.4 | 121.37 | 25–27 | |||
| Chemical properties of soil and water. | ||||||||||
| Types of sample | pH | Cations (meq L−1) | Anions (meq L−1) | |||||||
| E.C dS m−1 | Ca+2 | Mg+2 | Na+ | K+ | Cl− | HCO3− | SO4−2 | SAR | ||
| Soil | 7.73 | 2.39 | 10.92 | 2.25 | 6.58 | 5.10 | 2.50 | 0.83 | 19.83 | 2.56 |
| Water applied to columns | 7.67 | 1.4 | 5.6 | 5.4 | 3.39 | 0.64 | 11 | 2.4 | 1.63 | 4.02 |
| Temperature (°C) | Diameter (mm) | Application Rate (%) | Code | Symbol | Replicates |
|---|---|---|---|---|---|
| 300 | 0.5 | 1 | T300D0.5R1 | T1 | 3 |
| 2.5 | T300D0.5R2.5 | T2 | 3 | ||
| 5 | T300D0.5R5 | T3 | 3 | ||
| 1 | 1 | T300D1R1 | T4 | 3 | |
| 2.5 | T300D1R2.5 | T5 | 3 | ||
| 5 | T300D1R5 | T6 | 3 | ||
| 2 | 1 | T300D2R1 | T7 | 3 | |
| 2.5 | T300D2R2.5 | T8 | 3 | ||
| 5 | T300D2R5 | T9 | 3 | ||
| 500 | 0.5 | 1 | T500D0.5R1 | T10 | 3 |
| 2.5 | T500D0.5R2.5 | T11 | 3 | ||
| 5 | T500D0.5R5 | T12 | 3 | ||
| 1 | 1 | T500D1R1 | T13 | 3 | |
| 2.5 | T500D1R2.5 | T14 | 3 | ||
| 5 | T500D1R5 | T15 | 3 | ||
| 2 | 1 | T500D2R1 | T16 | 3 | |
| 2.5 | T500D2R2.5 | T17 | 3 | ||
| 5 | T500D2R5 | T18 | 3 | ||
| 700 | 0.5 | 1 | T700D0.5R1 | T19 | 3 |
| 2.5 | T700D0.5R2.5 | T20 | 3 | ||
| 5 | T700D0.5R5 | T21 | 3 | ||
| 1 | 1 | T700D1R1 | T22 | 3 | |
| 2.5 | T700D1R2.5 | T23 | 3 | ||
| 5 | T700D1R5 | T24 | 3 | ||
| 2 | 1 | T700D2R1 | T25 | 3 | |
| 2.5 | T700D2R2.5 | T26 | 3 | ||
| 5 | T700D2R5 | T27 | 3 | ||
| CK | CK | 3 | |||
Publisher’s Note: MDPI stays neutral with regard to jurisdictional claims in published maps and institutional affiliations. |
© 2021 by the authors. Licensee MDPI, Basel, Switzerland. This article is an open access article distributed under the terms and conditions of the Creative Commons Attribution (CC BY) license (https://creativecommons.org/licenses/by/4.0/).
Share and Cite
Alghamdi, A.G.; Al-Omran, A.; Alkhasha, A.; Alasmary, Z.; Aly, A.A. Significance of Pyrolytic Temperature, Particle Size, and Application Rate of Biochar in Improving Hydro-Physical Properties of Calcareous Sandy Soil. Agriculture 2021, 11, 1293. https://doi.org/10.3390/agriculture11121293
Alghamdi AG, Al-Omran A, Alkhasha A, Alasmary Z, Aly AA. Significance of Pyrolytic Temperature, Particle Size, and Application Rate of Biochar in Improving Hydro-Physical Properties of Calcareous Sandy Soil. Agriculture. 2021; 11(12):1293. https://doi.org/10.3390/agriculture11121293
Chicago/Turabian StyleAlghamdi, Abdulaziz G., Abdulrasoul Al-Omran, Arafat Alkhasha, Zafer Alasmary, and Anwar A. Aly. 2021. "Significance of Pyrolytic Temperature, Particle Size, and Application Rate of Biochar in Improving Hydro-Physical Properties of Calcareous Sandy Soil" Agriculture 11, no. 12: 1293. https://doi.org/10.3390/agriculture11121293
APA StyleAlghamdi, A. G., Al-Omran, A., Alkhasha, A., Alasmary, Z., & Aly, A. A. (2021). Significance of Pyrolytic Temperature, Particle Size, and Application Rate of Biochar in Improving Hydro-Physical Properties of Calcareous Sandy Soil. Agriculture, 11(12), 1293. https://doi.org/10.3390/agriculture11121293

