Effect of Performance of Soil Cultivator with Different Surface Textures of Shovel Wing
Abstract
:1. Introduction
2. Materials and Methods
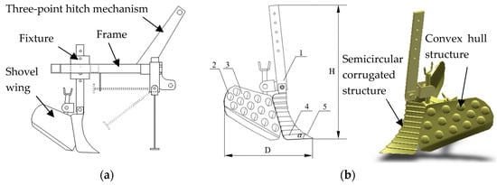
2.1. The Device of the Soil Cultivator with Textured Shovel Wing
2.2. The Surface Texture Structure Design of Shovel Wing
- (1)
- The semicircular corrugated structure of the shovel chest
- (2)
- The convex hull structure of the wing plate
2.3. Experimental Method
- (1)
- The traction resistance
- (2)
- The soil fragmentation rate
3. Results and Discussion
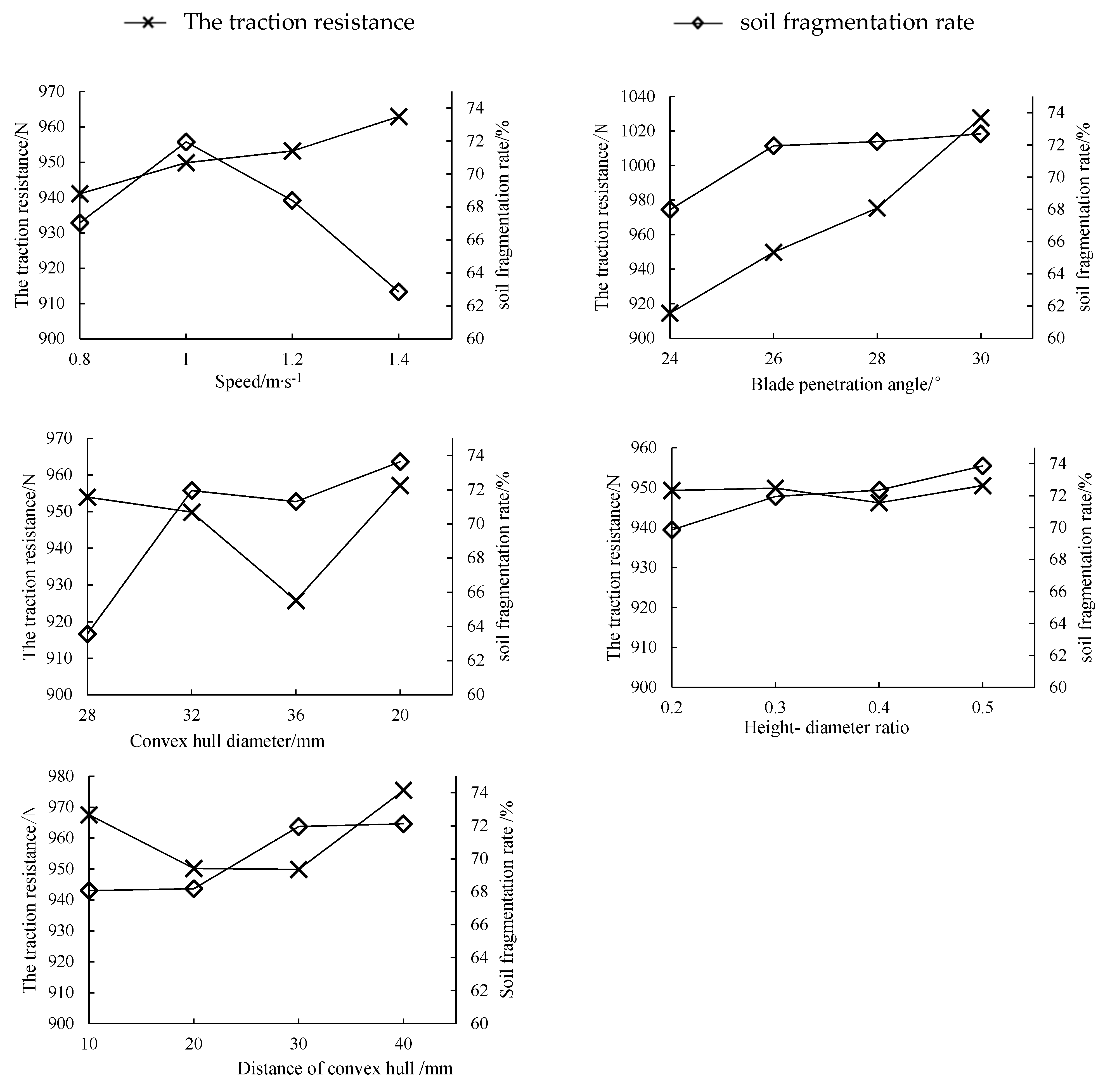
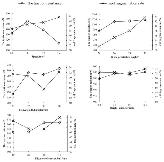
3.1. The Single-Factor Simulation Test
3.2. The Quadratic Regression Orthogonal Rotation Combined Test
3.3. Soil Trench Verification Test
4. Conclusions
- (1)
- In this study, a semicircular corrugated structure shovel chest and a convex hull structure wing plate were designed, based on earthworms and rose petals, respectively, as prototypes. The results of the soil trench test showed that the traction resistance of the soil cultivator with a textured shovel wing was reduced by 9.49%, the soil fragmentation rate was increased by 10.67%, and the quality of soil cultivation was significantly improved.
- (2)
- The results of the quadratic regression orthogonal rotation combined test showed that the factors influencing the traction resistance of the soil cultivator with a textured shovel wing were as follows: blade penetration angle > convex hull distance > convex hull diameter. The convex hull diameter was the main factor affecting the soil fragmentation rate. The optimal combination of structural parameters for the surface textures were a blade penetration angle of 26°, a convex hull diameter of 34.4 mm, and a convex hull distance of 28.5 mm.
- (3)
- The results of the simulation and the soil trench verification test showed that the relative error between the simulation and the soil trench test for the traction resistance and the soil fragmentation rate were 2.60% and 13.97%, respectively.
Author Contributions
Funding
Institutional Review Board Statement
Data Availability Statement
Acknowledgments
Conflicts of Interest
References
- Jinqing, L.; Zhongen, T.; Ying, Y.; Qinqin, S.; Jiner, W.; Zihui, L.; Xiaoyong, W. The development status, existing problems and development trend of potato machinery. J. Agric. Mech. Res. 2015, 37, 258–263. [Google Scholar]
- Kempenaar, C.; Struik, P.C. The canon of potato science: Haulm killing. Potato Res. 2008, 50, 341–345. [Google Scholar] [CrossRef]
- Matin, M.A.; Fielke, J.M.; Desbiolles, J.M.A. Furrow parameters in rotary strip-tillage: Effect of blade geometry and rotary speed. Biosyst. Eng. 2014, 118, 7–15. [Google Scholar] [CrossRef]
- Zhongchao, G.; Feng, L.; Qiuju, W.; Hui, J.; Jinsong, Z.; Chunyu, Y.; Pan, G. Application and yield increasing effect on potato using special-designed ridging cultivator. Trans. Chin. Soc. Agric. Eng. 2016, 32, 49–54. [Google Scholar]
- Jinqing, L.; Qinqin, S.; Ying, Y. Design and experiment of 1ZL5 potato field cultivator. J. Agric. Mech. Res. 2017, 39, 79–83. [Google Scholar]
- Yuwan, Y.; Jin, T.; Yunhai, M.; Xiaohu, J.; Jinguang, L. Design and experiment of biomimetic rotary tillage blade based on multiple claws characteristics of mole rats. Trans. Chin. Soc. Agric. Eng. 2019, 35, 37–45. [Google Scholar] [CrossRef]
- Matin, M.A.; Fielke, J.M.; Desbiolles JM, A. Strip-tillage using rotating straight blades: Effect of cutting edge geometry on furrow parameters. Soil Tillage Res. 2016, 155, 329–340. [Google Scholar] [CrossRef]
- Yang, N. Simulation Research on Potato Ridge and Double Row Ridge Construction Based on DEM-MBD Coupling Technology. Ph.D. Thesis, Lanzhou University of Technology, Lanzhou, China, 2018. [Google Scholar]
- Zhao, J. Simulation and Experimental Research on Working Resistance of Potato Digging Shovel Based on Discrete Element Method. Ph.D. Thesis, Shenyang Agricultural University, Shenyang, China, 2017. [Google Scholar]
- Guomin, L.; Meng, Z.; Jianqiao, L. Inerfacial Dynamics Simulation between Soil and Earthworm Surface. J. Jilin Univ. (Eng. Technol. Ed.) 2010, 40, 1609–1613. [Google Scholar]
- Ucgul, M.; Fielke, J.M.; Saunders, C. Defining the effect of sweep tillage tool cutting edge geometry on tillage forces using 3D discrete element modelling. Inf. Process. Agric. 2015, 2, 130–141. [Google Scholar] [CrossRef] [Green Version]
- Zhang, R.; Li, J. Simulation on mechanical behavior of cohesive soil by Distinct Element Method. J. Terramechan. 2006, 43, 303–316. [Google Scholar] [CrossRef]
- Zhang, R.; Zhou, G.; Chen, G.; Li, J. Research on the Nonlinear Mechanical Model of Cohesive Soil Based on Distinct Element Method. J. Comput. Theor. Nanosci. 2011, 4, 1500–1508. [Google Scholar] [CrossRef]
- Wang, M. Design and Experimental Research of Potato Bionic Soil Apparatus. Ph.D. Thesis, Northwest A&F University, Yangling, China, 2019. [Google Scholar]
- Ren, L.Q.; Deng, S.Q.; Wang, J.C.; Han, Z. Design principles of the non-smooth surface of bionic plow moldboard. J. Bionic. Eng. 2004, 1, 9–19. [Google Scholar] [CrossRef]
- Yunhai, M.; Shengsheng, M.; Honglei, J.; Tucheng, L.; Jie, P.; Zhihui, G. Measurement and analysis on reducing adhesion and resistance of bionic ripple opener. Trans. Chin. Soc. Agric. Eng. 2014, 30, 36–41. [Google Scholar]
- Zhijun, Z.; Shengjie, M.; Honglei, J.; Tucheng, L.; Jie, P.; Yunhai, M. Design and Test of Crushing Bionic Soil Covering Device of Soybean Seeder. Trans. Chin. Soc. Agric. Mach. 2018, 49, 34–40. [Google Scholar]
- Barrios, G.K.P.; de Carvalho, R.M.; Kwade, A.; Tavares, L.M. Contact parameter estimation for DEM simulation of iron ore pellet handling. Powder Technol. 2013, 248, 84–93. [Google Scholar] [CrossRef]
- Jiandong, J.; Jie, G.; Yingdi, Z.; Hoogmoed, W.; Libin, Z. Numerical simulation on resistance reduction of soil vibratory tillage using ALE equation. Trans. Chin. Soc. Agric. Eng. 2012, 28, 33–38. [Google Scholar]
- Gao, X. Research on the Influencing Factors and Cultivation Effects of Subsoiled Soil Structure between Rows. Ph.D. Thesis, Northwest A&F University, Yangling, China, 2018. [Google Scholar]
- Liyan, W.; Zhibin, J.; Yuqiu, S.; Xin, M.; Liu, C.; Kong, A.; Ren, W. Design and Experiment on Testing System for Operation Resistance of Soil Engaging Parts. J. Shenyang Agric. Univ. 2016, 47, 589–596. [Google Scholar]
- Xuezhen, W.; Bin, Y.; Xijie, G. Simulation and experiment on soil disturbance behavior of subsoil shovel with different wing shovel installation height. Trans. Chin. Soc. Agric. Mach. 2018, 49, 124–136. [Google Scholar]






| Parameters | Data |
|---|---|
| Soil trench size (length × width × height)/m | 15 × 15 × 5 |
| Bulk density of soil/shovel wing/(kg·m−3) | 2600/7865 |
| Poisson’s ratio of soil/shovel wing | 0.3/0.3 |
| Shear modulus of soil/shovel wing/Pa | 1 × 106/8.19 × 1010 |
| Restitution coefficient between soil and soil/shovel wing | 0.6/0.6 |
| Dynamic friction factor of soil | 0.17/0.105 |
| Static friction factor of soil between soil and soil/shovel wing | 0.33/0.46 |
| Level | Factor | ||
|---|---|---|---|
| Diameter A (mm) | Blade Penetration Angle B (°) | Distance C (mm) | |
| −1 | 28 | 26 | 20 |
| 0 | 32 | 28 | 30 |
| 1 | 36 | 30 | 40 |
| Group | Diameter (mm) | Blade Penetration Angle (°) | Distance (mm) | Traction Resistance (mm) | Soil Fragmentation Rate (%) |
|---|---|---|---|---|---|
| 1 | 28 | 30 | 30 | 1071.32 | 67.67 |
| 2 | 32 | 30 | 20 | 1036.14 | 68.21 |
| 3 | 28 | 26 | 30 | 933.01 | 62.10 |
| 4 | 32 | 26 | 20 | 926.94 | 63.16 |
| 5 | 36 | 26 | 30 | 936.42 | 70.57 |
| 6 | 32 | 26 | 40 | 948.15 | 63.88 |
| 7 | 36 | 30 | 30 | 1045.56 | 70.52 |
| 8 | 28 | 28 | 40 | 993.27 | 56.77 |
| 9 | 32 | 28 | 30 | 984.02 | 61.19 |
| 10 | 32 | 28 | 30 | 972.65 | 62.02 |
| 11 | 32 | 28 | 30 | 981.08 | 65.57 |
| 12 | 36 | 28 | 20 | 951.21 | 62.72 |
| 13 | 32 | 28 | 30 | 969.46 | 60.59 |
| 14 | 32 | 28 | 30 | 987.26 | 63.40 |
| 15 | 36 | 28 | 40 | 989.55 | 66.38 |
| 16 | 32 | 30 | 40 | 1065.76 | 72.42 |
| 17 | 28 | 28 | 20 | 969.14 | 54.90 |
| Project | Root Mean Square | F Value | p Value | |||
|---|---|---|---|---|---|---|
| Traction Resistance | Soil Fragmentation Rate | Traction Resistance | Soil Fragmentation Rate | Traction Resistance | Soil Fragmentation Rate | |
| Model | 3514.62 | 36.79 | 82.20 | 8.98 | <0.0001 | 0.0043 |
| A | 242.00 | 103.32 | 5.66 | 25.23 | 0.0489 | 0.0015 |
| B | 28,115.32 | 45.65 | 657.60 | 11.15 | <0.0001 | 0.0124 |
| C | 1604.61 | 13.68 | 37.53 | 3.34 | 0.0005 | 0.1104 |
| AB | 212.72 | 7.90 | 4.98 | 1.93 | 0.0609 | 0.2075 |
| AC | 50.48 | 0.80 | 1.18 | 0.20 | 0.3132 | 0.6716 |
| BC | 17.68 | 3.05 | 0.41 | 0.74 | 0.5406 | 0.4171 |
| Project | Traction Resistance N | Soil Fragmentation Rate % |
|---|---|---|
| Soil cultivator with textured shovel wing | 937.58 | 87.36 |
| Traditional soil cultivator | 1035.93 | 78.94 |
Publisher’s Note: MDPI stays neutral with regard to jurisdictional claims in published maps and institutional affiliations. |
© 2021 by the authors. Licensee MDPI, Basel, Switzerland. This article is an open access article distributed under the terms and conditions of the Creative Commons Attribution (CC BY) license (https://creativecommons.org/licenses/by/4.0/).
Share and Cite
Wang, M.; Fu, Z.; Zheng, Z.; Huang, Y.; Wei, W. Effect of Performance of Soil Cultivator with Different Surface Textures of Shovel Wing. Agriculture 2021, 11, 1039. https://doi.org/10.3390/agriculture11111039
Wang M, Fu Z, Zheng Z, Huang Y, Wei W. Effect of Performance of Soil Cultivator with Different Surface Textures of Shovel Wing. Agriculture. 2021; 11(11):1039. https://doi.org/10.3390/agriculture11111039
Chicago/Turabian StyleWang, Ming, Zuoli Fu, Zhiqi Zheng, Yuxiang Huang, and Wuquan Wei. 2021. "Effect of Performance of Soil Cultivator with Different Surface Textures of Shovel Wing" Agriculture 11, no. 11: 1039. https://doi.org/10.3390/agriculture11111039
APA StyleWang, M., Fu, Z., Zheng, Z., Huang, Y., & Wei, W. (2021). Effect of Performance of Soil Cultivator with Different Surface Textures of Shovel Wing. Agriculture, 11(11), 1039. https://doi.org/10.3390/agriculture11111039

