Comparison of Soil Biology Quality in Organically and Conventionally Managed Agro-Ecosystems Using Microarthropods
Abstract
1. Introduction
2. Materials and Methods
2.1. Study Area and Soil Characterisation
2.2. Calculation of Soil Biological Quality Index
2.3. Arthropod Diversity
2.4. Influence of Soil Characteristics on Variation in Soil Arthropod Composition
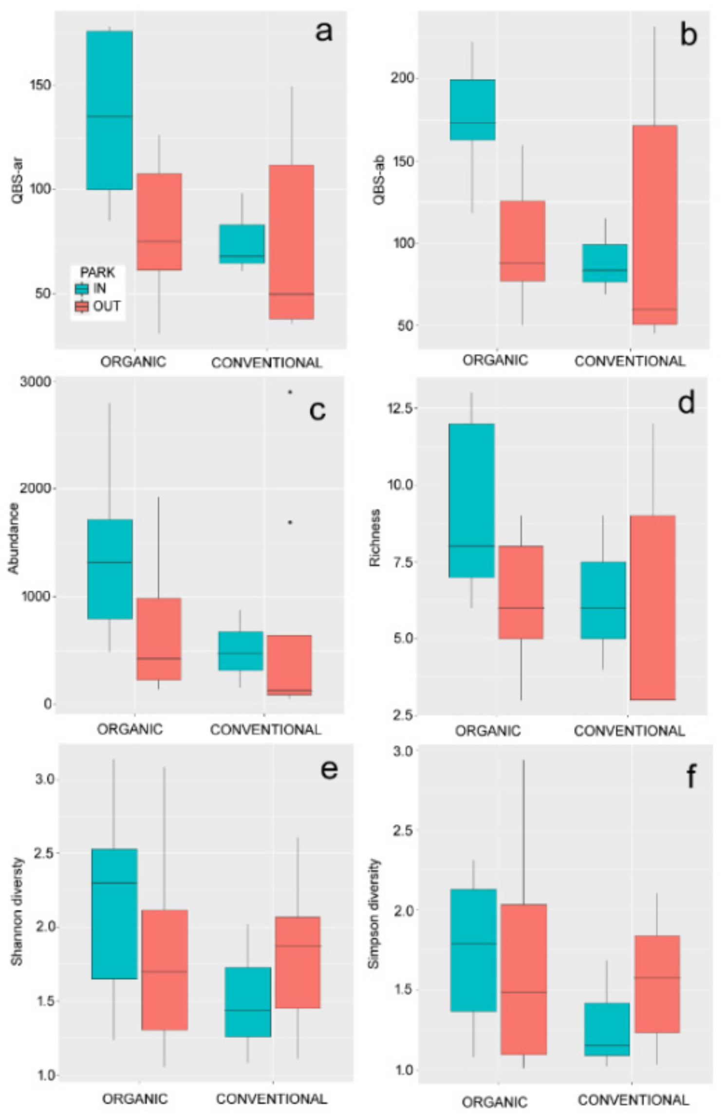
3. Results
4. Discussion
5. Conclusions
Supplementary Materials
Author Contributions
Funding
Institutional Review Board Statement
Informed Consent Statement
Data Availability Statement
Acknowledgments
Conflicts of Interest
References
- Brevik, E.C.; Burgess, L.C. Soils and Human Health; CRC Press: Boca Raton, FL, USA, 2012; pp. 1–408. [Google Scholar]
- Turbé, A.; De Toni, A.; Benito, P.; Lavelle, P.; Lavelle, P.; Ruiz, N.; Van der Putten, W.H.; Labouze, E.; Mudgal, S. Soil Biodiversity: Functions, Threats and Tools for Policy Makers; Report for European Commission; European Commission (DG Environment): Brussels, Belgium, 2010; pp. 1–250. [Google Scholar]
- Adhikari, K.; Hartemink, A.E. Linking soils to ecosystem services—A global review. Geoderma 2016, 262, 101–111. [Google Scholar] [CrossRef]
- Baveye, P.C.; Baveye, J.; Gowdy, J. Soil “Ecosystem” Services and Natural Capital: Critical Appraisal of Research on Uncertain Ground. Front. Environ. Sci. 2016, 4, 41. [Google Scholar] [CrossRef]
- DeFries, R.S.; Foley, J.A.; Asner, G.P. Land-use choices: Balancing human needs and ecosystem function. Front. Ecol. Environ. 2004, 2, 249–257. [Google Scholar] [CrossRef]
- Santorufo, L.; Van Gestel, C.A.; Rocco, A.; Maisto, G. Soil invertebrates as bioindicators of urban soil quality. Environ. Pollut. 2012, 161, 57–63. [Google Scholar] [CrossRef] [PubMed]
- Smith, P.; House, J.I.; Bustamante, M.; Sobocká, J.; Harper, R.; Pan, G.; West, P.C.; Clark, J.M.; Adhya, T.; Rumpel, C.; et al. Global change pressures on soils from land use and management. Glob. Chang. Biol. 2016, 22, 1008–1028. [Google Scholar] [CrossRef] [PubMed]
- Urruty, N.; Tailliez-Lefebvre, D.; Huyghe, C. Stability, robustness, vulnerability and resilience of agricultural systems. A review. Agron. Sustain. Dev. 2016, 36, 15. [Google Scholar] [CrossRef]
- Montanarella, L.; Vargas, R. Global governance of soil resources as a necessary condition for sustainable development. Curr. Opin. Environ. Sustain. 2012, 4, 559–564. [Google Scholar] [CrossRef]
- Bengtsson, J.; Ahnström, J.; Weibull, A.C. The effects of organic agriculture on biodiversity and abundance: A meta-analysis. J. Appl. Ecol. 2005, 42.2, 261–269. [Google Scholar] [CrossRef]
- Gardi, C.; Menta, C.; Leoni, A. Evaluation of the environmental impact of agricultural management practices using soil microarthropods. Fresen. Environ. Bull. 2008, 17, 1165–1169. [Google Scholar]
- Lavelle, P.; Decaëns, T.; Aubert, M.; Barot, S.; Blouin, M.; Bureau, F.; Margerie, P.; Mora, P.; Rossi, J.-P. Soil invertebrates and ecosystem services. Eur. J. Soil Biol. 2006, 42, S3–S15. [Google Scholar] [CrossRef]
- Narula, A.; Vats, L.K.; Handa, S. Collembolans and mites of deciduous forest stand. Ind. J. For. 1996, 21, 147–149. [Google Scholar]
- Jeffery, S.; Gardi, C.; Jones, A.; Montanarella, L.; Marmo, L.; Miko, L.; Ritz, K.; Peres, G.; Römbke, J.; van der Putten, W.H. European Atlas of Soil Biodiversity; European Commission; Publications Office of the European Union: Luxembourg, 2010; pp. 1–136. [Google Scholar]
- Geisen, S.; Wall, D.H.; Van Der Putten, W.H. Challenges and Opportunities for Soil Biodiversity in the Anthropocene. Curr. Biol. 2019, 29, R1036–R1044. [Google Scholar] [CrossRef]
- Menta, C.; Leoni, A.; Gardi, C.; Conti, F.D. Are grasslands important habitats for soil microarthropod conservation? Biodivers. Conserv. 2011, 20, 1073–1087. [Google Scholar] [CrossRef]
- Stolze, M.; Piorr, A.; Häring, A.; Dabbert, S. The Environmental Impacts of Organic Farming in Europe; Department of Farm Economics, University of Hohenheim: Stuttgart-Hohenheim, Germany, 2000; pp. 1–127. [Google Scholar]
- Mäder, P.; Fliessbach, A.; Dubois, D.; Gunst, L.; Fried, P.; Niggli, U. Soil fertility and biodiversity in organic farming. Science 2002, 296, 1694–1697. [Google Scholar] [CrossRef]
- Scialabba, N.; Hattam, C. (Eds.) Organic Agriculture, Environment and Food Security; Environment and Natural Resources Series No. 4; Food and Agriculture Organization: Rome, Italy, 2002; pp. 1–252. [Google Scholar]
- Vignola, I.; Stolton, S.; Bernward, G.; McNeely, J.A. (Eds.) The Relationship Between Nature Conservation, Biodiversity and Organic Agriculture, Proceedings of an International Workshop; IFOAM: Tholey-Theley, Germany, 2000; pp. 1–224. [Google Scholar]
- Lampkin, N.; Pearce, B. Organic Farming and Biodiversity; IFOAM: Brussels, Belgium, 2020; pp. 1–67. [Google Scholar]
- Pimentel, D.; Hepperly, P.; Hanson, J.; Dous, D.; Seidel, R. Environmental, energetic and economics comparisons of organic and conventional farming systems. Bioscience 2005, 55, 573–582. [Google Scholar] [CrossRef]
- Esperschütz, J.; Gattinger, A.; Mäder, P.; Schloter, M.; Fließbach, A. Response of soil microbial biomass and community structures to conventional and organic farming systems under identical crop rotations. FEMS Microbiol. Ecol. 2007, 61, 26–37. [Google Scholar] [CrossRef] [PubMed]
- Fließbach, A.; Oberholzer, H.R.; Gunst, L.; Mäder, P. Soil organic matter and biological soil quality indicators after 21 years of organic and conventional farming. Agric. Ecosyst. Environ. 2007, 118, 273–284. [Google Scholar] [CrossRef]
- Birkhofer, K.; Bezemer, T.M.; Bloem, J.; Bonkowski, M.; Christensen, S.; Dubois, D.; Ekelund, F.; Fließbach, A.; Gunst, L.; Hedlund, K.; et al. Long-term organic farming fosters below and aboveground biota: Implications for soil quality, biological control and productivity. Soil Biol. Biochem. 2008, 40, 2297–2308. [Google Scholar] [CrossRef]
- Gagnarli, E.; Goggioli, D.; Tarchi, F.; Guidi, S.; Nannelli, R.; Vignozzi, N.; Valboa, G.; Lottero, M.R.; Corino, L.; Simoni, S.; et al. Case study of microarthropod communities to assess soil quality in different managed vineyards. Soil 2015, 1, 527–536. [Google Scholar] [CrossRef]
- Brussaard, L. Biodiversity and Ecosystem Functioning in Soil. Ambio 1997, 26, 563–570. [Google Scholar]
- Bird, S.B.; Coulson, R.N.; Fisher, R.F. Changes in soil and litter arthropod abundance following tree harvesting and site preparation in a loblolly pine (Pinus taeda L.) plantation. For. Ecol. Manag. 2004, 202, 195–208. [Google Scholar] [CrossRef]
- Nielsen, U.N.; Ayres, E.; Wall, D.H.; Bardgett, R.D. Soil biodiversity and carbon cycling: A review and synthesis of studies examining diversity–function relationships. Eur. J. Soil Sci. 2011, 62, 105–116. [Google Scholar] [CrossRef]
- Bernard, L.; Chapuis-Lardy, L.; Razafimbelo, T.; Razafindrakoto, M.; Pablo, A.L.; Legname, E. Endogeic earthworms shape bacterial functional communities and affect organic matter mineralization in a tropical soil. ISME J. 2012, 6, 213–222. [Google Scholar] [CrossRef]
- Culliney, T.W. Role of arthropods in maintaining soil fertility. Agriculture 2013, 3, 629–659. [Google Scholar] [CrossRef]
- De Vries, F.T.M.; Thébault, E.; Liiri, M.; Birkhofer, K.; Tsiafouli, M.A.; Bjørnlund, L.; Bracht Jørgensen, H.; Brad, M.V.; Christensen, S.; de Ruiter, P.C.; et al. Soil food web properties explain ecosystem services across European land use systems. Proc. Natl. Acad. Sci. USA 2013, 110, 14296–14301. [Google Scholar] [CrossRef] [PubMed]
- Wagg, C.; Bender, S.F.; Widmer, F.; Van Der Heijden, M.G. Soil biodiversity and soil community composition determine ecosystem multifunctionality. Proc. Natl. Acad. Sci. USA 2014, 111, 5266–5270. [Google Scholar] [CrossRef]
- Bedano, J.C.; Domínguez, A.; Arolfo, R.; Wall, L.G. Effect of Good Agricultural Practices under no-till on litter and soil invertebrates in areas with different soil types. Soil Tillage Res. 2016, 158, 100–109. [Google Scholar] [CrossRef]
- Sjursen, H.; Holmstrup, M. Direct measurement of ammonium excretion in soil microarthropods. Funct. Ecol. 2004, 18, 612–615. [Google Scholar] [CrossRef]
- Maaß, S.; Caruso, T.; Rillig, M.C. Functional role of microarthropods in soil aggregation. Pedobiologia 2015, 58, 59–63. [Google Scholar] [CrossRef]
- Neher, D.; Barbercheck, M. Soil Microarthropods and Soil Health: Intersection of decomposition and pest suppression in agroecosystems. Insects 2019, 10, 414. [Google Scholar] [CrossRef]
- Van Straalen, N.M. Evaluation of bioindicator systems derived from soil arthropod communities. Appl. Soil Ecol. 1998, 9, 429–437. [Google Scholar] [CrossRef]
- Cortet, J.; Gomot-De Vauflery, A.; Poinsot-Balaguer, N.; Gomot, L.; Texier, C.; Cluzeau, D. The use of invertebrate soil fauna in monitoring pollutant effects. Eur. J. Soil Biol. 1999, 35, 115–134. [Google Scholar] [CrossRef]
- Parisi, V.; Menta, C.; Gardi, C.; Jacomini, C.; Mozzanica, E. Microarthropod communities as a tool to assess soil quality and biodiversity: A new approach in Italy. Agric. Ecosyst. Environ. 2005, 105, 323–333. [Google Scholar] [CrossRef]
- De Goede, R.G.M.; Brussaard, L. Soil zoology: An indispensable component of integrated ecosystem studies. Eur. J. Soil Biol. 2001, 38, 1–6. [Google Scholar] [CrossRef]
- Duelli, P.; Obrist, M.K. Regional biodiversity in an agricultural landscape: The contribution of seminatural habitat islands. Basic Appl. Ecol. 2003, 4, 129–138. [Google Scholar] [CrossRef]
- Van Straalen, N.M. The use of soil invertebrates in ecological survey of contaminated soils. In Vital Soil: Function, Value and Properties; Doelman, P., Eijsackers, H.J.P., Eds.; Elsevier: Amsterdam, The Netherlands, 2004; pp. 159–194. [Google Scholar]
- Cole, L.; Bradford, M.A.; Shaw, P.J.; Bardgett, R.D. The abundance, richness and functional role of soil meso-and macrofauna in temperate grassland—A case study. Appl. Soil Ecol. 2006, 33, 186–198. [Google Scholar] [CrossRef]
- Menta, C.; Leoni, A.; Bardini, M.; Gardi, C.; Gatti, F. Nematode and microarthropod communities: Comparative use of soil quality bioindicators in covered dump and natural soils. Environ. Bioindic. 2008, 3, 35–46. [Google Scholar] [CrossRef]
- Blocksom, K.A.; Johnson, B.R. Development of a regional macroinvertebrate index for large river bioassessment. Ecol. Indic. 2009, 9, 313–328. [Google Scholar] [CrossRef]
- Baldigo, B.P.; Lawrence, G.B.; Bode, R.W.; Simonin, H.A.; Roy, K.M.; Smith, A.J. Impacts of acidification on macroinvertebrate communities in streams of the western Adirondack Mountains, New York, USA. Ecol. Indic. 2009, 9, 226–239. [Google Scholar] [CrossRef]
- Tabaglio, V.; Gavazzi, C.; Menta, C. Physico-chemical indicators and microarthropod communities as influenced by no-till, conventional tillage and nitrogen fertilisation after four years of continuous maize. Soil Tillage Res. 2009, 105, 135–142. [Google Scholar] [CrossRef]
- Cluzeau, D.; Guernion, M.; Chaussod, R.; Martin-Laurent, F.; Villenave, C.; Cortet, J.; Camacho-Ruiz, N.; Perpin, C.; Mateille, T.; Philippot, L.; et al. Integration of biodiversity in soil quality monitoring: Baselines for microbial and soil fauna parameters for different land-use types. Eur. J. Soil Biol. 2012, 49, 63–72. [Google Scholar] [CrossRef]
- Testi, A.; Fanelli, G.; Crosti, R.; Castigliani, V.; D’Angeli, D. Characterizing river habitat quality using plant and animal bioindicators: A case study of Tirino River (Abruzzo Region, Central Italy). Ecol. Indic. 2012, 20, 24–33. [Google Scholar] [CrossRef]
- Yan, S.; Singh, A.N.; Fu, S.; Liao, C.; Wang, S.; Li, Y.; Cui, Y.; Hu, L. A soil fauna index for assessing soil quality. Soil Biol. Biochem. 2012, 47, 158–165. [Google Scholar] [CrossRef]
- Visioli, G.; Menta, C.; Gardi, C.; Conti, F.D. Metal toxicity and biodiversity in serpentine soils: Application of bioassay tests and microarthropod index. Chemosphere 2013, 90, 1267–1273. [Google Scholar] [CrossRef] [PubMed]
- Hishi, T.; Fujimaki, R.; McGonigle, T.P.; Takeda, H. Relationships among fine roots, fungal hyphae and soil microarthropods among different soil microhabitats in a temperate coniferous forest of Chmaecyparis obtusa. Eur. J. Soil Biol. 2008, 44, 473–477. [Google Scholar] [CrossRef]
- Persson, T. Role of soil animals in C and N mineralisation. Plant Soil 1989, 115, 241–245. [Google Scholar] [CrossRef]
- Tomlin, A.D.; Protz, R. Soil faunal activity and soil microfabrics in sustainable cropping systems. Proc. Entomol. Soc. Ont. 1990, 121, 24–41. [Google Scholar]
- Kaczmarek, M.; Kajak, A.; Wasilewska, L. Interaction between diversity of grassland vegetation, soil fauna and decomposition processes. Acta Zool. Fenn. 1995, 196, 236–238. [Google Scholar]
- Wallwork, J.A. Distribution patterns and population dynamics of the micro-arthropods of a desert soil in southern California. J. Anim. Ecol. 1972, 291–310. [Google Scholar] [CrossRef]
- Parisi, V. The biological soil quality, a method based on microarthropods. Acta Nat. Aten. Parm. 2001, 37, 97–106. [Google Scholar]
- Ruf, A.; Beck, L.; Dreher, P.; Hund-Rinke, K.; Römbke, J.; Spelda, J. A biological classification concept for the assessment of soil quality: “biological soil classification scheme” (BBSK). Agric. Ecosyst. Environ. 2003, 98, 263–271. [Google Scholar] [CrossRef]
- Juan-Ovejero, R.; Benito, E.; Barreal, M.E.; Rodeiro, J.; Briones, M.J.I. Tolerance to fluctuating water regimes drives changes in mesofauna community structure and vertical stratification in peatlands. Pedobiologia 2019, 76, 150571. [Google Scholar] [CrossRef]
- Frampton, G.K. The potential of Collembola as indicators of pesticide usage: Evidence and methods from the UK arable ecosystem. Pedobiologia 1997, 41, 179–184. [Google Scholar]
- Ruf, A. A maturity index for predatory soil mites (Mesostigmata: Gamasina) as an indicator of environmental impacts of pollution on forest soils. Appl. Soil Ecol. 1998, 9, 447–452. [Google Scholar] [CrossRef]
- Marasas, M.E.; Sarandón, S.J.; Cicchino, A.C. Changes in soil arthropod functional group in a wheat crop under conventional and no tillage systems in Argentina. Appl. Soil Ecol. 2001, 18, 61–68. [Google Scholar] [CrossRef]
- Villenave, C.; Bongers, T.; Ekschmitt, K.; Djigal, D.; Chotte, J.L. Changes in nematode communities following cultivation of soils after fallow periods of different length. Appl. Soil Ecol. 2001, 17, 43–52. [Google Scholar] [CrossRef]
- Blakely, J.K.; Neher, D.A.; Spongberg, A.L. Soil invertebrate and microbial communities, and decomposition as indicators of polycyclic aromatic hydrocarbon contamination. Appl. Soil Ecol. 2002, 21, 71–88. [Google Scholar] [CrossRef]
- Gardi, C.; Tomaselli, M.; Parisi, V.; Petraglia, A.; Santini, C. Soil quality indicators and biodiversity in northern Italian permanent grasslands. Eur. J. Soil Biol. 2002, 38, 103–110. [Google Scholar] [CrossRef]
- Hadjicharalampous, E.; Kalburtji, K.L.; Mamolos, A.P. Soil Arthropods (Coleoptera, Isopoda) in Organic and Conventional Agroecosystems. Environ. Manag. 2002, 29, 683–690. [Google Scholar] [CrossRef]
- Huhta, V. Soil macroarthropod communities in planted birch stands in comparison with natural forests in central Finland. Appl. Soil Ecol. 2002, 20, 199–209. [Google Scholar] [CrossRef]
- Büchs, W.; Harenberg, A.; Zimmermann, J.; Weiß, B. Biodiversity, the ultimate agri-environmental indicator?: Potential and limits for the application of faunistic elements as gradual indicators in agroecosystems. Agric. Ecosyst. Environ. 2003, 98, 99–123. [Google Scholar] [CrossRef]
- Bedano, J.C.; Cantú, M.P.; Doucet, M.E. Soil springtails (Hexapoda: Collembola), symphylans and pauropods (Arthropoda: Myriapoda) under different management systems in agroecosystems of the subhumid Pampa (Argentina). Eur. J. Soil Biol. 2006, 42, 107–119. [Google Scholar] [CrossRef]
- Chauvat, M.; Wolters, V.; Dauber, J. Response of collembolan communities to land-use change and grassland succession. Ecography 2007, 30, 183–192. [Google Scholar] [CrossRef]
- Tabaglio, V.; Gavazzi, C.; Menta, C. The influence of no-till, conventional tillage and nitrogen fertilization on physico-chemical and biological indicators after three years of monoculture barley. Ital. J. Agron. 2008, 3, 233–240. [Google Scholar] [CrossRef]
- Aspetti, G.P.; Boccelli, R.; Ampollini, D.; Del Re, A.A.; Capri, E. Assessment of soil-quality index based on microarthropods in corn cultivation in Northern Italy. Ecol. Indic. 2010, 10, 129–135. [Google Scholar] [CrossRef]
- Andrés, P.; Moore, J.C.; Simpson, R.T.; Selby, G.; Cotrufo, F.; Denef, K.; Haddix, M.L.; Shaw, E.A.; de Tomasel, C.M.; Molowny-Horas, R.; et al. Soil food web stability in response to grazing in a semi-arid prairie: The importance of soil textural heterogeneity. Soil Biol. Biochem. 2016, 97, 131–143. [Google Scholar] [CrossRef]
- Hartley, W.; Dickinson, N.M.; Riby, P.; Shutes, B. Sustainable ecological restoration of brownfield sites through engineering or managed natural attenuation? A case study from Northwest England. Ecol. Eng. 2012, 40, 70–79. [Google Scholar] [CrossRef]
- Sapkota, T.B.; Mazzoncini, M.; Bàrberi, P.; Antichi, D.; Silvestri, N. Fifteen years of no till increase soil organic matter, microbial biomass and arthropod diversity in cover crop-based arable cropping systems. Agron. Sustain. Dev. 2012, 32, 853–863. [Google Scholar] [CrossRef]
- Gkisakis, V.; Volakakis, N.; Kollaros, D.; Bàrberi, P.; Kabourakis, E.M. Soil arthropod community in the olive agroecosystem: Determined by environment and farming practices in different management systems and agroecological zones. Agric. Ecosyst. Environ. 2016, 218, 178–189. [Google Scholar] [CrossRef]
- Ghiglieno, I.; Simonetto, A.; Orlando, F.; Donna, P.; Tonni, M.; Valenti, L.; Gilioli, G. Response of the Arthropod Community to Soil Characteristics and Management in the Franciacorta Viticultural Area (Lombardy, Italy). Agronomy 2020, 10, 740. [Google Scholar] [CrossRef]
- Menta, C.; Conti, F.D.; Lozano Fondón, C.; Staffilani, F.; Remelli, S. Soil Arthropod Responses in Agroecosystem: Implications of Different Management and Cropping Systems. Agronomy 2020, 10, 982. [Google Scholar] [CrossRef]
- Van Straalen, N.M.; Verhoef, H.A. The Development of a Bioindicator System for Soil Acidity Based on Arthropod pH Preferences. J. Appl. Ecol. 1997, 34, 217–232. [Google Scholar] [CrossRef]
- Ponge, J.F.; Gillet, S.; Dubs, F.; Fedoroff, E.; Haese, L.; Souza, J.P.; Lavelle, P. Collembolan communities as bioindicators of land use intensification. Soil Biol. Biochem. 2003, 35, 813–826. [Google Scholar] [CrossRef]
- Dunger, W.; Voigtländer, K. Soil fauna (Lumbricidae, Collembola, Diplopoda and Chilopoda) as indicators of soil eco-subsystem development in post-mining sites of eastern Germany–A review. Soil Org. 2009, 81, 1–51. [Google Scholar]
- Menta, C. Soil fauna diversity-function, soil degradation, biological indices, soil restoration. In Biodiversity Conservation and Utilization in a Diverse World; Lameed, G.A., Ed.; IntechOpen: London, UK, 2012; pp. 59–94. [Google Scholar]
- Faber, J.H.; Verhoef, H.A. Functional differences between closely-related soil arthropods with respect to decomposition processes in the presence or absence of pine tree roots. Soil Biol. Biochem. 1991, 23, 15–23. [Google Scholar] [CrossRef]
- Chikoski, J.M.; Ferguson, S.H.; Meyer, L. Effects of water addition on soil arthropods and soil characteristics in a precipitation-limited environment. Acta Oecol. 2006, 30, 203–211. [Google Scholar] [CrossRef]
- Elia, E.; Bianchi, A.; Ferrazzi, P.; Bergström, R.; Kjell Danell, K.; Chamberlain, D.E.; Persson, I.L. Impacts of moose (Alces alces) at different simulated densities on eco-morphological groups of soil mesofauna. Entomol. Fenn. 2010, 21, 168–180. [Google Scholar] [CrossRef][Green Version]
- Moço, M.K.S.; Gama-Rodrigues, E.F.; Gama-Rodrigues, A.C.; Machado, R.C.; Baligar, V.C. Relationships between invertebrate communities, litter quality and soil attributes under different cacao agroforestry systems in the south of Bahia, Brazil. Appl. Soil Ecol. 2010, 46, 347–354. [Google Scholar] [CrossRef]
- Blasi, S.; Menta, C.; Balducci, L.; Conti, F.D.; Petrini, E.; Piovesan, G. Soil microarthropod communities from Mediterranean forest ecosystems in Central Italy under different disturbances. Environ. Monit. Assess. 2013, 185, 1637–1655. [Google Scholar] [CrossRef]
- Galli, L.; Capurro, M.; Menta, C.; Rellini, I. Is the QBS-ar index a good tool to detect the soil quality in Mediterranean areas? A cork tree Quercus suber L. (Fagaceae) wood as a case of study. Ital. J. Zool. 2014, 81, 126–135. [Google Scholar] [CrossRef]
- Rüdisser, J.; Tasser, E.; Peham, T.; Meyer, E.; Tappeiner, U. The dark side of biodiversity: Spatial application of the biological soil quality indicator (BSQ). Ecol. Ind. 2015, 53, 240–246. [Google Scholar] [CrossRef]
- Crossley, D.A., Jr.; Mueller, B.R.; Perdue, J.C. Biodiversity of microarthropods in agricultural soils: Relations to processes. Agric. Ecosyst. Environ. 1992, 40, 37–46. [Google Scholar] [CrossRef]
- Berry, N.A.; Wratten, S.D.; McErlich, A.; Frampton, C. Abundance and diversity of beneficial arthropods in conventional and organic carrot crops in New Zealand, New Zea. J. Crop Hort. 1996, 24, 307–313. [Google Scholar] [CrossRef]
- Reddersen, J. The arthropod fauna of organic versus conventional cereal fields in Denmark. Biol. Agric. Hortic. 1997, 15, 61–71. [Google Scholar] [CrossRef]
- Hole, D.G.; Perkins, A.J.; Wilson, J.D.; Alexander, I.H.; Grice, P.V.; Evans, A.D. Does organic farming benefit biodiversity? Biol. Conserv. 2005, 122, 113–130. [Google Scholar] [CrossRef]
- Mazzoncini, M.; Canali, S.; Giovannetti, M.; Castagnoli, M.; Tittarelli, F.; Antichi, D.; Nannelli, R.; Cristani, C.; Bàrberi, P. Comparison of organic and conventional stockless arable systems: A multidisciplinary approach to soil quality evaluation. Appl. Soil Ecol. 2010, 44, 124–132. [Google Scholar] [CrossRef]
- Simoni, S.; Nannelli, R.; Castagnoli, M.; Goggioli, D.; Moschini, V.; Vazzana, C.; Benedettelli, S.; Migliorini, P. Abundance and biodiversity of soil arthropods in one conventional and two organic fields of maize in stockless arable systems. Redia 2013, 96, 37–44. [Google Scholar]
- Chao, A.; Gotelli, N.J.; Hsieh, T.C.; Sander, E.L.; Ma, K.H.; Colwell, R.K.; Ellison, A.M. Rarefaction and extrapolation with Hill numbers: A framework for sampling and estimation in species diversity studies. Ecol. Monogr. 2014, 84, 45–67. [Google Scholar] [CrossRef]
- Chao, A.; Jost, L. Coverage-based rarefaction and extrapolation: Standardizing samples by completeness rather than size. Ecology 2012, 93, 2533–2547. [Google Scholar] [CrossRef]
- Menta, C.; Conti, F.D.; Pinto, S.; Bodini, A. Soil Biological Quality index (QBS-ar): 15 years of application at global scale. Ecol. Indic. 2018, 85, 773–780. [Google Scholar] [CrossRef]
- Ministero Delle Politiche Agricole Alimentari e Forestali. Approvazione dei “Metodi Ufficiali di Analisi Chimica del Suolo”. Gazz. Uff. Della Repubb. Ital. 1999, 248, 1–222. [Google Scholar]
- Schinner, F.; Öhlinger, R.; Kandeler, E.; Margesin, R. Methods in Soil Biology; Springer: Berlin/Heidelberg, Germany, 2012; p. 426. [Google Scholar]
- R Core Team. A Language and Environment for Statistical Computing; R Foundation for Statistical Computing: Vienna, Austria, 2020. [Google Scholar]
- Magurran, A.E. Ecological Diversity and its Measurement; Princeton University Press: Princeton, NJ, USA, 1988; pp. 1–192. [Google Scholar]
- Magurran, A.E. Measuring Biological Diversity; Wiley Blackwell: Oxford, UK, 2004; pp. 1–264. [Google Scholar]
- Chiu, C.H.; Chao, A. Distance-based functional diversity measures and their decomposition: A framework based on Hill numbers. PloS ONE 2020, 9, e100014. [Google Scholar] [CrossRef]
- Mantoni, C.; Tsafack, N.; Palusci, E.; Di Pietro, S.; Fattorini, S. Diversity Patterns of Dung Beetles along a Mediterranean Elevational Gradient. Insects 2021, 12, 781. [Google Scholar] [CrossRef]
- Hammer, O.; Harper, D.A.T.; Ryan, P.D. PAST: Paleontological statistics software package for education and data analysis. Palaeontol. Electron. 2001, 4, 9. [Google Scholar]
- Hansen, B.; Alrøe, H.F.; Kristensen, E.S. Approaches to assess the environmental impact of organic farming with particular regard to Demmark. Agric. Ecosyst. Environ. 2001, 83, 11–26. [Google Scholar] [CrossRef]
- Tóth, Z.; Hornung, E.; Dombos, M. Tea Bag method: A new possibility to assess impacts of agri-environmental measures on soil functioning. Hung. Agric. Eng. 2017, 2, 19–26. [Google Scholar]
- Alvarez, T.M.; Frampton, G.K.; Goulson, D. Epigeic Collembola in winter wheat under organic, integrated and conventional farm management regimes. Agric. Ecosyst. Environ. 2001, 83, 95–110. [Google Scholar] [CrossRef]
- Bengtsson, G.; Hedlund, K.; Rundgren, S. Food-and density-dependent dispersal: Evidence from a soil collembolan. J. Anim. Ecol. 1994, 63, 513–520. [Google Scholar] [CrossRef]
- Ghiglieno, I.; Simonetto, A.; Donna, P.; Tonni, M.; Valenti, L.; Bedussi, F.; Gilioli, G. Soil Biological Quality Assessment to Improve Decision Support in the Wine Sector. Agronomy 2019, 9, 593. [Google Scholar] [CrossRef]
- Caprio, E.; Nervo, B.; Isaia, M.; Allegro, G.; Rolando, A. Organic versus conventional systems in viticulture: Comparative effects on spiders and carabids in vineyards and adjacent forests. Agric. Syst. 2015, 136, 61–69. [Google Scholar] [CrossRef]
- Dubie, T.R.; Greenwood, C.M.; Godsey, C.; Payton, M.E. Effects of Tillage on Soil Microarthropods in Winter Wheat. Southwest. Entomol. 2011, 36, 11–20. [Google Scholar] [CrossRef]
- Peachey, R.E.; Moldenke, A.; William, R.D.; Berry, R.; Ingham, E.; Groth, E. Effect of cover crops and tillage system on symphylan (Symphlya: Scutigerella immaculata, Newport) and Pergamasus quisquiliarum Canestrini (Acari: Mesostigmata) populations, and other soil organisms in agricultural soils. Appl. Soil Ecol. 2002, 21, 59–70. [Google Scholar] [CrossRef]
- House, G.J.; Parmelee, R.W. Comparison of soil arthropods and earthworms from conventional and no-tillage agroecosystems. Soil Tillage Res. 1985, 5, 351–360. [Google Scholar] [CrossRef]
- Hendrix, P.F.; Parmelee, R.W.; Crossley, D.A.; Coleman, D.C.; Odum, E.P.; Groffman, P.M. Detritus food webs in conventional and no-tillage agroecosystems. Bioscience 1986, 36, 374–380. [Google Scholar] [CrossRef]
- Wardle, D.A. Impact of disturbance on detritus food-webs in agro-ecosystems of contrasting tillage and weed management practices. Adv. Ecol. Res. 1995, 26, 105–185. [Google Scholar]
- Garrett, C.J.; Crossley, D.A.; Coleman, D.C.; Hendrix, P.F.; Kisselle, K.W.; Potter, R.L. Impacts of the rhizosphere on soil microarthropods in agroecosystems on the Georgia piedmont. Appl. Soil Ecol. 2001, 16, 141–148. [Google Scholar] [CrossRef]
- Coleman, D.; Fu, S.; Hendrix, P.; Crossley, D., Jr. Soil foodwebs in agroecosystems: Impacts of herbivory and tillage management. Eur. J. Soil Biol. 2002, 38, 21–28. [Google Scholar] [CrossRef]
- Cortet, J.; Ronce, D.; Poinsot-Balaguer, N.; Beaufreton, C.; Chabert, A.; Viaux, P.; Cancela de Fonseca, P.J. Impacts of different agricultural practices on the biodiversity of microarthropod communities in arable crop systems. Eur. J. Soil Biol. 2002, 38, 239–244. [Google Scholar] [CrossRef]
- Ferraro, D.O.; Ghersa, C.M. Exploring the natural and human-induced effects on the assemblage of soil microarthropod communities in Argentina. Eur. J. Soil Biol. 2007, 43.2, 109–119. [Google Scholar] [CrossRef]
- Paoletti, M.G.; Sommaggio, D.; Favretto, M.R.; Petruzzelli, G.; Pezzarossa, B.; Barbafieri, M. Earthworms as useful bioindicators of agroecosystem sustainability in orchards and vineyards with different inputs. Appl. Soil Ecol. 1998, 10, 137–150. [Google Scholar] [CrossRef]
- Thiele-Bruhn, S.; Bloem, J.; de Vries, F.T.; Kalbitz, K.; Wagg, C. Linking soil biodiversity and agricultural soil management. Curr. Opin. Environ. Sustain. 2012, 4, 523–528. [Google Scholar] [CrossRef]
- Lindo, Z.; Winchester, N.N. Spatial and environmental factors contributing to patterns in arboreal and terrestrial oribatid mite diversity across spatial scales. Oecologia 2009, 160, 817–825. [Google Scholar] [CrossRef] [PubMed]
- Bowler, D.E.; Benton, T.G. Testing the interaction between environmental variation and dispersal strategy on population dynamics using a soil mite experimental system. Oecologia 2011, 166, 111–119. [Google Scholar] [CrossRef] [PubMed]
- Da Silva, P.M.; Berg, M.P.; Serrano, A.R.; Dubs, F.; Sousa, J. P Environmental factors at different spatial scales governing soil fauna community patterns in fragmented forests. Landsc. Ecol. 2012, 27, 1337–1349. [Google Scholar] [CrossRef]
- Da Silva, P.M.; Berg, M.P.; da Silva, A.A.; Dias, S.; Leitão, P.J.; Chamberlain, D.; Niemelä, J.; Serrano, A.R.M.; Sousa, J.P. Soil fauna through the landscape window: Factors shaping surface-and soil-dwelling communities across spatial scales in cork-oak mosaics. Landsc. Ecol. 2015, 30, 1511–1526. [Google Scholar] [CrossRef]
- Querner, P.; Bruckner, A.; Drapela, T.; Moser, D.; Zaller, J.G.; Frank, T. Landscape and site effects on Collembola diversity and abundance in winter oilseed rape fields in eastern Austria. Agric. Ecosyst. Environ. 2013, 164, 145–154. [Google Scholar] [CrossRef]
- Åström, J.; Bengtsson, J. Patch size matters more than dispersal distance in a mainland–island metacommunity. Oecologia 2011, 167, 747. [Google Scholar] [CrossRef]
- Chisholm, C.; Lindo, Z.; Gonzalez, A. Metacommunity diversity depends on connectivity and patch arrangement in heterogeneous habitat networks. Ecography 2011, 34, 415–424. [Google Scholar] [CrossRef]
- Ingimarsdóttir, M.; Caruso, T.; Ripa, J.; Magnúsdóttir, O.B.; Migliorini, M.; Hedlund, K. Primary assembly of soil communities: Disentangling the effect of dispersal and local environment. Oecologia 2012, 170, 745–754. [Google Scholar] [CrossRef]
- Ettema, C.H.; Wardle, D.A. Spatial soil ecology. Trends Ecol. Evol. 2002, 17, 177–183. [Google Scholar] [CrossRef]
- Berg, M.P.; Bengtsson, J. Temporal and spatial variability in soil food web structure. Oikos 2007, 116, 1789–1804. [Google Scholar] [CrossRef]
- Heiniger, C.; Barot, S.; Ponge, J.F.; Salmon, S.; Botton-Divet, L.; Carmignac, D.; Dubs, F. Effect of habitat spatiotemporal structure on collembolan diversity. Pedobiologia 2014, 57, 103–117. [Google Scholar] [CrossRef]
- Grandi, C.; Triantafyllidis, A. Organic Agriculture in Protected Areas: The Italian Experience; Natural Resources Management and Environment Department; Food and Agriculture Organization of the United Nations: Rome, Italy, 2010; pp. 1–29. [Google Scholar]
- Hufbauer, R.A.; Szűcs, M.; Kasyon, E.; Youngberg, C.; Koontz, M.J.; Richards, C.; Melbourne, B.A. Three types of rescue can avert extinction in a changing environment. Proc. Natl. Acad. Sci. USA 2015, 112, 10557–10562. [Google Scholar] [CrossRef] [PubMed]
- Eriksson, A.; Elías-Wolff, F.; Mehlig, B.; Manica, A. The emergence of the rescue effect from explicit within-and between-patch dynamics in a metapopulation. Proc. R. Soc. B. 2014, 281, 20133127. [Google Scholar] [CrossRef] [PubMed]
- Van Schmidt, N.D.; Beissinger, S.R. The rescue effect and inference from isolation–Extinction relationships. Ecol. Lett. 2020, 23, 598–606. [Google Scholar] [CrossRef]
- Tuomisto, H. A diversity of beta diversities: Straightening up a concept gone awry. Part 2. Quantifying beta diversity and related phenomena. Ecography 2010, 33, 23–45. [Google Scholar] [CrossRef]
- Andrén, O.; Lagerlöf, J. Soil fauna (microarthropods, enchytraeids, nematodes) in Swedish agricultural cropping systems. Acta Agric. Scand. 1983, 33, 33–52. [Google Scholar] [CrossRef]
- Lavelle, P.; Chauvel, A.; Fragoso, C. Faunal activity in acid soils. In Plant-Soil Interactions at Low pH: Principles and Management. Developments in Plant and Soil Sciences; Date, R.A., Grundon, N.J., Rayment, G.E., Probert, M.E., Eds.; Springer: Dordrecht, The Netherlands, 1995; Volume 64, pp. 201–211. [Google Scholar]
- Kautz, T.; López-Fando, C.; Ellmer, F. Abundance and biodiversity of soil microarthropods as influenced by different types of organic manure in a long-term field experiment in Central Spain. Appl. Soil Ecol. 2006, 33, 278–285. [Google Scholar] [CrossRef]
- Salmon, S.; Artuso, N.; Frizzera, L.; Zampedri, R. Relationships between soil fauna communities and humus forms: Response to forest dynamics and solar radiation. Soil Biol. Biochem. 2008, 40, 1707–1715. [Google Scholar] [CrossRef]
- Shakir, M.M.; Ahmed, S. Seasonal abundance of soil arthropods in relation to meteorological and edaphic factors in the agroecosystems of Faisalabad, Punjab, Pakistan. Int. J. Biometeorol. 2015, 59, 605–616. [Google Scholar] [CrossRef]
- Potapov, A.; Goncharov, A.; Semenina, E.; Korotkevich, A.; Tsurikov, S.; Rozanova, O.; Anichkin, A.; Zuev, A.; Samoylova, E.; Semenyuk, I.; et al. Arthropods in the subsoil: Abundance and vertical distribution as related to soil organic matter, microbial biomass and plant roots. Eur. J. Soil Biol. 2017, 82, 88–97. [Google Scholar] [CrossRef]
- Begum, F.; Bajracharya, R.M.; Sharma, S.; Sitaula, B.K. Influence of slope aspect on soil physico-chemical and biological properties in the mid hills of central Nepal. Int. J. Sustain. Dev. World Ecol. 2010, 17, 438–443. [Google Scholar] [CrossRef]
- Kanal, A. Effects of fertilisation and edaphic properties on soil-associated Collembola in crop rotation. Agron. Res. 2004, 2, 153–168. [Google Scholar]
- Brussaard, L.; Van Faassen, H.G. Effects of compaction on soil biota and soil biological processes. In Soil Compaction in Crop Production; Soane, B.D.D., Van Ouwerkerk, C., Eds.; Elsevier: Amsterdam, The Netherlands, 1994; pp. 215–235. [Google Scholar]
- Müller, G.; Rauhe, K. Zur Tiefkultur auf leichten Böden im besonderen Hinblick auf die Bodenbiologie. Z. Acker. Pflanzenbau 1959, 109, 309–322. [Google Scholar]
- Rusco, E.; Montanarella, L.; Bosco, C. Soil erosion: A main threats to the soils in Europe. In Threats to Soil Quality in Europe; No. EUR 23438 EN in EUR—Scientific and Technical Research Series; Tóth, G., Montanarella, L., Rusco, E., Eds.; Office for Official Publications of the European Communities: Luxemburg, 2008; pp. 37–45. [Google Scholar]
- Tylianakis, J.M.; Didham, R.K.; Bascompte, J.; Wardle, D.A. Global change and species interactions in terrestrial ecosystems. Ecol. Lett. 2008, 11, 1351–1356. [Google Scholar] [CrossRef] [PubMed]
- Imadi, S.R.; Shah, S.W.; Kazi, A.G.; Azooz, M.M.; Ahmad, P. Phytoremediation of Saline Soils for Sustainable Agricultural Productivity. In Plant Metal Interaction; Ahmad, P., Ed.; Elsevier: Amsterdam, The Netherlands, 2016; pp. 455–468. [Google Scholar]
- Bronick, C.J.; Lal, R. Soil structure and management: A review. Geoderma 2005, 124, 3–22. [Google Scholar] [CrossRef]
- Zhang, X.; Norton, L. Effect of exchangeable Mg on saturated hydraulic conductivity, disaggregation and clay dispersion of disturbed soils. J. Hydrol. 2002, 260, 194–205. [Google Scholar] [CrossRef]
- Zimdahl, R.L. Six Chemicals That Changed Agriculture; Academic Press: Cambridge, MA, USA, 2015; pp. 1–216. [Google Scholar]



| QBS-ar | QBS-ab | |||||
|---|---|---|---|---|---|---|
| χ2 | Df | P | χ2 | Df | P | |
| Management | 5.506 | 1 | 0.019 | 7.539 | 1 | 0.006 |
| Park | 12.024 | 1 | <0.0001 | 11.735 | 1 | <0.001 |
| Crop | 40.260 | 6 | <0.0001 | 28.749 | 6 | <0.0001 |
| R2c = 0.80 R2m = 0.740; I = −0.082, P = 0.839 | R2c = 0.83 R2m = 0.700; I = −0.051, P = 0.666 | |||||
| Abundance | Richness | |||||
| χ2 | Df | P | χ2 | Df | P | |
| Management | 5.506 | 1 | 0.019 | 7.539 | 1 | 0.006 |
| Park | 12.024 | 1 | <0.0001 | 11.735 | 1 | <0.001 |
| Crop | 40.260 | 6 | <0.0001 | 28.749 | 6 | <0.0001 |
| R2c = 0.999, R2m = 0.890; I = −0.100, P = 0.911 | R2c = 0.519, R2m = 0.519; I = −0.077, P = 0.811 | |||||
| Shannon Index | Simpson Index | |||||
| χ2 | Df | P | χ2 | Df | P | |
| Management | 2.275 | 1 | 0.132 | 4.804 | 1 | 0.028 |
| Park | 2.601 | 1 | 0.107 | 2.448 | 1 | 0.115 |
| Crop | 61.129 | 6 | <0.0001 | 23.469 | 6 | <0.001 |
| R2c = 0.810, R2m = 0.540; I = −0.095, P = 0.887 | R2c = 0.770, R2m = 0.560; I = −0.085, P = 0.851 | |||||
| QBS-ar | QBS-ab | Shannon Index | Simpson Index | Richness | Abundance | |
|---|---|---|---|---|---|---|
| QBS-ar | 0.919 *** | 0.387 * | 0.173 | 0.924 *** | 0.721 *** | |
| QBS-ab | 0.452 ** | 0.260 | 0.843 *** | 0.817 *** | ||
| Shannon index | 0.943 *** | 0.305 | 0.072 | |||
| Simpson index | −0.029 | |||||
| Richness | 0.769 *** | |||||
| Organic substance | −0.300 | −0.101 | −0.028 | 0.109 | −0.352 * | −0.023 |
| pH | 0.188 | 0.025 | −0.110 | −0.207 | 0.254 | −0.015 |
| Sand | 0.338 * | 0.419 * | 0.187 | 0.206 | 0.463 ** | 0.552 *** |
| Silt | −0.119 | −0.139 | 0.248 | 0.298 | −0.188 | −0.169 |
| Humic acids | 0.033 | 0.194 | 0.016 | 0.092 | 0.006 | 0.264 |
| Ammoniac nitrogen | −0.249 | −0.303 | −0.101 | −0.075 | −0.286 | −0.297 |
| Nitric nitrogen | −0.429 ** | −0.326 | 0.023 | 0.084 | −0.420 * | −0.364 * |
| Phosphorus | −0.438 ** | −0.400 * | 0.426 ** | 0.533 *** | −0.472 *** | −0.572 *** |
| Calcium | 0.079 | 0.083 | −0.230 | −0.287 | 0.171 | 0.172 |
| Magnesium | −0.563 *** | −0.576 *** | −0.372 * | −0.350 * | −0.604 *** | −0.644 *** |
| Potassium | −0.441 ** | −0.423 ** | −0.244 | −0.152 | −0.449 ** | −0.350 * |
| Sodium | −0.174 | −0.172 | −0.004 | −0.027 | −0.335 * | −0.371 * |
Publisher’s Note: MDPI stays neutral with regard to jurisdictional claims in published maps and institutional affiliations. |
© 2021 by the authors. Licensee MDPI, Basel, Switzerland. This article is an open access article distributed under the terms and conditions of the Creative Commons Attribution (CC BY) license (https://creativecommons.org/licenses/by/4.0/).
Share and Cite
Mantoni, C.; Pellegrini, M.; Dapporto, L.; Del Gallo, M.M.; Pace, L.; Silveri, D.; Fattorini, S. Comparison of Soil Biology Quality in Organically and Conventionally Managed Agro-Ecosystems Using Microarthropods. Agriculture 2021, 11, 1022. https://doi.org/10.3390/agriculture11101022
Mantoni C, Pellegrini M, Dapporto L, Del Gallo MM, Pace L, Silveri D, Fattorini S. Comparison of Soil Biology Quality in Organically and Conventionally Managed Agro-Ecosystems Using Microarthropods. Agriculture. 2021; 11(10):1022. https://doi.org/10.3390/agriculture11101022
Chicago/Turabian StyleMantoni, Cristina, Marika Pellegrini, Leonardo Dapporto, Maria Maddalena Del Gallo, Loretta Pace, Donato Silveri, and Simone Fattorini. 2021. "Comparison of Soil Biology Quality in Organically and Conventionally Managed Agro-Ecosystems Using Microarthropods" Agriculture 11, no. 10: 1022. https://doi.org/10.3390/agriculture11101022
APA StyleMantoni, C., Pellegrini, M., Dapporto, L., Del Gallo, M. M., Pace, L., Silveri, D., & Fattorini, S. (2021). Comparison of Soil Biology Quality in Organically and Conventionally Managed Agro-Ecosystems Using Microarthropods. Agriculture, 11(10), 1022. https://doi.org/10.3390/agriculture11101022

