Recommended vs. Practice: Smallholder Fertilizer Decisions in Central Myanmar
Abstract
1. Introduction
2. Methods
2.1. Study Area
2.2. Household Survey Sampling
2.3. Data Collection
2.4. Analytical Methods
3. Results and Discussion
3.1. Perceptions about and Factors Influencing Fertilizer Decisions
3.2. Fertilizer Use
3.2.1. Basal Fertilizer Application
3.2.2. Split Fertilizer Application
3.2.3. Economic Considerations
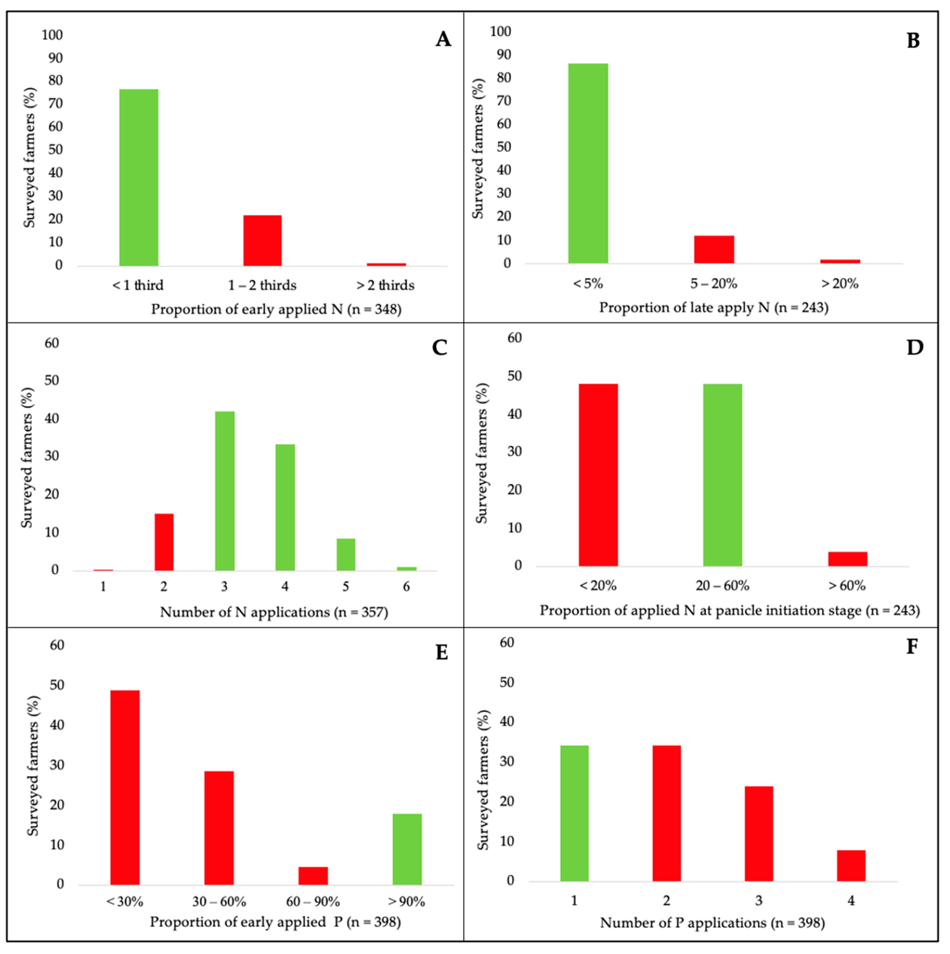
3.3. Fertilizer Timing Analysis for Rice
4. Policy Implications
5. Conclusions
Author Contributions
Funding
Institutional Review Board Statement
Informed Consent Statement
Data Availability Statement
Acknowledgments
Conflicts of Interest
References
- World Bank. Myanmar Poverty and Living Conditions Suryey. Available online: https://www.worldbank.org/en/country/myanmar/publication/myanmar-poverty-reports. (accessed on 19 August 2020).
- Findlay, R.; Park, C.Y.; Verbiest, J.P.A. Myanmar: Unlocking the Potential—A Strategy for High, Sustained, and Inclusive Growth; Asian Development Bank: Manila, Philippines, 2015. [Google Scholar]
- Hazell, P.B.R. The Asian Green Revolution; FPRI Discussion Paper 00911; International Food Policy Research Institute (IFPRI): Washington, DC, USA, 2009; Available online: https://core.ac.uk/download/pdf/6257689.pdf (accessed on 29 September 2020).
- Hirel, B.; Tetu, T.; Lea, P.J.; Dubois, F. Improving nitrogen use efficiency in crops for sustainable agriculture. Sustainability 2011, 3, 1452–1485. [Google Scholar] [CrossRef]
- Stewart, W.M.; Dibb, D.W.; Johnston, A.E.; Smyth, T.J. The contribution of commercial fertilizer nutrients to food production. Agron. J. 2005, 97, 1–6. [Google Scholar] [CrossRef]
- World Bank. Enabling the Business of Agriculture 2017; World Bank: Washington, DC, USA, 2017. [Google Scholar]
- Place, G.A.; Sims, J.L.; Hall, U.L. Effects of nitrogen and phosphorous on the growth yield and cooking, characteristics of rice. Agron. J. 1970, 62, 239–241. [Google Scholar] [CrossRef]
- Kropff, M.J.; Cassman, K.; Laar, H.H.V.; Peng, S. Nitrogen and yield potential of irrigated rice. Plant Soil 1993, 155, 391–394. [Google Scholar] [CrossRef]
- Dobermann, A.; Fairhurst, T. Rice: Nutrient Disorders and Nutrient Management; Potash and Phosphate Institute (PPI): Los Baños, Phillippines, 2000. [Google Scholar]
- World Bank. Fertilizer Consumption (Kilograms Per Hectare of Arable Land). Available online: https://www.worldbank.org/indicator/Ag.CON.FERT.ZS (accessed on 14 December 2020).
- Maclean, J.; Hardy, B.; Hettel, G. Rice Almanac, 4th ed.; International Rice Research Institute (IRRI): Los Banos, Phillippines, 2013. [Google Scholar]
- Rice Almanac: Source Book for the Most Important Economic Activity on Earth; Global Rice Science Partnership: Los Baños, Philippines, 2013.
- FAOSTAT. Fertilizers Indicators. Available online: http://www.fao.org/faostat/en/#data/EF/visualize (accessed on 5 November 2020).
- Gregory, I.; Shwe, T.M.; Oo, N. Myanmar Fertiliser Policy Evaluation; International Fertiliser Development Center (IFDC). 2014. Available online: https://ifdcorg.files.wordpress.com/2015/09/myanmar-fertilizer-policy-evaluation-9-17-14-kg-edits-4.pdf (accessed on 22 November 2019).
- Denning, G.; Baroang, K.; Sandar, T.M. Background Paper No.2 Rice Productivity Improvement in Myanmar; Michigan State University: East Lansing, MI, USA, 2013; Available online: https://www.themimu.info/sites/themimu.info/files/documents/Ref_Doc_Background_Paper_2_Rice_Productivity_Improvement_Mar2013.pdf (accessed on 1 July 2020).
- Garcia, A.; Garcia, Y.; Aung, T.; Swe, A.; Hossain, M. Constraints to increased rice production in Myanmar: Implications for future research priorities and policies. In Proceedings of the Prioritization of Rice Research Problem Areas, Los Banos, Philippines, 20–22 April 1998. [Google Scholar]
- Naing, T.A.A.; Kingsbury, A.J.; Buerkert, A.; Finckh, M.R. A survey of Myanmar rice production and constraints. J. Agric. Rural Dev. Trop. Subtrop. 2008, 109, 151–168. [Google Scholar]
- LIFT. Myanmar: Analysis of Farm Production Economics. Livelihoods and Food Security Trust Fund (LIFT). 2016. Available online: http://www.lift-fund.org/sites/lift-fund.org/files/publication/MM%20Farm%20Production%20Economics%20-%20online%20version.pdf (accessed on 22 November 2019).
- Stuart, A.M.; Pame, A.R.P.; Silva, J.o.V.; Dikitanan, R.C.; Rutsaert, P.; Malabayabas, A.J.B.; Lampayan, R.M.; Radanielson, A.M.; Singleton, G.R. Yield gaps in rice-based farming systems: Insights from local studies and prospects for future analysis. Field Crops Res. 2016, 194, 43–56. [Google Scholar] [CrossRef]
- LIFT. Chemical and Organic Fertilizer Market in Relation to the Interests of Small Farmers in Myanmar. Food Security Working Group (FSWG). 2015. Available online: https://www.myanmarfswg.org/sites/myanmarfswg.org/files/fertilizer_report_eng.pdf (accessed on 22 November 2019).
- IFDC. Fertiliser Sector Improvement Project: Fertiliser Dealer Survey. International Fertilizer Development Center (IFDC). 2015. Available online: https://ifdc.org/wp-content/uploads/2016/05/1-fertilizer-sector-improvement-project-retailer-survey-report.pdf (accessed on 21 November 2020).
- Haggblade, S.; Boughton, D.; Denning, G.; Kloeppinger-Todd, R.; Cho, K.M.; Wilson, S.; Wong, L.C.Y.; Oo, Z.; Than, T.M.; Wai, N.E.M.A.; et al. A Strategic Agricultural Sector and Food Security Diagnostic for Myanmar; MSU International Development Working Paper No. 131; Michigan State University: East Lansing, MI, USA, 2013; Available online: https://www.canr.msu.edu/fsg/papers/idwp131_revised.pdf (accessed on 13 April 2020).
- Weil, R.R. Soil fertility and fertilizers in sustainable agricultural development: What is the way forward for Myanmar? In Proceedings of the Myanmar Soil Fertility and Fertilizer Management, Nay Pyi Taw, Myanmar, 18–19 October 2017. [Google Scholar]
- Nyi, T. (Department of Agriculture, Land Use Division LUD, Ministry of Agriculture, Naypyitaw, Myanmar). Personal communication, 2020.
- MOAI. Methods to Achieve Targeted Yield (Translated); Agricultural Extension Division, Ministry of Agriculture and Irrigation (MOAI): Yangon, Myanmar, 2006.
- Johnston, A.M.; Bruulsema, T.W. 4R Nutrient Stewardship for improved nutrient use efficiency. Procedia Eng. 2014, 83, 365–370. [Google Scholar] [CrossRef]
- Wang, H.; Hu, R.; Chen, X.; Zhong, X.; Zheng, Z.; Huang, N.; Xue, C. Reduction in nitrogen fertilizer use results in increased rice yields and improved environmental protection. Int. J. Agric. Sustain. 2017, 15, 681–692. [Google Scholar] [CrossRef]
- Saito, K.; Diack, S.; Dieng, I.; N’Diaye, M.K. On-farm testing of a nutrient management decision-support tool for rice in the Senegal River valley. Comput. Electron. Agric. 2015, 116, 36–44. [Google Scholar] [CrossRef]
- Byrnes, B.H. Environmental effects of N fertilizer use—An overview. Fertil. Res. 1990, 26, 209–215. [Google Scholar] [CrossRef]
- Feder, G.; Just, R.E.; Zilberman, D. Adoption of Agricultural Innovations in Developing Countries: A Survey. Econ. Dev. Cult. Chang. 1985, 33, 255. [Google Scholar] [CrossRef]
- Adesina, A.A.; Zinnah, M.M. Technology characteristics, farmers’ perceptions and adoption decisions: A Tobit model application in Sierra Leone. Agric. Econ. 1993, 9, 297–311. [Google Scholar] [CrossRef]
- Coady, D.P. An empirical analysis of fertilizer use in Pakistan. Economica 1995, 62, 213–234. [Google Scholar] [CrossRef]
- Nkamleu, G.B.; Adesina, A.A. Determinants of chemical input use in peri- urban lowland systems: Bivariate probit analysis in Cameroon. Agric. Syst. 2000, 63, 111–121. [Google Scholar] [CrossRef]
- Chianu, J.N.; Tsujii, H. Determinants of farmers’ decision to adopt or not adopt inorganic fertilizer in the savannas of northern Nigeria. Nutrient Cycling in Agroecosystems. Nutr. Cycl. Agroecosystems 2004, 70, 293–301. [Google Scholar] [CrossRef]
- Koundouri, P.; Nauges, C.; Tzouvelekas, V. Technology adoption under production uncertainty: Theory and application to irrigation technology. Am. J. Agric. Econ. 2006, 88, 657–670. [Google Scholar] [CrossRef]
- Majumdar, K.; Johnston, A.M.; Dutt, S.; Satyanarayana, T.; Roberts, T.L. Fertiliser best management practices: Concept, global perspectives and application. Indian J. Fertil. 2013, 9, 14–31. [Google Scholar] [CrossRef]
- Rahman, S. Environmental impacts of modern agricultural technology diffusion in Bangladesh: An analysis of farmers’ perception and their determinants. J. Environ. Manag. 2003, 68, 183–191. [Google Scholar] [CrossRef]
- ACIAR. Management of Nutrients for Improved Profitability and Sustainability of Crop Production in Central Myanmar. Available online: https://www.aciar.gov.au/project/SMCN-2014-044 (accessed on 25 August 2020).
- Ethical Trading Initiative. Smallholder Guidelines: Recommendations for Working with Smallholders. 2005. Available online: https://www.ethicaltrade.org/sites/default/files/shared_resources/eti_smallholder_guidelines_english.pdf (accessed on 25 August 2020).
- Mercy Corps. The Dry Zone of Myanmar: A Strategic Resilience Assessment of Farming Communities. 2018. Available online: https://themimu.info/sites/themimu.info/files/documents/Report_Resilience_Assessment_of_Farming_Communities_Dry_Zone_MercyCorps.pdf (accessed on 18 December 2020).
- Sukhatme, P.V.; Sukhatme, B.V.; Sukhatme, S.; Asok, C. Sampling Theory of Surveys with Applications; ISAS: New Deli, India, 1984. [Google Scholar]
- Costello, A.B.; Osborne, J. Best practices in exploratory factor analysis: Four recommendations for getting the most from your analysis. Pract. Assess. Res. Eval. 2005, 10, 1–9. [Google Scholar] [CrossRef]
- Memon, M.A.; Ting, H.; Hwa, C.J.; Ramayah, T. Sample size for survey research: Review and recommendations. J. Appl. Struct. Equ. Modeling 2020, 4, 1–20. [Google Scholar] [CrossRef]
- Levy, P.S.; Lemeshow, S. Sampling of Populations: Methods and Applications; John Wiley & Sons: Hoboken, NJ, USA, 2013. [Google Scholar]
- Flaming, A.; Canty, M.; Javetski, G.; Lesh, N. The CommCare Evidence Base for Frontline Workers. 2016. Available online: http://www.dimagi.com/wp-content/uploads/2016/06/CommCare-Evidence-Base-July-2016.pdf (accessed on 22 November 2019).
- Silva, J.V.; Reidsma, P.; Laborte, A.G.; Van Ittersum, M.K. Explaining rice yields and yield gaps in Central Luzon, Philippines: An application of stochastic frontier analysis and crop modelling. Eur. J. Agron. 2017, 82, 223–241. [Google Scholar] [CrossRef]
- Banayo, N.P.; Bueno, C.S.; Haefele, S.M.; Desamero, N.V.; Kato, Y. Site-specific nutrient management enhances sink size, a major yield constraint in rainfed lowland rice. Field Crops Res. 2018, 224, 76–79. [Google Scholar] [CrossRef]
- Buresh, R.J.; Castillo, R.L.; Torre, J.C.D.; Laureles, E.V.; Samson, M.I.; Sinohin, P.J.; Guerra, M. Site-specific nutrient management for rice in the Philippines: Calculation of field-specific fertilizer requirements by Rice Crop Manager. Field Crops Res. 2019, 239, 56–70. [Google Scholar] [CrossRef]
- Sharma, R.P.; Pathak, S.K.; Singh, R.C. Effect of nitrogen and weed management in direct-seeded rice (Oryza sativa) under upland conditions. Indian J. Agron. 2007, 52, 114–119. [Google Scholar]
- Haden, V.R.; Xiang, J.; Peng, S.; Bouman, B.A.; Visperas, R.; Ketterings, Q.M.; Duxbury, J.M. Relative effects of ammonia and nitrite on the germination and early growth of aerobic rice. J. Plant Nutr. Soil Sci. 2011, 174, 292–300. [Google Scholar] [CrossRef]
- Peng, S.; Buresh, R.J.; Huang, J.; Zhong, X.; Zou, Y.; Yang, J.; Cui, K. Improving nitrogen fertilization in rice by site specific N management. A review. Agron. Sustain. Dev. 2010, 30, 649–656. [Google Scholar] [CrossRef]
- Qi, X.; Nie, L.; Liu, H.; Peng, S.; Shah, F.; Huang, J.; Sun, L. Grain yield and apparent N recovery efficiency of dry direct-seeded rice under different N treatments aimed to reduce soil ammonia volatilization. Field Crop. Res. 2012, 134, 138–143. [Google Scholar] [CrossRef]
- Fairhurst, T.; Witt, C.; Buresh, R.; Dobermann, A. Rice: A Practical Guide to Nutrient Management; International Rice Resarch Institute (IRRI): Los Baños, Philippines, 2007. [Google Scholar]
- Banayo, N.P.; Haefele, S.M.; Desamero, N.V.; Kato, Y. On-farm assessment of site-specific nutrient management for rainfed lowland rice in the Philippines. Field Crops Res. 2018, 220, 88–96. [Google Scholar] [CrossRef]
- Lwin, H.Y.; Myint, T.; Than, S.M.; Aung, N.M.; San, C.C.; Htut, T. Role of Fertiliser Policy in Transforming Agriculture of Myanmar. International Food Policy Research Institute (IFPRI): Policy Note 01. Department of Agricultural Economics, Yezin Agricultural University. 2014. Available online: http://www.ifpri.org/publication/role-fertilizer-policy-transforming-agriculture-myanmar (accessed on 20 November 2019).
- Nyi, T.; Weatherley, A.J.; Farquharson, R. Nitrogen Content and Fertilizer Quality in Central Myanmar. In Proceedings of the Soil Fertility and Fertilizer Management Conference, IFDC, Nay Pyi Taw, Myanmar, 18–19 October 2017. [Google Scholar]
- Zhou, Y.; Yang, H.; Mosler, H.-J.; Abbaspour, K.C. Factors affecting farmers’ decisions on fertiliser use: A case study for the Chaobai watershed in northern China. J. Sustain. Dev. 2010, 4, 80–102. [Google Scholar]
- Pandey, D.T. Methods of Fertilizer Application. Available online: http://agropedia.iitk.ac.in/content/methods-fertilizer-application-0 (accessed on 5 November 2020).
- Rahman, K.M.A.; Zhang, D. Effects of fertilizer broadcasting on the excessive use of inorganic fertilizers and environmental sustainability. Sustainability 2018, 10, 759. [Google Scholar] [CrossRef]
- FAO. Global Agriculture towards 2050. In Proceedings of the How to Feed the World 2050, High-level Expert Forum, Rome, Italy, 12–13 October 2009. [Google Scholar]
- Deckers, J.; Steines, E. State of the art on soil-related geo-medical issues in the world. Adv. Agron. 2004, 84, 1–35. [Google Scholar]
- Liu, X.; Zhang, W.; Zhang, M.; Ficklin, D.L.; Wang, F. Spatio-temporal variations of soil nutrients influenced by an altered land tenure system in China. Geoderma 2009, 152, 23–34. [Google Scholar] [CrossRef]
- Reetz, H.F.; Heffer, P.; Bruulsema, T.W. 4R nutrient stewardship: A global framework for sustainable fertilizer management. In Managing Water and Fertilizer for Sustainable Agricultural Intensification; Drechsel, P., Heffer, P., Magen, H., Mikkelsen, R., Wichelns, D., Eds.; International Fertilizer Industry Association (IFA): Paris, France; International Water Management Institute (IWMI): Sri Lanka, Columbia; International Plant Nutrition Institute (IPNI): Peachtree Corners, GA, USA; International Potash Institute (IPI): Horgen, Switzerland, 2015. [Google Scholar]
- Aung, H.H.; Aung, T.H.; Aung, T.T.; Cho, A.A.; Naing, T.; Kyaw, M.M.; Hlyan, Z.H. Urea deep placement technology and its extension to farmers in Myanmar. In Proceedings of the Myanmar Soil Fertility and Fertilizer Management, Nay Pyi Taw, Myanmar, 18–19 October 2017; Available online: https://ifdc.org/wp-content/uploads/2018/03/Conference-Proceedings-3-22-2018.pdf (accessed on 7 December 2020).
- Ogeto, R.M.; Jiong, G. Fertilizer underuse in Sub Saharan Africa: Evidence from Maize. J. Agric. Econ. Dev. 2019, 7, 11–28. [Google Scholar]
- Karkia, M.; Pantha, B.P.; Subedia, P.; GCa, A.; Regmi, R. Effect of different doses of nitrogen on production of spring maize in Gulmi, Nepal. Sustain. Food Agric. 2020, 1, 1–5. [Google Scholar] [CrossRef]
- Adhikari, P.; Baral, B.R.; Shrestha, J. Maize response to time of nitrogen application and planting seasons. J. Maize Res. Dev. 2016, 2, 83–93. [Google Scholar] [CrossRef]
- Jayne, T.S.; Rashid, S. Input subsidy programs in sub-Saharan Africa: A synthesis of recent evidence. Agric. Econ. 2013, 44, 547–562. [Google Scholar] [CrossRef]
- Liverpool-Tasie, L.S.O.; Omonona, B.T.; Sanou, A.; Ogunleye, W.O. Is increasing inorganic fertilizer use for maize production in SSA a profitable proposition? Evidence from Nigeria. Food Policy 2017, 67, 41–51. [Google Scholar] [PubMed]
- Scheiterle, L.; Birner, R. Assessment of Ghana’s comparative advantage in maize production and the role of fertilizers. Sustainability 2018, 10, 4181. [Google Scholar] [CrossRef]
- Evenson, R.E.; Gollin, D. Assessing the impact of the Green Revolution, 1960 to 2000. Science 2003, 3000, 758–762. [Google Scholar] [CrossRef]
- Denning, G.; Kabambe, P.; Sanchez, P.; Malik, A.; Flor, R.; Harawa, R.; Nkhoma, P.; Zamba, C.; Banda, C.; Magombo, C.; et al. Input subsidies to improve smallholder maize productivity in Malawi: Toward an African green revolution. PLoS Biol. 2009, 7, e1000023. [Google Scholar] [CrossRef]
- Anderson, J.; Dillon, J.L.; Hardaker, B. Agricultural Decision Analysis; Iowa State University Press: Ames, IA, USA, 1977. [Google Scholar]
- Anderson, J.; Hardaker, B. Economic Analysis in Design of New Technologies for Small Farmers. In Economics and the Design of Small-Farmer Technology; Valdes, A., Scobie, G.M., Dillon, J.L., Eds.; Iowa State University Press: Ames, IA, USA, 1979. [Google Scholar]
- Roumasset, J.A. Rice and Risk: Decision-Making among Low-Income Farmers; Elsevier: Amsterdam, Netherlands, 1976. [Google Scholar]
- Kennedy, J.O.S. An alternative method for deriving optimal fertiliser rates: Comment and extension. Rev. Mark. Agric. Econ. 1981, 49, 203–209. [Google Scholar] [CrossRef]
- Lanzer, E.A.; Paris, Q. A new analytical framework for the fertilization problem. Am. J. Agric. Econ. 1981, 63, 93–103. [Google Scholar] [CrossRef]
- Anderson, J.R. One more or less cheer for optimality. J. Aust. Inst. Agric. Sci. 1975, 41, 195–197. [Google Scholar]
- Pannell, D.J. Flat earth economics: The far-reaching consequences of flat payoff functions in economic decision making. Rev. Agric. Econ. 2006, 28, 553–566. [Google Scholar] [CrossRef]
- Farquharson, R.J. Production response and input demand in decision making: Nitrogen fertiliser and wheat growers. Australas. Agribus. Rev. 2006, 14, 1–11. [Google Scholar]
- Keynes, J.M. The General Theory of Employment, Interest and Money; Palgrave Macmillan: London, UK, 1936. [Google Scholar]
- Jardine, R. Two cheers for optimality. J. Aust. Inst. Agric. Sci. 1975, 41, 30–34. [Google Scholar]
- Feder, G. Farm size, risk aversion and the adoption of new technology under uncertainty. Oxf. Econ. Pap. 1980, 32, 263–283. [Google Scholar] [CrossRef]
- Harwood, J.; Heifner, R.; Coble, K.; Perry, J.; Somwaru, A. Managing Risk in Farming: Concepts, Research and Analysis; U.S. Department of Agriculture, Economic Research Service: Washington, DC, USA, 1999.
- Roosen, J.; Hennessy, D.A. Tests for the role of risk aversion on input use. Am. J. Agric. Econ. 2003, 85, 30–43. [Google Scholar] [CrossRef]
- Hardaker, J.B.; Lien, G. Rationalising risk assessment: Applications to agricultural business. Australas. Agribus. Rev. 2007, 15, 75–93. [Google Scholar] [CrossRef]
- Dillon, J.L. An expository review of Bernoullian decision theory in agriculture: Is utility futility? Rev. Mark. Agric. Econ. 1971, 39, 3–80. [Google Scholar] [CrossRef]
- Marra, M.; Pannell, D.J.; Ghadim, A.A. The economics of risk, uncertainty and learning in the adoption of new agricultural technologies: Where are we on the learning curve? Agric. Syst. 2003, 75, 215–234. [Google Scholar] [CrossRef]
- Robert, M.; Thomas, A.; Bergez, J.E. Processes of adaptation in farm decision-making models. A review. Agron. Sustain. Dev. 2016, 36, 64–79. [Google Scholar] [CrossRef]
- Dillon, J.L. Interpreting systems simulation output for managerial decision making. In Systems Analysis in Agricultural Management; Dent, J.B., Anderson, J.R., Eds.; The Griffin Press: Adelaide, Australia, 1971. [Google Scholar]
- Samuelson, W.F.; Marks, S.G. Managerial Economics; John Wiley & Sons, Inc.: Hoboken, NJ, USA, 2015. [Google Scholar]
- Nuthall, P.L.; Old, K.M. Intuition, the farmers’ primary decision process. A review and analysis. J. Rural Stud. 2018, 58, 28–38. [Google Scholar] [CrossRef]
- Gladwin, C.H. A theory of real-life choice: Applications to agricultural decision making. In Agricultural Decision Making; Barlett, P.F., Ed.; Academic Press: New York, NY, USA, 1980; pp. 45–85. [Google Scholar]
- Backus, C.B.G.; Eidman, R.V.; Diikhuizen, A.A. Farm decision making under risk and uncertainty. Neth. J. Agric. Sci. 1997, 45, 307–328. [Google Scholar] [CrossRef]
- Thind, H.S.; Singh, Y.; Sharma, S.; Goyal, D.; Singh, V.; Singh, B. Optimal rate and schedule of nitrogen fertilizer application for enhanced yield and nitrogen use efficiency in dry-seeded rice in north-western India. Arch. Agron. Soil Sci. 2018, 64, 196–207. [Google Scholar] [CrossRef]
- IFDC. Soil Fertility and Fertilizer Management Strategy for Myanmar. 2018. Available online: https://ifdc.org/wp-content/uploads/2018/11/A-Soil-Fertility-and-Fertilizer-Management-Strategy-for-Myanmar-11-16-2018.pdf (accessed on 21 November 2020).
- MOALI. Myanmar Agriculture Development and Investment Plan (2018-19~2022-23). 2018. Available online: https://www.lift-fund.org/download/file/fid/3787 (accessed on 22 November 2020).
- Holden, S.T. Fertilizer and sustainable intensification in Sub-Saharan Africa. Glob. Food Secur. 2018, 18, 20–26. [Google Scholar]
- Taylor, S.J. A review of Sustainable Development Principles: Centre for Environmental Studies; University of Pretoria: Hatfield, South Africa, 2016. [Google Scholar]
- Porter, M.E.; van der Linde, C. Toward a new conception of the environment competitiveness relationship. J. Econ. Perspect. 1995, 9, 97–118. [Google Scholar] [CrossRef]
- Mensah, J. Sustainable development: Meaning, history, principles, pillars, and implications for human action: Literature review. Cogent Soc. Sci. 2019, 5, 1653531. [Google Scholar] [CrossRef]
- Ma, X.; Jiang, Q. How to balance the trade-off between economic development and climate change? Sustainability 2019, 11, 1638. [Google Scholar] [CrossRef]
- LIFT. Annual Report 2014: Myanmar; Livelihood and Food Security Trust Fund (LIFT). 2014. Available online: https://www.lift-fund.org/sites/lift-fund.org/files/uploads/Publications/%21LIFT_AR%202014_long-web.pdf (accessed on 22 November 2019).
- Wei, Y.; Davidson, B.; Chen, D.; White, R. Balancing the economic, social and environmental dimensions of agro-ecosystems: An integrated modeling approach. Agric. Ecosyst. Environ. 2009, 13, 263–273. [Google Scholar]
- AQUASTAT. Irrigation in Southern and Eastern Asia in figures—AQUASTAT Survey. 2011. Available online: http://www.fao.org/nr/water/aquastat/countries_regions/mmr/MMR-CP_eng.pdf (accessed on 5 January 2020).
- Tun, T.; Kennedy, A.; Nischan, U. Promoting Agricultural Growth in Myanmar: A Review of Policies and Assessment of Knowledge Gaps. International Food Policy Research Institute (IFPRI). Working Paper 07. Department of Agricultural, Food, and Resource Economics, Michigan State University. 2015. Available online: http://www.ifpri.org/publication/promoting-agricultural-growth-myanmar-review-policies-and-assessment-knowledge-gaps (accessed on 22 November 2019).
- Sonntag, B.H.; Norse, D. Impediments to Sustainable Agriculture in China; Australian Centre ForInternational Agricultural Research: Canberra, Australia, 2005. [Google Scholar]
- Janvry, A.D.; Emerick, K.; Sadoulet, E.; Dar, M. The Agricultural Technology Adoption Puzzle: What Can We Learn from Field Experiments? FERDI Working paper 178. Policy Brief. Fondation Pour Les Etudes et Recherges Sur Le Development International (FERDI). 2016. Available online: https://ferdi.fr/dl/df-fp2tipEP79TxRtujbBYbr5Ke/ferdi-p178-the-agricultural-technology-adoption-puzzle-what-can-we-learn.pdf (accessed on 5 December 2020).
- Than, S.M.; Thar, S.P.; Ramilan, T.; Farquharson, R.; Aung, N.M. Economic and social issues for fertiliser decisions of smallholder farmers in Myanmar. In Proceedings of the Myanmar Soil Fertility and Fertiliser Management Conference, IFDC, Nay Pyi Taw, Myanmar, 18–19 October 2017; Available online: https://ifdc.org/wp-content/uploads/2018/03/Conference-Proceedings-3-22-2018.pdf (accessed on 7 December 2020).
- World Bank. Myanmar Agricultural Development Bank: Initial Assessment and Restructuring Options. 2014. Available online: http://documents1.worldbank.org/curated/en/241951468060547171/pdf/866300Revised0000MADB0Final0April08.pdf (accessed on 18 December 2020).
- Fang, P.; Belton, B. Maize Production, Farm Size, and Tied Credit in Southern Shan State, Myanmar. 2020. Available online: https://papers.ssrn.com/sol3/papers.cfm?abstract_id=3684540 (accessed on 18 December 2020).
- Tadesse, M. Fertilizer adoption, credit access, and safety nets in rural Ethiopia. Agric. Financ. Rev. 2014, 74, 290–310. [Google Scholar] [CrossRef]
- Cunningham, W.; Munoz, R. Myanmar’s Future Jobs: Embracing Modernity. World Bank Group. 2017. Available online: http://documents.worldbank.org/curated/en/958621536141390299/pdf/129754-Myanmar-Future-Jobs-Main-Report-Final.pdf (accessed on 22 November 2019).





| Recommended Fertilizer Application Rates from Land Use Division, DoA (2020) | |||||
| Crop | Soil Test Value | Urea | T Super | Potash | |
| kg N/ha | kg P2O5/ha | kg K2O/ha | |||
| Rice | Low | 102 | 27 | 117 | |
| Medium | 90 | 22 | 59 | ||
| High | 57 | 11 | 15 | ||
| Maize | Low | 187 | 92 | 152 | |
| Medium | 176 | 86 | 95 | ||
| High | 142 | 27 | 22 | ||
| Recommended Fertilizer Application Rates from Agricultural Extension Division, [25] | |||||
| Crop | Application | Manure | Urea | T Super | Potash |
| Ton/ha | kg N/ha | kg P2O5/ha | kg K2O/ha | ||
| Rice | Basal | 2 to 6 | 51 | ||
| Split (3 times) | 86 | 112 | |||
| Maize | Basal | 7 | 29 | 57 | 37 |
| Split (2 times) | 57 | 36 | |||
| “Good Practice” | Threshold | Supporting References |
|---|---|---|
| 1. Limit early N applications | Apply <1 third of applied N before 21 days (if direct seeded) or 14 days (if transplanted) after planting. | [28,46,47,48,49,50,51,52] |
| 2. Avoid late N applications | Apply <5% of N < 55 days before crop maturity for non-hybrid variety. | [47,53] |
| 3. Split apply N | Apply N at least three times (including basal application). | [28,46,47,48,53] |
| 4. Apply N at panicle initiation | Apply 20 to 60% of applied N between 55 to 65 days before crop maturity. | [47,54] |
| 5. Apply P early | Apply all P within 14 days of transplanting or 21 days of direct seeding. | [25,53] |
| 6. Apply P once | Apply P once (including basal application). | [25,53] |
| Fertilizer | Question | Response | % Overall |
|---|---|---|---|
| Users (n = 594) | Do you think fertilizer increases crop yield? | Yes | 93% |
| No | 6% | ||
| Do not Know | 1% | ||
| Do you want to use more fertilizers? | Yes | 72% | |
| No | 28% | ||
| Is fertilizer quality important? | Yes | 99% | |
| No | 1% | ||
| Are you happy with the quality of the fertilizers you are currently using? | Yes | 89% | |
| No | 11% | ||
| Who makes fertilizer decisions? | Male | 55% | |
| Female | 12% | ||
| Both | 33% | ||
| Non-users (n = 6) | Do you want to start using fertilizers? | Yes | 33% |
| No | 67% |
| Questions | Response (%) | ||||
|---|---|---|---|---|---|
| Strongly Agree | Agree | Neither Agree/Disagree | Disagree | Strongly Disagree | |
| Do you think you can receive higher yield with basal application of fertilizer? | 13% | 62% | 1% | 23% | 1% |
| Do you think it is best to use split application of fertilizer? | 23% | 73% | 1% | 3% | 0% |
| Do you think urea fertilizer boosts plant growth and tillering? | 20% | 69% | 1% | 10% | 0% |
| Questions | Responses | (%) |
|---|---|---|
| How do you decide what type of fertilizer to use? | Use popular brands | 45% |
| Use what neighboring farmers are using | 28% | |
| Use what fertilizer retailers suggest | 12% | |
| Low price | 9% | |
| Use what agricultural extension officers suggest | 6% | |
| How do you make decision on how much or how often to apply fertilizer? | Personal decision | 42% |
| Suggestion from other farmers | 24% | |
| Recommendation from fertilizer companies | 15% | |
| Recommendation from agricultural extension officers | 17% | |
| Fertilizer package labels | 2% |
| Crops | Farmer Application Rates | Recommended Application Rates a | ||||
|---|---|---|---|---|---|---|
| Manure Ton/ha | Compound Kg NPK/ha | Manure Ton/ha | N | P2O5 | K2O | |
| Monsoon Rice | 1.4 | 14 | 2 to 6 | 51 | ||
| Summer Rice | 1.2 | 13 | 2 to 6 | 51 | ||
| Maize | 2.1 | 17 | 7 | 29 | 57 | 37 |
Publisher’s Note: MDPI stays neutral with regard to jurisdictional claims in published maps and institutional affiliations. |
© 2021 by the authors. Licensee MDPI, Basel, Switzerland. This article is an open access article distributed under the terms and conditions of the Creative Commons Attribution (CC BY) license (http://creativecommons.org/licenses/by/4.0/).
Share and Cite
Thar, S.P.; Farquharson, R.J.; Ramilan, T.; Coggins, S.; Chen, D. Recommended vs. Practice: Smallholder Fertilizer Decisions in Central Myanmar. Agriculture 2021, 11, 65. https://doi.org/10.3390/agriculture11010065
Thar SP, Farquharson RJ, Ramilan T, Coggins S, Chen D. Recommended vs. Practice: Smallholder Fertilizer Decisions in Central Myanmar. Agriculture. 2021; 11(1):65. https://doi.org/10.3390/agriculture11010065
Chicago/Turabian StyleThar, So Pyay, Robert J. Farquharson, Thiagarajah Ramilan, Sam Coggins, and Deli Chen. 2021. "Recommended vs. Practice: Smallholder Fertilizer Decisions in Central Myanmar" Agriculture 11, no. 1: 65. https://doi.org/10.3390/agriculture11010065
APA StyleThar, S. P., Farquharson, R. J., Ramilan, T., Coggins, S., & Chen, D. (2021). Recommended vs. Practice: Smallholder Fertilizer Decisions in Central Myanmar. Agriculture, 11(1), 65. https://doi.org/10.3390/agriculture11010065

