Control of Meloidogyne graminicola a Root-Knot Nematode Using Rice Plants as Trap Crops: Preliminary Results
Abstract
1. Introduction
2. Materials and Methods
2.1. Study Area
2.2. Experimental Design
2.3. Evaluation of Nematode Density in the Soil
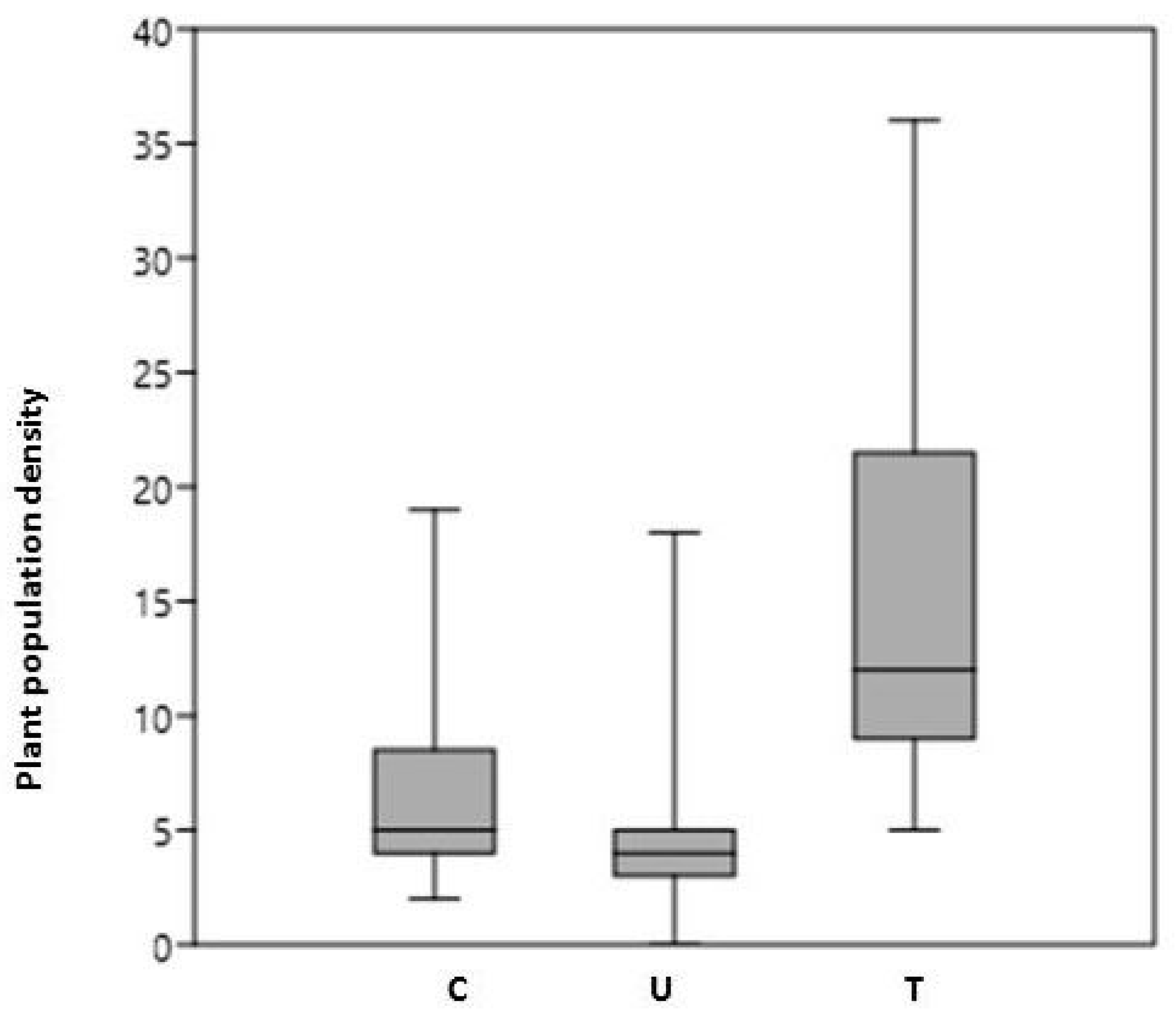
2.4. Evaluation of the Plant Population Density
2.5. Evaluation of Root-Gall Index and Plant Growth
2.6. Statistical Analysis
3. Results
3.1. Evaluation of Nematode Density in the Soil
3.2. Evaluation of the Plant Population Density
3.3. Evaluation of Root-Gall Index and Plant Growth
4. Discussion
5. Conclusions
Author Contributions
Funding
Informed Consent Statement
Data Availability Statement
Acknowledgments
Conflicts of Interest
References
- Perry, R.N.; Moens, M.; Starr, J.L. Root-Knot Nematodes; CABI Publishing: Wallingford, UK, 2009; p. 520. [Google Scholar]
- Eisenback, J.D.; Triantaphyllou, H.H. Root-knot nematodes: Meloidogyne species and races. In Manual of Agricultural Nematology; Nickle, W.R., Ed.; Marcell Dekker: New York, NY, USA, 1991; pp. 191–274. [Google Scholar]
- Forghani, F.; Hajihassani, A. Recent advances in the development of environmentally benign treatments to control Root-Knot Nematodes. Front. Plant Sci. 2020, 11, 1125. [Google Scholar] [CrossRef]
- Jain, R.K.; Khan, M.R.; Kumar, V. Rice root-knot nematode (Meloidogyne graminicola) infestation in rice. Arch. Phytopathol. Plant Protect. 2012, 45, 635–645. [Google Scholar] [CrossRef]
- Rich, J.R.; Brito, J.A.; Kaur, R.; Ferrell, J.A. Weed specie s as hosts of Meloidogyne: A review. Nematropica 2009, 39, 157–185. [Google Scholar]
- Torrini, G.; Roversi, P.F.; Cesaroni, C.F.; Marianelli, L. Pest risk analysis of rice root-knot nematode (Meloidogyne graminicola) for the Italian territory. EPPO Bull. 2020, 50, 330–339. [Google Scholar] [CrossRef]
- Ente Nazionale Risi. Riso—Evoluzione di Mercato e Sue Prospettive; MIPAAFT: Roma, Italy, 12 December 2018; pp. 1–48. [Google Scholar]
- EPPO. Reporting Service (2016/211); First Report of Meloidogyne Graminicola in Italy; EPPO: Roma, Italy, 2016.
- Fanelli, E.; Cotroneo, A.; Carisio, L.; Troccoli, A.; Grosso, S.; Boero, C.; Capriglia, F.; De Luca, F. Detection and molecular characterization of the rice root-knot nematode Meloidogyne graminicola in Italy. Eur. J. Plant Pathol. 2017, 149, 467–476. [Google Scholar] [CrossRef]
- Villaverde, J.J.; Sevilla-Morán, B.; López-Goti, C.; Alonso-Prados, J.L.; Sandín-España, P. Trends in analysis of pesticide residues to fulfil the European Regulation (EC) No. 1107/2009. TrAC Trends Anal. Chem. 2016, 80, 568–580. [Google Scholar] [CrossRef]
- Sacchi, E.; Brenna, S.; Fornelli Genot, S.; Leoni, A.; Sale, V.M.; Setti, M. Potentially Toxic Elements (PTEs) in Cultivated Soils from Lombardy (Northern Italy): Spatial Distribution, Origin, and Management Implications. Minerals 2020, 10, 298. [Google Scholar] [CrossRef]
- Sikora, R.A.; Bridge, J.; Starr, J.L. Management practices: An overview of integrated nematode management technologies. In Plant Parasitic Nematodes in Subtropical and Tropical Agriculture; Luc, M., Sikora, R.A., Bridge, J., Eds.; CABI. Publishing: Wallingford, UK, 2005; pp. 793–825. [Google Scholar]
- Shelton, A.M.; Badenes-Perez, F.R. Concepts and applications of trap cropping in pest management. Annu. Rev. Entomol. 2006, 51, 285–308. [Google Scholar] [CrossRef] [PubMed]
- Köppen, W. Das geographische System der Klimate. Handb. Klimatol. 1936, 1–44. [Google Scholar]
- Losan Database—ERSAF Regione Lombardia. Available online: http://losan.ersaflombardia.it (accessed on 20 July 2020).
- Bridge, J.; Page, S.L.J. Estimation of Root-knot Nematode Infestation Levels on Roots Using a Rating Chart. Trop. Pest Manag. 1980, 26, 296–298. [Google Scholar] [CrossRef]
- Lancashire, P.D.; Bleiholder, H.; Boom, T.V.D.; Langelüddeke, P.; Stauss, R.; Weber, E.; Witzenberger, A. A uniform decimal code for growth stages of crops and weeds. Ann. Appl. Biol. 1991, 119, 561–601. [Google Scholar]
- Byrd Jr, D.W.; Ferris, H.; Nusbaum, C.J. A method for estimating numbers of eggs of Meloidogyne spp. in soil. J. Nematol. 1972, 4, 266–269. [Google Scholar]
- Coolen, W.A. Methods for extraction of Meloidogyne spp. and other nematodes from roots and soil in Root-knot nematodes (Meloidogyne species). In Systematics, Biology, and Control; Lamberti, F., Taylor, C.E., Eds.; Academic Press: New York, NY, USA, 1979; pp. 317–329. [Google Scholar]
- Cohen, J. Statistical Power Analysis for the Behavioural Sicences; Academic Press: New York, NY, USA, 1969. [Google Scholar]
- IBM Corp. Released 2011. IBM SPSS Statistics for Windows; Version 20.0; IBM Corp.: Armonk, NY, USA, 2011. [Google Scholar]
- Hammer, Ø.; Harper, D.A.T.; Ryan, P.D. PAST: Paleontological Statistics Software Package for Education and Data Analysis. Palaeontol. Electron. 2001, 4, 1–9. [Google Scholar]
- Hokkanen, H.T. Trap cropping in pest management. Annu. Rev. Entomol. 1991, 36, 119–138. [Google Scholar]
- Scholte, K.; Vos, J. Effects of potential trap crops and planting date on soil infestation with potato cyst nematodes and root-knot nematodes. Ann. Appl. Biol. 2000, 137, 153–164. [Google Scholar]
- Chen, S.Y.; Porter, P.M.; Reese, C.D.; Klossner, L.D.; Stienstra, W.C. Evaluation of pea and soybean as trap crops for managing Heterodera glycines. J. Nematol. 2001, 33, 214–218. [Google Scholar] [PubMed]
- Dias, M.C.; Conceição, L.; Abrantes, I.; Cunha, M.J. Solanum sisymbriifolium—A new approach for the management of plant-parasitic nematodes. Eur. J. Plant Pathol. 2012, 133, 171–179. [Google Scholar]
- Xu, A.; Melakeberhan, H.; Mennan, S.; Kravchenko, A.; Riga, E. Potential use of arugula (Eruca sativa L.) as a trap crop for Meloidogyne hapla. Nematology 2006, 8, 793–799. [Google Scholar]
- Haque, S.M.A.; Mosaddeque, H.Q.M.; Sultana, K.; Islam, M.N.; Rahman, M.L. Effect of different trap crops against root knot nematode disease of jute. JIDS 2008, 2, 42–47. [Google Scholar]
- Vestergård, M. Trap crop for Meloidogyne hapla management and its integration with supplementary strategies. Appl. Soil Ecol. 2019, 134, 105–110. [Google Scholar]
- Reddy, P.P. Trap cropping. In Agro-Ecological Approaches to Pest Management for Sustainable Agriculture; Reddy, P.P., Ed.; Springer: Singapore, 2017; pp. 133–147. [Google Scholar]
- Ravindra, H.; Sehgal, M.; Narasimhamurthy, H.B.; Jayalakshmi, K.; Khan, H.I. Rice Root-Knot Nematode (Meloidogyne graminicola) an Emerging Problem. Int. J. Curr. Microbiol. App. Sci. 2017, 6, 3143–3171. [Google Scholar] [CrossRef]
- Dabur, K.R.; Taya, A.S.; Bajaj, H.K. Life cycle of Meloidogyne graminicola on paddy and its host range studies. Indian J. Nematol. 2004, 34, 80–84. [Google Scholar]
- Narasimhamurthy, H.B.; Ravindra, H.; Mukesh Sehgal, R.N.; Suresha, D. Biology and life cycle of rice root-knot nematode (Meloidogyne graminicola). J. Entomol. Zool. 2018, 6, 477–479. [Google Scholar]





| Time | Pairwise Comparisons | p |
|---|---|---|
| T0 | C vs. U | 0.698 |
| T0 | C vs. T | 0.603 |
| T0 | U vs. T | 0.350 |
| T1 | C vs. U | 0.769 |
| T1 | C vs. T | 0.002 |
| T1 | U vs. T | 0.001 |
Publisher’s Note: MDPI stays neutral with regard to jurisdictional claims in published maps and institutional affiliations. |
© 2021 by the authors. Licensee MDPI, Basel, Switzerland. This article is an open access article distributed under the terms and conditions of the Creative Commons Attribution (CC BY) license (http://creativecommons.org/licenses/by/4.0/).
Share and Cite
Sacchi, S.; Torrini, G.; Marianelli, L.; Mazza, G.; Fumagalli, A.; Cavagna, B.; Ciampitti, M.; Roversi, P.F. Control of Meloidogyne graminicola a Root-Knot Nematode Using Rice Plants as Trap Crops: Preliminary Results. Agriculture 2021, 11, 37. https://doi.org/10.3390/agriculture11010037
Sacchi S, Torrini G, Marianelli L, Mazza G, Fumagalli A, Cavagna B, Ciampitti M, Roversi PF. Control of Meloidogyne graminicola a Root-Knot Nematode Using Rice Plants as Trap Crops: Preliminary Results. Agriculture. 2021; 11(1):37. https://doi.org/10.3390/agriculture11010037
Chicago/Turabian StyleSacchi, Stefano, Giulia Torrini, Leonardo Marianelli, Giuseppe Mazza, Annachiara Fumagalli, Beniamino Cavagna, Mariangela Ciampitti, and Pio Federico Roversi. 2021. "Control of Meloidogyne graminicola a Root-Knot Nematode Using Rice Plants as Trap Crops: Preliminary Results" Agriculture 11, no. 1: 37. https://doi.org/10.3390/agriculture11010037
APA StyleSacchi, S., Torrini, G., Marianelli, L., Mazza, G., Fumagalli, A., Cavagna, B., Ciampitti, M., & Roversi, P. F. (2021). Control of Meloidogyne graminicola a Root-Knot Nematode Using Rice Plants as Trap Crops: Preliminary Results. Agriculture, 11(1), 37. https://doi.org/10.3390/agriculture11010037

