Comparative Study on Leaf Gas Exchange, Growth, Grain Yield, and Water Use Efficiency under Irrigation Regimes for Two Maize Hybrids
Abstract
1. Introduction
2. Material and Methods
2.1. Experimental Site, Conditions, and Cultivars
2.2. Experimental Design, Treatments and Crop Management
2.3. Data Collection
2.3.1. Soil Moisture Contents
2.3.2. Phenology
2.3.3. Leaf Chlorophyll Content (Soil Plant Analysis Development (SPAD))
2.3.4. Photosynthetic Attributes
2.3.5. Plant Dry Biomass
2.3.6. Physiological Maturity
2.3.7. Yield and Yield Components
2.3.8. Water Use Efficiency (WUE) and Harvest Index (%)
2.4. Data Analysis
3. Results
3.1. Soil Moisture
3.2. Maize Phenology
3.3. Leaf Chlorophyll Contents
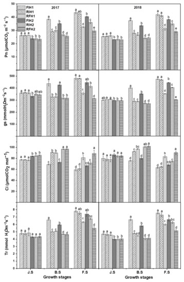
3.4. Leaf Photosynthetic Attributes
3.5. Dry Matter Accumulation
3.6. Yield, Yield Components, and Harvest Index
3.7. Water Use Efficiency
4. Discussion
5. Conclusions
Author Contributions
Funding
Conflicts of Interest
References
- Lobell, D.B.; Baldos, U.L.C.; Hertel, T.W. Climate adaptation as mitigation: The case of agricultural investments. Environ. Res. Lett. 2013, 8, 015012. [Google Scholar] [CrossRef]
- Pourdad, S.; Beg, A. Safflower: A suitable oilseed crop for dry-land areas of Iran. In Proceedings of the 7th International Conference on Development of Dry Lands, Tehran, Iran, 14–17 September 2003. [Google Scholar]
- Li, D.; Qi, H.; Ma, X. The climate index and assessment about drought and flood in maize’s key growth stage in Huaibei Plain in Anhui Province. Chin. Agric. Sci. Bull. 2013, 29, 208–216. [Google Scholar]
- Wu, F.; Guclu, H. Global maize trade and food security: Implications from a social network model. Risk Anai. 2013, 33, 2168–2178. [Google Scholar] [CrossRef] [PubMed]
- Liu, Y.; Li, S.; Chen, F.; Yang, S.; Chen, X. Soil water dynamics and water use efficiency in spring maize (Zea mays L.) fields subjected to different water management practices on the Loess Plateau, China. Agric. Water Manag. 2010, 97, 769–775. [Google Scholar] [CrossRef]
- CIMMYT, I. Maize-Global Alliance for Improving Food Security and the Livelihoods of the Resource-poor in the Developing World; CIMMYT: Mexico City, Mexico, 2010. [Google Scholar]
- Rurinda, J.; Van Wijk, M.T.; Mapfumo, P.; Descheemaeker, K.; Supit, I.; Giller, K.E. Climate change and maize yield in southern Africa: What can farm management do? Glob. Chang. Biol. 2015, 21, 4588–4601. [Google Scholar] [CrossRef]
- Žalud, Z.; Hlavinka, P.; Prokeš, K.; Semerádová, D.; Jan, B.; Trnka, M. Impacts of water availability and drought on maize yield–A comparison of 16 indicators. Agric. Water Manag. 2017, 188, 126–135. [Google Scholar] [CrossRef]
- Pandey, R.; Maranville, J.; Admou, A. Deficit irrigation and nitrogen effects on maize in a Sahelian environment: I. Grain yield and yield components. Agric. Water Manag. 2000, 46, 1–13. [Google Scholar] [CrossRef]
- Wei, Y.; Jin, J.; Jiang, S.; Ning, S.; Cui, Y.; Zhou, Y. Simulated assessment of summer maize drought loss sensitivity in Huaibei Plain, China. Agronomy 2019, 9, 78. [Google Scholar] [CrossRef]
- Farooq, M.; Wahid, A.; Kobayashi, N.; Fujita, D.; Basra, S. Plant drought stress: Effects, mechanisms and management. In Sustain AGR; Springer: Berlin/Heidelberg, Germany, 2009; pp. 153–188. [Google Scholar]
- Ge, T.; Sui, F.; Bai, L.; Tong, C.; Sun, N. Effects of water stress on growth, biomass partitioning, and water-use efficiency in summer maize (Zea mays L.) throughout the growth cycle. Acta Physiol. Plant. 2012, 34, 1043–1053. [Google Scholar] [CrossRef]
- Çakir, R. Effect of water stress at different development stages on vegetative and reproductive growth of corn. Field Crop. Res. 2004, 89, 1–16. [Google Scholar] [CrossRef]
- Farre, I.; Faci, J.M. Comparative response of maize (Zea mays L.) and sorghum (Sorghum bicolor L. Moench) to deficit irrigation in a Mediterranean environment. Agric. Water Manag. 2006, 83, 135–143. [Google Scholar] [CrossRef]
- Panda, R.; Behera, S.; Kashyap, P. Effective management of irrigation water for maize under stressed conditions. Agric. Water Manag. 2004, 66, 181–203. [Google Scholar] [CrossRef]
- Otegui, M.E.; Andrade, F.H. New relationships between light interception, ear growth, and kernel set in maize. Physiol. Model. Kernel Set Maize 2000, 29, 89–102. [Google Scholar]
- Claasen, M.; Shaw, R. Water deficit effects on corn. II. Grain components. Agron. J. 1970, 62, 652–655. [Google Scholar] [CrossRef]
- NeSmith, D.; Ritchie, J. Short-and long-term responses of corn to a pre-anthesis soil water deficit. Agron. J. 1992, 84, 107–113. [Google Scholar] [CrossRef]
- Aguilar, M.; Muñoz, F.B.; Espinosa, M. Agronomic response of maize to limited levels of water under furrow irrigation in southern Spain. Span. J. Agric. Res. 2007, 5, 587–592. [Google Scholar] [CrossRef]
- Li, W.; Qiao, Y.; Chen, H.; Cao, C.; Du, S.; Zhao, Z. Effects of combined straw and N application on the physicochemical properties of lime concretion black soil and crop yields. Acta. Ecol. Sin. 2014, 34, 5052–5061. [Google Scholar]
- Wang, T.-C.; Wei, L.; Wang, H.-Z.; Ma, S.-C.; Ma, B. Responses of rainwater conservation, precipitation-use efficiency and grain yield of summer maize to a furrow-planting and straw-mulching system in northern China. Field Crop. Res. 2011, 124, 223–230. [Google Scholar] [CrossRef]
- Wang, D.; Mu, Y.; Hu, X.; Ma, B.; Wang, Z.; Zhu, L.; Xu, J.; Huang, C.; Pan, Y.; Comparative proteomic analysis reveals that the heterosis of two maize hybrids related to enhancement of stress response and photosynthesis respectively. Research Square. 2020. Available online: https://www.researchsquare.com/article/rs-29700/v1 (accessed on 11 August 2020).
- Shah, A.N.; Yang, G.; Tanveer, M.; Iqbal, J. Leaf gas exchange, source–sink relationship, and growth response of cotton to the interactive effects of nitrogen rate and planting density. Acta. Physiol. Plant. 2017, 39, 119. [Google Scholar] [CrossRef]
- Dray, F.A.; Center, T.D.; Mattison, E.D. In situ estimates of waterhyacinth leaf tissue nitrogen using a SPAD-502 chlorophyll meter. Aquat. Bot. 2012, 100, 72–75. [Google Scholar] [CrossRef]
- Daynard, T.; Duncan, W.G. The Black Layer and Grain Maturity in Corn 1. Crop. Sci. 1969, 9, 473–476. [Google Scholar] [CrossRef]
- Amanullah; Inamullah. Dry Matter Partitioning and Harvest Index Differ in Rice Genotypes with Variable Rates of Phosphorus and Zinc Nutrition. Rice Sci. 2016, 23, 78–87. [Google Scholar] [CrossRef]
- Al-Naggar, A.; Soliman, S.; Hashimi, M. Tolerance to drought at flowering stage of 28 maize hybrids and populations. Egypt. J. Plant Breed 2011, 15, 69–87. [Google Scholar]
- Li, Y.; Tao, H.; Zhang, B.; Huang, S.; Wang, P. Timing of water deficit limits maize kernel setting in association with changes in the source-flow-sink relationship. Front. Plant Sci. 2018, 9, 1326. [Google Scholar] [CrossRef]
- Chapman, S.C.; Crossa, J.; Edmeades, G.O. Genotype by environment effects and selection for drought tolerance in tropical maize. I. Two mode pattern analysis of yield. Euphytica 1997, 95, 01–09. [Google Scholar] [CrossRef]
- Denmead, O.; Shaw, R.H. The Effects of Soil Moisture Stress at Different Stages of Growth on the Development and Yield of Corn 1. Agron. J. 1960, 52, 272–274. [Google Scholar] [CrossRef]
- Sah, R.; Chakraborty, M.; Prasad, K.; Pandit, M.; Tudu, V.; Chakravarty, M.; Narayan, S.; Rana, M.; Moharana, D. Impact of water deficit stress in maize: Phenology and yield components. Sci. Rep. 2020, 10, 2944. [Google Scholar] [CrossRef]
- Prochazkova, D.; Sairam, R.; Srivastava, G.; Singh, D. Oxidative stress and antioxidant activity as the basis of senescence in maize leaves. Plant Sci. 2001, 161, 765–771. [Google Scholar] [CrossRef]
- Atteya, A. Alteration of water relations and yield of corn genotypes in response to drought stress. Bulg. J. Plant Physiol. 2003, 29, 63–76. [Google Scholar]
- Setter, T.L.; Flannigan, B.A.; Melkonian, J. Loss of kernel set due to water deficit and shade in maize. Crop. Sci. 2001, 41, 1530–1540. [Google Scholar] [CrossRef]
- Keating, B.A.; Carberry, P.S.; Hammer, G.L.; Probert, M.E.; Robertson, M.J.; Holzworth, D.; Huth, N.I.; Hargreaves, J.N.; Meinke, H.; Hochman, Z. An overview of APSIM, a model designed for farming systems simulation. Eur. J. Agron. 2003, 18, 267–288. [Google Scholar] [CrossRef]
- Song, Y.; Birch, C.; Qu, S.; Doherty, A.; Hanan, J. Analysis and modelling of the effects of water stress on maize growth and yield in dryland conditions. Plant Prod. Sci. 2010, 13, 199–208. [Google Scholar] [CrossRef]
- Mounce, R.B.; O’Shaughnessy, S.A.; Blaser, B.C.; Colaizzi, P.D.; Evett, S.R. Crop response of drought-tolerant and conventional maize hybrids in a semiarid environment. Irrig. Sci. 2016, 34, 231–244. [Google Scholar] [CrossRef]
- Bolaños, J.; Edmeades, G. The importance of the anthesis-silking interval in breeding for drought tolerance in tropical maize. Field Crop. Res. 1996, 48, 65–80. [Google Scholar] [CrossRef]
- Hall, A.; Vilella, F.; Trapani, N.; Chimenti, C. The effects of water stress and genotype on the dynamics of pollen-shedding and silking in maize. Field Crop. Res. 1982, 5, 349–363. [Google Scholar] [CrossRef]
- Ribaut, J.-M.; Jiang, C.; Gonzalez-de-Leon, D.; Edmeades, G.; Hoisington, D. Identification of quantitative trait loci under drought conditions in tropical maize. 2. Yield components and marker-assisted selection strategies. Theor. Appl. Genet. 1997, 94, 887–896. [Google Scholar] [CrossRef]
- Hao, B.; Xue, Q.; Marek, T.; Jessup, K.; Hou, X.; Xu, W.; Bynum, E.; Bean, B. Radiation-use efficiency, biomass production, and grain yield in two maize hybrids differing in drought tolerance. J. Agron. Crop. Sci. 2016, 202, 269–280. [Google Scholar] [CrossRef]
- Boomsma, C.R.; Vyn, T.J. Maize drought tolerance: Potential improvements through arbuscular mycorrhizal symbiosis? Field Crop. Res. 2008, 108, 14–31. [Google Scholar] [CrossRef]
- Hao, B.; Xue, Q.; Marek, T.; Jessup, K.; Becker, J.; Hou, X.; Xu, W.; Bynum, E.; Bean, B.; Colaizzi, P. Water use and grain yield in drought-tolerant corn in the Texas High Plains. Agron. J. 2015, 107, 1922–1930. [Google Scholar] [CrossRef]
- Campos, H.; Cooper, M.; Habben, J.; Edmeades, G.; Schussler, J. Improving drought tolerance in maize: A view from industry. Field Crop. Res. 2004, 90, 19–34. [Google Scholar] [CrossRef]
- Cooper, M.; Gho, C.; Leafgren, R.; Tang, T.; Messina, C. Breeding drought-tolerant maize hybrids for the US corn-belt: Discovery to product. J. Exp. Bot. 2014, 65, 6191–6204. [Google Scholar] [CrossRef] [PubMed]
- Aydinsakir, K.; Erdal, S.; Buyuktas, D.; Bastug, R.; Toker, R. The influence of regular deficit irrigation applications on water use, yield, and quality components of two corn (Zea mays L.) genotypes. Agric. Water Manag. 2013, 128, 65–71. [Google Scholar] [CrossRef]
- Ali, Q.; Ahsan, M.; Kanwal, N.; Ali, F.; Ali, A.; Ahmed, W.; Ishfaq, M.; Saleem, M. Screening for drought tolerance: Comparison of maize hybrids under water deficit condition. Adv. Life Sci. 2016, 3, 51–58. [Google Scholar]
- Avramova, V.; Nagel, K.A.; AbdElgawad, H.; Bustos, D.; DuPlessis, M.; Fiorani, F.; Beemster, G.T. Screening for drought tolerance of maize hybrids by multi-scale analysis of root and shoot traits at the seedling stage. J. Exp. Bot. 2016, 67, 2453–2466. [Google Scholar] [CrossRef]
- Cano, E.; Musarella, C.M.; Cano-Ortiz, A.; Piñar Fuentes, J.C.; Rodríguez Torres, A.; Del Río González, S.; Pinto Gomes, C.J.; Quinto-Canas, R.; Spampinato, G. Geobotanical Study of the Microforests of Juniperus oxycedrus subsp. badia in the Central and Southern Iberian Peninsula. Sustainability 2019, 11, 1111. [Google Scholar] [CrossRef]



| Year | Treatments | Jointing Stage | Big Flare Stage | Flowering Stage | Initial Grain Stage | Mid Grain Stage | Harvesting Stage |
|---|---|---|---|---|---|---|---|
| 2017 | FIH1 | 9.68 ± 0.02 a | 12.54 ± 0.25 a | 13.77 ± 0.10 a | 11.11 ± 0.07 a | 23.76 ± 0.13 a | 15.83 ± 0.12 a |
| RIH1 | 9.75 ± 0.01 a | 12.52 ± 0.24 a | 10.51 ± 0.20 c | 9.55 ± 0.15 c | 22.21 ± 0.12 c | 14.52 ± 0.19 c | |
| RFH1 | 9.73 ± 0.02 a | 12.35 ± 0.18 a | 10.35 ± 0.04 cd | 8.63 ± 0.06 e | 20.66 ± 0.22 e | 13.04 ± 0.10 e | |
| FIH2 | 9.23 ± 0.03 b | 11.58 ± 0.07 b | 13.18 ± 0.02 b | 10.52 ± 0.18 b | 22.91 ± 0.18 b | 15.25 ± 0.21 b | |
| RIH2 | 9.32 ± 0.12 b | 11.67 ± 0.08 b | 10.18 ± 0.15 d | 9.05 ± 0.05 d | 21.43 ± 0.20 d | 13.94 ± 0.07 d | |
| RFH2 | 9.27 ± 0.03 b | 11.64 ± 0.23 b | 10.33 ± 0.03 cd | 8.03 ± 0.12 f | 19.90 ± 0.22 f | 12.62 ± 0.07 e | |
| 2018 | FIH1 | 10.50 ± 0.08 a | 11.66 ± 0.06 a | 12.52 ± 0.10 a | 10.92 ± 0.07 a | 25.49 ± 0.08 a | 15.59 ± 0.07 a |
| RIH1 | 10.44 ± 0.06 a | 11.49 ± 0.13 a | 9.62 ± 0.13 cd | 9.63 ± 0.08 c | 23.90 ± 0.07 c | 14.22 ± 0.06 b | |
| RFH1 | 10.49 ± 0.09 a | 11.48 ± 0.08 a | 9.67 ± 0.06 c | 8.40 ± 0.08 e | 21.66 ± 0.28 d | 12.85 ± 0.04 c | |
| FIH2 | 10.40 ± 0.11 a | 11.74 ± 0.10 a | 12.01 ± 0.06 b | 10.52 ± 0.18 b | 25.01 ± 0.13 b | 15.33 ± 0.12 a | |
| RIH2 | 10.36 ± 0.02 a | 11.81 ± 0.04 a | 9.29 ± 0.03 d | 9.34 ± 0.05 d | 23.77 ± 0.07 c | 14.16 ± 0.09 b | |
| RFH2 | 10.35 ± 0.05 a | 11.64 ± 0.23 a | 9.44 ± 0.17 cd | 7.91 ± 0.03 f | 21.33 ± 0.13 d | 12.57 ± 0.04 c |
| Growing Period (days) | |||||||
|---|---|---|---|---|---|---|---|
| Year | Treatments | Jointing Stage | Big Flare Stage | Anthesis Stage | Initial Grain Stage | Mid Grain Stage | Physiological Maturity |
| 2017 | FIH1 | 28.27 a | 42.80 a | 62.55 b | 76.01 a | 89.62 a | 114.14 ab |
| RIH1 | 28.15 a | 43.04 a | 62.83 ab | 75.99 a | 88.20 a | 113.64 ab | |
| RFH1 | 28.11 a | 43.03 a | 64.05 ab | 75.04 ab | 85.34 a | 110.77 cd | |
| FIH2 | 28.43 a | 42.83 a | 62.65 ab | 76.03 a | 89.60 b | 115.36 a | |
| RIH2 | 28.14 a | 43.03 a | 63.32 ab | 75.52 ab | 86.07 b | 112.57 bc | |
| RFH2 | 28.17 a | 43.06 a | 64.49 b | 73.70 b | 84.66 b | 109.00 d | |
| 2018 | FIH1 | 27.09 a | 41.10 a | 60.14 c | 73.18 ab | 86.22 a | 110.18 ab |
| RIH1 | 27.03 a | 41.32 a | 60.39 c | 73.05 ab | 85.18 b | 109.13 b | |
| RFH1 | 27.08 a | 41.34 a | 62.27 ab | 72.02 c | 82.96 c | 107.29 c | |
| FIH2 | 27.15 a | 41.15 a | 60.19 c | 73.4 a | 86.38 a | 111.00 a | |
| RIH2 | 27.13 a | 41.36 a | 61.09 bc | 72.97 b | 83.40 c | 108.95 b | |
| RFH2 | 27.11 a | 41.38 a | 63.12 a | 70.2 d | 82.14 d | 106.28 b | |
| Year | Treatments | Jointing Stage | Big flare Stage | Flowering Stage | Initial grain Stage | Mid grain Stage | Physiological Maturity |
|---|---|---|---|---|---|---|---|
| 2017 | Irrigations | ||||||
| FI | 1869.98 ± 94.87 a | 8011.15 ± 311.11 a | 11255.61 ± 344.45 a | 18048.36 ± 841.61 a | 22407.81 ± 1002.37 a | 23586.64 ± 880.22 a | |
| RI | 1874.33 ± 75.47 a | 6766.70 ± 344.44 b | 10311.16 ± 711.11 b | 16645.40 ± 1491.10 b | 20403.27 ± 1996.15 b | 21519.50 ± 2414.04 b | |
| RF | 1880.96 ± 88.64 a | 6644.47 ± 333.33 b | 8488.93 ± 333.34 c | 12611.67 ± 900.50 c | 15262.52 ± 1135.16 c | 15668.84 ± 885.37 c | |
| Hybrids | |||||||
| H1 | 1961.42 ± 43.61 a | 7470.40 ± 61.72 a | 10481.53 ± 187.38 a | 16846.22 ± 239.69 a | 20735.76 ± 412.80 a | 21651.55 ± 247.90 a | |
| H2 | 1788.76 ± 31.23 b | 6811.14 ± 108.42 b | 9555.60 ± 155.75 b | 14690.74 ± 245.57 b | 17979.97 ± 270.20 b | 18865.12 ± 241.80 b | |
| Interactions | |||||||
| FIH1 | 1964.86 ± 47.30 a | 8322.26 ± 67.58 a | 11600.05 ± 173.20 a | 18889.98 ± 346.22 a | 23410.17 ± 372.97 a | 24466.86 ± 315.07 a | |
| RIH1 | 1949.81 ± 37.80 a | 7111.14 ± 58.79 c | 11022.27 ± 292.07 ab | 18136.51 ± 160.04 a | 22399.42 ± 462.49 ab | 23933.55 ± 230.28 a | |
| RFH1 | 1969.60 ± 45.72 a | 6977.81 ± 58.81 c | 8822.26 ± 96.86 d | 13512.17 ± 212.82 d | 16397.68 ± 402.95 d | 16554.22 ± 198.26 d | |
| FIH2 | 1775.11 ± 39.54 b | 7700.03 ± 83.88 b | 10911.16 ± 117.58 b | 17206.75 ± 97.60 b | 21405.44 ± 219.25 b | 22706.42 ± 104.67 b | |
| RIH2 | 1798.85 ± 27.97 b | 6422.25 ± 145.72 d | 9600.04 ± 195.31 c | 15154.29 ± 270.78 c | 18407.11 ± 356.23 c | 19105.45 ± 112.39 c | |
| RFH2 | 1792.32 ± 26.19 b | 6311.14 ± 96.86 d | 8155.59 ± 154.36 e | 11711.16 ± 368.34 e | 14127.36 ± 235.13 e | 14783.47 ± 508.34 e | |
| 2018 | Irrigations | ||||||
| FI | 1816.58 ± 97.63 a | 7909.51 ± 310.67 a | 11041.72 ± 413.11 a | 17752.27 ± 725.90 a | 22161.86 ± 936.29 a | 23254.56 ± 731.55 a | |
| RI | 1828.44 ± 105.10 a | 6569.86 ± 314.91 b | 10146.52 ± 789.81 b | 16468.33 ± 1601.81 b | 20189.04 ± 1992.13 b | 21045.44 ± 2366.26 b | |
| RF | 1812.79 ± 97.77 a | 6447.13 ± 247.28 b | 8237.41 ± 348.75 c | 12261.47 ± 869.31 c | 14971.56 ± 1057.95 c | 15164.66 ± 1214.09 c | |
| Hybrids | |||||||
| H1 | 1919.44 ± 44.40 a | 7266.46 ± 64.58 a | 10325.78 ± 170.50 a | 16559.71 ± 135.50 a | 20436.28 ± 143.49 a | 21258.81 ± 241.28 a | |
| H2 | 1719.10 ± 45.42 b | 6684.54 ± 70.69 b | 9291.32 ± 144.61 b | 14428.34 ± 168.34 b | 17778.69 ± 142.90 b | 18384.25 ± 257.68 b | |
| Interactions | |||||||
| FIH1 | 1914.22 ± 34.27 a | 8220.18 ± 76.89 a | 11454.83 ± 202.31 a | 18478.17 ± 121.80 a | 23098.15 ± 144.63 a | 23986.11 ± 159.76 a | |
| RIH1 | 1933.54 ± 39.73 a | 6884.78 ± 16.36 c | 10936.33 ± 177.02 ab | 18070.14 ± 153.90 a | 22181.17 ± 153.35 a | 23411.70 ± 402.74 ab | |
| RFH1 | 1910.56 ± 29.93 a | 6694.41 ± 100.52 c | 8586.17 ± 132.17 d | 13130.78 ± 130.82 d | 16029.50 ± 132.51 d | 16378.76 ± 161.35 d | |
| FIH2 | 1718.95 ± 58.79 b | 7598.84 ± 61.81 b | 10628.60 ± 157.35 b | 17026.35 ± 249.78 b | 21225.57 ± 172.64 b | 22523.00 ± 379.39 b | |
| RIH2 | 1723.33 ± 48.67 b | 6254.94 ± 64.41 d | 9356.71 ± 197.42 c | 14866.51 ± 102.79 c | 18196.90 ± 134.44 c | 18679.18 ± 109.99 c | |
| RFH2 | 1715.02 ± 25.75 b | 6199.84 ± 85.82 d | 7888.66 ± 79.05 e | 11392.15 ± 152.45 e | 13913.60 ± 121.62 e | 13950.56 ± 283.66 e |
| Source | SOV | Cob Length | Cob Diameter | No. of Lines per cob | No. of Kernels per cob | 1000-Kernel Weight | Grain Yield | Harvest Index | Water Use Efficiency |
|---|---|---|---|---|---|---|---|---|---|
| Water (W) | 2 | 199.11 ** | 181.83 ** | 95.84 ** | 163.25 ** | 40.18 * | 1940.63 ** | 13.50 * | 847.08 ** |
| Hybrid (H) | 1 | 53.75 ** | 19.22 ** | 437.85 ** | 148.07 ** | 15.79 * | 267.76 ** | 50.50 ** | 244.06 ** |
| W×H | 2 | 0.53 | 0.23 | 23.01 ** | 7.35 * | 0.22 | 50.49 ** | 11.18 * | 49.36 ** |
| Year (Y) | 1 | 190.63 ** | 643.06 ** | 15.85 ** | 7.86 * | 18.04 ** | 57.15 ** | 0.85 * | 6.01 * |
| Y×W | 2 | 0.27 | 0.30 | 0.84 | 2.42 | 0.46 | 2.06 | 1.11 | 2.56 |
| Y×H | 1 | 0.34 | 0.32 | 0.52 | 0.59 | 2.06 | 0.02 | 0.62 | 0.48 |
| Y×W×H | 2 | 0.14 | 0.21 | 0.69 | 0.30 | 0.09 | 0.18 | 0.46 | 0.36 |
| Year | Treatments | No. of Kernel cob−1 | 1000-Kernel Weight (g) | Grain Yield (kg ha−1) | WUE (kg ha−1 mm−1) | Harvest Index (%) |
|---|---|---|---|---|---|---|
| 2017 | Irrigations | |||||
| FI | 522.97 ± 25.91 a | 333.86 ± 2.76 a | 11950.68 ± 337.67 a | 15.92 ± 0.45 b | 54.08 ± 0.33 b | |
| RI | 510.51 ± 31.91 a | 324.72 ± 4.97 a | 11085.28 ± 928.13 b | 17.58 ± 1.47 a | 55.12 ± 1.62 ab | |
| RF | 421.40 ± 18.15 b | 302.36 ± 4.18 b | 8465.61 ± 251.32 c | 14.72 ± 0.43 c | 57.42 ± 1.21 a | |
| Hybrids | ||||||
| H1 | 510.28 ± 11.53 a | 324.29 ± 4.21 a | 11006.23 ± 116.11 a | 16.86 ± 0.18 a | 54.48 ± 0.46 a | |
| H2 | 459.64 ± 8.62 b | 316.34 ± 6.11 b | 9994.81 ± 108.11 b | 15.29 ± 0.17 b | 56.61 ± 1.22 a | |
| Interactions | ||||||
| FIH1 | 548.87 ± 10.94 a | 336.62 ±2.98 a | 12288.28 ± 96.45 a | 16.38 ± 0.13 b | 53.74 ± 0.27 b | |
| RIH1 | 542.42 ± 9.28 a | 329.07 ± 5.01 a | 12013.42 ± 98.44 a | 19.06 ± 0.16 a | 53.49 ± 0.68 b | |
| RFH1 | 439.66 ± 14.29 c | 306.55 ± 4.64 b | 8716.93 ± 153.44 d | 15.15 ± 0.27 c | 56.21 ± 0.42 ab | |
| FIH2 | 497.07 ± 8.61 b | 331.10 ± 6.70 a | 11613.02 ± 57.97 b | 15.48 ± 0.08 c | 54.42 ± 0.40 b | |
| RIH2 | 478.33 ± 12.74 bc | 319.74 ± 2.09 ab | 10157.14 ± 161.29 c | 16.12 ± 0.26 b | 56.75 ± 0.74 ab | |
| RFH2 | 402.66 ± 4.63 d | 298.17 ± 9.41 b | 8214.23 ± 104.99 e | 14.29 ± 0.18 d | 58.63 ± 2.53 a | |
| 2018 | Irrigations | |||||
| FI | 521.88 ± 18.11 a | 319.67 ± 7.15 a | 11651.35 ± 300.33 a | 16.31 ± 0.42 b | 53.22 ± 0.11 b | |
| RI | 496.14 ± 33.47 b | 315.86 ± 9.34 b | 10672.74 ± 974.26 b | 17.96 ± 1.63 a | 54.12 ± 1.21 ab | |
| RF | 391.21 ± 11.79 c | 293.16 ± 6.31 c | 7884.61 ± 266.98 c | 14.65 ± 0.49 c | 55.32 ± 2.24 a | |
| Hybrids | ||||||
| H1 | 490.85 ± 6.91 a | 317.17 ± 3.67 a | 10583.43 ± 130.15 a | 17.16 ± 0.21 a | 53.13 ± 0.91 b | |
| H2 | 448.62 ± 7.26 b | 301.96 ± 2.99 b | 9555.71 ± 112.11 b | 14.45 ± 0.17 b | 55.37 ± 0.91 a | |
| Interactions | ||||||
| FIH1 | 539.95 ± 3.45 a | 326.84 ± 4.03 a | 11951.69 ± 194.09 a | 16.74 ± 0.27 b | 53.32 ± 0.66 b | |
| RIH1 | 529.62 ± 7.71 a | 325.21 ± 3.27 a | 11647.34 ± 70.51 ab | 19.60 ± 0.12 a | 52.99 ± 1.34 b | |
| RFH1 | 403.00 ± 9.29 d | 299.48 ± 3.40 cd | 8151.60 ± 125.86 d | 15.14 ± 0.23 d | 53.07 ± 0.70 b | |
| FIH2 | 503.81 ± 6.58 b | 312.50 ± 1.50 ab | 11351.02 ± 161.20 b | 15.90 ± 0.23 c | 53.12 ± 0.93 b | |
| RIH2 | 462.67 ± 10.33 c | 306.52 ± 4.35 bc | 9698.48 ± 72.21 c | 16.32 ± 0.12 bc | 55.43 ± 0.29 ab | |
| RFH2 | 379.40 ± 4.89 e | 286.85 ± 4.14 d | 7617.62 ± 102.71 e | 14.16 ± 0.19 e | 57.57 ± 1.56 a |
© 2020 by the authors. Licensee MDPI, Basel, Switzerland. This article is an open access article distributed under the terms and conditions of the Creative Commons Attribution (CC BY) license (http://creativecommons.org/licenses/by/4.0/).
Share and Cite
Ahmad, M.I.; Shah, A.N.; Sun, J.; Song, Y. Comparative Study on Leaf Gas Exchange, Growth, Grain Yield, and Water Use Efficiency under Irrigation Regimes for Two Maize Hybrids. Agriculture 2020, 10, 369. https://doi.org/10.3390/agriculture10090369
Ahmad MI, Shah AN, Sun J, Song Y. Comparative Study on Leaf Gas Exchange, Growth, Grain Yield, and Water Use Efficiency under Irrigation Regimes for Two Maize Hybrids. Agriculture. 2020; 10(9):369. https://doi.org/10.3390/agriculture10090369
Chicago/Turabian StyleAhmad, Muhammad Irfan, Adnan Noor Shah, Jianqiang Sun, and Youhong Song. 2020. "Comparative Study on Leaf Gas Exchange, Growth, Grain Yield, and Water Use Efficiency under Irrigation Regimes for Two Maize Hybrids" Agriculture 10, no. 9: 369. https://doi.org/10.3390/agriculture10090369
APA StyleAhmad, M. I., Shah, A. N., Sun, J., & Song, Y. (2020). Comparative Study on Leaf Gas Exchange, Growth, Grain Yield, and Water Use Efficiency under Irrigation Regimes for Two Maize Hybrids. Agriculture, 10(9), 369. https://doi.org/10.3390/agriculture10090369

