Advanced Data Analysis as a Tool for Net Blotch Density Estimation in Spring Barley
Abstract
1. Introduction
2. Materials and Methods
- place of observation,
- date of observation,
- rainfall per day [mm], R,
- average temperature per day, Tav [°C],
- daily minimum temperature, Tmin [°C], and
- daily maximum temperature, Tmax [°C].
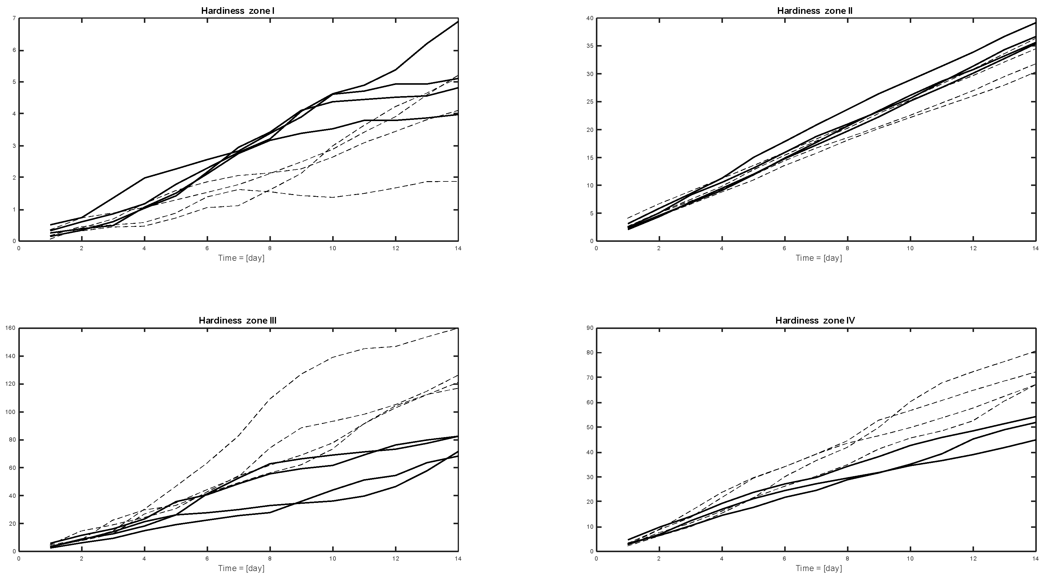
3. Results and Discussion
4. Conclusions
Author Contributions
Funding
Conflicts of Interest
Appendix A: The Data Used
| Weather Data, listed by Hardiness Zones and Net Blotch Density | |||
| Hardiness zone I, net blotch density <0.5% | Hardiness zone II, net blotch density <0.5% | Hardiness zone III, net blotch density <0.5% | Hardiness zone IV, net blotch density <0.5% |
| 1994 | 1993 | 1994 | 1992 |
| 1999 | 1994 | 2000 | 1993 |
| 2000 | 1999 | 2005 | 1994 |
| 2004 | 2006 | 2007 | |
| Hardiness zone I, net blotch density 0.6–5.0% | Hardiness zone II, net blotch density 0.6–5.0% | Hardiness zone III, net blotch density 0.6–5.0% | Hardiness zone IV, net blotch density 0.6–5.0% |
| 2002 | 2003 | 2004 | 1991 |
| 2005 | 2004 | 2006 | 2007 |
| 2007 | 2005 | 2011 | 2009 |
| 2011 | 2013 | 2013 | 2010 |
| Hardiness zone I, net blotch density >5.1% | Hardiness zone II, net blotch density >5.1% | Hardiness zone III, net blotch density >5.1% | Hardiness zone IV, net blotch density >5.1% |
| 2009 | 2014 | 2002 | 2012 |
| 2013 | 2015 | 2003 | 2013 |
| 2014 | 2016 | 2008 | 2014 |
| 2016 | 2017 | 2016 | 2015 |
| Validation | |||
| Hardiness zone I, net blotch density >5.1% | Hardiness zone II, net blotch density >5.1% | Hardiness zone III, net blotch density >5.1% | Hardiness zone IV, net blotch density >5.1% |
| 1998 | 1996 | 2009 | 1999 |
| 2008 | 1998 | 2000 | |
References
- FAO. FAOSTAT. 2016. Available online: http://www.fao.org/faostat/en/ (accessed on 13 July 2019).
- Murray, G.M.; Brennan, J.P. Estimating disease losses to the Australian barley industry. Australas. Plant Pathol. 2010, 39, 85–96. [Google Scholar] [CrossRef]
- Jalli, M.; Laitinen, P.; Latvala, S. The emergence of cereal fungal diseases and the incidence of leaf spot diseases in Finland. Agric. Food Sci. 2011, 20, 62–73. [Google Scholar] [CrossRef]
- Berg, C.G.J.; van den Rossnagel, B.G. Effects of temperature and leaf wetness period on conidium germination and infection of barley by Pyrenophora teres. Can. J. Plant Pathol. 1990, 12, 263–266. [Google Scholar] [CrossRef]
- Martin, A.R.; Clough, K.S. Relationship of airborne load of Pyrenophora teres and weather variables to net blotch development on barley. Can. J. Plant Pathol. 1984, 6, 105–110. [Google Scholar] [CrossRef]
- Jalli, M. The Virulence of Finnish Pyrenophora Teres f. Teres Isolates and Its Implications for Resistance Breeding. MTT Science 9. Ph.D. Thesis, Helsinki University, Helsinki, Finland, 2010. [Google Scholar]
- European Union. Directive 2009/128/EC of the European Parliament and the Council of 21 October 2009: Establishing a Framework for Community Action to Achieve the Sustainable use of Pesticides; Official Journal of the European Union L: Brussels, Belgium, 2009; Volume 309, pp. 71–86. [Google Scholar]
- Abdullah, A.; Brobst, S.; Pervaiz, I.; Umer, M.; Nisar, A.; Learning dynamics of pesticide abuse through data mining. In: Proceedings of the Second Workshop on Australasian Information Security, Data Mining and Web Intelligence, and Software Internationalization. ACSW Front. 2004, 32, 151–156. [Google Scholar]
- Hardwick, N.V. Disease Forecasting. The Epidemiology of Plant Diseases, 2nd ed.; Springer: Dordrecht, The Netherlands, 2006; pp. 239–267. [Google Scholar]
- Kerr, A.; Keane, P. Prediction of disease outbreaks. In Plant Pathogens and Plant Diseases; Brown, J.F., Ogle, H.J., Eds.; Rockvale Publications: Armidale, Australia, 1997; pp. 299–313. [Google Scholar]
- Sentelhas, P.C.; Gillespie, T.J.; Gleason, M.L.; Monteiro, J.E.B.A.; Helland, S.T. Operational exposure of leaf wetness sensors. Agric. For. Meteorol. 2004, 126, 59–72. [Google Scholar] [CrossRef]
- Kim, K.S.; Taylor, S.E.; Gleason, M.L.; Koehler, K.J. Model to enhance site-specific estimation of leaf wetness duration. Plant Dis. 2002, 86, 179–185. [Google Scholar] [CrossRef]
- Sentelhas, P.C.; Gillespie, T.J.; Gleason, M.L.; Monteiro, J.E.B.M.; Pezzopane, J.R.M.; Pedro, M.J., Jr. Evaluation of a Penman–Monteith approach to provide ‘‘reference’’ and crop canopy leaf wetness duration estimates. Agric. For. Meteorol. 2006, 141, 105–117. [Google Scholar] [CrossRef]
- Rowlandson, T.L.; Gillespie, T.J.; Ford, R.P. Application of Canadian weather radar data to plant disease management schemes in southern Ontario. Atmos. Ocean 2009, 47, 154–159. [Google Scholar] [CrossRef]
- Bhor, S.; Kotian, S.; Shetty, A.; Sawant, P. Developing An Agricultural Web Portal For Crop Disease Prediction Using Data Mining Techniques. Int. J. Recent Sci. Res. 2017, 8, 15507–15509. [Google Scholar]
- Torres-Avilés, F.; Romeo, J.S.; López-Kleine, L. Data mining and influential analysis of gene expression data for plant resistance gene identification in tomato (Solanum lycopersicum). Electron. J. Biotechnol. 2014, 17, 79–82. [Google Scholar] [CrossRef][Green Version]
- Meirelles, W.C.L.; Zárate, L.E. Data mining in the reduction of the number of places of experiments for plant cultivates. Comput. Electron. Agric. 2015, 113, 136–147. [Google Scholar] [CrossRef]
- Ureta, C.; González-Salazara, C.; Gonzálezc, E.J.; Álvarez-Buyllad, E.R.; Martínez-Meyera, E. Environmental and social factors account for Mexican maize richness and distribution: A data mining approach. Agric. Ecosyst. Environ. 2013, 179, 25–34. [Google Scholar] [CrossRef]
- Papageorgiou, E.I.; Markinos, A.T.; Gemtos, T.A. Fuzzy cognitive map based approach for predicting yield in cotton crop production as a basis for decision support system in precision agriculture application. Appl. Soft Comput. 2011, 11, 3643–3657. [Google Scholar] [CrossRef]
- Ma, C.; Zhang, H.H.; Wang, X. Machine learning for Big Data analytics in plants. Trends Plant Sci. 2014, 19, 798–808. [Google Scholar] [CrossRef]
- Tien, J.M. Big Data: Unleashing information. J. Syst. Sci. Syst. Eng. 2013, 22, 127–151. [Google Scholar] [CrossRef]
- Bregaglio, S.; Donatelli, M. A set of software components for the simulation of plant airborne diseases. Environ. Model. Softw. 2015, 72, 426–444. [Google Scholar] [CrossRef]
- Wang, G.; Sun, Y.; Wang, J. Automatic Image-Based Plant Disease Severity Estimation Using Deep Learning. Comput. Intell. Neurosci. 2017, 2017, 2917536. [Google Scholar] [CrossRef]
- Fuentes, A.; Yoon, S.; Kim, S.C.; Park, D.S. A Robust Deep-Learning-Based Detector for Real-Time Tomato Plant Diseases and Pests Recognition. Sensors 2017, 17, 2022. [Google Scholar] [CrossRef]
- Kangas, A.; Laine, A.; Niskanen, M.; Salo, Y.; Vuorinen, M.; Jauhiainen, L.; Nikander, H. Results of Official Variety Trials 1997–2005; MTT: N Selvityksia 83. Kasvintuotanto; MTT: Jokioinen, Finland, 2005; p. 192. ISBN 951-729-934-6. (In English) [Google Scholar]
- Searle, S.R. Linear Models for Unbalanced Data; John Wiley & sons: New York, NY, USA, 2008. [Google Scholar]
- Saari, E.E.; Prescott, M. A scale for appraising the foliar intensity of wheat diseases. Plant Dis. Rep. 1975, 59, 377–379. [Google Scholar]
- Honkola, M.-L.; Kukkurainen, N.; Saukkonen, L.; Petäjä, A.; Karasjärvi, J.; Riihisaari, T.; Tervo, R.; Visa, M.; Hyrkkänen, J.; Ruuhela, R. The Finnish Meteorological Institute–Final Report for the Open Data Project. Finnish Meteorological Institute Reports, 2013; No 2013:6, 26p. Finnish Meteorological Institute (FMI) Web Page. Available online: https://en.ilmatieteenlaitos.fi/open-data (accessed on 20 October 2015).
- Dash, M.; Liu, H. Feature selection for classification. Intell. Data Anal. 1997, 1, 131–156. [Google Scholar] [CrossRef]
- Blum, A.L.; Langley, P. Selection of relevant features and examples in machine learning. Artif. Intell. 1997, 97, 245–271. [Google Scholar] [CrossRef]
- García-Torres, M.; Gómez-Vela, F.; Melián-Batista, B.; Moreno-Vega, J.M. High-dimensional feature selection via feature grouping: A Variable Neighborhood Search approach. Inf. Sci. 2016, 326, 102–118. [Google Scholar] [CrossRef]
- Uncu, Ö.; Türkşen, I.B. A novel feature selection approach: Combining feature wrappers and filters. Inf. Sci. 2007, 177, 449–466. [Google Scholar] [CrossRef]
- Pérez-Rodríguez, J.; Arroyo-Peña, A.G.; García-Pedrajas, N. Simultaneous instance and feature selection and weighting using evolutionary computation: Proposal and study. Appl. Soft Comput. 2015, 37, 416–443. [Google Scholar]
- Ruusunen, M. Signal Correlations in Biomass Combustion—An Information Theoretic Analysis. PhD Thesis, Acta Univ Oulu C, Oulu, Finland, 2013; p. 2013. [Google Scholar]
- Matlab Help Documentation. T-test. © 1994-2017; The MathWorks, Inc: Natick, MA, USA, 2019. [Google Scholar]








| Barley Leaf Area (Percentage), Infected by Net Blotch | <0.5% Category 0 | 0.6–5% Category 1 | >5% Category 2 |
|---|---|---|---|
| Number of Available Datasets (Years) Per Category | |||
| Hardiness zone I | 8 | 5 | 12 |
| Hardiness zone II | 6 | 7 | 8 |
| Hardiness zone III | 6 | 6 | 13 |
| Hardiness zone IV | 3 | 8 | 11 |
| Mean value | ||||||||
| Hardiness zone I | ||||||||
| Beginning of growing season | Sowing time | |||||||
| R [mm] | Tav [°C] | Tmax [°C] | Tmin [°C] | R[mm] | Tav [°C] | Tmax [°C] | Tmin [°C] | |
| Category 0 | 0.5 | 8.8 | 14.8 | 2.6 | 0.9 | 10.0 | 15.3 | 4.4 |
| Category 1 | 0.8 | 7.6 | 13.2 | 2.1 | 1.0 | 11.9 | 17.4 | 6.3 |
| Category 2 | 0.8 | 9.6 | 15.4 | 3.6 | 1.1 | 12.9 | 18.1 | 7.2 |
| Hardiness zone II | ||||||||
| Beginning of growing season | Sowing time | |||||||
| R[mm] | Tav [°C] | Tmax [°C] | Tmin [°C] | R[mm] | Tav [°C] | Tmax [°C] | Tmin [°C] | |
| Category 0 | 0.8 | 7.8 | 13.9 | 1.4 | 1.7 | 9.4 | 15.0 | 3.8 |
| Category 1 | 0.7 | 9.1 | 15.1 | 3.1 | 1.6 | 11.7 | 17.2 | 6.0 |
| Category 2 | 1.4 | 8.6 | 14.5 | 2.4 | 1.8 | 12.8 | 18.1 | 7.2 |
| Hardiness zone III | ||||||||
| Beginning of growing season | Sowing time | |||||||
| R[mm] | Tav [°C] | Tmax [°C] | Tmin [°C] | R[mm] | Tav [°C] | Tmax [°C] | Tmin [°C] | |
| Category 0 | 0.6 | 7.1 | 13.0 | 1.1 | 2.1 | 10.1 | 15.7 | 4.1 |
| Category 1 | 0.9 | 8.4 | 14.6 | 2.3 | 1.8 | 12.0 | 17.8 | 5.9 |
| Category 2 | 1.2 | 9.7 | 15.6 | 3.5 | 2.1 | 11.3 | 16.9 | 5.1 |
| Hardiness zone IV | ||||||||
| Beginning of growing season | Sowing time | |||||||
| R[mm] | Tav [°C] | Tmax [°C] | Tmin [°C] | R[mm] | Tav [°C] | Tmax [°C] | Tmin [°C] | |
| Category 0 | 0.8 | 8.4 | 14.1 | 2.4 | 1.1 | 10.5 | 15.6 | 4.2 |
| Category 1 | 1.1 | 9.5 | 15.3 | 3.4 | 1.3 | 11.4 | 16.8 | 5.7 |
| Category 2 | 1.5 | 8.9 | 14.2 | 3.7 | 2.8 | 11.0 | 15.9 | 6.0 |
| Standard deviation | ||||||||
| Hardiness zone I | ||||||||
| Beginning of growing season | Sowing time | |||||||
| R[mm] | Tav[°C] | Tmax[°C] | Tmin[°C] | R[mm] | Tav[°C] | Tmax[°C] | Tmin[°C] | |
| Category 0 | 1.6 | 3.6 | 4.4 | 3.8 | 2.2 | 3.5 | 4.0 | 4.1 |
| Category 1 | 1.9 | 3.2 | 4.2 | 3.7 | 2.2 | 3.5 | 4.4 | 3.8 |
| Category 2 | 2.4 | 3.7 | 4.1 | 4.6 | 2.2 | 3.5 | 4.4 | 3.8 |
| Hardiness zone II | ||||||||
| Beginning of growing season | Sowing time | |||||||
| R[mm] | Tav [°C] | Tmax [°C] | Tmin [°C] | R[mm] | Tav [°C] | Tmax [°C] | Tmin [°C] | |
| Category 0 | 2.2 | 3.6 | 4.5 | 3.6 | 4.2 | 2.9 | 3.4 | 3.9 |
| Category 1 | 2.4 | 4.2 | 4.7 | 4.7 | 3.3 | 3.8 | 4.7 | 4.1 |
| Category 2 | 3.6 | 3.7 | 4.6 | 3.6 | 3.3 | 3.8 | 4.6 | 3.9 |
| Hardiness zone III | ||||||||
| Beginning of growing season | Sowing time | |||||||
| R[mm] | Tav [°C] | Tmax [°C] | Tmin [°C] | R[mm] | Tav [°C] | Tmax [°C] | Tmin [°C] | |
| Category 0 | 1.4 | 3.0 | 4.1 | 3.4 | 5.7 | 3.5 | 4.2 | 4.2 |
| Category 1 | 2.5 | 3.4 | 4.8 | 3.3 | 3.7 | 4.3 | 5.6 | 3.7 |
| Category 2 | 4.3 | 3.1 | 4.0 | 3.8 | 6.2 | 3.7 | 4.6 | 4.1 |
| Hardiness zone IV | ||||||||
| Beginning of growing season | Sowing time | |||||||
| R[mm] | Tav [°C] | Tmax [°C] | Tmin [°C] | R[mm] | Tav [°C] | Tmax [°C] | Tmin [°C] | |
| Category 0 | 1.8 | 4.0 | 5.3 | 3.5 | 2.5 | 4.6 | 5.6 | 4.5 |
| Category 1 | 2.6 | 3.6 | 4.4 | 3.9 | 2.8 | 3.4 | 4.3 | 3.5 |
| Category 2 | 2.6 | 4.3 | 5.0 | 4.6 | 5.4 | 3.8 | 4.6 | 4.4 |
| Median | ||||||||
| Hardiness zone I | ||||||||
| Beginning of growing season | Sowing time | |||||||
| R[mm] | Tav[°C] | Tmax[°C] | Tmin[°C] | R[mm] | Tav[°C] | Tmax[°C] | Tmin[°C] | |
| Category 0 | 0 | 8.25 | 14.6 | 2.4 | 0 | 9.85 | 14.8 | 4.15 |
| Category 1 | 0 | 7.6 | 13.2 | 2.4 | 0 | 11.15 | 16.7 | 6.45 |
| Category 2 | 0 | 9.05 | 14.6 | 3.9 | 0 | 12.6 | 17.65 | 8.05 |
| Hardiness zone II | ||||||||
| Beginning of growing season | Sowing time | |||||||
| R[mm] | Tav [°C] | Tmax [°C] | Tmin [°C] | R[mm] | Tav [°C] | Tmax [°C] | Tmin [°C] | |
| Category 0 | 0 | 7.7 | 13.5 | 1.55 | 0.1 | 9.5 | 14.9 | 4.45 |
| Category 1 | 0 | 8.75 | 15.25 | 2.85 | 0 | 11.15 | 16.35 | 6.15 |
| Category 2 | 0 | 8.2 | 14.05 | 2.5 | 0.05 | 12.45 | 17.55 | 7.15 |
| Hardiness zone III | ||||||||
| Beginning of growing season | Sowing time | |||||||
| R[mm] | Tav [°C] | Tmax [°C] | Tmin [°C] | R[mm] | Tav [°C] | Tmax [°C] | Tmin [°C] | |
| Category 0 | 0 | 6.85 | 12.9 | 0.75 | 0 | 10.3 | 15.5 | 4.3 |
| Category 1 | 0 | 8.2 | 14.6 | 1.6 | 0 | 11.6 | 16.9 | 5.9 |
| Category 2 | 0 | 9.5 | 15.0 | 3.45 | 0 | 11.4 | 16.95 | 5.2 |
| Hardiness zone IV | ||||||||
| Beginning of growing season | Sowing time | |||||||
| R[mm] | Tav [°C] | Tmax [°C] | Tmin [°C] | R[mm] | Tav [°C] | Tmax [°C] | Tmin [°C] | |
| Category 0 | 0 | 7.7 | 13.3 | 2.1 | 0 | 10.95 | 15.2 | 4.25 |
| Category 1 | 0 | 9 | 14.8 | 3.35 | 0 | 10.9 | 15.9 | 5.85 |
| Category 2 | 0 | 8 | 13.35 | 3.3 | 0.35 | 10.75 | 15.8 | 5.8 |
| The Number of Days When the Null Hypothesis Was Rejected | ||||
|---|---|---|---|---|
| Observation Field | t0 = Beginning of the Growing Season | t0 = Sowing Date | ||
| Category | Category | |||
| 0 vs. 1 | 0 vs. 2 | 0 vs. 1 | 0 vs. 2 | |
| Hardiness zone I | 9 | 11 | 8 | 9 |
| Hardiness zone II | 11 | 11 | 11 | 11 |
| Hardiness zone III | 10 | 9 | 9 | 8 |
| Hardiness zone IV | 10 | 10 | 9 | 9 |
| Place of Observations | t0 = Beginning of the Growing Season | |
|---|---|---|
| Category | ||
| 0 vs. 1 | 0 vs. 2 | |
| Hardiness zone I | (a + b)·b | ln(c) + (b)·ln(d) |
| Hardiness zone II | D + b2 | a·d |
| Hardiness zone III | (a·c)/b | d2· b2 |
| Hardiness zone IV | (b + d)/c | (d + a)·d |
© 2020 by the authors. Licensee MDPI, Basel, Switzerland. This article is an open access article distributed under the terms and conditions of the Creative Commons Attribution (CC BY) license (http://creativecommons.org/licenses/by/4.0/).
Share and Cite
Ruusunen, O.; Jalli, M.; Jauhiainen, L.; Ruusunen, M.; Leiviskä, K. Advanced Data Analysis as a Tool for Net Blotch Density Estimation in Spring Barley. Agriculture 2020, 10, 179. https://doi.org/10.3390/agriculture10050179
Ruusunen O, Jalli M, Jauhiainen L, Ruusunen M, Leiviskä K. Advanced Data Analysis as a Tool for Net Blotch Density Estimation in Spring Barley. Agriculture. 2020; 10(5):179. https://doi.org/10.3390/agriculture10050179
Chicago/Turabian StyleRuusunen, Outi, Marja Jalli, Lauri Jauhiainen, Mika Ruusunen, and Kauko Leiviskä. 2020. "Advanced Data Analysis as a Tool for Net Blotch Density Estimation in Spring Barley" Agriculture 10, no. 5: 179. https://doi.org/10.3390/agriculture10050179
APA StyleRuusunen, O., Jalli, M., Jauhiainen, L., Ruusunen, M., & Leiviskä, K. (2020). Advanced Data Analysis as a Tool for Net Blotch Density Estimation in Spring Barley. Agriculture, 10(5), 179. https://doi.org/10.3390/agriculture10050179

