Extending the Shelf Life of White Peach Fruit with 1-Methylcyclopropene and Aloe arborescens Edible Coating
Abstract
1. Introduction
2. Materials and Methods
2.1. Plant Material and Treatments
2.2. Experimental Design
- CTR: only hydrogen peroxide and peroxyacetic acid (0.5% w/v)
- EC: coating Aloe arborescens gel 40% (v/w);
- MCP: 0.14% 1-methylcyclopropene (1-MCP);
- MCP+EC: 0.14% 1-methylcyclopropene (1-MCP) and 40% (v/w) of Aloe arborescens gel (EC);
2.3. Physical-Chemical Analysis
2.4. Bioactive Properties
2.4.1. Vitamin C Content
2.4.2. Total Phenol Content
2.4.3. Total Carotenoids
2.4.4. Total Antioxidant Activity
2.5. Sensory Analysis
2.6. Statistical Analysis
3. Results and Discussion
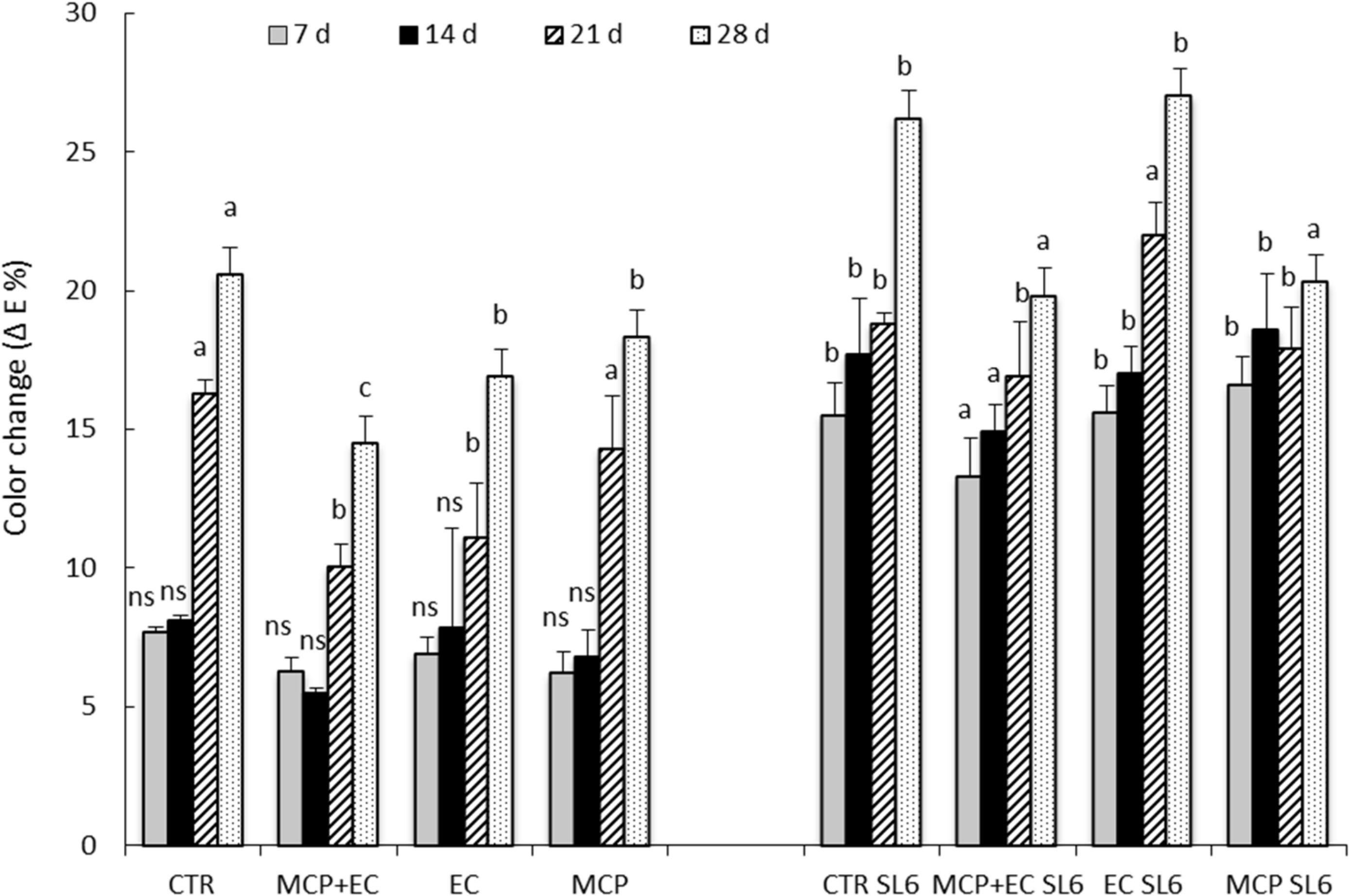
3.1. Cold Out (0 Day)
3.2. Shelf Life
3.3. Bioactive Properties
3.3.1. Ascorbic Acid Content
3.3.2. Total Phenol Content
3.3.3. Total Carotenoid Content
3.3.4. Antioxidant Activity
4. The Sensory Profile
5. Conclusions
Author Contributions
Funding
Conflicts of Interest
References
- Tonutti, P.; Bonghi, C.; Ramina, A. Fruit firmness and ethylene biosynthesis in three cultivars of peach (Prunus persica L. Batsch). J. Hort. Sci. 1996, 71, 141–147. [Google Scholar] [CrossRef]
- Lurie, S.; Crisosto, C.H. Chilling injury in peach and nectarine. Postharvest Biol. Technol. 2005, 37, 195–208. [Google Scholar] [CrossRef]
- Palou, L.; Crisosto, C.H.; Smilanick, J.L.; Adaskaveg, J.E.; Zoffoli, J.P. Effects of Continuous 0.3 Ppm Ozone Exposure on Decay Development and Physiological Responses of Peaches and Table Grapes in Cold Storage. Postharvest Biol. Technol. 2002, 24, 39–48. [Google Scholar] [CrossRef]
- Liguori, G.; Weksler, A.; Zutahi, Y.; Lurie, S.; Kosto, I. Effect of 1-methylcyclopropene on ripening of melting flesh peaches and nectarines. Postharvest Biol. Technol. 2004, 31, 263–268. [Google Scholar] [CrossRef]
- Gonzalez Aguilar, G.; Wang, C.Y.; Buta, G.J. UV-C irradiation reduces breakdown and chilling injury of peaches during cold storage. J. Sci. Food Agric. 2004, 84, 415–422. [Google Scholar] [CrossRef]
- Ortiz, A.; Graell, J.; López, M.L.; Echeverría, G.; Lara, I. Volatile ester-synthesising capacity in ‘Tardibelle’ peach fruit in response to controlled atmosphere and 1-MCP treatment. Food Chem. 2010, 123, 698–704. [Google Scholar] [CrossRef]
- Gornik, K.; Badowiec, A.; Weidner, S. The effect of seed conditioning, short-term heat shock and salicylic, jasmonic acid or brasinolide on sunflower (Helianthus annuus L.) chilling resistance and polysome formation. Acta Physiol. Plant. 2014, 36, 2547–2554. [Google Scholar] [CrossRef]
- Chen, H.; Han, S.; Jiang, L.; An, X.; Yu, M.; Xu, Y.; Ma, R.; Yu, Z. Postharvest hot air and hot water treatments affect the antioxidant system in peach fruit during refrigerated storage. Postharvest Biol. Technol. 2017, 126, 1–14. [Google Scholar] [CrossRef]
- Li, P.; Dai, S.J.; Zhao, B.; Zhang, Y.S.; Liao, K.; Xu, F.; Du, C.L.; Leng, P. Effect of low temperatures on pulp browning and endogenous abscisic acid and ethylene concentrations in peach (Prunus persica L.) fruit during post-harvest storage. J. Hortic. Sci. Biotechnol. 2014, 89, 686–692. [Google Scholar] [CrossRef]
- Zhou, D.; Sun, Y.; Li, M.; Zhu, T.; Tu, K. Postharvest Hot Air and UV-C Treatments Enhance Aroma-Related Volatiles by Simulating the Lipoxygenase Pathway in Peaches During Cold Storage. Food Chem. 2019, 292, 294–303. [Google Scholar] [CrossRef]
- Zhang, L.; Kou, X.; Huang, X.; Li, G.; Liu, J.; Ye, J. Peach-gum: A promising alternative for retarding the ripening and senescence in postharvest peach fruit. Postharvest Biol. Technol. 2020, 161, 111088. [Google Scholar] [CrossRef]
- Sisler, E.C.; Serek, M.; Dupille, E.; Goren, R. Inhibition of ethylene response by 1-methylcyclopropene and 3-methylcyclopropene. Plant Growth Regulation. 1999, 27, 105–111. [Google Scholar] [CrossRef]
- Sortino, G.; Inglese, P.; Allegra, A. Effect of 1-MCP on cactus pear fruit at different maturity stages during storage. Acta Hortic. 2019, 1247, 221–228. [Google Scholar] [CrossRef]
- Watkins, C.B. The use of 1-methylcyclopropene (1-MCP) on fruits and vegetables. Biotechnol. Adv. 2006, 24, 389–409. [Google Scholar] [CrossRef]
- Fan, X.; Blankenship, S.; Mattheis, J.P. 1-Methyl-cyclopropene inhibits apple ripening. J. Am. Soc. Hortic. Sci. 1999, 124, 690–695. [Google Scholar] [CrossRef]
- Valero, D.; Martínez-Romero, D.; Valverde, J.M.; Guillén, F.; Castillo, S.; Serrano, M. Could the 1-MCP Treatment Effectiveness in Plum Be Affected by Packaging? Postharvest Biol. Technol. 2004, 34, 295–303. [Google Scholar] [CrossRef]
- Wang, Q.; Wei, Y.; Chen, X.; Xu, W.; Wang, N.; Xu, F.; Shao, X. Postharvest strategy combining maturity and storage temperature for 1MCP treated peach fruit. J. Food Process. Preserv. 2020, e14388. [Google Scholar] [CrossRef]
- Zoffoli, J.; Balbontin, S.; Rogríguez, J.; Retamales, J.; Defilippi, B. Effectiveness of 1-mcp on postharvest deterioration of nectarines and peaches stored at different temperatures. Acta Hortic. 2002, 592, 567–572. [Google Scholar] [CrossRef]
- Mariño-González, L.; Buitrago, C.; Balaguera Lopez, H.; Martínez-Quintero, E. Effect of 1-methylcyclopropene and ethylene on the physiology of peach fruits (Prunus persica L.) cv. Dorado during storage. Rev. Colomb. Cienc. Hortíc. 2019, 13, 46–54. [Google Scholar] [CrossRef]
- Dal Cin, V.; Rizzini, F.M.; Botton, A.; Tonutti, P. The ethylene biosynthetic and transduction pathways are differently affected y 1-MCP in apple and peach fruit. Postharvest Biol. Technol. 2006, 42, 125–133. [Google Scholar] [CrossRef]
- Hayama, H.; Tatsuki, M.; Nakamura, Y. Combined treatment of aminoethoxyvinylglycine (AVG) and 1-methylcyclopropene (1-MCP) reduces peach fruit softening. Postharvest Biol. Technol. 2008, 50, 228–230. [Google Scholar] [CrossRef]
- Tadiello, A.; Ziosi, V.; Negri, A.S. On the role of ethylene, auxin and a golven-like peptide hormone in the regulation of peach ripening. BMC Plant Biol. 2016, 16, 1–17. [Google Scholar] [CrossRef] [PubMed]
- Wang, X.; Ding, Y.; Wang, Y.; Pan, L.; Niu, L.; Lu, Z.; Cui, G.; Zeng, W.; Wang, Z. Genes involved in ethylene signal transduction in peach (Prunus persica) and their expression profiles during fruit maturation. Sci. Hortic. 2017, 224, 306–316. [Google Scholar] [CrossRef]
- Liu, H.; Cao, J.; Jiang, W. Changes in phenolics and antioxidant property of peach fruit during ripening and responses to 1-methylcyclopropene. Postharvest Biol. Technol. 2015, 108, 111–118. [Google Scholar] [CrossRef]
- Kluge, R.; Jacomino, A. Shelf life of peaches treated whit 1-methylcyclopropene. Sci. Agric. 2002, 59, 69–72. [Google Scholar] [CrossRef]
- Yang, X.; Wei, W.; Lv, P.; Feng, J. Effectiveness of 1-methylcyclopropene treatment on Peach Fruit (Prunus Persica L.) for Extending Storage life. Adv. Mater. Res. 2014, 1089, 159–162. [Google Scholar] [CrossRef]
- McHugh, T.H. Protein-lipid interactions in edible films and coatings. Nahrung 2000, 44, 148–151. [Google Scholar] [CrossRef]
- Miriam del Carmen, M.-G.; Bautista-Baños, S.; Nacary Correa-Pacheco, Z.; Corona-Rangel, M.L.; Ventura-Aguilar, R.I.; Del Río-García, J.C.; de Lorena Ramos-García, M. Effect of Nanostructured Chitosan/Propolis Coatings on the Quality and Antioxidant Capacity of Strawberries During Storage. Coatings 2020, 10, 90. [Google Scholar] [CrossRef]
- Vargas, M.; Pastor, C.; Chiralt, A.; McClements, D.J.; González-Martínez, C. Recent advances in edible coatings for fresh and minimally processed fruits. Crit. Rev. Food Sci. Nutr. 2008, 48, 496–511. [Google Scholar] [CrossRef]
- Bifani, V.; Ramírez, C.; Ihl, M.; Rubilar, M.; García, A.; Zaritzky, M. Effects of murta (Ugni molinae Turcz) extract on gas and water vapor permeability of carboxymetrhycellulose-based edible films. LWT Food Sci. Technol. 2007, 40, 1473–1481. [Google Scholar] [CrossRef]
- Fernandes, F.A.; Carocho, M.; Heleno, S.A.; Rodrigues, P.; Dias, M.I.; Pinela, J.; Prieto, M.A.; Simal-Gandara, J.; Barros, L.; Ferreira, I.C.F.R. Effect of Natural Preservatives on the Nutritional Profile, Chemical Composition, Bioactivity and Stability of a Nutraceutical Preparation of Aloe arborescens. Antioxidants 2020, 9, 281. [Google Scholar] [CrossRef] [PubMed]
- Kahramanoğlu, İ.; Chen, C.; Chen, J.; Wan, C. Chemical Constituents, Antimicrobial Activity, and Food Preservative Characteristics of Aloe vera Gel. Agronomy 2019, 9, 831. [Google Scholar] [CrossRef]
- Boudreau, M.D.; Beland, F.A. An evaluation of the biological and toxicological properties of Aloe barbadensis (miller), Aloe vera. J. Environ. Sci. Health Part C 2006, 24, 103–154. [Google Scholar] [CrossRef] [PubMed]
- Hamman, J.H. Composition and applications of Aloe vera leaf gel. Molecules 2008, 13, 1599–1616. [Google Scholar] [CrossRef]
- Guillén, F.; Díaz-Mula, H.M.; Zapata, P.J.; Valero, D.; Serrano, M.; Castillo, S.; Martínez-Romero, D. Aloe arborescens and Aloe vera gels as coatings in delaying postharvest ripening in peach and plum fruit. Postharvest Biol. Technol. 2013, 83, 54–57. [Google Scholar] [CrossRef]
- Benítez, S.; Achaerandio, I.; Sepulcre, F.; Pujolà, M. Aloe vera based edible coatings improve the quality of minimally processed ‘Hayward’ kiwifruit. Postharvest Biol. Technol. 2013, 81, 29–36. [Google Scholar]
- Baez-Sañudo, M.; Siller-Cepeda, J.; Muy-Rangel, D.; Heredia, J.B. Extending the shelf-life of bananas with 1-methylcyclopropene and a chitosan-based edible coating. J. Sci. Food Agric. 2009, 89, 2343–2349. [Google Scholar] [CrossRef]
- Sicari, V.; Loizzo, M.R.; Pellicanò, T.M.; Giuffrè, A.M.; Poiana, M. Evaluation of Aloe Arborescens Gel as New Coating to Maintain the Organoleptic and Functional Properties of Strawberry (Fragaria × Ananassa Cv. Cadonga) Fruits. Int. J. Food Sci. Technol. 2019, 55, 861–870. [Google Scholar] [CrossRef]
- Zapata, P.J.; Navarro, D.; Guillén, F.; Castillo, S.; Martínez-Romero, D.; Valero, D.; Serrano, M. Characterisation of gels from different Aloe spp. as antifungal treatment: Potential crops for industrial applications. Ind. Crop. Prod. 2013, 42, 223–230. [Google Scholar] [CrossRef]
- Farina, V.; Passafiume, R.; Tinebra, I.; Palazzolo, E.; Sortino, G. Use of Aloe Vera Gel-Based Edible Coating with Natural Anti-Browning and Anti-Oxidant Additives to Improve Post-Harvest Quality of Fresh-Cut ‘Fuji’ Apple. Agronomy 2020, 10, 515. [Google Scholar] [CrossRef]
- Martínez-Romero, D.; Alburquerque, N.; Valverde, J.M.; Guillén, F.; Castillo, S.; Valero, D.; Serrano, M. Postharvest sweet cherry quality and safety maintenance by Aloe vera treatment: A new edible coating. Postharvest Biol. Technol. 2006, 39, 93–100. [Google Scholar] [CrossRef]
- Hossein, M.; Mahmood, G.; Davood, B. Effect of different coatings on post-harvest quality and bioactive compounds of pomegranate (Punica granatum L.) fruits. J. Food Sci. Technol. 2015, 52, 4507–4514. [Google Scholar] [CrossRef]
- Lin, B.; Du, Y.; Liang, X.; Wang, X.; Wang, X.; Yang, J. Effect of chitosan coating on respiratory behavior and quality of stored litchi under ambient temperature. J. Food Eng. 2011, 102, 94–99. [Google Scholar] [CrossRef]
- Farina, V.; Gentile, C.; Sortino, G.; Gianguzzi, G.; D’Asaro, A.; Saletta, F.; Piva, G.; Inglese, P.; Liguori, G. Effects of gellan-based coating application on litchi fruit quality traits. Acta Hortic. 2018, 1194, 335–342. [Google Scholar] [CrossRef]
- Ali, A.; Muhammad, M.T.M.; Sijam, K.; Siddiqui, Y. Effect of chitosan coatings on the physicochemical characteristics of Eksotika II papaya (Carica papaya L.) fruit during cold storage. Food Chem. 2011, 124, 620–626. [Google Scholar] [CrossRef]
- Allegra, A.; Sortino, G.; Farina, V.; Inglese, P. Effect of passive atmosphere and chemical treatment on fresh cut of white-flesh peach cultivar ‘Settembrina di Bivona. Acta Hortic. 2015, 1084, 765–770. [Google Scholar] [CrossRef]
- Caruso, T.; Di Lorenzo, R.; Barone, E. IL germoplasma del pesco in Sicilia: Aspetti genetici e bioagronomici. In Proceedings of the IV Natl. Congress, Germoplasma Frutticolo Salvaguardia e Valorizzazione Delle Risorse Genetiche, Alghero, Italy, 21–25 September 1992; Volume 1, pp. 285–293. [Google Scholar]
- Sortino, G.; Ingrassia, M.; Allegra, A.; Inglese, P. Sensory evaluation and suitability for fresh-cut produce of white peach [Prunus persica (L.) Batsch] ‘Settembrina di Bivona. Acta Hortic. 2015, 1084, 787–790. [Google Scholar] [CrossRef]
- Sortino, G.; Allegra, A.; Farina, V.; Inglese, P. Postharvest quality and sensory attributes of ‘Pesca di Bivona’ peaches (Prunus persica L.) during storage. Bulg J. Agric. Sci. 2017, 23, 939–946. [Google Scholar]
- Montevecchi, G.; Simone, G.V.; Masino, F.; Bignami, C.; Antonelli, A. Physical and chemical characterization of Pesca bivona, a Sicilian white flesh peach cultivar [Prunus persica (L.) Batsch]. Food Res. Int. 2012, 45, 123–131. [Google Scholar] [CrossRef]
- Liguori, G.; Sortino, G.; De Pasquale, C.; Inglese, P. Effects of modified atmosphere packaging on quality parameters of minimally processed table grapes during cold storage. Adv. Hortic. Sci. 2015, 29, 152–154. [Google Scholar]
- Montero-Calderón, M.; Rojas-Graü, M.A.; Martín-Belloso, O. Effect of packaging conditions on quality and shelf-life of fresh-cut pineapple (Ananas comosus). Postharvest Biol. Technol. 2008, 50, 182–189. [Google Scholar] [CrossRef]
- Passafiume, R.; Perrone, A.; Sortino, G.; Gianguzzi, G.; Saletta, F.; Gentile, C.; Farina, V. Chemical-physical Characteristics, Polyphenolic Content and Total Antioxidant Activity of Three Italian-Grown Pomegranate Cultivars. NFS J. 2019, 16, 9–14. [Google Scholar] [CrossRef]
- Singleton, V.L.; Rossi, J.A. Colorimetry of total phenolics with phosphomolybdic-phosphotungstic acid reagents. Am. J. Enol. Vitic. 1965, 16, 144–158. [Google Scholar]
- De Ritter, E.; Purcell, A.E. Carotenoid analytical methods. In Carotenoids as Colorants and Vitamin A Precursors; Academic Press: Cambridge, MA, USA, 1981; pp. 815–923. [Google Scholar]
- Giusti, M.M.; Jing, P. Analysis of anthocyanins. Food Color. Chem. Funct. Prop. 2008, 6, 479–506. [Google Scholar]
- Miller, N.J.; Rice-Evans, C.A. Spectrophotometric determination of antioxidant activity. Redox Rep. 1996, 2, 161–171. [Google Scholar] [CrossRef] [PubMed]
- Re, R.; Pellegrini, N.; Proteggente, A.; Pannala, A.; Yang, M.; Rice-Evans, C. Antioxidant activity applying an improved ABTS radical cation decolorization assay. Free Radic. Biol. Med. 1999, 26, 1231–1237. [Google Scholar] [CrossRef]
- Gentile, C.; Di Gregorio, E.; Di Stefano, V.; Mannino, G.; Perrone, A.; Avellone, G.; Sortino, G.; Inglese, P.; Farina, V. Food Quality and Nutraceutical Value of Nine Cultivars of Mango (Mangifera Indica L.) Fruits Grown in Mediterranean Subtropical Environment. Food Chem. 2019, 277, 471–479. [Google Scholar] [CrossRef]
- Chironi, S.; Sortino, G.; Allegra, A.; Saletta, F.; Caviglia, V.; Ingrassia, M. Consumer assessment on sensory attributes of fresh table grapes cv ‘Italia’ and ‘Red globe’ after long cold storage treatment. Chem. Eng. Trans. 2017, 58, 421–426. [Google Scholar] [CrossRef]
- Liguori, G.; Sortino, G.; Inglese, P.; Farina, V. Quality changes during postharvest life in white fleshed peach (Prunus Persica L. Batsch) fruits: Preliminary observations. Bulg. J. Agric. Sci. 2016, 22, 497–504. [Google Scholar]
- Bautista-Baños, S.; Hernández-Lauzardo, A.N.; Velázquez-del Valle, M.G.; Hernández-López, M.; Ait Barka, E.; Bosquez-Molina, E. Chitosan as a potential natural compound to control pre and postharvest diseases of horticultural commodities. Crop Prot. 2006, 25, 108–118. [Google Scholar] [CrossRef]
- Allegra, A.; Gallotta, A.; Carimi, F.; Mercati, F.; Inglese, P.; Martinelli, F. Metabolic profiling and post-harvest behavior of “Dottato” fig (Ficus carica L.) fruit covered with an edible coating from O. ficus-indica. Front. Plant Sci. 2018, 9, 1321. [Google Scholar] [CrossRef] [PubMed]
- Luza, J.G.; Gorsel, R.; Van Polito, V.S.; Kader, A.A. Chilling Injury in Peaches: A Cytochemical and Ultrastructural Cell Wall Study. J. Am. Soc. Hortic. Sci. 1992, 117, 114–118. [Google Scholar] [CrossRef]
- Hazrati, S.; Kashkooli, A.B.; Habibzadeh, F.; Tahmasebi-Sarvestani, Z.; Sadeghi, A.R. Evaluation of Aloe vera Gel as an Alternative Edible Coating for Peach Fruits During Cold Storage Period. Gesunde Pflanzen 2017, 69, 131–137. [Google Scholar] [CrossRef]
- Ahmed, M.J.; Singh, Z.; Khan, A.S. Postharvest Aloe Vera gel-Coating Modulates Fruit Ripening and Quality of ‘Arctic Snow’ Nectarine Kept in Ambient and Cold Storage. Int. J. Food Sci. Technol. 2009, 44, 1024–1033. [Google Scholar] [CrossRef]
- Gallotta, A.; Allegra, A.; Inglese, P.; Sortino, G. Fresh-cut storage of fruit and fresh-cuts affects the behaviour of minimally processed Big Bang nectarines (Prunus persica L. Batsch) during shelf life. Food Pack. Shelf Life 2018, 15, 62–68. [Google Scholar] [CrossRef]
- Cai, H.; Han, S.; Jiang, L.; Yu, M.; Ma, R.; Yu, Z. 1-MCP treatment affects peach fruit aroma metabolism as revealed by transcriptomics and metabolite analyses. Food Res. Int. 2019, 122, 573–584. [Google Scholar] [CrossRef]
- Sortino, G.; Gallotta, A.; Farina, V.; Allegra, A. Shelf-Life and quality of fresh-cut peach cv ‘Ruby Rich’ at different maturity stage. Chem. Eng. Trans. 2017, 58, 409–414. [Google Scholar]
- Amodio, M.L.; Derossi, A.; Colelli, G. Modeling phenolic content during storage of cut fruit and vegetables: A consecutive reaction mechanism. J. Food Eng. 2014, 140, 1–8. [Google Scholar] [CrossRef]
- Khaliq, G.; Ramzan, M.; Baloch, A.H. Effect of Aloe vera gel coating enriched with Fagonia indica plant extract on physicochemical and antioxidant activity of sapodilla fruit during postharvest storage. Food Chem. 2019, 286, 346–353. [Google Scholar] [CrossRef]
- Sogvar, O.B.; Koushesh, S.M.; Emamifar, A. Aloe vera and ascorbic acid coatings maintain postharvest quality and reduce microbial load of strawberry fruit. Postharvest Biol. Technol. 2016, 114, 29–35. [Google Scholar] [CrossRef]
- Nourozi, F.; Sayyari, M. Enrichment of Aloe vera gel with basil seed mucilage preserve bioactive compounds and postharvest quality of apricot fruits. Sci. Hortic. 2020, 262, 109041. [Google Scholar] [CrossRef]








| Treatment | Cold Storage (d) + 6 d at 20 °C | Firmness (kg cm−2) | TSSC (°Brix) | TA (g L−1) | Weight Loss (%) |
|---|---|---|---|---|---|
| CTR | 7d SL6 | 5.2 ± 0.5 aA | 18.0 ± 0.3 cA | 4.3 ± 0.4 aB | 6.1 ± 0.6 cA |
| 14d SL6 | 3.6 ± 0.3 bA | 18.6 ± 0.2 bA | 4.0 ± 0.6 aB | 8.4 ± 0.7 bA | |
| 21d SL6 | 2.1 ± 0.5 cB | 19.2 ± 0.6 aA | 3.0 ± 0.3 bC | 9.1 ± 0.9 aA | |
| 28d SL6 | 2.0 ± 0.3 cB | 19.5 ± 0.5 aA | 3.1 ± 0.2 bC | 8.6 ± 1.1 aA | |
| 1-MCP + EC | 7d SL6 | 5.5 ± 0.4 aA | 14.6 ± 0.2 bC | 6.0 ± 0.2 aA | 2.1 ± 0.5 dC |
| 14d SL6 | 3.9 ± 0.6 bA | 15.0 ± 0.4 bC | 5.5 ± 0.1 bB | 3.3 ± 0.2 cC | |
| 21d SL6 | 3.3 ± 0.3 bA | 16.8 ± 0.4 aB | 3.5 ± 0.9 cC | 4.1 ± 0.3 bC | |
| 28d SL6 | 3.7 ± 0.5 bA | 17.9 ± 0.5 aB | 3.3 ± 0.1 cC | 5.5 ± 0.9 aC | |
| 1-MCP | 7d SL6 | 4.6 ± 0.3 aA | 14.1 ± 0.1 dC | 6.0 ± 0.2 aA | 2.1 ± 0.5 dC |
| 14d SL6 | 3.1 ± 0.1 bB | 15.6 ± 0.3 cC | 5.4 ± 0.2 aA | 4.1 ± 0.5 dC | |
| 21d SL6 | 2.7 ± 0.4 bA | 16.9 ± 0.1 bB | 3.0 ± 0.4 aB | 4.9 ± 0.4 cB | |
| 28d SL6 | 3.0 ± 0.1 bA | 18.6 ± 0.2 aB | 3.2 ± 0.2 aA | 5.1 ± 0.5 dC | |
| EC | 7d SL6 | 5.3 ± 0.3aA | 16.9 ± 0.1 cB | 5.0 ± 0.4 aB | 3.3 ± 0.4 cB |
| 14d SL6 | 3.6 ± 0.3 bA | 15.7 ±0.4 bB | 4.5 ± 0.4 aB | 4.7 ± 0.6 bB | |
| 21d SL6 | 2.9 ± 0.2 bA | 18.7 ± 0.3 aA | 3.0 ± 0.3 bC | 5.0 ± 0.7 bB | |
| 28d SL6 | 3.2 ± 0.2 bA | 19.3 ± 0.7 aA | 3.1 ± 0.4 bC | 7.8 ± 1.23 aB |
| Treatments | Ascorbic Acid Content (mg 100 g−1) | |||||||||
|---|---|---|---|---|---|---|---|---|---|---|
| At Harvest (0 d) | 0 d + SL6 | 7 d | 7 d + SL6 | 14 d | 14 d + SL6 | 21 d | 21 + SL6 | 28 d | 28 d + SL6 | |
| CTR | 24.7 nsA | 22.5 bB | 22.7 bB | 25.3 abA | 21.3 bB | 21.2 nsB | 18.9 bC | 16.2 bD | 9.5 bE | 4.4 bF |
| MCP | 24.7 nsA | 22.3 bB | 23.8 aA | 21.2 bB | 22.7 bB | 20.5 C | 19.3 bC | 19.6 aC | 11.2 aD | 8.8 aE |
| MCP + EC | 24.7 nsB | 25.9 aAB | 24.1 aB | 27.7 aA | 25.1 aAB | 20.1 D | 23.5 aC | 19.8 Da | 13.2 aE | 7.7 aF |
| EC | 24.7 nsA | 25.3 abA | 23.9 aAB | 21.2 bC | 22.3 bB | 19.8 C | 18.1 bD | 17.1 bD | 9.6 bE | 7.2 aF |
| Total Phenol Content (GAE mg 100 g−1 FW) | ||||||||||
|---|---|---|---|---|---|---|---|---|---|---|
| At Harvest (0 d) | 0 d + SL6 | 7 d | 7 d + SL6 | 14 d | 14 d + SL6 | 21 d | 21 + SL6 | 28 d | 28 d + SL | |
| CTR | 105.7 nsF | 150.3 aB | 127.2 cD | 143.0 cC | 146.9 bB | 100.3 bF | 154.3 cB | 113.3 bE | 183.0 bA | 101.8 aG |
| MCP | 105.7 nsD | 135.3 bC | 126.7 bC | 145.2 cB | 138.0 bC | 102.4 bD | 234.4 aA | 104.2 b | 126.9 aC | 98.3 aE |
| MCP + EC | 105.7 nsF | 113.4 bcE | 150.2 aC | 180.3 aA | 156.3 aC | 141.3 aD | 175.1 bB | 133.3 aD | 119.5 aE | 89.4 bG |
| EC | 105.7 nsD | 121.5 bcC | 149.9 aC | 161.3 bB | 157.1 aB | 150.5 aBC | 176.2 bA | 123.3 aC | 123.1 aC | 71.9 bE |
| Total Carotenoid Content (mg 100 g−1) | ||||||||||
|---|---|---|---|---|---|---|---|---|---|---|
| At Harvest (0 d) | 0 d + SL6 | 7 d | 7 d + SL6 | 14 d | 14 d + SL6 | 21 d | 21 + SL6 | 28 d | 28 d + SL6 | |
| CTR | 2.5 nsB | 1.2 nsE | 2.2 nsC | 1.9 nsC | 2.1 cB | 2.4 aB | 3.5 aA | 1.8 nsC | 2.7 nsB | 1.0 nsF |
| MCP | 2.5 nsA | 1.2 nsC | 2.7 nsA | 1.4 nsC | 3.1 bA | 1.7 bB | 3.0 bA | 1.8 nsB | 2.1 nsB | 1.1 nsE |
| MCP + EC | 2.5 nsB | 1.1 nsD | 2.7 nsB | 1.9 nsC | 3.7 aA | 1.4 bD | 3.8 aA | 2.1 nsC | 2.3 nsC | 0.8 nsD |
| EC | 2.5 nsB | 1.3 nsD | 2.8 nsB | 1.2 nsD | 3.6 aA | 1.8 bC | 3.6 aA | 1.1 nsD | 2.1 nsC | 0.8 nsD |
| Antioxidant Activity (Mm Trolox g−1 FW) | ||||||||||
|---|---|---|---|---|---|---|---|---|---|---|
| At Harvest (0 d) | 0 d + SL6 | 7 d | 7 d + SL6 | 14 d | 14 d + SL6 | 21 d | 21 + SL6 | 28 d | 28 d + SL6 | |
| CTR | 207.5 nsC | 290.2 bA | 211.4 bC | 219.2 b | 232.7 bB | 148.5 cD | 256.8 aB | 158.9 cD | 235.8 cB | 159.6 cD |
| MCP | 207.5 D | 280.1 bA | 214.9 bD | 299.9 bA | 224.6 cC | 231.3 bC | 243.7 bB | 221.2 bC | 256.9 bB | 234.3 aB |
| MCP + EC | 207.5 E | 310.2 aB | 225.4 aD | 389.3 aA | 249.7 aC | 390.2 aA | 234.8 cD | 245.2 aC | 258.9 bC | 222.4 bD |
| EC | 207.5 E | 321.5 aA | 210.4 bE | 264.3 cB | 234.9 bC | 250.5 bC | 246.9 bC | 233.3 bC | 278.7 aB | 219.9 bD |
© 2020 by the authors. Licensee MDPI, Basel, Switzerland. This article is an open access article distributed under the terms and conditions of the Creative Commons Attribution (CC BY) license (http://creativecommons.org/licenses/by/4.0/).
Share and Cite
Sortino, G.; Saletta, F.; Puccio, S.; Scuderi, D.; Allegra, A.; Inglese, P.; Farina, V. Extending the Shelf Life of White Peach Fruit with 1-Methylcyclopropene and Aloe arborescens Edible Coating. Agriculture 2020, 10, 151. https://doi.org/10.3390/agriculture10050151
Sortino G, Saletta F, Puccio S, Scuderi D, Allegra A, Inglese P, Farina V. Extending the Shelf Life of White Peach Fruit with 1-Methylcyclopropene and Aloe arborescens Edible Coating. Agriculture. 2020; 10(5):151. https://doi.org/10.3390/agriculture10050151
Chicago/Turabian StyleSortino, Giuseppe, Filippo Saletta, Stefano Puccio, Dario Scuderi, Alessio Allegra, Paolo Inglese, and Vittorio Farina. 2020. "Extending the Shelf Life of White Peach Fruit with 1-Methylcyclopropene and Aloe arborescens Edible Coating" Agriculture 10, no. 5: 151. https://doi.org/10.3390/agriculture10050151
APA StyleSortino, G., Saletta, F., Puccio, S., Scuderi, D., Allegra, A., Inglese, P., & Farina, V. (2020). Extending the Shelf Life of White Peach Fruit with 1-Methylcyclopropene and Aloe arborescens Edible Coating. Agriculture, 10(5), 151. https://doi.org/10.3390/agriculture10050151

