Next Article in Journal
Sustainable Fertilizer Strategies for Vaccinium corymbosum x V. angustifolium under Abandoned Peatland Conditions
Previous Article in Journal
Machine Learning Regression Model for Predicting Honey Harvests
 
 
Font Type:
Arial Georgia Verdana
Font Size:
Aa Aa Aa
Line Spacing:
Column Width:
Background:
Article

Pathogens Associated to Kiwifruit Vine Decline in Italy

Department of Agricultural and Food Sciences, University of Bologna, viale G. Fanin 44, 40127 Bologna, Italy
*
Author to whom correspondence should be addressed.
Agriculture 2020, 10(4), 119; https://doi.org/10.3390/agriculture10040119
Submission received: 21 February 2020 / Revised: 18 March 2020 / Accepted: 7 April 2020 / Published: 10 April 2020
(This article belongs to the Section Crop Protection, Diseases, Pests and Weeds)

Abstract

Kiwifruit production has gained great importance in Italy, becoming a strategic crop in several areas. In recent years, the Italian kiwifruit industry has been threatened by the emergence of a new, idiopathic syndrome causing a severe and rapid decline, leading to vine collapse within two years from symptom development. The main symptoms associated to this syndrome are the disappearance of feeding roots, blocking of both stele and xylem vessels, root cortex breakdown, leaf necrosis, phylloptosis, twig wilting and plant death. Kiwifruit decline affects both Actinidia chinensis var. chinensis and A. chinensis var. deliciosa. Due to the similarity with other fruit trees idiopathic diseases, such as the rapid apple decline, we propose to name this disorder as kiwifruit vine decline syndrome (KVDS). The causes of KVDS are still unknown. However, KVDS is prevalent in soils affected by waterlogging or poor aeration, suggesting a physiological origin of this disorder. In addition, our experiments suggested a role of the rhizosphere microbial community, since healthy and KVDS-affected plants show distinct bacterial and fungal communities. Phytophthora spp. and Phytopythium spp. were more frequent in symptomatic plants (58.6%) than in asymptomatic ones (19%). Moreover, Desarmillaria tabescens were found only on symptomatic plants. Inoculation of potted kiwifruit vines with those pathogens resulted in KVDS symptom development. Finally, induced waterlogging conditions increased the incidence of pathogen isolation, but not the symptom development.

1. Introduction

The kiwifruit industry in Italy currently represents one of the most dynamic and profitable investments within the Italian agricultural sector. Kiwifruit production and plantation area have been increasing steadily since the 1970s, when the first orchards were planted. By now, the production of Italian kiwifruit is concentrated in the following districts: the province of Latina, the Romagna region, and the provinces of Cuneo and Verona [1]. However, the kiwifruit industry has experienced serious problems in recent times: since the 2007–2008 seasons, Pseudomonas syringae pv. actinidiae epidemics have caused major economic losses [2], while more recently, the introduction of the marmorated stinkbug (Halyomorpha halys) has seriously compromised fruit quality and marketable yields [3]. Finally, from 2012–2013, kiwifruit orchards in northern Italy showed a rapid vine decline especially in those areas, such as Verona province, where the common irrigation practice consists of temporary flooding [4,5].
Initially, symptoms were reported on a surface of about 600 ha [6] and since then, kiwifruit vine decline syndrome (KVDS) has spread to the most important Italian regions for kiwifruit production (e.g., Piedmont, Friuli-Venezia Giulia, Lazio). Nowadays, KVDS affects almost 3000 ha of kiwifruit orchards, equal to 10% of the total area cultivated to kiwifruit in Italy [7]. Symptoms similar to KVDS have been observed in different environments and were often associated either to waterlogging, root rotting or root asphyxia [8,9,10,11,12]. In addition, KVDS development is usually associated with excessive precipitation/irrigation both in spring and in summer [5]. In fact, the peak of symptomatology generally occurs in mid-late summer, in concomitance with high temperatures, when transpiration of the vines is highest and shoots support the highly-demanding fruit growth [8]. Among the earliest symptoms, a progressive desiccation of leaves moving from leaf margin to inner tissues is observed. Leaf margin deformation and sprout desiccation are other common symptoms especially in 1- to 2-year old vines. With the progression of symptoms, the majority of the canopy shows leaf margin desiccation and, at this stage, extensive phylloptosis occurs, triggering the plant’s collapse. In symptomatic vines, a diffuse fruit drop may take place, while remaining berries are impaired in their development, showing a stunted growth often associated to skin wrinkling at harvest [6]. Generally, once affected, vines are expected to die within 2 years [6].
The symptomatology on the canopy reflects the massive damages to the root system. In comparison to healthy plants, the root apparatus in suffering vines is characterised by the scarcity or absence of feeder roots, while the structural roots show widespread brown, soft-rotting areas. With the progression of KVDS, the root cortical layers may show hypertrophy, followed by phloem detachment from the central cylinder, thus causing the breakdown of the cortex. The development of symptoms on the canopy may remain latent, even though the root system is already compromised.
Several abiotic [6,7,13,14] and biotic [5,6] factors have been suggested to trigger the onset of KVDS. Water pollution and salinity, accumulation of heavy metals, xenobiotic molecules or other contaminants in the soil, presence of nematodes and soil structure anomalies (i.e., compaction or clay aggregation) have been suggested to promote KVDS symptoms and diffusion. However, none of these factors was sufficient, per se, to reproduce KVDS symptoms [5,6]. Moreover, even though these factors enhance KVDS severity, no statistical correlation was observed among these factors and KVDS incidence [5,6].
Among the abiotic factors, waterlogging caused by either excessive irrigation or precipitation was shown to be the main driver of KVDS [7,13,14]. Kiwifruit plants are highly sensitive to waterlogging conditions [9,10,11]. For example, massive plant death was reported in the late 1980s in New Zealand after the passing of the cyclones Delilah and Bola, when the strong rainfalls caused soil water saturation for some days [11,12]. The strong sensitivity of kiwifruit plants to waterlogging is due to the high consumption of oxygen by the root system. In fact, an adult kiwifruit plant consumes up to 4.6 × 10−6 mol/m3 of oxygen, and thus it is able to deplete the oxygen reserves of a well-aerated soil in just 5 h [15]. Furthermore, the root asphyxia symptoms can be worsened by the limited gas circulation within the root, due to the small intercellular space between contiguous cells [15,16].
After a few hours of induced asphyxia, vines experience a strong reduction in root activity, as well as in stomata conductance. Indeed, the lack of oxygen at root level induces a reduction in the stomata conductance, starting when just 25% of the roots are affected for at least 48 h [15]. In these conditions, root-to-canopy water flow is suppressed, and leaves and shoots may suffer from water scarcity although the soil water content is high. Additionally, leaves cannot enact thermoregulation mechanisms against sun burn damages [16], which cause symptoms resembling the initial steps of KVDS. Excessive irrigation induces also soil compaction and reduction in soil porosity, which is further hampered in soils with a scarce organic matter fraction content.
Field observations suggest that pathogenic microorganisms may also be involved in KVDS. In fact, affected plants are initially located in a limited area of the orchard, and symptoms seemingly spread from affected vines to the surrounding ones [5]. Moreover, preliminary trials performed by transplanting young vines in pots filled with soil collected in the proximity of affected plants, allowed to reproduce KVDS symptoms which were observed after reiterate cycles of excessive root watering (simulating flooding conditions). Finally, soil sterilisation abolished symptom development, indicating the potential involvement of biotic factors [7].
Different species of pathogenic fungi have been suggested to be involved, at least indirectly, in the development of the decline syndrome [17,18]. In fact, even after soil conditions were restored to optimal level, by increasing aeration and drainage, plants were still suffering from the decline syndrome. Phytophthora megasperma was isolated from these plants and, in experimental conditions, this pathogen was able to induce root necrosis even under mildly unfavourable conditions [17]. Species belonging to Phytophthora-related genera (Pythium, Phytopythium) and Armillaria spp. were reported to affect kiwifruit plants [15,19,20,21,22,23]. Nonetheless, their involvement in KVDS occurrence has not been demonstrated.
In this context, we investigated the potential involvement of the root-associated microbial community in the onset of KVDS. For this purpose, the bacterial and fungal community of roots of healthy and KVDS-affected kiwifruit vines was characterised with a classical microbiological approach. Finally, inoculation trials were performed in controlled conditions on potted plants subjected to different irrigation regimes to verify whether specific fungal isolates could reproduce KVDS symptomatology.

2. Materials and Methods

2.1. Microbial Isolation

Root samples of kiwifruit vines [A. chinensis var. deliciosa (A.Chev.) A.Chev. cv. ‘Hayward’] were collected from three mature, commercial orchards located in the Verona province (North Italy) characterised by different KVDS incidence. Orchard 1 (O1) had less than 5% of the plants suffering KVDS symptoms, orchard 2 (O2) was heavily affected by the syndrome, with most of the plants (approx. 60%) affected by serious canopy wilting; while orchard 3 (O3) did not show any visible symptoms of KVDS. A plant was considered symptomatic when at least 25% of the shoots showed symptoms of wilting or desiccations, or alternatively when the percentage of chlorotic/necrotic leaves were over 30% of the foliage (Figure S1).
Roots (4 vines per orchard with 5 replicates per vine) were sampled, washed in a 0.05% Tween 80 solution then rinsed with deionised water. The root surface was disinfested for 1 min in a 1.5% sodium hypochlorite (NaOCl) solution and then rinsed twice with deionised water. After surface sterilisation, samples were individually divided into: (1) radicle, (2) secondary root cortex and (3) stele.
Concerning fungal isolation, small pieces of root tissue (15 mm) were placed on potato dextrose agar (PDA) amended with 0.2 g L−1 rifampicin and 0.5 g L−1 tetracycline to prevent bacterial growth. Plates were incubated for 5–10 days at 24 ± 1 °C in the dark. A pure culture of each isolate was obtained prior to morphological and molecular identification. For long-term storage, cultures were kept on PDA slants or dishes at 4 °C. The morphology of each isolate was determined on PDA medium. Mycelial samples (5 mm diameter) were taken from the edge of 5-day-old colonies and inoculated in the centre of a new PDA plate. Colony characteristics (colour, aerial mycelium, margin shape, presence and morphology of reproductive structures) of isolates were determined after 7–10 days of incubation in 12 h light/12 h dark cycle at 24 ± 1 °C.
For bacterial isolation, small pieces of the root (15 mm) were collected and grinded in a sterile 10 mM MgSO4 solution. The obtained suspension was filtered through a sterile gauze (100 µm mesh) to discard plant debris. Samples were serially diluted and plated on lysogenic broth (LB), nutrient agar (NA) and King’s B medium (KB), and incubated under microaerophilic conditions at 30 °C for 48 h. The different growing media were amended with cycloheximide (10 mg L−1) to prevent fungal contamination. All colonies with a distinct phenotype (colour, form, margin and elevation) were enumerated and collected from the plates at the highest countable dilution. The colony selection from the highest dilution plates allowed us to collect the most frequent and predominant species in each sample. Isolates were stored at −80 °C in LB broth supplemented with glycerol (20% v/v) (Sigma-Aldrich Srl., Milan, Italy) or on LB agar at 4 °C for short-term storage.

2.2. DNA Extraction and Molecular Identification

Fungal mycelium was collected from pure cultures grown on PDA after 7–10 days of incubation and suspended in 1 mL sterile water. The suspension was centrifuged at 10,000 rpm for 5 min. Pellets were re-suspended in 200 μL of InstaGeneTM Matrix (BioRad, Milan, Italy) and sonicated for 15 min in an ultrasonic bath. Subsequently, the samples were incubated, first at 56 °C for 30 min and then at 100 °C for 10 min. At the end of the incubation steps, samples were centrifuged at 10,000 rpm for 10 min and the supernatants stored at −20 °C.
Fungal isolates were subjected to the amplification of the ITS1-5.8S-ITS2 (Internal Transcribed Spacer) region using the following primer pair: ITS1 (5′-TCCGTAGGTGAACCTGCGG-3′); ITS4 (5′-TCCTCCGCTTATTGATATGC-3′). Amplification was performed in 25 µL total volume, with 0.5 µM of each primer, in agreement with Esteve-Zarzoso et al. [24]. The amplification programme included an initial denaturation step at 94 °C for 5 min, 30 cycles of 94 °C for 30 s, 55 °C for 30 s, 72 °C for 1 min, and a final step of 72 °C for 10 min.
For bacterial isolates, DNA was extracted using Bacterial DNA isolation kit (Sigma-Aldrich, Milan, Italy) according to manufacturer’s instructions. 16S rRNA gene amplification was performed as previously described [25], using Lac16S-for (5′-AATGAGAGTTTGATCCTGGCT-3′) and Lac16Srev (5′-GAGGTGATCCAGCCGCAGGTT-3′) primers.
The amplified fragments were then purified using GFX PCR DNA and Gel Band Purification Kit (Amersham Biosciences, Uppsala, Sweden), according to the manufacturer’s instructions, dried, and sequenced by the BMR Genomics Labs (Padova, Italy). Sequence chromatograms were obtained through Chromas software (Technelysium Pty Ltd, Brisbane, Australia) and can be accessed at bmr.cribi.unipd.it. Sequences were compared to those available in the GenBank database (http://www.ncbi.nml.nih.gov/BLAST) and in the Ribosomal Database Project (http://rdp.cme.msu.edu/index.jsp) to determine the closest known relative species.

2.3. Inoculation Trials in Greenhouse Conditions

Inoculation experiments were performed in controlled conditions in the greenhouse of the University of Bologna on potted kiwifruit vines to verify the ability of different isolates to trigger the typical symptoms of the syndrome once inoculated on healthy vines. The plants were cultivated in 10 litre plastic pots, each filled with an equal quantity of a potting mix composed of 40% brown peat, 10% pine bark and 50% disinfected soil.
Since no bacterial pathogens were isolated from analysed samples, only fungal species were investigated for the inoculation trials. Pathogenicity assay was performed on fifty-six 2-year-old A. macrosperma (cv. Bounty 71) potted vines, commonly adopted as a rootstock for both A. chinensis var. chinensis and A. chinensis var. deliciosa commercial cultivars. Bounty 71 was chosen, as it is commercialised as a tolerant genotype to root asphyxia. Vines were grown in standard greenhouse conditions under natural light (relative humidity: 60%, temperature: 20 to 24 °C) and maintained with standard NPK fertilisation supplied as in fertigation.
Since waterlogging seems to be one of the drivers of KVDS onset, half of the plants were subjected to irrigation schedule exceeding the soil field capacity (FC), whereas the remaining plants received irrigation volumes accounting to approximately 70% of the estimated FC. The higher water irrigation volumes were supplied to mimic the flooding system adopted in most affected orchards. In a preliminary test, soil FC was determined for each pot by drying the soil at 110 °C until a constant weight was obtained. Subsequently, water was applied to the dried-up soil, until percolation occurred. FC was calculated as the volume of water at which percolation started and expressed as a percentage relative to the weight of each pot. During the experimental period, pots were periodically weighed and the difference in weight on subsequent days was corrected by adding water to maintain the required FC. The two irrigation strategies were maintained from March to the first week of September, when inoculation was performed. During the experiment, to avoid the increase in weight due to the growth of the foliage, the plants were periodically pruned and the material weighed.
Four vines in both irrigation conditions were inoculated with one of the fungal pathogens isolated from affected vines (Phytophthora megasperma, Phytophthora infestans, Phytopythium spp. or Desarmillaria tabescens). Phytopythium helicoides CBS 286.31 and P. fagopyri CBS 293 were included as reference strains. The remaining 8 plants were used as uninoculated controls. D. tabescens isolates were routinely cultured on potato dextrose agar (PDA) at 25 °C in the dark. Woody inoculum was prepared according to Mansilla et al. [26], with slight modifications. To this end, fresh twig fragments (5–6 cm × 1.5–2 cm diameter, bark included) of Actinidia chinensis var. deliciosa were placed overnight in water. Thereafter, water was removed and boxes containing woody materials were autoclaved. After cooling, 250 mL of sterile PDA medium were added, and each box was inoculated by placing active mycelial culture fragments onto the stem segments. Boxes were incubated in the dark at 25 °C for 2 weeks. For inoculation in each pot, two inoculated shoots were buried in the soil adjacent to the main root. Control plants were mock inoculated with sterile twig segments.
Pure cultures of Phytophthora, Phytopythium and Pythium isolates were grown on potato dextrose agar medium (PDA) for 1 week at 25 °C in the dark. To induce sporangium production, active mycelial culture fragments were transferred to soil extract medium. Air-dried garden soil (with high content of organic matter) was diluted (1%, w/v) in distilled water and sterilised for 1 h at 121 °C. After a preliminary sedimentation at room temperature, the supernatant was centrifuged, the pH of the clear solution was adjusted to 6.8–7.0 and sterilised. The fungal-soil suspension was then placed in the dark at 15–18 °C for 48 h. Resulting sporangia were counted using a hemocytometer, and 50 mL of a suspension of sporangia (105 CFU mL−1) were used to inoculate each plant. Plants inoculated with sterile medium served as a control. Zoospores were released by placing the suspension at 4 °C for 1 h followed by another hour at 25 °C.
Plants were maintained at 22 ± 3 °C and the symptom evolution (chlorotic leaves and mortality incidence) was monitored weekly. Fungal populations were determined six weeks after inoculation. Firstly, to assess epiphytic populations, root samples were vigorously washed for 5 min in 15 mL sterile distilled water containing 0.05% (v/v) Tween 80. The concentration and identity of fungal suspensions were evaluated by plating 100-µL aliquots of serial 1:10 dilutions on PDA amended with rifampicin (20 mg L−1), streptomycin (100 mg L−1) and tetracycline (50 mg L−1). The growth pattern, mycelium structure and sporangial morphology of the individual isolates were examined under microscope for identification.
To assess the endophytic populations, the same tissue samples were surface sterilised by washing in 70% ethanol (2 min) and in 0.1 % NaOCl (2 min) solution, followed by rinses with sterile water. Successively, they were homogenised in 15 mM sterile distilled water containing 0.05% (v/v) Tween 80 and population was assessed as previously described.

2.4. Statistical Analysis

Principal component analysis (PCA) was performed on bacterial relative abundance, or on the fungal populations and percentage of isolation in test plants with Statistica 7.0 (StatSoft Inc., Tulsa, OK, USA). Incidence in greenhouse inoculation trials was analysed by the Marascuilo procedure (χ2 = 0.05). The effect of the irrigation strategy on the percentage of epiphytically and endophytically colonised roots was analysed by Z-test (p = 0.05). Population data were expressed as mean ± standard error (S.E.).

3. Results

3.1. Bacterial Community of A. chinensis var. deliciosa Roots

Sixteen bacterial species were isolated from kiwifruit roots (Figure 1). No specific bacterial pathogen was isolated in any samples, either from affected orchards (O1 and O2), or from the healthy one (O3). Furthermore, since samples from affected vines showed similar bacterial communities, irrespective of their provenience from orchards with a low (5%, O1) or high (60%, O2) KVDS incidence, data of these two orchards were pooled and compared with the ones obtained from the healthy orchard (O3). The most abundant species in plants affected by KVDS was Flavobacterium spp., while Sphingobium was the bacterial genus most frequently isolated in healthy roots (Figure 1).
Shannon and Pielou biodiversity indexes were also calculated. The Shannon index (H) takes into account both the abundance and evenness of bacterial species in a community and it is sensitive to changes in rare species. The Pielou index (J) is an index of evenness, ranging from 0 to 1, with 1 representing perfect evenness and 0 complete dominance. The bacterial community of healthy roots showed the highest biodiversity (H = 2.68 and J = 0.46), while in plants affected by KVDS, both species richness (H = 1.51) and population evenness (J = 0.26) were reduced.
Multivariate analysis (PCA) shows that the cumulative variance explained by the first two components was approx. 57% (35.5% axis 1 and 21.2% axis 2) (Figure 2). This approach clearly separated the hosted bacterial community from the healthy and the suffering vines. However, since no pathogenic species were isolated, bacteria were not considered for the inoculation of kiwifruit plants.

3.2. Fungal Community of A. chinensis var. deliciosa Roots in Relation to KVDS

Root samples investigation yielded 108 fungal isolates. Based on phenotypic characterisation, isolates were clustered into 10 uniform morphological groups. DNA sequencing of the isolates from each group led to the identification of 11 different species (Table 1).
The pathogenic species Phytophthora megasperma, Phytophthora infestans, Phytopythium spp. were present either in healthy or KDVS affected roots (Table 2). Desarmillaria tabescens, instead, was found only in samples from the orchard affected by KVDS symptoms (Figure 3). The analysis revealed the presence of different mycorrhizae (Gigaspora margarita and Meliniomyces variabilis) and avirulent endosymbionts like Trichoderma pseudokoningii, Trichoderma citrinoviride (Table 2). Among the symbiotic fungi, only G. margarita was isolated exclusively in symptomatic orchards (Figure 3 and Figure 4). T. pseudokoningii was found in the three orchards. Finally, Hymenoscyphus spp. was uniquely isolated from healthy roots. This genus of fungi includes about 155 species, several of them being either saprophytic or mutualistic symbionts (e.g., H. ericae).
Secondary root cortex samples were colonised by the widest variety of fungal species. Only Phytopythium spp. and G. margarita could be isolated from feeder radicles, while the stele was colonised only by Ph. infestans, G. margarita and T. pseudokoningii (Table 2).
Concerning community structure, KVDS-affected roots had a higher presence of pathogenic fungi (67% of the whole isolates) and a lower number of symbiotic ones (33%) as compared to heathy roots where pathogenic species were found (Figure 4). In the latter, pathogenic and symbiotic fungi accounted for 19% and 38% of fungal isolates, respectively (Figure 4). Phytopythium spp. and Ph. infestans were the two most abundant species in KVDS-affected roots, accounting for 30% and 20% of the whole fungal isolates, respectively (Figure 4). D. tabescens, exclusively found in symptomatic roots, accounted for approximately 9% of the fungal isolates.
The highest fungal biodiversity was observed in symptomatic roots (Shannon index, H = 2.22), while healthy ones presented a H = 1.92. Healthy roots showed the lowest Pielou index (J = 0.44), with the mycorrhizal fungus M. variabilis being the most frequent species. Symptomatic roots had the highest J index (0.50), with Phytopythium being the most abundant genus.

3.3. KVDS Development after Experimental Inoculation

Four pathogenic isolates were selected to be evaluated for pathogenicity on kiwifruit plants: Phytophthora infestans N3, Phytophthora megasperma N2-2, Phytopythium spp. GPW1 and Desarmillaria tabescens GPW3-1. Since the identification of the Phytopythium sp. strain. GPW1 could not discriminate between P. helicoides and P. fagopyri, the reference strains P. helicoides CBS 286.31 and P. fagopyri CBS 293 were included for comparison.
Under our experimental conditions, all the isolates were able to reproduce the typical symptoms of KVDS (Figure 5) when inoculated in kiwifruit vines, while the irrigation strategy did not significantly affect KVDS incidence of symptomatic plants. Moreover, in several cases, vines provided with standard irrigation showed a percentage of symptomatic plants higher than the ones supplied with excess water. For this reason, data on KVDS incidence in standard and high irrigation were pooled (Figure 5).
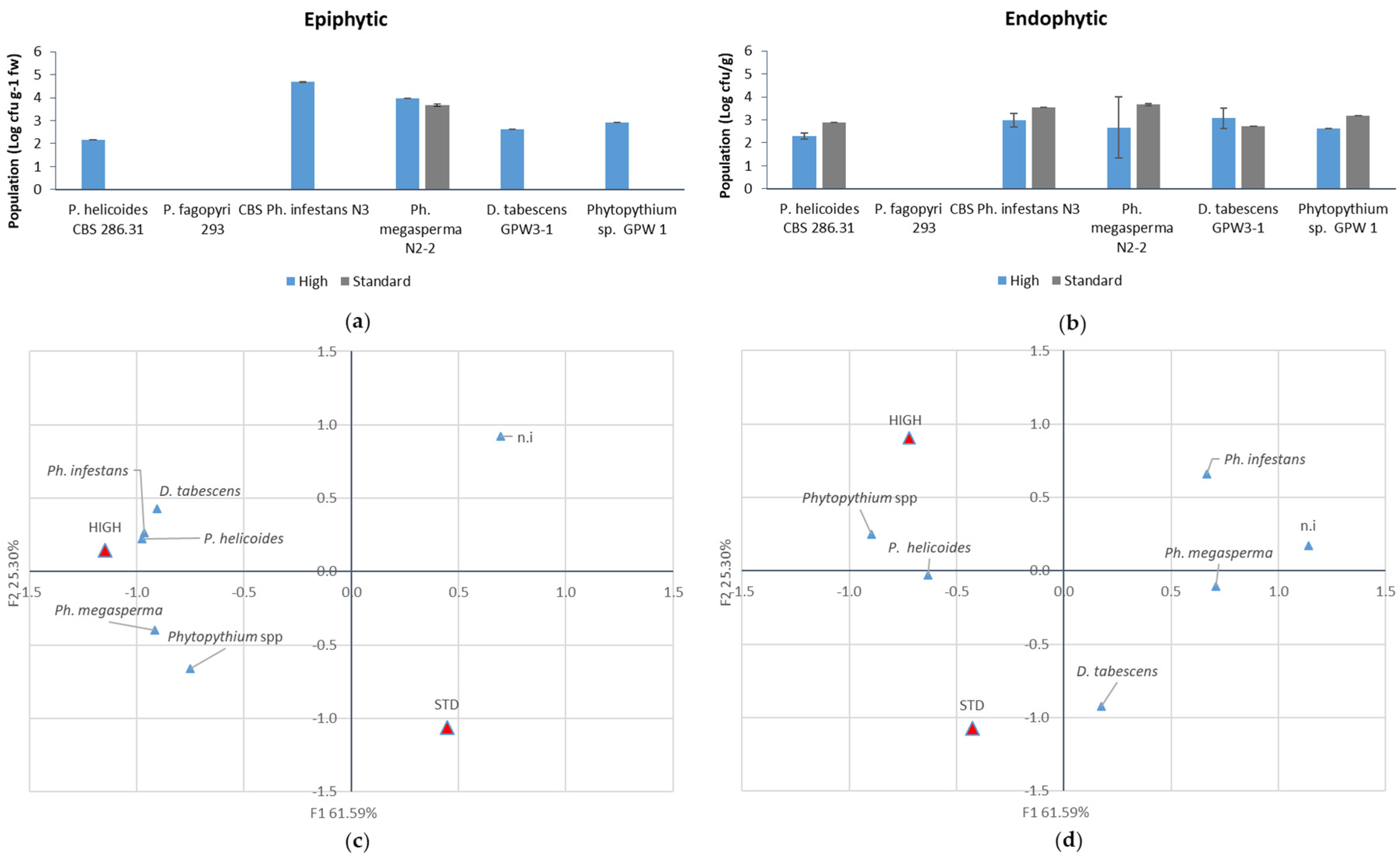
Since KVDS symptom assessment accounts for leaf margin desiccation, wilting and phylloptosis which are not specific, to clarify the influence of the irrigation regime on the disease incidence and severity, fungal pathogens were reisolated from roots of inoculated vines and their population enumerated. In fact, the presence of an endophytic population of the pathogen inside a target organ is a precise method to estimate disease incidence [27]. By taking into consideration the occurrence of fungal reisolation, a different situation emerged where the higher incidence of fungi corresponds to the higher irrigation volumes (Figure 6a,b). For all the tested pathogens, except P. megasperma N2-2, an epiphytic population was detected exclusively on the roots subjected to excessive irrigation (Figure 6a).
Moreover, for Ph. infestans N3 and D. tabescens GPW3-1, a significant increase in endophytic incidence, which indicates successful infection, was observed with the increase in irrigation. P. fagopyri CBS 2933 was not reisolated either on roots surface (Figure 6a,b), or inside the root tissues, independently of the irrigation strategy.
The isolated Phytopythium strain (GPW-1) had a behaviour similar to P. helicoides (CBS286.31) used as a reference independently of the irrigation strategy adopted. The high water treatment significantly (Z-test, p = 0.021) increased the overall endophytic colonisation incidence by pathogenic fungi.
Irrigation volume influenced fungal population size in a similar way to incidence, with excessive irrigation causing an increase in the pathogen population on the root surface (Figure 7).

4. Discussion

The extent of fruit and forest tree decline has constantly increased in recent years, urging the identification of the underlying mechanisms. Since different biotic and abiotic factors contribute to woody plant declines and symptoms are often nonspecific and chronical, rather than acute, these syndromes could be considered multifactorial diseases [28,29]. In this view, pathogenic agents may act either as primary or secondary factors when plants have already been weakened by climatic, environmental or agricultural stresses [29]. This research aimed at verifying potential implications of the root microbial community on the onset and development of the KVDS epidemic outbreak in Italy. Asymptomatic and symptomatic roots could be discriminated based on their bacterial community. Nonetheless, no pathogenic bacteria were isolated from kiwifruit root system, suggesting that the bacterial community does not play a significant role in KVDS onset. The differences between the bacterial community of healthy and KVDS roots could relate to different biotic and abiotic conditions the roots are exposed to, or alternatively, to differences in the physiological status of the roots, which may in turn influence the resident microbial communities [30].
Three main pathogenic fungal genera were isolated from roots of kiwifruit tissues, namely Phytophthora, Phytopythium and Desarmillaria. Therefore, similarly to other woody plant declines, different fungal pathogens may contribute to the development of KVDS [31]. These fungi were present both in healthy and in symptomatic kiwifruit vines. Nonetheless, healthy and symptomatic vines were discriminated by the frequency of isolation of these pathogens. Moreover, KVDS plants showed a lower frequency of symbiotic fungal species. Indeed, woody plant decline is often not directly associated with single specific pathogens, but it is related to the dysbiosis of the plant-associated microbiome, resulting in an imbalance in the functions exerted by the microbial community [29,32].
Finally, D. tabescens was exclusively isolated from the roots of symptomatic plants. However, the fact that these fungi colonised the roots once vines were already suffering from KVDS cannot be excluded.
Several Phytophthora species are responsible for important losses both in agricultural and natural ecosystems. Phytophthora root rot diseases are common in heavy and wet soils as well as in excessively watered orchards [17]. Previous studies have indicated that most of the pathogenic fungi associated to kiwifruit root rot belong to the genus Phytophthora, and different species or varieties occur in different countries. For example, Ph. cryptogea and Ph. citrophthora were reported in Chile [33]; Ph. nicotianae in Italy [34]; Ph. megasperma in France [17]; Ph. cactorum, Ph. citrophthora, Ph. cryptogea, Ph. drechsleri, and Ph. megasperma in USA [35]; Ph. cryptogea, Ph. cinnamoni, Ph. citricola, Ph. gonapodyides and Ph. stellata in New Zealand. Among these species, Ph. cryptogea and Ph. cinnamoni are the most pathogenic [36].
Phytopythium is a newly established genus including fungi formerly classified as Pythium species [33]; to date, sixteen species belonging to this genus have been described. Phytopythium is characterised by morphological features common to both Pythium and Phytophthora leading to the reclassification of these species out of the genus Pythium in 2010, after genomic studies [37]. These fungi inhabit both water and soil, and several species, such as P. helicoides, are soil and water-borne plant pathogens causing root rot diseases. P. helicoides has already been identified in kiwifruit as the causal agent of root and collar rot [20] that produces symptoms at root level partially overlapping with the one observed in KVDS-affected vines. The molecular identification could not discriminate between Phytopythium helicoides and Phytopythium fagopyri. These two species are extremely close to each other, sharing wide portions of their genome, thus hindering a univocal identification by DNA sequencing based only on ITS region (Table 1). The strain of Phytopythium (GPW-1) isolated in this work had a behaviour similar to P. helicoides (CBS286.31) used as a reference, independently of the irrigation strategy. This result suggests that the strain GPW1 has more ecological and pathogenic similarity with P. helicoides than P. fagopyri. DNA barcoding based on different regions of the ribosomal operon may allow us to discriminate between these two species [38]. If confirmed, this finding would be the first report of Phytopythium helicoides affecting kiwifruit vines in Italy.
The species belonging to Armillaria and closely related genera are characterised by different lifestyles, as saprophytic, pathogenic and symbiotic species belong to the genus. Pathogenic species such as Desarmillaria tabescens and Armillaria mellea are responsible for severe root rot on many horticultural crop plants [39,40]. The natural habitat of these fungi is primarily represented by forests of hardwoods or mixed conifers, but very often populations of these fungi parasitise woody crops. Indeed, Armillaria also causes root rot and death in kiwifruit vines [22]. Orchard epidemics may start from infected wood remaining in the soil after land was cleared of forest trees to establish the plantations, or from roots of shelterbelt trees that had been felled, and whose stumps had been colonised by basidiospores [22]. Despite the wide geographical distribution of D. tabescens and its occurrence in southern Europe [41,42,43], the current work is the first report of kiwifruit infection in Italy. Moreover, the isolation of D. tabescens from kiwifruit vines has not been confirmed in previous studies.
Woody plant infection caused by D. tabescens is exacerbated by climate change [44,45]. Indeed, waterlogging could facilitate infection, since D. tabescens produces melanised rhizomorphs in water-saturated environments [39]. Furthermore, conditions of periodic water saturation can facilitate D. tabescens passive spread to roots in a single root system, among adjacent root systems, and even among root systems of sequential generations of trees [46]. Finally, stressing conditions may hinder root defences against pathogens, for instance, as a result of depletion of energy reserves or metabolic imbalance.
The greenhouse experiment confirmed that the four pathogens identified as Ph. infestans, Ph. megasperma, P. helicoides and D. tabescens are able to induce macroscopic KVDS symptoms both at root and canopy level. An excessive soil water content induces the growth of larger populations of pathogenic fungi on the root surface and inner tissues. The presence of high pathogenic populations (105 CFU g−1 FW) on the root surface of the samples exposed to higher water supply may account for the rapid spread of the decline from an infected vine to the neighbouring ones. In fact, when high pathogen populations are present on the outer layer of the roots, rather than in the inner tissues, they may act as an inoculation source for the surrounding vines. Moreover, the higher incidence and size of the epiphytic population may indicate that, in waterlogging conditions, pathogens may have a faster growth and a possible leak from internal root tissues. In this view, the high water content in the soil can further facilitate the diffusion of the pathogens, especially for those, such as Phytophthora and Phytopythium, which produce motile zoospores.

5. Conclusions

Our research suggests that fungal pathogens may play a role in KVDS epidemiology, but other drivers, such as waterlogging conditions and asphyxia, are triggering factors for the expression of KVDS symptomatology. Among the pathogenic fungi, Phytopythium was the most frequently isolated pathogen from infected roots and D. tabescens was isolated only in highly symptomatic vines, suggesting that these pathogens could have a crucial role in KVDS development. However, this study does not identify a univocal pathogen as the causal agent of KVDS symptoms. In fact, different fungal isolates may act as a pathogenic consortium, able to critically damage kiwifruit root system and causing KVDS on the epigeal part of the vine.
This study shed light on the possible correlation among the population of different pathogens contributing to KVDS. However, to corroborate the obtained results, the study should be expanded to a higher number of orchards and to different geographic areas, where KVDS has been observed. Furthermore, coupling environmental monitoring of soil conditions with the temporal dynamic studies of the different fungal populations associated with kiwifruit roots may distinguish among the fungal populations that act as drivers of KVDS and the ones that are modified as a consequence of KVDS. For this purpose, next generation sequencing (NGS) technologies and high-throughput screening (HTS) for metagenomic libraries would help in better understanding the role of microbial communities in KVDS onset and development. Finally, our study cannot exclude that other pathogenic organisms, such as phytoplasmas or viruses, may be involved in KVDS onset.

Supplementary Materials

The following are available online at https://www.mdpi.com/2077-0472/10/4/119/s1, Figure S1: examples of kiwifruit vine decline syndrome in potted plants, considered for field evaluation of disease incidence.

Author Contributions

Conceptualization, I.D. and F.S.; Formal analysis, I.D. and A.C.; Investigation, I.D., A.C., D.S. and E.C.; Supervision, I.D. and F.S.; Writing—original draft, F.S.; Writing—review & editing, A.C. and G.S. All authors have read and agreed to the published version of the manuscript.

Funding

This research received no external funding.

Conflicts of Interest

The authors declare no conflict of interest.

References

  1. Palmieri, A.; Pirazzoli, C. L’actinidia in Italia e nel mondo tra concorrenza e nuove opportunità. Riv. Fruttic. 2014, 12, 66–68. [Google Scholar]
  2. Donati, I.; Buriani, G.; Cellini, A.; Mauri, S.; Costa, G.; Spinelli, F. New insights on the bacterial canker of kiwifruit (Pseudomonas syringae pv. actinidiae). J. Berry Res. 2014, 4, 53–67. [Google Scholar] [CrossRef]
  3. Cesari, M.; Maistrello, L.; Ganzerli, F.; Dioli, P.; Rebecchi, L.; Guidetti, R. A pest alien invasion in progress: Potential pathways of origin of the brown marmorated stink bug Halyomorpha halys populations in Italy. J. Pest Sci. 2015, 88, 1–7. [Google Scholar] [CrossRef]
  4. Xiloyannis, C.; Baroni, G.; Bovo, M.; Angelini, P.; Pezzarossa, B.; Pagliai, M. L’irrigazione per scorrimento nel Veronese: Spreco di acqua e di concimi; effetti sulla porosità del terreno. Riv. Fruttic. 1992, 6, 55–62. [Google Scholar]
  5. Tacconi, G.; Paltrinieri, S.; Mejia, J.F.; Fuentealba, S.P.; Bertaccini, A.; Tosi, L.; Giacopini, A.; Mazzucchi, U.; Favaron, F.; Sella, L.; et al. Vine decline in kiwifruit: Climate change and effect on waterlogging and Phytophthora in North Italy. Acta Hortic. 2015, 1096, 93–97. [Google Scholar] [CrossRef]
  6. Tosi, L.; Tacconi, G.; Giacopini, A. La moria del kiwi, situazione e prospettive. L’Informatore Agrar. 2015, 44, 67–70. [Google Scholar]
  7. Sorrenti, G.; Tacconi, G.; Tosi, L.; Vittone, G.; Nari, L.; Savian, F.; Saro, S.; Ermacora, P.; Graziani, S.; Toselli, M. Avanza la “moria del kiwi”: Evoluzione e primi riscontri della ricerca. Riv. Fruttic. 2019, 2, 34–42. [Google Scholar]
  8. Hughes, K.A.; Wilde, R.H. The effect of poor drainage on the root distribution of kiwifruit vines. N. Z. J. Crop Hortic. 1989, 17, 239–244. [Google Scholar] [CrossRef]
  9. Reid, J.B.; Tate, K.G.; Brown, N.S. Effects of flooding and alluvium deposition on kiwifruit (Actinidia deliciosa). N. Z. J. Crop Hortic. 1991, 19, 247–257. [Google Scholar] [CrossRef]
  10. Reid, J.B.; Tate, K.G.; Brown, N.S. Effects of flooding and alluvium deposition on kiwifruit (Actinidia deliciosa) 2. Vine performance the following season. N. Z. J. Crop Hortic. 1992, 20, 283–288. [Google Scholar] [CrossRef]
  11. Reid, J.B.; Brown, N.S.; Tate, K.G.; Howartson, R.; Cheah, L.H. Soil Properties and the Effects of Cyclone Bola on Survival and Performance of Kiwifruit Vines. In Proceedings of the New Zealand Society of Soil Science Conference, Nelson, New Zealand, 21–25 November 1988; p. 12. [Google Scholar]
  12. McAneney, K.J.; Clough, A.; Green, A.; Harris, B.; Richardson, A. Waterlogging and vine death at Kerikeri. N. Z. Kiwifruit 1989, 56, 15. [Google Scholar]
  13. Sorrenti, G.; Toselli, M.; Reggidori, G.; Spinelli, F.; Tosi, L.; Giacopini, A.; Tacconi, G. Implicazioni della gestione idrica nella “moria del kiwi” del veronese. Riv. Fruttic. 2016, 3, 45–51. [Google Scholar]
  14. Sorrenti, G. “Moria del kiwi” non solo in Veneto, preoccupazione nel Nord Italia. Riv. Fruttic. 2017, 3, 22–23. [Google Scholar]
  15. Smith, G.S.; Buwalda, J.G.; Green, T.G.A.; Clark, C.J. Effect of oxygen supply and temperature at the root on the physiology of kiwifruit vines. New Phytol. 1989, 113, 431–437. [Google Scholar] [CrossRef]
  16. Jackson, M.B.; Drew, M.C. Effects of flooding on growth and metabolism of herbaceous plants. Flooding Plant Growth 1984, 3, 47–128. [Google Scholar]
  17. Baudry, A.; Morzieres, J.P.; Ellis, R. Effect of Phytophthora spp. on kiwifruit in France. N. Z. J. Crop Hortic. 1991, 19, 395–398. [Google Scholar] [CrossRef]
  18. Mazzucchi, U.; Mazzucchi, A.; Giacopini, A.; Tosi, L. Moria del Kiwi nel Veronese: Come Riconoscere Attacchi di Fitoftore Alle Radici. Freshplaza. 5 October 2013. Available online: https://www.freshplaza.it/article/4059809/moria-del-kiwi-nel-veronese-come-riconoscere-attacchi-di-fitoftore-alle-radici/ (accessed on 10 January 2020).
  19. Yano, T.; Shimizu, S.; Miyoshi, T.; Miyata, N.; Immon, K.; Shinozaki, T.; Sawada, H.; Kageyama, K. Tolerant Actinidia species to Pythium helicoides and P. vexans causing root rot. Acta Hortic. 2011, 913, 517–524. [Google Scholar] [CrossRef]
  20. Wang, K.X.; Xie, Y.L.; Yuan, G.Q.; Li, Q.Q.; Lin, W. First Report of root and collar rot caused by Phytopythium helicoides on Kiwifruit (Actinidia chinensis). Plant Dis. 2015, 99, 725. [Google Scholar] [CrossRef]
  21. Hood, I.A. Armillaria root disease in New Zealand forests. N. Z. J. For. Sci. 1990, 19, 180–197. [Google Scholar]
  22. Horner, I.J. Epidemiology of Armillaria root rot of kiwifruit. Acta Hortic. 1992, 297, 573–578. [Google Scholar]
  23. Aguín, O.; Mansilla, J.P.; Sainz, M.J. Intraspecific variation in Armillaria species from shrubs and trees in Northwestern Spain. Phytopathol. Mediterr. 2004, 43, 299–304. [Google Scholar]
  24. Esteve-Zarzoso, B.; Belloch, C.; Uruburu, F.; Querol, A. Identification of yeasts by RFLP analysis of the 5.8S rRNA gene and the two ribosomal internal transcribed spacers. Int. J. Syst. Bacteriol. 1999, 49, 329–337. [Google Scholar] [CrossRef] [PubMed]
  25. Bringel, F.; Castioni, A.; Olukoya, D.K.; Felis, G.E.; Torriani, S.; Dellaglio, F. Lactobacillus plantarum subsp. argentoratensis subsp. nov., isolated from vegetable matrices. Int. J. Syst. Evol. Microbiol. 2005, 55, 1629–1634. [Google Scholar] [CrossRef] [PubMed]
  26. Mansilla, J.P.; Aguín, O.; Sainz, M.J. A fast method for production of Armillaria inoculum. Mycologia 2001, 93, 612–615. [Google Scholar] [CrossRef]
  27. Donati, I.; Cellini, A.; Buriani, G.; Mauri, S.; Kay, C.; Tacconi, G.; Spinelli, F. Pathways of flower infection and pollen-mediated dispersion of Pseudomonas syringae pv. actinidiae, the causal agent of kiwifruit bacterial canker. Hortic. Res. 2018, 5, art N: 56. [Google Scholar] [CrossRef]
  28. Anderson, P.K.; Cunningham, A.A.; Patel, N.G.; Morales, F.J.; Epstein, P.R.; Daszak, P. Emerging infectious diseases of plants: Pathogen pollution, climate change and agrotechnology drivers. Trends Ecol. Evol. 2004, 19, 535–544. [Google Scholar] [CrossRef]
  29. Bettenfeld, P.; Fontaine, F.; Trouvelot, S.; Fernandez, O.; Courty, P.E. Woody plant declines. What’s wrong with the microbiome? Trends Plant Sci. 2020, 25, 381–394. [Google Scholar] [CrossRef]
  30. Jones, P.; Garcia, B.J.; Furches, A.; Tuskan, G.A.; Jacobson, D. Plant host-associated mechanisms for microbial selection. Front. Plant Sci. 2019, 10, 862. [Google Scholar] [CrossRef]
  31. Bertsch, C.; Ramírez-Suero, M.; Magnin-Robert, M.; Larignon, P.; Chong, J.; Abou-Mansour, E.; Spagnolo, A.; Clément, C.; Fontaine, F. Grapevine trunk diseases: Complex and still poorly understood. Plant Pathol. 2013, 2, 243–265. [Google Scholar] [CrossRef]
  32. Terhonen, E.; Blumenstein, K.; Kovalchuk, A.; Asiegbu, F.O. Forest tree microbiomes and associated fungal endophytes: Functional roles and impact on forest health. Forests 2019, 10, 42. [Google Scholar] [CrossRef]
  33. Latorre, B.B.; Alvarez, C.; Ribeiro, O.K. Phytophthora root rot of kiwifruit in Chile. Plant Dis. 1991, 75, 949–952. [Google Scholar] [CrossRef]
  34. Ciccarese, F.; Frisullo, S.; Amenduni, M. Observations of roots of Actinidia in Southern of Italy. Inf. Fitopatol. 1992, 42, 57–58. [Google Scholar]
  35. Conn, K.E.; Gubler, W.D.; Mircetich, S.M.; Hasey, J.K. Pathogenicity and relative virulence of nine Phytophthora spp. Phytopathology 1991, 81, 974–979. [Google Scholar] [CrossRef]
  36. Stewart, A.; Miccanison, A.M. Pathogenicity and relative virulence of seven Phytophthora species on kiwifruit. N. Z. J. Crop Hortic. 1991, 19, 73–76. [Google Scholar] [CrossRef]
  37. Bala, K.; Robideau, G.P.; Lévesque, A.; de Awam, C.; Abad, Z.G.; Lodhi, A.M.; Shahzad, S.; Ghaffar, A.; Coffey, M.D. Phytopythium sindhum Lodhi, Shahzad & Levesque, sp. nov. Persoonia 2010, 24, 137. [Google Scholar]
  38. Xu, J. Fungal DNA barcoding. Genome 2016, 59, 913–932. [Google Scholar] [CrossRef]
  39. Mihail, J.D.; Bruhn, J.N.; Leininger, T.D. The effects of moisture and oxygen availability on rhizomorph generation by Armillaria tabescens in comparison with A. gallica and A. mellea. Mycol. Res. 2002, 106, 697–704. [Google Scholar] [CrossRef]
  40. Kim, M.S.; Klopfenstein, N.B.; Hanna, J.W.; Cannon, P.; Medel, R.; López, A. First report of armillaria root disease caused by Armillaria tabescens on Araucaria araucana in Veracruz, Mexico. Plant Dis. 2010, 94, 784. [Google Scholar] [CrossRef]
  41. Antonín, V.; Jankovský, L.; Lochman, J.; Tomšovský, M. Armillaria socialis morphological anatomical and ecological characteristics, pathology, distribution in the Czech Republic and Europe and remarks on its genetic variation. Czech Mycol. 2006, 58, 209–224. [Google Scholar] [CrossRef]
  42. Guillaumin, J.J.; Mohammed, C.; Anselmi, N.; Courtecuisse, R.; Gregory, S.C.; Holdenrieder, O.; Intini, M.; Lung, B.; Marxmuller, H.; Morrison, D.; et al. Geographical distribution and ecology of the Armillaria species in western Europe. Eur. J. For. Pathol. 1993, 23, 321–341. [Google Scholar] [CrossRef]
  43. Girometta, C.E.; Bernicchia, A.; Baiguera, R.M.; Bracco, F.; Buratti, S.; Cartabia, M.; Picco, A.M.; Savino, E. An Italian research culture collection of wood decay fungi. Diversity 2020, 12, 58. [Google Scholar] [CrossRef]
  44. Sturrock, R.N.; Frankel, S.J.; Brown, A.V.; Hennon, P.E.; Kliejunas, J.T.; Lewis, K.J.; Worrall, J.J.; Woods, A.J. Climate change and forest diseases. Plant Path 2011, 60, 133–149. [Google Scholar] [CrossRef]
  45. Klopfenstein, N.B.; Kim, M.-S.; Hanna, J.W.; Richardson, B.A.; Lundquist, J.W. Approaches to Predicting Potential Impacts of Climate Change on Forest Disease: An Example with Armillaria Root Disease. In Research Paper RMRS-RP-76. U.S. Department of Agriculture, Forest Service; Rocky Mountain Research Station: FortCollins, CO, USA, 2009; p. 10. [Google Scholar]
  46. Baumgartner, K.; Coetzee, M.P.; Hoffmeister, D. Secrets of the subterranean pathosystem of Armillaria. Mol. Plant Pathol. 2011, 12, 515–534. [Google Scholar] [CrossRef] [PubMed]
Figure 1. Composition of bacterial community based on relative abundance (%) of different bacterial isolates detected after sequencing the 16S region in the root tissues of affected or healthy vines. Data represent the average of 4 healthy (O3) and 8 kiwifruit vine decline syndrome (KVDS) (O1 + O2) root replicates.
Figure 1. Composition of bacterial community based on relative abundance (%) of different bacterial isolates detected after sequencing the 16S region in the root tissues of affected or healthy vines. Data represent the average of 4 healthy (O3) and 8 kiwifruit vine decline syndrome (KVDS) (O1 + O2) root replicates.
Agriculture 10 00119 g001
Figure 2. Two-dimensional principal component analysis (PCA) showing the distribution of samples from healthy and KVDS affected plants on the basis of bacterial species presence and abundance. H: healthy root samples, KVDS: symptomatic samples.
Figure 2. Two-dimensional principal component analysis (PCA) showing the distribution of samples from healthy and KVDS affected plants on the basis of bacterial species presence and abundance. H: healthy root samples, KVDS: symptomatic samples.
Agriculture 10 00119 g002
Figure 3. Venn diagram showing the unique and shared fungal isolates between healthy (green circle) and KVDS symptomatic roots (red circle).
Figure 3. Venn diagram showing the unique and shared fungal isolates between healthy (green circle) and KVDS symptomatic roots (red circle).
Agriculture 10 00119 g003
Figure 4. Composition of fungal community based on relative abundance (%) of different fungal isolates detected after sequencing the ITS region in the root tissues of affected or healthy vines. Data represent the average of 4 healthy (O3) and 8 KVDS (O1 + O2) root replicates.
Figure 4. Composition of fungal community based on relative abundance (%) of different fungal isolates detected after sequencing the ITS region in the root tissues of affected or healthy vines. Data represent the average of 4 healthy (O3) and 8 KVDS (O1 + O2) root replicates.
Agriculture 10 00119 g004
Figure 5. Percentage of symptomatic kiwifruit plants (n = 8) in greenhouse experiment after inoculation with 4 different pathogenic fungi isolated form commercial orchards. Phytopythium CBS 286.31 and Phytopythium fagopyri CBS 293 were included as reference strains. Asterisk indicate significant differences between control and inoculated plants according to Marascuilo procedure (χ2 = 0.05).
Figure 5. Percentage of symptomatic kiwifruit plants (n = 8) in greenhouse experiment after inoculation with 4 different pathogenic fungi isolated form commercial orchards. Phytopythium CBS 286.31 and Phytopythium fagopyri CBS 293 were included as reference strains. Asterisk indicate significant differences between control and inoculated plants according to Marascuilo procedure (χ2 = 0.05).
Agriculture 10 00119 g005
Figure 6. Incidence of epiphytic (a) and endophytic (b) colonisation expressed as percentage of positive samples (%) in high irrigation (HIGH) input standard strategies (STD) after experimental inoculation. Two-dimensional principal component analysis (PCA) describing the distribution of samples based on water input (HIGH or STD) and the re-isolated populations on the surface (c) or inside (d) kiwifruit roots.
Figure 6. Incidence of epiphytic (a) and endophytic (b) colonisation expressed as percentage of positive samples (%) in high irrigation (HIGH) input standard strategies (STD) after experimental inoculation. Two-dimensional principal component analysis (PCA) describing the distribution of samples based on water input (HIGH or STD) and the re-isolated populations on the surface (c) or inside (d) kiwifruit roots.
Agriculture 10 00119 g006
Figure 7. Epiphytic (a) and endophytic populations (b) of fungal pathogen expressed as Log (cfu g−1 plant fresh weight), in high irrigation (HIGH) input or standard strategies (STD) after experimental inoculation. Two-dimensional principal component analysis (PCA) describing the distribution of samples based on water input (HIGH or STD) and the re-isolated populations on the surface (c) or inside (d) kiwifruit roots.
Figure 7. Epiphytic (a) and endophytic populations (b) of fungal pathogen expressed as Log (cfu g−1 plant fresh weight), in high irrigation (HIGH) input or standard strategies (STD) after experimental inoculation. Two-dimensional principal component analysis (PCA) describing the distribution of samples based on water input (HIGH or STD) and the re-isolated populations on the surface (c) or inside (d) kiwifruit roots.
Agriculture 10 00119 g007
Table 1. Identification of fungal isolates based on ITS1-5.8S-ITS2 region analysis. One isolate per uniform morphological group was identified.
Table 1. Identification of fungal isolates based on ITS1-5.8S-ITS2 region analysis. One isolate per uniform morphological group was identified.
IsolateSpeciesSimilarity (%)Accession Number
Group 1Trichoderma pseudokoningii100LT707591
Group 2Phytophthora infestans100XM_002898002
Group 3Pleurotus citrinopileatus100DQ077889
Group 4Phytopythium fagopyri100AB690617
Phytopythium helicoides100AB108018
Group 5Desarmillaria tabescens100U54821
Group 6Trichoderma citrinoviride100MF871574
Group 7Phytophthora megasperma100AB217681
Group 8Gigaspora margarita100AF162463
Group 9Hymenoscyphus spp.100KF188722.1
Group 10Meliniomyces variabilis100FN678882
Table 2. Fungal isolates in the root fragments in samples collected in commercial orchards with different degree of KVDS incidence.
Table 2. Fungal isolates in the root fragments in samples collected in commercial orchards with different degree of KVDS incidence.
Orchard 1 (5% KVDS)Orchard 2 (60% KVDS)Orchard 3 (Healthy)
Rad 1SRC 2Ste 3Rad 1SRC 2Ste 3Rad 1SRC 2Ste 3
Pathogens
Phytopythium spp.++--+-+--
Phytophthora infestans-+--+--++
Phytophthora megasperma-+--+--+-
Desarmillaria tabescens----+----
Mycorrhizae
Gigaspora margarita-+++++---
Meliniomyces variabilis-+--+--+-
Symbiont
Trichoderma pseudokoningii-+--++-+-
Trichoderma citrinoviride----+--+-
Ambiguous
Hymenoscyphus spp. -------+-
Pleurotus citrinopileatus-------+-
1 Rad = radicle; 2 SRC = secondary root cortex; 3 Ste = stele.

Share and Cite

MDPI and ACS Style

Donati, I.; Cellini, A.; Sangiorgio, D.; Caldera, E.; Sorrenti, G.; Spinelli, F. Pathogens Associated to Kiwifruit Vine Decline in Italy. Agriculture 2020, 10, 119. https://doi.org/10.3390/agriculture10040119

AMA Style

Donati I, Cellini A, Sangiorgio D, Caldera E, Sorrenti G, Spinelli F. Pathogens Associated to Kiwifruit Vine Decline in Italy. Agriculture. 2020; 10(4):119. https://doi.org/10.3390/agriculture10040119

Chicago/Turabian Style

Donati, Irene, Antonio Cellini, Daniela Sangiorgio, Edoardo Caldera, Giovambattista Sorrenti, and Francesco Spinelli. 2020. "Pathogens Associated to Kiwifruit Vine Decline in Italy" Agriculture 10, no. 4: 119. https://doi.org/10.3390/agriculture10040119

APA Style

Donati, I., Cellini, A., Sangiorgio, D., Caldera, E., Sorrenti, G., & Spinelli, F. (2020). Pathogens Associated to Kiwifruit Vine Decline in Italy. Agriculture, 10(4), 119. https://doi.org/10.3390/agriculture10040119

Note that from the first issue of 2016, this journal uses article numbers instead of page numbers. See further details here.

Article Metrics

Back to TopTop