Do Infants at Risk of Developing Cerebral Palsy or Other Neurodevelopmental Disorders Learn What They Practice?
Abstract
1. Introduction
2. Materials and Methods
2.1. Participants
2.2. Brief Description of the Intervention
2.3. Brief Description of the Different Foci of Training
2.4. Outcome Measures
2.5. Statistical Analysis
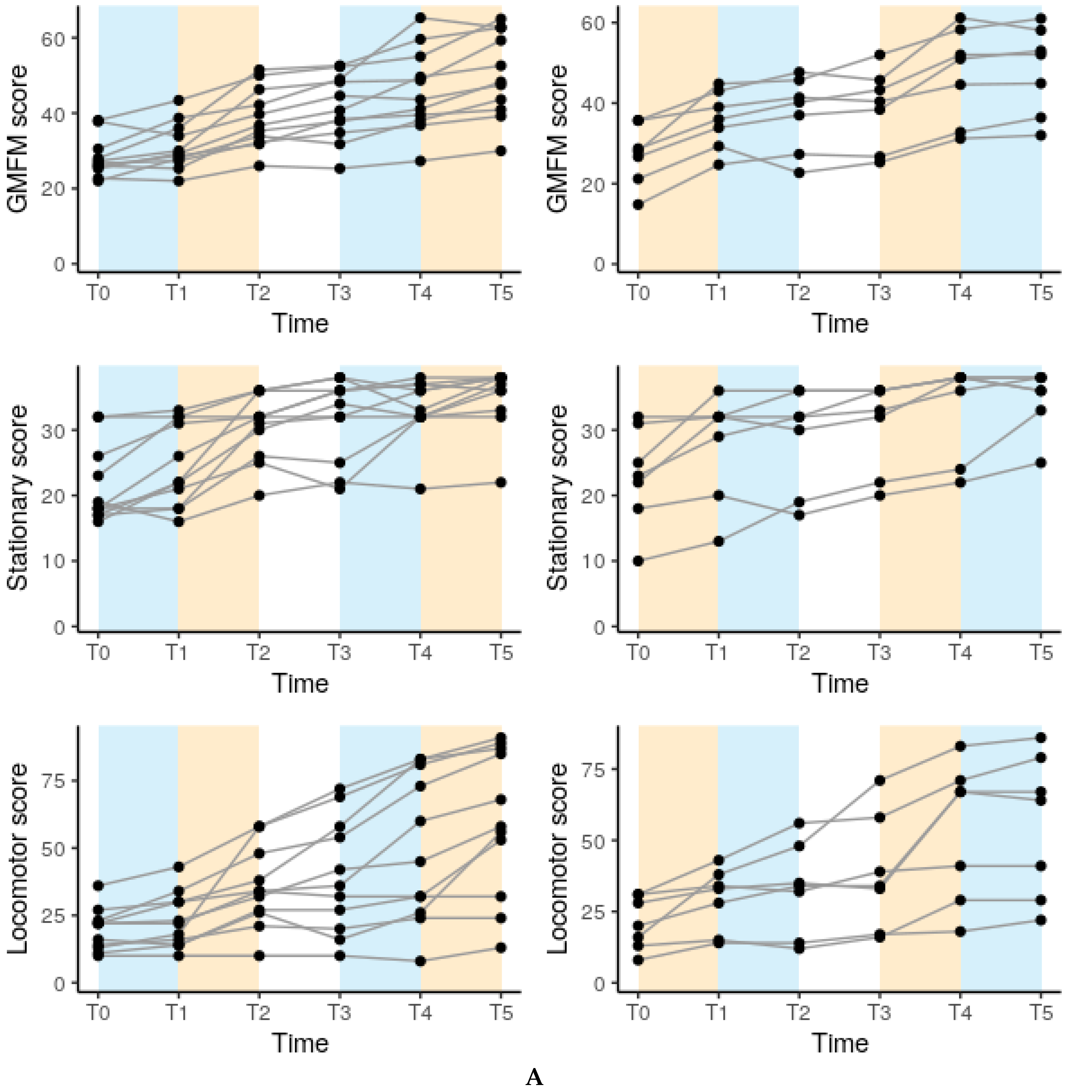
3. Results
3.1. Do Children Improve With Training?
3.2. Is the Overall Outcome Influenced by Whether the Infants Train Mobility or Hand Use First?
3.3. Was There any Difference in Improvement between the First and Second Period of Training?
3.4. Did the Children Get Better at What They Trained?
3.5. What Happened with Gross and Fine Motor Development during the Intermission of Motor Training?
4. Discussion
4.1. You Learn What You Practice
4.2. The Importance of Early Training
4.3. Differences in the Outcomes for Mobility and Hand Use
4.4. Limitations and Clinical Implications
5. Conclusions
Author Contributions
Funding
Acknowledgments
Conflicts of Interest
References
- Hadders-Algra, M. Challenges and limitations in early intervention. Dev. Med. Child Neurol. 2011, 53 (Suppl. 4), 52–55. [Google Scholar] [CrossRef] [PubMed]
- McIntyre, S.; Morgan, C.; Walker, K.; Novak, I. Cerebral palsy--don’t delay. Dev. Disabil. Res. Rev. 2011, 17, 114–129. [Google Scholar] [CrossRef]
- Friel, K.M.; Williams, P.T.J.A.; Serradj, N.; Chakrabarty, S.; Martin, J.H. Activity-Based Therapies for Repair of the Corticospinal System Injured during Development. Front. Neurol. 2014, 5, 229. [Google Scholar] [CrossRef]
- Martin, J.H.; Chakrabarty, S.; Friel, K.M. Harnessing activity-dependent plasticity to repair the damaged corticospinal tract in an animal model of cerebral palsy. Dev. Med. Child Neurol. 2011, 53 (Suppl. 4), 9–13. [Google Scholar] [CrossRef] [PubMed]
- Novak, I.; Morgan, C.; Fahey, M.; Finch-Edmondson, M.; Galea, C.; Hines, A.; Langdon, K.; Mc Namara, M.; Cb Paton, M.; Popat, H.; et al. State of the Evidence Traffic Lights 2019: Systematic Review of Interventions for Preventing and Treating Children with Cerebral Palsy. Curr. Neurol. Neurosci. Rep. 2020, 20, 3. [Google Scholar] [CrossRef]
- Ahl, L.E.; Johansson, E.; Granat, T.; Carlberg, E.B. Functional therapy for children with cerebral palsy: An ecological approach. Dev. Med. Child Neurol. 2005, 47, 613–619. [Google Scholar] [CrossRef] [PubMed]
- Ketelaar, M.; Kruijsen, A.J.A.; Verschuren, O.; Jongmans, M.J.; Gorter, J.W.; Verheijden, J.; Reinders-Messelink, H.A.; Lindeman, E. LEARN 2 MOVE 2-3: A randomized controlled trial on the efficacy of child-focused intervention and context-focused intervention in preschool children with cerebral palsy. BMC Pediatr. 2010, 10, 80. [Google Scholar] [CrossRef]
- Ostensjo, S.; Oien, I.; Fallang, B. Goal-oriented rehabilitation of preschoolers with cerebral palsy--a multi-case study of combined use of the Canadian Occupational Performance Measure (COPM) and the Goal Attainment Scaling (GAS). Dev. Neurorehabil. 2008, 11, 252–259. [Google Scholar] [CrossRef] [PubMed]
- Lowing, K.; Bexelius, A.; Carlberg, E.B. Goal-directed functional therapy: A longitudinal study on gross motor function in children with cerebral palsy. Disabil. Rehailitation 2010, 32, 908–916. [Google Scholar] [CrossRef] [PubMed]
- Vroland-Nordstrand, K.; Eliasson, A.-C.; Jacobsson, H.; Johansson, U.; Krumlinde-Sundholm, L. Can children identify and achieve goals for intervention? A randomized trial comparing two goal-setting approaches. Dev. Med. Child Neurol. 2016, 58, 589–596. [Google Scholar] [CrossRef]
- Holmstrom, L.; Eliasson, A.-C.; Almeida, R.; Furmark, C.; Weiland, A.-L.; Tedroff, K.; Löwing, K. Efficacy of the Small Step Program in a Randomized Controlled Trial for Infants under 12 Months Old at Risk of Cerebral Palsy (CP) and Other Neurological Disorders. J. Clin. Med. 2019, 8, 1016. [Google Scholar] [CrossRef] [PubMed]
- Eliasson, A.C.; Holmström, L.; Aarne, P.; Nakeva von Mentzer, C.; Weiland, A.-L.; Sjöstrand, L.; Forssberg, H.; Tedroff, K.; Löwing, K. Efficacy of the small step program in a randomised controlled trial for infants below age 12 months with clinical signs of CP; a study protocol. BMC Pediatr. 2016, 16, 175. [Google Scholar] [CrossRef] [PubMed]
- Schmidt, R.A.; Wrisberg, C.A. Motor Learning and Performance: A Situation-Based Learning Approach; Human Kinetics: Baltimore, MD, USA, 2001. [Google Scholar]
- Blauw-Hospers, C.H.; Dirks, T.; Hulshof, L.J.; Bos, A.F.; Hadders-Algra, M. Pediatric physical therapy in infancy: From nightmare to dream? A two-arm randomized trial. Phys. Ther. 2011, 91, 1323–1338. [Google Scholar]
- Morgan, C.; Novak, I.; Dale, R.C.; Badawi, N. Optimising motor learning in infants at high risk of cerebral palsy: A pilot study. BMC Pediatr. 2015, 15, 30. [Google Scholar] [CrossRef] [PubMed]
- Sigmundsson, H.; Trana, L.; Polman, R.; Haga, M. What is trained Develops! Theoretical perspective on skill learning. Sports 2017, 5, 38. [Google Scholar] [CrossRef] [PubMed]
- Ferguson, G.D.; Jelsma, D.; Jelsma, J.; Smits-Engelsman, B.C.M. The efficacy of two task-orientated interventions for children with Developmental Coordination Disorder: Neuromotor Task Training and Nintendo Wii Fit Training. Res. Dev. Disabil. 2013, 34, 2449–2461. [Google Scholar] [CrossRef]
- Revie, G.; Larkin, D. Task-specific intervention with children reduces movement problems. Adapt. Phys. Act. Q. 1993, 10, 29–41. [Google Scholar] [CrossRef]
- Shumway-Cook, A.; Wolpaw, J.R. Motor Control: Translating Research into Clinincal Practice; Lippincott Williams and Wilkins: Philadelphia, PA, USA, 2007. [Google Scholar]
- Folio, M.R.; Fewell, R.R. Peabody Developmental Motor Scales, PDMS-2 ed.; P.-E. Inc.: Austin, TX, USA, 2000. [Google Scholar]
- Russel, D.J.; Avery, L.M.; Rosenbaum, P.L.; Raina, P.S.; Walter, S.D.; Palisano, R.J.; Improved scaling of the Gross motor Function Measure for children with Cerebral Palsy: Evidence of reliablility and validity. Phys. Ther. 2000, 80, 885.
- Russell, D.J.; Rosenbaum, P.; Avery, L.; Lane, M. Gross Motor Function Measure (GMFM-66 & GMFM 88) Users Manual; Mac Keith Press: Cambridge, UK, 2002. [Google Scholar]
- Vos-Vromans, D.C.; Ketelaar, M.; Gorter, J.W. Responsiveness of evaluative measures for children with cerebral palsy: The Gross Motor Function Measure and the Pediatric Evaluation of Disability Inventory. Disabil. Rehabil. 2005, 27, 1245–1252. [Google Scholar] [CrossRef]
- Krumlinde-Sundholm, L.; Ek, L.; Sicola, E.; Sjöstrand, L.; Guzzetta, A.; Sgandurra, G.; Cioni, G.; Eliasson, A.-C. Development of the Hand Assessment for Infants: Evidence of internal scale validity. Dev. Med. Child Neurol. 2017, 59, 1276–1283. [Google Scholar] [CrossRef]
- Ek, L. Hand Assessment for Infants - Development, Internal Scale Validity, Reliability and Normative Reference Values; Karolinska Institute: Stockholm, Sweden, 2019. [Google Scholar]
- Dubowitz, L.M.; Dubowitz, V. Neurological Assessment of the Preterm and Fullterm Newborn Infant, in Clinics in Developmental Medicine No.79; Heinemann Books: London, UK, 1981. [Google Scholar]
- Darrah, J.; Piper, M.; Watt, M.J. Assessment of gross motor skills of at-risk infants: Predictive validity of the Alberta Infant Motor Scale. Dev. Med. Child Neurol. 1998, 40, 485–491. [Google Scholar] [CrossRef]
- Darrah, J.; Redfern, L.; Maguire, T.O.; Beaulne, A.P.; Watt, J. Intra-individual stability of rate of gross motor development in full-term infants. Early Hum. Dev. 1998, 52, 169–179. [Google Scholar] [CrossRef]
- Eeles, A.L.; Olsen, J.E.; Walsh, J.M.; McInnes, E.K.; Molesworth, C.M.L.; Cheong, J.L.Y.; Doyle, L.W.; Spittle, A.J. Reliability of Neurobehavioral Assessments from Birth to Term Equivalent Age in Preterm and Term Born Infants. Phys. Occup. Ther. Pediatr. 2017, 37, 108–119. [Google Scholar] [CrossRef] [PubMed]
- Turner, J.; Paris, S.G. How Literacy Tasks Influence Children’s Motivation for Literacy. Read. Teach. 1995, 48, 662–673. [Google Scholar]
- Baldwin, P.; King, G.; Evans, J.; McDougall, S.; Tucker, M.A.; Servais, M. Solution-focused coaching in pediatric rehabilitation: An integrated model for practice. Phys. Occup. Ther. Pediatr. 2013, 33, 467–483. [Google Scholar] [CrossRef]
- Lowing, K.; Bexelius, A.; Brogren, C.E. Activity focused and goal directed therapy for children with cerebral palsy--do goals make a difference? Disabil. Rehabil. 2009, 31, 1808–1816. [Google Scholar] [CrossRef] [PubMed]
- Vroland-Nordstrand, K.; Eliasson, A.-C.; Krumlinde-Sundholm, L.; Johansson, U. Parents’ experiences of conducting a goal-directed intervention based on children’s self-identified goals, a qualitative study. Scand. J. Occup. Ther. 2018, 25, 243–251. [Google Scholar] [CrossRef]
- Brogren Carlberg, E.; Lowing, K. Does goal setting in activity-focused interventions for children with cerebral palsy influence treatment outcome? Dev. Med. Child Neurol. 2013, 55 (Suppl. 4), 47–54. [Google Scholar] [CrossRef]
- Eliasson, A.C.; Nordstrand, L.; Ek, L.; Lennartsson, F.; Sjöstrand, L.; Tedroff, K.; Krumlinde-Sundholm, L. The effectiveness of Baby-CIMT in infants younger than 12 months with clinical signs of unilateral-cerebral palsy; an explorative study with randomized design. Res. Dev. Disabil. 2018, 72, 191–201. [Google Scholar] [CrossRef]
- Friel, K.M.; Chakrabarty, S.; Martin, J.H. Pathophysiological mechanisms of impaired limb use and repair strategies for motor systems after unilateral injury of the developing brain. Dev. Med. Child Neurol. 2013, 55 (Suppl. 4), 27–31. [Google Scholar] [CrossRef]
- Diamond, A. Close interrelation of motor development and cognitive development and of the cerebellum and prefrontal cortex. Child Dev. 2000, 71, 44–56. [Google Scholar] [CrossRef] [PubMed]
- Utley, A. Motor Control, Learning and Development: Instant Notes, 2nd ed.; Routledge: Abingdon, UK, 2019. [Google Scholar]
- Arbib, M.A. From grasp to language: Embodied concepts and the challenge of abstraction. J. Physiol. Paris 2008, 102, 4–20. [Google Scholar] [CrossRef] [PubMed]
- Novak, I.; Cathy, M.; Lars, A.; James, B.; Roslyn, N.B.; Janice, B.-H.; Giovanni, C.; Diane, D.; Johanna, D.; Ann-Christin, E.; et al. Early, Accurate Diagnosis and Early Intervention in Cerebral Palsy: Advances in Diagnosis and Treatment. JAMA Pediatr. 2017, 171, 897–907. [Google Scholar] [CrossRef] [PubMed]
- Spittle, A.J.; Morgan, C.; Olsen, J.E.; Novak, I.; Cheong, J.L.Y. Early Diagnosis and Treatment of Cerebral Palsy in Children with a History of Preterm Birth. Clin. Perinatol. 2018, 45, 409–420. [Google Scholar] [CrossRef]
- Eliasson, A.C.; Krumlinde-Sundholm, L.; Gordon, A.M.; Feys, H.; Klingels, K.; Aarts, P.B.M.; Rameckers, E.; Autti-Rämö, I.; Hoare, B. Guidelines for future research in constraint-induced movement therapy for children with unilateral cerebral palsy: An expert consensus. Dev. Med. Child Neurol. 2014, 56, 125–137. [Google Scholar] [CrossRef]
- Tinderholt Myrhaug, H.; Østensjø, S.; Larun, L.; Odgaard-Jense, J.; Jahnsen, R. Intensive training of motor function and functional skills among young children with cerebral palsy: A systematic review and meta-analysis. BMC Pediatr. 2014, 14, 292. [Google Scholar] [CrossRef] [PubMed]





| Characteristic | |
| Gestational age in weeks: mean (SD) | 33 (6.5) |
| CA age at the time of inclusion (T0) in months: mean (SD) and min–max | 6.3 (1.62) 4–9 |
| CA age at the end of the intervention (T5): mean (SD) and min–max | 16.7 (2.23) 13–21 |
| Gender: male/female | 12/7 |
| Risk factors for cerebral palsy | |
| Extreme premature/preterm/term birth | 6/5/8 |
| AIMS (raw score) (T0) | 18.0 (6.87) |
| HINE (T0), Neurological symptoms | 49.0 (11.03) |
| Behavioral signs | 13.8 (0.91) |
| Twins, n (families) | 4 (3) |
| Diagnoses | |
| Ataxic CP | 1 |
| Dyskinetic CP | 3 |
| Bilateral Spastic CP | 5 |
| Unspecified CP | 1 |
| Autism | 1 |
| Other neurological disease | 6 |
| Slight delay/typical development | 1/1 |
| Classifications | |
| GMFCS—E&R, I/II/III/IV/V | 5/7/3/2/2 |
| Mini MACS I/II/III/IV/V | 7/3/7/0/2 |
| Intervention | |
| Weeks involved in the intervention (T0–T5), mean (SD) | 43.5 (5.88) |
| Assessments | T0—Base Line | T5—End of Intervention | p Value |
|---|---|---|---|
| PDMS, Stat | 21.9 (18.8–25.0) | 35 (32.7–37.3) | p = 0.0001 |
| PDMS, Loc | 19.7(15.8–23.6) | 58 (45.1–70.9) | p < 0.0001 |
| PDMS, Gr | 17.5 (13.3–21.7) | 36 (32.6–39.4) | p = 0.0002 |
| PDMS, Vm | 20 (14.4–25.6) | 59.6 (50.5–68.2) | p < 0.0001 |
| GMFM-66 | 27.7 (24.8–30.5) | 48.4 (43–54) | p < 0.0001 |
| HAI, BoHs | 31.5 (17–45) | 46.7 (43–57) | p = 0.0002 |
© 2020 by the authors. Licensee MDPI, Basel, Switzerland. This article is an open access article distributed under the terms and conditions of the Creative Commons Attribution (CC BY) license (http://creativecommons.org/licenses/by/4.0/).
Share and Cite
Löwing, K.; Holmström, L.; Almeida, R.; Eliasson, A.-C. Do Infants at Risk of Developing Cerebral Palsy or Other Neurodevelopmental Disorders Learn What They Practice? J. Clin. Med. 2020, 9, 2041. https://doi.org/10.3390/jcm9072041
Löwing K, Holmström L, Almeida R, Eliasson A-C. Do Infants at Risk of Developing Cerebral Palsy or Other Neurodevelopmental Disorders Learn What They Practice? Journal of Clinical Medicine. 2020; 9(7):2041. https://doi.org/10.3390/jcm9072041
Chicago/Turabian StyleLöwing, Kristina, Linda Holmström, Rita Almeida, and Ann-Christin Eliasson. 2020. "Do Infants at Risk of Developing Cerebral Palsy or Other Neurodevelopmental Disorders Learn What They Practice?" Journal of Clinical Medicine 9, no. 7: 2041. https://doi.org/10.3390/jcm9072041
APA StyleLöwing, K., Holmström, L., Almeida, R., & Eliasson, A.-C. (2020). Do Infants at Risk of Developing Cerebral Palsy or Other Neurodevelopmental Disorders Learn What They Practice? Journal of Clinical Medicine, 9(7), 2041. https://doi.org/10.3390/jcm9072041

