Prevalence of Depression in Coronary Artery Bypass Surgery: A Systematic Review and Meta-Analysis
Abstract
1. Introduction
2. Materials and Methods
2.1. Search Strategy
2.2. Inclusion and Exclusion Criteria
2.3. Selection of Articles and Information Analysis
2.4. Data Extraction
2.5. Assessment of Quality and Measurement of Bias
2.6. Data Synthesis and Statistical Analysis
3. Results
3.1. Characteristics of Included Studies
3.2. Measurement of Depression
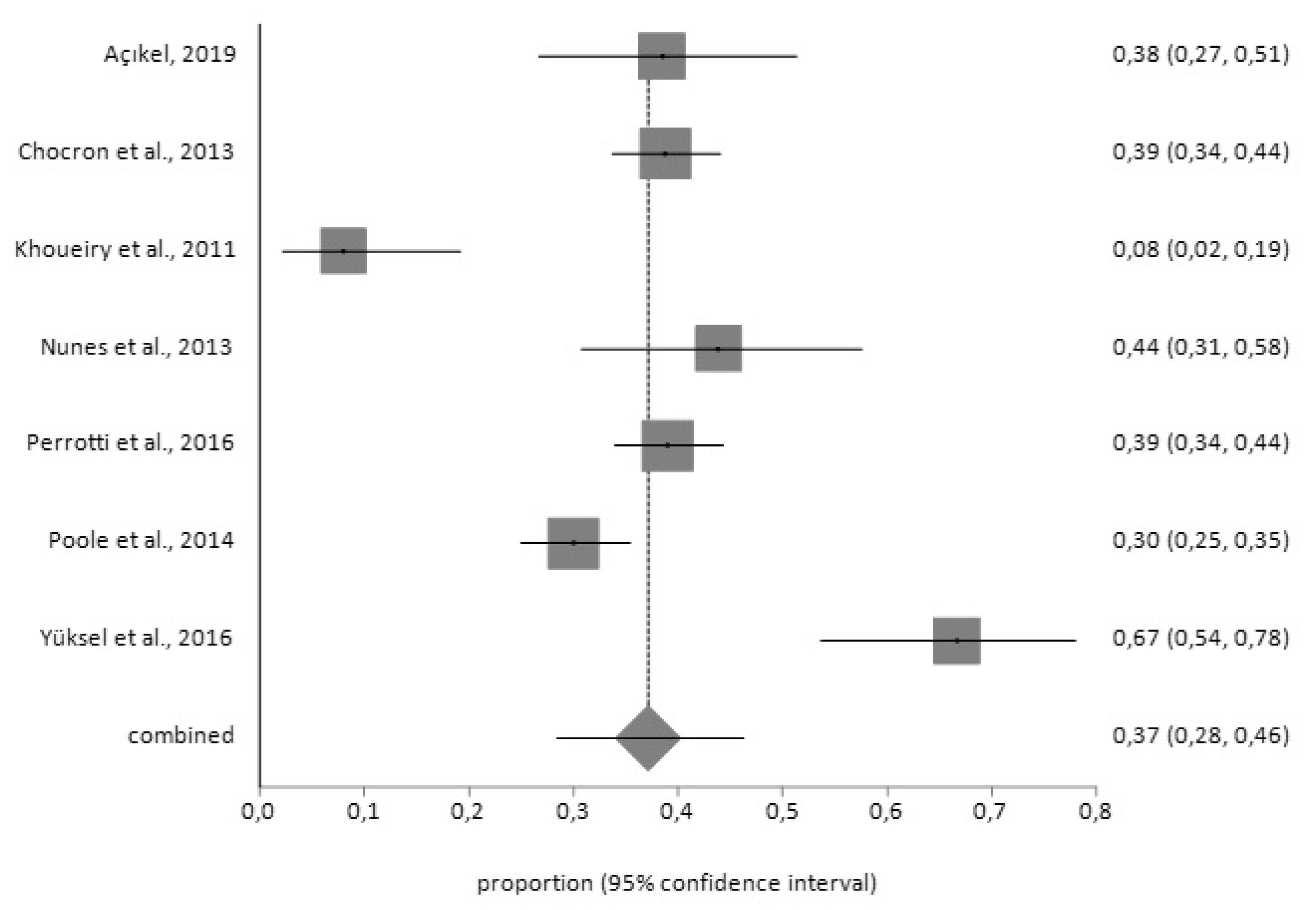
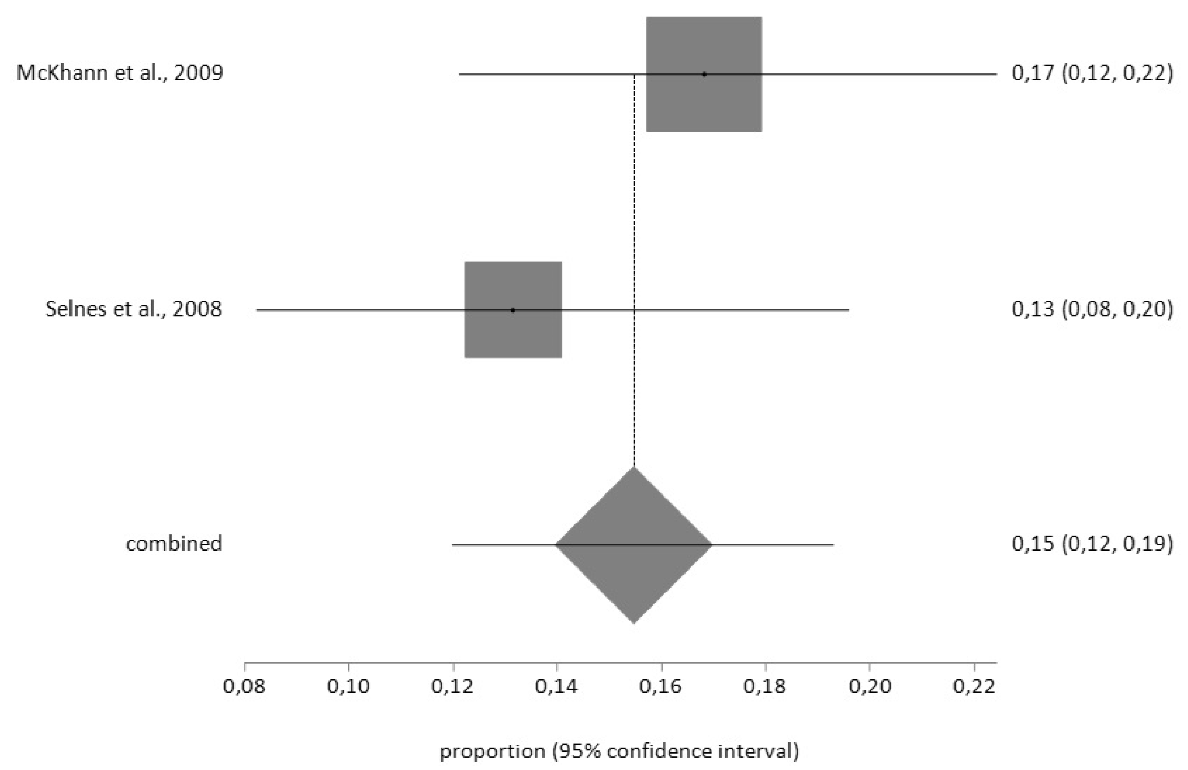
3.3. Meta-Analysis
3.4. Levels of Depression Before and After CABG Surgery and Follow Up
4. Discussion
5. Conclusions
Supplementary Materials
Author Contributions
Funding
Acknowledgments
Conflicts of Interest
References
- Le, J.; Dorstyn, D.S.; Mpfou, E.; Prior, E.; Tully, P.J. Health-related quality of life in coronary heart disease: A systematic review and meta-analysis mapped against the International Classification of Functioning, Disability and Health. Qual. Life Res. 2018, 27, 2491–2503. [Google Scholar] [CrossRef] [PubMed]
- Alexander, J.H.; Smith, P.K. Coronary-Artery Bypass Grafting. N. Engl. J. Med. 2016, 374, 1954–1964. [Google Scholar] [CrossRef] [PubMed]
- Noyez, L.; de Jager, M.J.; Markou, A.L.P. Quality of life after cardiac surgery: Underresearched research. Interact. Cardiovasc. Thorac. Surg. 2011, 13, 511–515. [Google Scholar] [CrossRef] [PubMed]
- Karim, M.N.; Reid, C.M.; Huq, M.; Brilleman, S.L.; Cochrane, A.; Tran, L.; Billah, B. Predicting long-term survival after coronary artery bypass graft surgery. Interact. Cardiovasc. Thorac. Surg. 2018, 26, 257–263. [Google Scholar] [CrossRef] [PubMed]
- AbuRuz, M.E.; Al-Dweik, G.; Al-Akash, H.Y. Checking the moderating effect of perceived control on the relationship between anxiety and postoperative hospital length of stay among coronary artery bypass graft patients. Int. J. Gen. Med. 2019, 12, 79–85. [Google Scholar] [CrossRef] [PubMed]
- Kidd, T.; Poole, L.; Ronaldson, A.; Leigh, E.; Jahangiri, M.; Steptoe, A. Attachment anxiety predicts depression and anxiety symptoms following coronary artery bypass graft surgery. Br. J. Health Psychol. 2016, 21, 796–811. [Google Scholar] [CrossRef]
- Celano, C.M.; Huffman, J.C. Depression and cardiac disease: A review. Cardiol. Rev. 2011, 19, 130–142. [Google Scholar] [CrossRef]
- Iribarne, A.; Chang, H.; Alexander, J.H.; Gillinov, A.M.; Moquete, E.; Puskas, J.D.; Bagiella, E.; Acker, M.A.; Mayer, M.L.; Ferguson, T.B.; et al. Readmissions after cardiac surgery: Experience of the national institutes of health/canadian institutes of health research cardiothoracic surgical trials network. Ann. Thorac. Surg. 2014, 98, 1274–1280. [Google Scholar] [CrossRef]
- Beck, A.; Steer, R. Manual for the Beck Depression Inventory, 1993 ed.; Psychological Corporation: San Antonio, TX, USA, 1987. [Google Scholar]
- Zigmond, A.S.; Snaith, R.P. The hospital anxiety and depression scale. Acta Psychiatr. Scand. 1983, 67, 361–370. [Google Scholar] [CrossRef]
- Ravven, S.; Bader, C.; Azar, A.; Rudolph, J.L. Depressive symptoms after CABG surgery: A meta-analysis. Harv. Rev. Psychiatry 2013, 21, 59–69. [Google Scholar] [CrossRef]
- Stenman, M.; Holzmann, M.J.; Sartipy, U. Association between preoperative depression and long-term survival following coronary artery bypass surgery—A systematic review and meta-analysis. Int. J. Cardiol. 2016, 222, 462–466. [Google Scholar] [CrossRef] [PubMed]
- Rushton, M.; Howarth, M.; Grant, M.J.; Astin, F. Person-centred discharge education following coronary artery bypass graft: A critical review. J. Clin. Nurs. 2017, 26, 5206–5215. [Google Scholar] [CrossRef] [PubMed]
- Abdulrahman, M.; Alsabbagh, A.; Kuntze, T.; Lauer, B.; Ohlow, M.A. Impact of hierarchy on multidisciplinary heart-team recommendations in patients with isolated multivessel coronary artery disease. J. Clin. Med. 2019, 8, 1490. [Google Scholar] [CrossRef]
- McKenzie, L.; Simpson, J.; Stewart, M. A systematic review of pre-operative predictors of post-operative depression and anxiety in individuals who have undergone coronary artery bypass graft surgery. Psychol. Health Med. 2010, 15, 74–93. [Google Scholar] [CrossRef]
- Protogerou, C.; Fleeman, N.; Dwan, K.; Richardson, M.; Dundar, Y.; Hagger, M.S. Moderators of the effect of psychological interventions on depression and anxiety in cardiac surgery patients: A systematic review and meta-analysis. Behav. Res. Ther. 2015, 73, 151–164. [Google Scholar] [CrossRef] [PubMed]
- Keeping-Burke, L.; Purden, M.; Frasure-Smith, N.; Cossette, S.; McCarthy, F.; Amsel, R. Bridging the transition from hospital to home: Effects of the VITAL telehealth program on recovery for CABG surgery patients and their caregivers. Res. Nurs. Health 2013, 36, 540–553. [Google Scholar] [CrossRef]
- Moher, D.; Shamseer, L.; Clarke, M.; Ghersi, D.; Liberati, A.; Petticrew, M.; Shekelle, P.; Stewart, L. Preferred reporting items for systematic review and meta-analysis protocols (PRISMA-P) 2015 statement. Syst. Rev. 2015, 4, 1. [Google Scholar] [CrossRef] [PubMed]
- Sanderson, S.; Tatt, I.D.; Higgins, J.P.T. Tools for assessing quality and susceptibility to bias in observational studies in epidemiology: A systematic review and annotated bibliography. Int. J. Epidemiol. 2007, 36, 666–676. [Google Scholar] [CrossRef]
- Higgins, J.P.T.; Green, S. Cochrane Handbook for Systematic Reviews of Interventions. Version 5.1.0. The Cochrane Collaboration. Available online: www.cochrane-handbook.org (accessed on 10 September 2019).
- Howick, J.; Chalmers, I.; Glasziou, P.; Greenhalg, T.; Heneghan, C.; Liberati, A.; Moschetti, I.; Phillips, B.; Thornton, H. The Oxford 2011 Levels of Evidence. Available online: https://www.cebm.net/2016/05/ocebm-levels-of-evidence (accessed on 10 September 2019).
- Higgins, J.P.T.; Thompson, S.G.; Deeks, J.J.; Altman, D.G. Measuring inconsistency in meta-analyses. Br. Med. J. 2003, 327, 557–560. [Google Scholar] [CrossRef]
- Poole, L.; Leigh, E.; Kidd, T.; Ronaldson, A.; Jahangiri, M.; Steptoe, A. The combined association of depression and socioeconomic status with length of post-operative hospital stay following coronary artery bypass graft surgery: Data from a prospective cohort study. J. Psychosom. Res. 2014, 76, 34–40. [Google Scholar] [CrossRef]
- McKhann, G.M.; Selnes, O.A.; Grega, M.A.; Bailey, M.M.; Pham, L.D.; Baumgartner, W.A.; Zeger, S.L. Subjective memory symptoms in surgical and nonsurgical coronary artery patients: 6-year follow-up. Ann. Thorac. Surg. 2009, 87, 27–34. [Google Scholar] [CrossRef] [PubMed]
- Selnes, O.A.; Grega, M.A.; Bailey, M.M.; Pham, L.D.; Zeger, S.L.; Baumgartner, W.A.; McKhann, G.M. Cognition 6 years after surgical or medical therapy for coronary artery disease. Ann. Neurol. 2008, 63, 581–590. [Google Scholar] [CrossRef] [PubMed]
- Abbott, A.; Barnason, S.; Zimmerman, L. Symptom burden clusters and their impact on psychosocial functioning following coronary artery bypass surgery. J. Cardiovasc. Nurs. 2010, 25, 301–310. [Google Scholar] [CrossRef] [PubMed]
- Aburuz, M.E. Pre-operative depression predicted longer hospital length of stay among patients undergoing coronary artery bypass graft surgery. Risk Manag. Healthc. Policy 2019, 12, 75–83. [Google Scholar] [CrossRef] [PubMed]
- Açıkel, M.E.T. Evaluation of depression and anxiety in coronary artery bypass surgery patients: A prospective clinical study. Braz. J. Cardiovasc. Surg. 2019, 34, 389–395. [Google Scholar] [CrossRef] [PubMed]
- Afridi, M.I.; Habib, S.; Lal, C.; Khan, A.U.R.; Afaq, S.M.; Tariq, Q.D. Frequency of depression in patients undergoing coronary artery bypass grafting surgery (CABGS), before the surgery, at discharge and at six months follow up. J. Liaquat Univ. Med. Heal. Sci. 2016, 15, 110–115. [Google Scholar]
- Ajtahed, S.S.; Rezapour, T.; Etemadi, S.; Moradi, H.; Habibi Asgarabad, M.; Ekhtiari, H. Efficacy of neurocognitive rehabilitation after coronary artery bypass graft surgery in improving quality of life: An interventional trial. Front. Psychol. 2019, 10, 1759. [Google Scholar] [CrossRef]
- Ammouri, A.A.; Al-Daakak, Z.M.; Gharaibeh, H.; Al-Zaru, I. Symptoms experienced by jordanian men and women after coronary artery bypass graft surgery. Dimens. Crit. Care Nurs. 2016, 35, 125–132. [Google Scholar] [CrossRef]
- Amouzeshi, A.; Hosseini, S.M.; Javadi, A.; Norozian, F.; Zamanian, N.; Yahya, M.; Jomefourjan, S.; Amouzeshi, Z.; Kohan, M. Depression and associated factors in patients undergoing coronary artery bypass grafting in Imam Reza Hospital of Mashhad in 2013. J. Surg. Trauma 2015, 3, 51–56. [Google Scholar]
- Azzopardi, S.; Lee, G. Health-related quality of life 2 years after coronary artery bypass graft surgery. J. Cardiovasc. Nurs. 2009, 24, 232–240. [Google Scholar] [CrossRef]
- Bay, P.S.; Beckman, D.; Trippi, J.; Gunderman, R.; Terry, C. The effect of pastoral care services on anxiety, depression, hope, religious coping, and religious problem solving styles: A randomized controlled study. J. Relig. Health 2008, 47, 57–69. [Google Scholar] [CrossRef] [PubMed]
- Beresnevaite, M.; Benetis, R.; Taylor, G.J.; Jurnien, K.; Kinduris, Š.; Barauskien, V. Depression predicts perioperative outcomes following coronary artery bypass graft surgery. Scand. Cardiovasc. J. 2010, 44, 289–294. [Google Scholar] [CrossRef] [PubMed]
- Cebeci, F.; Çelik, S.Ş. Effects of discharge teaching and counselling on anxiety and depression level of CABG patients. Turk. J. Thorac. Cardiovasc. Surg. 2011, 19, 170–176. [Google Scholar] [CrossRef]
- Chocron, S.; Vandel, P.; Durst, C.; Laluc, F.; Kaili, D.; Chocron, M.; Etievent, J.-P. Antidepressant therapy in patients undergoing coronary artery bypass grafting: The MOTIV-CABG trial. Ann. Thorac. Surg. 2013, 95, 1609–1618. [Google Scholar] [CrossRef]
- Colella, T.J.; King-Shier, K. The effect of a peer support intervention on early recovery outcomes in men recovering from coronary bypass surgery: A randomized controlled trial. Eur. J. Cardiovasc. Nurs. 2018, 17, 408–417. [Google Scholar] [CrossRef] [PubMed]
- Dal Boni, A.L.M.; Martinez, J.E.; Da Silva Saccomann, I.C.R. Quality of Life of patients undergoing coronary artery bypass grafting. Acta Paul. Enferm. 2013, 26, 575–580. [Google Scholar] [CrossRef]
- Doering, L.V.; Martínez-Maza, O.; Vredevoe, D.L.; Cowan, M.J. Relation of depression, natural killer cell function, and infections after coronary artery bypass in women. Eur. J. Cardiovasc. Nurs. 2008, 7, 52–58. [Google Scholar] [CrossRef]
- Donohue, J.M.; Belnap, B.H.; Men, A.; He, F.; Roberts, M.S.; Schulberg, H.C.; Reynolds, C.F.; Rollman, B.L. Twelve-month cost-effectiveness of telephone-delivered collaborative care for treating depression following CABG surgery: A randomized controlled trial. Gen. Hosp. Psychiatry 2014, 36, 453–459. [Google Scholar] [CrossRef]
- Dunkel, A.; Kendel, F.; Lehmkuhl, E.; Babitsch, B.; Oertelt-Prigione, S.; Hetzer, R.; Regitz-Zagrosek, V. Predictors of preoperative depressive risk in patients undergoing coronary artery bypass graft surgery. Clin. Res. Cardiol. 2009, 98, 643–650. [Google Scholar] [CrossRef]
- Dunkel, A.; Kendel, F.; Lehmkuhl, E.; Hetzer, R.; Regitz-Zagrosek, V. Causal attributions among patients undergoing coronary artery bypass surgery: Gender aspects and relation to depressive symptomatology. J. Behav. Med. 2011, 34, 351–359. [Google Scholar] [CrossRef]
- El-Baz, N.; Ondusova, D.; Studencan, M.; Rosenberger, J.; Reijneveld, S.A.; van Dijk, J.P.; Middel, B. Differences between Slovak and Dutch patients scheduled for coronary artery bypass graft surgery regarding clinical and psychosocial predictors of physical and mental health-related quality of life. Eur. J. Cardiovasc. Nurs. 2018, 17, 324–335. [Google Scholar] [CrossRef] [PubMed]
- Elliott, P.C.; Murphy, B.M.; Oster, K.A.; Le Grande, M.R.; Higgins, R.O.; Worcester, M.U.C. Changes in mood states after coronary artery bypass graft surgery. Eur. J. Cardiovasc. Nurs. 2010, 9, 188–194. [Google Scholar] [CrossRef] [PubMed]
- Feuchtinger, J.; Burbaum, C.; Heilmann, C.; Imbery, C.; Siepe, M.; Stotz, U.; Fritzsche, K.; Beyersdorf, F. Anxiety and fear in patients with short waiting times before coronary artery bypass surgery—A qualitative study. J. Clin. Nurs. 2014, 23, 1900–1907. [Google Scholar] [CrossRef] [PubMed]
- Freedland, K.; Skala, J.; Carney, R.; Rubin, E.; Lustman, P.; Dávila-Román, V.; Steinmeyer, B.; Hogue, C. Treatment of depression after coronary artery bypass surgery: A randomized controlled trial. Arch. Gen. Psychiatry 2009, 66, 387–396. [Google Scholar] [CrossRef] [PubMed]
- Gallagher, R.; McKinley, S. Anxiety, depression and perceived control in patients having coronary artery bypass grafts. J. Adv. Nurs. 2009, 65, 2386–2396. [Google Scholar] [CrossRef] [PubMed]
- Gelogahi, Z.K.; Aghebati, N.; Mazloum, S.R.; Mohajer, S. Effectiveness of nurse’s intentional presence as a holistic modality on depression, anxiety, and stress of cardiac surgery patients. Holist. Nurs. Pract. 2018, 32, 296–306. [Google Scholar] [CrossRef]
- Hazavei, S.M.M.; Sabzmakan, L.; Hasanzadeh, A.; Rabiei, K.; Roohafza, H. The effects of an educational program based on PRECEDE model on depression levels in patients with coronary artery bypass grafting. ARYA Atheroscler. 2012, 8, 36–42. [Google Scholar]
- Horne, D.; Kehler, S.; Kaoukis, G.; Hiebert, B.; Garcia, E.; Duhamel, T.A.; Arora, R.C. Depression before and after cardiac surgery: Do all patients respond the same? J. Thorac. Cardiovasc. Surg. 2013, 145, 1400–1406. [Google Scholar] [CrossRef]
- Hweidi, I.M.; Gharaibeh, B.A.; Al-Obeisat, S.M.; Al-Smadi, A.M. Prevalence of depression and its associated factors in patients post-coronary artery bypass graft surgery. J. Res. Nurs. 2018, 23, 76–88. [Google Scholar] [CrossRef]
- Kendel, F.; Dunkel, A.; Lehmkuhl, E.; Hetzer, R.; Regitz-Zagrosek, V. Does time spent on household activities or housework stress complicate recovery following coronary artery bypass surgery? Women Health 2008, 48, 325–338. [Google Scholar]
- Kendel, F.; Gelbrich, G.; Wirtz, M.; Lehmkuhl, E.; Knoll, N.; Hetzer, R.; Regitz-Zagrosek, V. Predictive relationship between depression and physical functioning after coronary surgery. Arch. Intern. Med. 2010, 170, 1717–1721. [Google Scholar] [CrossRef] [PubMed]
- Khoueiry, G.; Flory, M.; Abi Rafeh, N.; Zgheib, M.H.; Goldman, M.; Abdallah, T.; Wettimuny, S.; Telesford, B.; Costantino, T.; McGinn, J.T. Depression, disability, and quality of life after off-pump coronary artery bypass grafting: A prospective 9-month follow-up study. Hear. Lung J. Acute Crit. Care 2011, 40, 217–225. [Google Scholar] [CrossRef] [PubMed]
- King, K.M.; Colella, T.J.; Faris, P.; Thompson, D.R. Using the cardiac depression scale in men recovering from coronary artery bypass surgery. J. Clin. Nurs. 2009, 18, 1617–1624. [Google Scholar] [CrossRef]
- Korbmacher, B.; Ulbrich, S.; Dalyanoglu, H.; Lichtenberg, A.; Schipke, J.D.; Franz, M.; Schäfer, R. Perioperative and long-term development of anxiety and depression in CABG patients. Thorac. Cardiovasc. Surg. 2013, 61, 676–681. [Google Scholar] [CrossRef]
- Kozora, E.; Kongs, S.; Collins, J.; Hattler, B.; Baltz, J.; Hampton, M.; Grover, F.; Novitzky, D.; Shroyer, L. Cognitive outcomes after on- versus off-pump coronary artery bypass surgery. Ann. Thorac. Surg. 2010, 90, 1134–1141. [Google Scholar] [CrossRef] [PubMed]
- Macken, L.C.; Yates, B.C.; Meza, J.; Norman, J.; Barnason, S.; Pozehl, B. Health-related quality-of-life outcomes in coronary artery bypass surgery patients and partners. J. Cardiopulm. Rehabil. Prev. 2014, 34, 130–137. [Google Scholar] [CrossRef]
- McGrady, A.; McGinnis, R.; Badenhop, D.; Bentle, M.; Rajput, M. Effects of depression and anxiety on adherence to cardiac rehabilitation. J. Cardiopulm. Rehabil. Prev. 2009, 29, 358–364. [Google Scholar] [CrossRef]
- McKenzie, L.; Simpson, J.; Stewart, M. The impact of depression on activities of daily living skills in individuals who have undergone coronary artery bypass graft surgery. Psychol. Health Med. 2009, 14, 641–653. [Google Scholar] [CrossRef]
- Modica, M.; Castiglioni, P.; Minotti, A.; Faini, A.; Racca, V.; Ferratini, M. Psychological profile in coronary artery by-pass graft patients vs. valve replacement patients entering cardiac rehabilitation after surgery. Sci. Rep. 2018, 8, 14381. [Google Scholar] [CrossRef]
- Moser, D.K.; Dracup, K.; Evangelista, L.S.; Zambroski, C.H.; Lennie, T.A.; Chung, M.L.; Doering, L.V.; Westlake, C.; Heo, S. Comparison of prevalence of symptoms of depression, anxiety, and hostility in elderly patients with heart failure, myocardial infarction, and a coronary artery bypass graft. Hear. Lung J. Acute Crit. Care 2010, 39, 378–385. [Google Scholar] [CrossRef]
- Murphy, B.; Elliott, P.; Higgins, R.; Le Grande, M.; Worcester, M.; Goble, A.; Tatoulis, J. Anxiety and depression after coronary artery bypass graft surgery: Most get better, some get worse. Eur. J. Cardiovasc. Prev. Rehabil. 2008, 15, 434–440. [Google Scholar] [CrossRef] [PubMed]
- Nair, V.V.; Nair, J.T.K.; Das, S.; Singh, K.K.; Kathayanat, J.T.; Radhakrishnan, R.; Chooriyil, N.; Babu, A. Lifestyle practices, health problems, and quality of life after coronary artery bypass grafting. Indian J. Thorac. Cardiovasc. Surg. 2018, 34, 476–482. [Google Scholar] [CrossRef]
- Nemati, M.H.; Astaneh, B. The impact of coronary artery bypass graft surgery on depression and anxiety. J. Cardiovasc. Med. (Hagerstown) 2011, 12, 401–404. [Google Scholar] [CrossRef] [PubMed]
- Nunes, J.K.V.R.S.; de Figueiredo Neto, J.A.; de Sousa, R.M.L.; Costa, V.L.X.D.C.; Silva, F.M.A.M.; da Hora, A.F.L.T.; da Silva, E.L.C.; Reis, L.M.C.B. Depression after CABG: A prospective study. Braz. J. Cardiovasc. Surg. 2013, 28, 491–497. [Google Scholar]
- Okamoto, Y.; Motomura, N.; Murashima, S.; Takamoto, S. Anxiety and depression after thoracic aortic surgery or coronary artery bypass. Asian Cardiovasc. Thorac. Ann. 2013, 21, 22–30. [Google Scholar] [CrossRef]
- Oldham, M.A.; Hawkins, K.A.; Lin, I.H.; Deng, Y.; Hao, Q.; Scoutt, L.M.; Yuh, D.D.; Lee, H.B. Depression predicts delirium after coronary artery bypass graft surgery independent of cognitive impairment and cerebrovascular disease: An analysis of the neuropsychiatric outcomes after heart surgery study. Am. J. Geriatr. Psychiatry 2019, 27, 476–486. [Google Scholar] [CrossRef]
- Perrotti, A.; Mariet, A.S.; Durst, C.; Monaco, F.; Vandel, P.; Monnet, E.; Chocron, S. Relationship between depression and health-related quality of life in patients undergoing coronary artery bypass grafting: A MOTIV-CABG substudy. Qual. Life Res. 2016, 25, 1433–1440. [Google Scholar] [CrossRef]
- Perrotti, A.; Ecarnot, F.; Monaco, F.; Dorigo, E.; Monteleone, P.; Besch, G.; Chocron, S. Quality of life 10 years after cardiac surgery in adults: A long-term follow-up study. Health Qual. Life Outcomes 2019, 17, 88. [Google Scholar] [CrossRef]
- Phillips-Bute, B.; Mathew, J.P.; Blumenthal, J.A.; Morris, R.W.; Podgoreanu, M.V.; Smith, M.; Stafford-Smith, M.; Grocott, H.P.; Schwinn, D.A.; Newman, M.F.; et al. Relationship of genetic variability and depressive symptoms to adverse events after coronary artery bypass graft surgery. Psychosom. Med. 2008, 70, 953–959. [Google Scholar] [CrossRef]
- Pourafkari, L.; Ghaffari, S.; Tajlil, A.; Shahamfar, J.; Hedayati, S.; Nader, N.D. The impact of cardiac rehabilitation program on anxiety and depression levels after coronary artery bypass graft surgery. Cor Vasa 2016, 58, e384–e390. [Google Scholar] [CrossRef]
- Rezaei, O.; Komeilian, R.; Fattah, L.; Mandegar, M.H.; Dolatshahi, B. Quality of life and mental disorders in patients after coronary artery bypass grafting. World Appl. Sci. J. 2013, 26, 34–38. [Google Scholar] [CrossRef]
- Sandau, K.E.; Lindquist, R.A.; Treat-Jacobson, D.; Savik, K. Health-related quality of life and subjective neurocognitive function three months after coronary artery bypass graft surgery. Hear. Lung J. Acute Crit. Care 2008, 37, 161–172. [Google Scholar] [CrossRef] [PubMed]
- Schwarz, N.; Schoenburg, M.; Möllmann, H.; Kastaun, S.; Kaps, M.; Bachmann, G.; Sammer, G.; Hamm, C.; Walther, T.; Gerriets, T. Cognitive decline and ischemic microlesions after coronary catheterization. A comparison to coronary artery bypass grafting. Am. Heart J. 2011, 162, 756–763. [Google Scholar] [CrossRef] [PubMed]
- Sorensen, E.A.; Wang, F. Social support, depression, functional status, and gender differences in older adults undergoing first-time coronary artery bypass graft surgery. Hear. Lung J. Acute Crit. Care 2009, 38, 306–317. [Google Scholar] [CrossRef] [PubMed]
- Spezzaferri, R.; Modica, M.; Racca, V.; Ripamonti, V.; Tavanelli, M.; Brambilla, G.; Ferratini, M. Psychological disorders after coronary artery by-pass surgery: A one-year prospective study. Monaldi Arch. Chest Dis. Arch. Monaldi Mal. Torace 2009, 72, 200–205. [Google Scholar] [CrossRef] [PubMed][Green Version]
- Stenman, M.; Sartipy, U. Depression screening in cardiac surgery patients. Hear. Lung Circ. 2019, 28, 953–958. [Google Scholar] [CrossRef]
- Thomas, M.; Hariharan, M.; Rana, S. Psychological distress as predictor of adherence and prognosis among patients undergoing coronary artery bypass grafting. J. Indian Acad. Appl. Psychol. 2016, 42, 161–171. [Google Scholar]
- Tsai, M.F.; Tsay, S.F.; Moser, D.; Huang, T.Y.; Tsai, F.C. Examining symptom trajectories that predict worse outcomes in post-CABG patients. Eur. J. Cardiovasc. Nurs. 2019, 18, 204–214. [Google Scholar] [CrossRef]
- Tully, P.J.; Baker, R.A.; Turnbull, D.; Winefield, H. The role of depression and anxiety symptoms in hospital readmissions after cardiac surgery. J. Behav. Med. 2008, 31, 281–290. [Google Scholar] [CrossRef]
- Tully, P.J.; Winefield, H.R.; Baker, R.A.; Turnbull, D.A.; De Jonge, P. Confirmatory factor analysis of the Beck Depression Inventory-II and the association with cardiac morbidity and mortality after coronary revascularization. J. Health Psychol. 2011, 16, 584–595. [Google Scholar] [CrossRef]
- Yang, L.; Wang, J.; Zhang, L.Z.; Hou, J.H.; Yuan, X.; Hu, S.; Zheng, Z. Preoperative high-sensitivity C-reactive protein predicts depression in patients undergoing coronary artery bypass surgery: A single-center prospective observational study. J. Thorac. Cardiovasc. Surg. 2012, 144, 500–505. [Google Scholar] [CrossRef] [PubMed][Green Version]
- Yang, P.; Huang, G.; Tsai, C.; Lou, M. Sleep quality and emotional correlates in taiwanese coronary artery bypass graft patients 1 week and 1 month after hospital discharge: A repeated descriptive correlational study. PLoS ONE 2015, 10, e0136431. [Google Scholar] [CrossRef] [PubMed]
- Yüksel, V.; Gorgulu, Y.; Cinar, R.K.; Huseyin, S.; Sonmez, M.B.; Canbaz, S. Impact of experiencing acute coronary syndrome prior to open heart surgery on psychiatric status. Braz. J. Cardiovasc. Surg. 2016, 31, 281–286. [Google Scholar] [CrossRef] [PubMed]
- Zimmerman, L.; Barnason, S.; Young, L.; Tu, C.; Schulz, P.; Abbott, A. Symptom profiles of coronary artery bypass surgery patients at risk for poor functioning outcomes. J. Cardiovasc. Nurs. 2010, 25, 292–300. [Google Scholar] [CrossRef]
- Gong, Y.; Han, T.; Yin, X.; Yang, G.; Zhuang, R.; Chen, Y.; Lu, Z. Prevalence of depressive symptoms and work-related risk factors among nurses in public hospitals in southern China: A cross-sectional study. Sci. Rep. 2015, 4, 1–5. [Google Scholar] [CrossRef]
- Tully, P.J.; Bennetts, J.S.; Baker, R.A.; McGavigan, A.D.; Turnbull, D.A.; Winefield, H.R. Anxiety, depression, and stress as risk factors for atrial fibrillation after cardiac surgery. Hear. Lung J. Acute Crit. Care 2011, 40, 4–11. [Google Scholar] [CrossRef]
- Botzet, K.; Dalyanoglu, H.; Schäfer, R.; Lichtenberg, A.; Schipke, J.D.; Korbmacher, B. Anxiety and depression in patients undergoing mitral valve surgery: A prospective clinical study. Thorac. Cardiovasc. Surg. 2018, 66, 530–536. [Google Scholar] [CrossRef]
- Boyer, B.A.; Matour, S.J.; Crittenden, K.B.; Larson, K.A.; Cox, J.M.; Link, D.D. Appraisals of fear, helplessness, and perceived life-threat during emergent cardiac surgery: Relationship to pre-surgical depression, trauma history, and posttraumatic stress. J. Clin. Psychol. Med. Settings 2013, 20, 173–185. [Google Scholar] [CrossRef]
- Poole, L.; Ronaldson, A.; Kidd, T.; Leigh, E.; Jahangiri, M.; Steptoe, A. Pre-surgical depression and anxiety and recovery following coronary artery bypass graft surgery. J. Behav. Med. 2017, 40, 249–258. [Google Scholar] [CrossRef]
- Murphy, B.; Rogerson, M.; Worcester, M.; Elliott, P.; Higgins, R.; Le Grande, M.; Turner, A.; Goble, A. Predicting mortality 12 years after an acute cardiac event: Comparison between inhospital and 2-month assessment of depressive symptoms in women. J. Cardiopulm. Rehabil. Prev. 2013, 33, 160–167. [Google Scholar] [CrossRef]
- Kendel, F.; Dunkel, A.; Müller-Tasch, T.; Steinberg, K.; Lehmkuhl, E.; Hetzer, R.; Regitz-Zagrosek, V. Gender differences in health-related quality of life after coronary bypass surgery: Results from a 1-year follow-up in propensity-matched men and women. Psychosom. Med. 2011, 73, 280–285. [Google Scholar] [CrossRef] [PubMed]
- Bjørnnes, A.K.; Parry, M.; Lie, I.; Falk, R.; Leegaard, M.; Rustøen, T. The association between hope, marital status, depression and persistent pain in men and women following cardiac surgery. BMC Womens. Health 2018, 18, 2. [Google Scholar] [CrossRef] [PubMed]
- Geulayov, G.; Novikov, I.; Dankner, D.; Dankner, R. Symptoms of depression and anxiety and 11-year all-cause mortality in men and women undergoing coronary artery bypass graft (CABG) surgery. J. Psychosom. Res. 2018, 105, 106–114. [Google Scholar] [CrossRef] [PubMed]
- Lie, I.; Arnesen, H.; Sandvik, L.; Hamilton, G.; Bunch, E.H. Predictors for physical and mental health 6months after coronary artery bypass grafting. A cohort study. Eur. J. Cardiovasc. Nurs. 2010, 9, 238–243. [Google Scholar] [CrossRef]
- Patron, E.; Messerotti Benvenuti, S.; Palomba, D. Preoperative and perioperative predictors of reactive and persistent depression after cardiac surgery: A three-month follow-up study. Psychosomatics 2014, 55, 261–271. [Google Scholar] [CrossRef]
- Tindle, H.; Belnap, B.H.; Houck, P.R.; Mazumdar, S.; Scheier, M.F.; Matthews, K.A.; He, F.; Rollman, B.L. Optimism, response to treatment of depression, and rehospitalization after coronary artery bypass graft surgery. Psychosom. Med. 2012, 74, 200–207. [Google Scholar] [CrossRef]
- Bruce, K.M.; Yelland, G.W.; Smith, J.A.; Robinson, S.R. Recovery of cognitive function after coronary artery bypass graft operations. Ann. Thorac. Surg. 2013, 95, 1306–1313. [Google Scholar] [CrossRef]
- Roohafza, H.; Sadeghi, M.; Khani, A.; Andalib, E.; Alikhasi, H.; Rafiei, M. Psychological state in patients undergoing coronary artery bypass grafting surgery or percutaneous coronary intervention and their spouses. Int. J. Nurs. Pract. 2015, 21, 214–220. [Google Scholar] [CrossRef]
- Oldham, M.A.; Vachon, J.; Yuh, D.; Lee, H.B. Cognitive outcomes after heart valve surgery: A systematic review and meta-analysis. J. Am. Geriatr. Soc. 2018, 66, 2327–2334. [Google Scholar] [CrossRef]
- Haschke, A.; Hutter, N.; Baumeister, H. Indirect costs in patients with coronary artery disease and mental disorders: A systematic review and meta-analysis. Int. J. Occup. Med. Environ. Health 2012, 25, 319–329. [Google Scholar] [CrossRef]
- Morone, N.E.; Weiner, D.K.; Belnap, B.H.; Karp, J.F.; Mazumdar, S.; Houck, P.R.; He, F.; Rollman, B.L. The impact of pain and depression on recovery after coronary artery bypass grafting. Psychosom. Med. 2010, 72, 620–625. [Google Scholar] [CrossRef] [PubMed]
- Khoury, H.; Sanaiha, Y.; Rudasill, S.E.; Mardock, A.L.; Sareh, S.; Benharash, P. Readmissions following isolated coronary artery bypass graft surgery in the United States (from the Nationwide Readmissions Database 2010 to 2014). Am. J. Cardiol. 2019, 124, 205–210. [Google Scholar] [CrossRef] [PubMed]
- Koivula, M.; Halme, N.; Åstedt-Kurki, P. Predictors of depressive symptoms among coronary heart disease patients: A cross-sectional study nine years after coronary artery bypass grafting. Hear. Lung J. Acute Crit. Care 2010, 39, 421–431. [Google Scholar] [CrossRef]
- Sharif, F.; Shoul, A.; Janati, M.; Kojuri, J.; Zare, N. The effect of cardiac rehabilitation on anxiety and depression in patients undergoing cardiac bypass graft surgery in Iran. BMC Cardiovasc. Disord. 2012, 12, 40. [Google Scholar] [CrossRef]
- Kabboul, N.; Tomlinson, G.; Francis, T.; Grace, S.; Chaves, G.; Rac, V.; Daou-Kabboul, T.; Bielecki, J.; Alter, D.; Krahn, M. Comparative effectiveness of the core components of cardiac rehabilitation on mortality and morbidity: A systematic review and network meta-analysis. J. Clin. Med. 2018, 7, 514. [Google Scholar] [CrossRef] [PubMed]
- Dao, T.K.; Youssef, N.A.; Armsworth, M.; Wear, E.; Papathopoulos, K.N.; Gopaldas, R. Randomized controlled trial of brief cognitive behavioral intervention for depression and anxiety symptoms preoperatively in patients undergoing coronary artery bypass graft surgery. J. Thorac. Cardiovasc. Surg. 2011, 142, e109–e115. [Google Scholar] [CrossRef] [PubMed]
- Hare, D.L.; Davis, C.R. Cardiac depression scale: Validation of a new depression scale for cardiac patients. J. Psychosom. Res. 1996, 40, 379–386. [Google Scholar] [CrossRef]
- Radloff, L.S. The CES-D Scale a self-report depression scale for research in the general population. Appl. Psychol. Meas. 1977, 1, 385–401. [Google Scholar] [CrossRef]
- Nieveen, J.L.; Zimmerman, L.M.; Barnason, S.A.; Yates, B.C. Development and content validity testing of the Cardiac Symptom Survey in patients after coronary artery bypass grafting. Hear. Lung J. Acute Crit. Care 2008, 37, 17–27. [Google Scholar] [CrossRef]
- Brown, T.A.; Chorpita, B.F.; Korotitsch, W.; Barlow, D.H. Psychometric properties of the Depression Anxiety Stress Scales (DASS) in clinical samples. Behav. Res. Ther. 1997, 35, 79–89. [Google Scholar] [CrossRef]
- Sanavio, S.; Bertolotti, G.; Michielin, P.; Vidotto, G.; Zotti, A. Cognitive Behavioural Assessment 2.0, Scale Primarie; Organizzazioni Speciali: Firenze, Italy, 1987. [Google Scholar]
- Sheikh, J.I.; Yesavage, J.A. Geriatric Depression Scale (GDS): Recent evidence and development of a shorter version. Clin. Gerontol. J. Aging Ment. Heal. 1986, 5, 165–173. [Google Scholar]
- Hamilton, M. A rating scale for depression. J. Neurol. Neurosurg. Psychiatry 1960, 23, 56–62. [Google Scholar] [CrossRef] [PubMed]
- Zuckerman, M.; Lubin, B. Manual for the Multiple Affect Adjective Checklist; Educational and Industrial Testing Service: San Diego, CA, USA, 1965. [Google Scholar]
- Kroenke, K.; Spitzer, R.L.; Williams, J.B.W. The patient health questionnaire-2: Validity of a two-item depression screener. Med. Care 2003, 41, 1284–1292. [Google Scholar] [CrossRef] [PubMed]
- Kroenke, K.; Spitzer, R.L.; Williams, J.B.W. The PHQ-9: Validity of a brief depression severity measure. J. Gen. Intern. Med. 2001, 16, 606–613. [Google Scholar] [CrossRef] [PubMed]
- McNair, D.; Lor, M.; Droppeman, L. Profile of Mood States Manual; Educational and Industrial Testing Service: San Diego, CA, USA, 1992. [Google Scholar]
- Zung, W.W.K. A Self-Rating depression scale. Arch. Gen. Psychiatry 1965, 12, 63–70. [Google Scholar] [CrossRef] [PubMed]
- Derogatis, L.R. SCL-90-R, Administration, Scoring & Procedures Manual-II for the Revised Version and Other Instruments of the Psychopathology Rating Scale Series; Clinical Psychometric Research: Townson, MD, USA, 1992. [Google Scholar]









| Study CABG (First, Elective, Emergency) | Design and Sample | Depression Screening Instrument | Timing of Assessment | M (SD)/Prevalence | Main Results | EL/RG | |
|---|---|---|---|---|---|---|---|
| Pre | Post | ||||||
| Abbott et al., [26] USA Elective CABG | RCT n = 226 83% male | HADS | After CABG | – | Cluster 1: 5.9 (4.3) Cluster 2: 8.2 (4.8) Cluster 3: 11.8 (6.9) | Elderly patients with more symptoms and chronic illnesses are more prone to depression | 1a/A |
| Aburuz, [27] Jordan Elective CABG | Cohort n = 227 78% male | HADS | 2-weeks before, 1-month after | 12.76 (6.80) Normal: 57.26% Mild: 11.90% Moderate-severe: 30.84% | 11.11 (6.78) Normal: 59.47% Mild: 13.66% Moderate-severe: 26.87% | Pre-operative depressive symptoms increased postoperative hospital length of stay | 2c/B |
| Açıkel, [28] Turkey Elective CABG | Cohort n = 65 76.9% male | BDI | 1-day before 3–7 days, 1-month after | 8.12 (5.44) Normal: 61.5% Mild: 30.8% Moderate: 7.7% Severe: 0% | 3rd day: 12.43 (6.36) Normal: 35.4% Mild: 40.0% Moderate: 23.1% Severe: 1.5% 7th day: 11.66 (6.95) Normal: 40.0% Mild: 30.8% Moderate: 27.7% Severe: 1.5% 1 month: 12.29 (9.08) Normal: 47.7% Mild: 26.2% Moderate: 23.1% Severe: 3.1% | Depression levels increase during postoperative CABG period | 2c/B |
| Afridi et al., [29] Pakistan First-time CABG | Cohort n = 134 84.3% male | HAM-D | 2 days before, at discharge, 6-months follow-up | 98.5% Mild: 71.6% Moderate: 23.9% Severe: 1.5% Very severe: 1.5% | At discharge: 80.6% Mild: 73.9% Moderate: 2.23% Severe: 2.23% Very severe: 2.23% 6-months: 16.4% | Depression is commonly reported before and after CABG and influences the quality of life of the patients | 2c/B |
| Ajtahed et al., [30] Iran First-time CABG | RCT n = 75 67% male | DASS | After CABG | – | Control group: Group 1: Normal: 60% Mild: 40% Moderate: 24% Severe: 12% Extremely severe: 0% Group 2: Normal: 52% Mild: 8% Moderate: 32% Severe: 0% Extremely severe: 8% Group 3: Normal: 45% Mild: 9.1% Moderate: 13.6% Severe: 13.6% Extremely severe: 18.2% | Training cognitive rehabilitation can improve cognitive functions and quality of life in patients after CABG surgery | 1a/A |
| Ammouri et al., [31] Jordan First-time CABG | Cross-sectional n = 100 80% male | CSS | 2-weeks after discharge | – | 3% | Pain, leg swelling, poor appetite and trouble sleeping are the most frequent symptoms after CABG | 2c/B |
| Amouzeshi et al., [32] Iran Elective CABG | Cross-sectional n = 54 68% male | BDI | 1 day before and after ICU | 11.7 (7) Minimal: 55.4% Mild: 28.6% Moderate: 16.1% Severe: 0% | Male: 31.5 (10.60) Female: 29.3 (10.55) Minimal: 0% Mild: 17.9% Moderate: 32.1% Severe: 46.4% | No relationship between age, sex, marital status, and education level with post-operative depression | 2c/B |
| Azzopardi & Lee, [33] Australia Elective CABG | Cohort n = 48 85.4% male | BDI | Before, 6-weeks after, 1–2 years follow-up | 7.31 (4.1) | 2 years: 7.90 (7.1) | Depression levels 2 years after CABG were not severe | 2b/B |
| Bay et al., [34] USA Elective CABG | RCT n = 170 75% male | HADS | Baseline,1–6 months after | Control group: 7.3 (3.7) | Control group: 1-month: 3.0 (3.1) 6-months: 3.0 (3.1) | A coping religious intervention can reduce depression levels up to 6 months after surgery | 1a/A |
| Beresnevaite et al., [35] Lithuania Elective CABG | Cross-sectional n = 109 100% male | SCL-90R | 1-day before after | 63.13 (8.22) High level: 23% | – | Preoperative depression score is related with a length stay hospital (p < 0.001) and perioperative complications (p < 0.05) | 2b/B |
| Cebeci & Çelik, [36] Turkey First-time CABG | Quasi-experimental n = 52 80.8% male | HADS | 1-day before, 1-day,1-week, 1-month after | 8.3 (3.6) | At discharge: 7.9 (4.2) 1-week: 8.2 (4.5) 1-month: 7.7 (4.3) | At the time of admission, patients had a higher level of depression than at the time of discharge | 1b/A |
| Chocron et al., [37] France First-time CABG | RCT n = 361 | BDI | Before CABG | 39% | – | Antidepressant treatment did not affect the morbidity and mortality events after CABG surgery | 1a/A |
| Colella et al., [38] Canada First-time CABG | RCT n = 124 100% male | BDI | At discharge, 6–12 weeks after | – | Control group: After: 8.87 (4.74) 6-weeks: 5.84 (5.30) 12-weeks: 4.43 (5.26) | Physiological and psychological challenges after CABG increases the depression risk | 1a/A |
| Dal Boni et al., [39] Brazil Elective CABG | Cross-sectional n = 78 67% male | BDI | Before, 2-months after | 8.49 (6.87) | 5.01 (6.61) | CABG had a positive impact on the patient’s quality of life | 2b/B |
| Doering et al., [40] USA First-time CABG | Cohort n = 67 100% female | HAM-D | At discharge, 1 month after | – | 41.79% | Six months after CABG, women with major depression have at increased risk for infections | 2b/B |
| Donohue et al., [41] USA Elective CABG | RCT n = 2485 | PHQ-2 | At discharge | – | 56% | A nurse-guided intervention in the mental health area reduces the level of depression and health costs post-CABG | 1a/A |
| Dunkel et al., [42] Germany Elective CABG | Cross-sectional n = 1238 72% male | PHQ-9 | Before CABG | 21.6% | – | Lower age, female gender, less than 10 years of education and living alone are related to depression symptoms | 2b/B |
| Dunkel et al., [43] Germany Elective CABG | Cross-sectional n = 971 80.1% male | PHQ-9 | 1–3 days before, 1 year after | 5.61 (4.31) | – | Female gender is related to depression symptoms Attributions to stress, personality and destiny are associated with higher depression scores | 2b/B |
| El-Baz et al., [44] Netherlands and Slovakia Elective CABG | Observational multicentre n total = 226 n1 = 114 Slovakia n2 = 112 Netherlands 80% male | HADS | Before CABG | n1 = 5.01 (3.73) n2 = 4.96 (3.16) | – | Female gender, smoking, lower education, and lower social support are risks factors of depression | 2b/B |
| Elliott et al., [45] Australia Elective CABG | Cohort n = 174 80% male | POMS-D | Before, 2–6 months after | 10.50 (11.76) | 2-months: 7.38 (9.41) 6-months: 8.32 (10.52) | The young, male and smoking are the main risk factors of depression | 2b/B |
| Feuchtinger et al., [46] Germany First-time CABG | Cross-sectional n = 24 37.5% male | HADS | 1-day before | 6.7 (5.1) Low: 54.17% Moderate: 20.83% Severe: 25% | – | Interventions such as information, spiritual support or cognitive behavioral therapy are the key to reduce the feeling of fear before CABG surgery | 2b/B |
| Freedland et al., [47] USA Elective CABG | RCT n = 123 50% male | BDI HAM-D | 1 year after | – | BDI = 22.26 (1.3) HAM-D = 19.53 (1) | Improvement in perceived cognitive impairment correlated with improvement in depression | 1a/A |
| Gallagher & McKinley, [48] Australia Elective CABG | Cohort n = 155 74% male | HADS | Before, after surgery, 2-weeks after | 4.10 (3.22) 16% | After: 18.2% 4.67 (3.49) 2-weeks: 45% 6.58 (4.03) | 26.5% of patients reported low perceptions of control before CABG, 22% after surgery and 10.3% at discharge | 2b/B |
| Gelogahi et al., [49] Iran Elective CABG | RCT n = 40 37.5% male | DASS | Before, after | 6.67 (4.7) | 12.1 (8.1) | Nurses interventions can reduce depression levels after surgery | 1a/A |
| Hazavei et al., [50] Iran First-time CABG | Quasi-experimental n = 27 77.8% male | CDS | Before, 4-8 weeks after | 104.5 (30.4) | 2-months after: 89.2 (27.8) | Most patients lacked the skills in health education and lifestyle-related with coronary artery disease | 1b/A |
| Horne et al., [51] Canada Elective CABG | Cohort n = 104 | PHQ-9 | Before | 60.6% | – | Length of stay (more than 7 days) is associated with a higher risk of depression | 2b/B |
| Hweidi et al., [52] Jordan Elective CABG | Cross-sectional n = 143 53.1% male | SDS | 2 days after | – | Mild: 32.2% Moderate: 60.1% Severe: 5.6% | Depression is related to female, unmarried and unemployed patients | 2b/B |
| Kendel et al., [53] Germany Elective CABG | Cohort n = 351 77% male | PHQ-9 | 2 months, 2 years after | – | Male: 5.38 (4.2) Female: 6.84 (4.8) | Females have a higher level of depressive symptoms | 2b/B |
| Kendel et al., [54] Germany Elective CABG | Cohort n = 883 80.2% male | PHQ-9 | 1–3 days before | 5.38 (4.09) 8.5% | – | Depression is related to a deterioration of physical condition in patients undergoing CABG surgery | 2b/B |
| Khoueiry et al., [55] USA Elective CABG | Cohort n = 50 56% male | BDI | Before, 1–3–6–9 months follow-up | 8% | After: 60% 3-months: 44% 6-months: 40% 9-months: 44% | Age and gender are not correlated with depression levels | 2b/B |
| King et al., [56] Canada First-time CABG | Cohort n = 120 100% male | BDI CDS | At discharge, 6–12–36 weeks follow-up | – | BDI At discharge: 8.08 (4.76) 4.3% 6-weeks: 5.82 (5.36) 1.9% 12-weeks: 4.81 (4.73) 1.9% 36-weeks: 4.31 (5.81) 2.1% CDS At discharge: 74.46 (24.29) 17.2% 6-weeks: 59.58 (25.19) 7.6% 12-weeks: 54.56 (23.06) 6.7% 36 weeks: 51.22 (23.17) 4.3% | Family reduces the risk of depression | 2b/B |
| Korbmacher et al., [57] Germany Elective CABG | Cohort n = 135 77% male | HADS | 1–2 days before,1-week, 6-months after | 4.3 (3.1) 20.7% | 1-week: 5 (3.9) 24% 6-months: 4.7 (4.3) 28% | Hight levels of depression are not associated with mortality. A 24.2% of patients with normal scores before surgery suffers depression 6-months latter | 2b/B |
| Kozora et al., [58] USA Elective CABG | Cohort n = 1156 99.2% male | BDI | After, 1-year follow-up | 9.9 (7.65) | 8.9 (7.85) | Older age and lower education are related to depression levels | 2b/B |
| Macken et al., [59] USA Elective CABG | Quasi-experimental n = 34 76.5% male | PHQ-9 | After CABG | – | Control group: 18% | An intervention cardiac program can reduce depressive symptoms | 1b/A |
| McGrady et al., [60] USA Elective CABG | Quasi-experimental n = 91 | BDI | After CABG | – | 9.2 (7.5) | The symptoms can affect adherence to prescribed treatment and may also affect morbidity and mortality | 1b/A |
| McKenzie et al., [61] UK Elective or emergency CABG | Cross-sectional n = 111 82.9% male | HADS | After CABG | – | 3.16 (3.61)13.5% | Post-operative depression predicts activities of daily living functioning | 2b/B |
| McKhann et al., [24] USA Elective CABG | Cohort n = 220 73.6% male | CES-D | After, 3 months, 1–3–6 years after | – | Baseline: 13.2 (9.8) 32.4% 3-months: 10.2 (9.9) 24.1% 1 year: 9.1 (9.8) 17.3% 3 year: 8.9 (9.5) 11.8% 6 year: 10.1 (9.4) 16.8% | Depressed patients tended to have more memory complaints | 2b/B |
| Modica et al., [62] Italy Elective CABG | Cross-sectional n = 1179 80% male | HADS | After CABG | – | Moderate-severe: 10.4% Male: 9.2% Female: 15.4% | Female gender is related to a higher depression score | 2b/B |
| Moser et al., [63] USA Elective CABG | Observational multicentre n = 131 94% male | MAACL | After CABG | – | 13.0 (5.5) 53% | Factors such as being a woman and have lower educational attainment are related to depression | 2b/B |
| Murphy et al., [64] Australia Elective CABG | Cohort n = 184 79% male | HADS | Before, 2–6 months follow-up | 5.35 (4.01) | 2-months: 4.16 (3.71) 6-months: 3.87 (3.51) | Over 6-months follow-up patients show a minor score of depression | 2b/B |
| Nair et al., [65] India Elective CABG | Quasi-experimental n = 500 20.2% male | HADS | 6 months after | – | 20.2% | 11.6% of patients after CABG adhered to healthy lifestyle practices | 1b/A |
| Nemati & Astaneh, [66] Iran Elective CABG | Cohort n = 71 73% male | HADS | Before, 4-weeks after | Male: 13.58 (8.54) Female: 17.88 (7.54) | Male: 9.51 (6.00) Female: 15.05 (8.63) | CABG surgery can decrease the level of depression in a short-term follow-up | 2b/B |
| Nunes et al., [67] Brazil Elective CABG | Cohort n = 57 68.42% male | BDI | Before, 6-months after | Minimal: 56.14% Mild: 26.32% Moderate: 12.28% Severe: 5.26% | Minimal: 49.12% Mild: 29.82% Moderate: 17.54% Severe: 3.51% | Improvement the quality of life with CABG surgery reducing depressive symptoms | 2b/B |
| Okamoto et al., [68] Japan Elective or emergency CABG | Cross-sectional n = 79 75.9% male | HADS | 1–5 years after | – | Mild: 10.1% Moderate-severe: 10.1% | Depression in CABG patients is related to a decrease in functional status or activities of daily living | 2b/B |
| Oldham et al., [69] USA First-time CABG | Cohort n = 131 73% male | HAM-D PHQ-9 GDS | Before | HAM-D: 9.9% 16.3 (5.4) PHQ-9: 56.2% 13.4 (3.9) GDS: 6.9 (3.6) | – | Preoperative depression predicts post-CABG cognitive health | 2b/B |
| Perrotti et al., [70] France Elective CABG | RCT n = 359 85% male | BDI | Before,1 year after | 39.6% | – | In the first year after CABG, depressed patients have a lower improvement and quality of life | 1a/A |
| Perrotti et al., [71] France Elective CABG | Cohort n = 272 78% male | HADS | 2-weeks before | 6% | – | CABG surgery improve the functional mobility, quality of life and maintenance of an independent status | 2b/B |
| Phillips-Bute et al., [72] USA Elective CABG | Cohort n = 427 70% male | CES-D | Before, 6 months, 1 year after | Mild-Severe Male: 28% Female: 57% | Mild-severe: Male: 6-months: 17% 1-year: 17% Female: 6-months: 33% 1-year: 32% | Depressed patients are more prone than nondepressed patients to have a new cardiac event within 2 years of CABG | 2b/B |
| Poole et al., [23] UK First-time CABG | Cohort n = 310 86% male | BDI | 29 days before, after surgery | 8.68 (6.61) 30.3% Minimal: 69.7% Mild: 25.5% Moderate-severe: 4.8% | 8.33 | Pre-operative depression is associated with longer postoperative hospital stays. The young, female gender, overweight, smoking and hypertension variables are related to depression symptoms | 2b/B |
| Pourafkari et al., [73] Iran Elective CABG | Quasi-experimental n = 40 82% male | BDI | After CABG | – | 25% Minimal: 75% Mild: 12% Moderate: 8% Severe: 5% | The emergence of new-onset depression after CABG is associated with a poor outcome | 1b/A |
| Rezaei et al., [74] Iran Elective CABG | Cohort n = 135 75% male | SCL-90R | 6 months after | – | 1.17 (0.75) 44.22% | The prevalent mental disorder after CABG is depression followed by sensitivity, paranoia, hostility, anxiety, obsession, somatization, phobia, and psychosis | 2b/B |
| Sandau et al., [75] USA Elective CABG | Cohort n = 54 78% male | CES-D | Before, 3-months after | 14.2 (8.6) 20% | 10.4 (7.5) | Depressive symptoms remain constant from pre- to postoperatively at 3 months | 2b/B |
| Schwarz et al., [76] Germany Elective CABG | Cohort n = 47 89% male | HADS | Before, 3-months after | 5.0 (3.4) | 3.8 (3.1) | Depression and health-related quality of life are not associated with cognitive dysfunction after CABG | 2b/B |
| Selnes et al., [25] USA Elective or emergency CABG | Cohort n = 152 76% male | CES-D | Before, 12–72 months follow-up | 13.2 (9.6) 33% | 9.5 (9.2) 13% | CABG patients had a decline of score 72-months after | 2b/B |
| Sorensen & Wang, [77] USA First-time CABG | Cohort n = 70 66% male | GDS | Before, 6-weeks after | 3.1 (2.5) 24.2% | 2.4 (2.3) 15.9% | Women had greater depression pre-operative and post-operative. Length of stay and age are not related to depression | 2b/B |
| Spezzaferri et al., [78] Italy Elective CABG | Cohort n = 118 100% male | CBA 2.0-D | At discharge, 1 year after | – | At discharge: 12.7% 1 year: 5.9% | 1 year after CABG depression level decreased | 2b/B |
| Stenman & Sartipy, [79] Sweden Elective and emergency CABG | Cohort n = 302 | PHQ-9 | Before | 29% | – | Depressive symptoms are twice as frequent in women as in men | 2b/B |
| Thomas et al., [80] India First-time CABG | Quasi-experimental n = 100 85% male | HADS | Before, 1-week, 1 month after | 4.10 (3.30) | 1-week: 2.03 (2.60) 1-month: 1.26 (1.82) | Medical adherence behavior is related to depression six weeks after surgery | 1b/A |
| Tsai et al., [81] Taiwan First-time CABG | Cohort n = 198 81% male | CSS | Before, 1–6 weeks, 3 months follow-up | 2.42 (2.64) | 1-week: 1.41 (2.00) 6-weeks: 1.24 (1.86) 3-months: 0.96 (1.70) | Age, a longer stay in ICU, smoking, and lack of exercise are related to worse symptoms. 88% of patients have a trajectory of depression levels that decrease over time | 2b/B |
| Tully et al., [82] Australia First-time CABG | Cohort n = 226 83% male | DASS | Before, 4 days after | 20.1% | 23.5% | Readmission is related to a higher depression score. Depression symptoms are associated with morbidity | 2b/B |
| Tully et al., [83] Australia First-time CABG | Cohort n = 226 83% male | BDI | Before, after surgery | 8.62 (6.23) | 9.05 (6.40) | Pessimism, past failure, self-criticalness and, worthlessness are associated with cardiac morbidity and mortality | 2b/B |
| Yang et al., [84] China First-time CABG | Cohort n = 232 81% male | PHQ-9 | 3-days before, 6-months after | 4.8 (5.0) 18.1% | 4.2 (5.0) 18.1% | Preoperative depression is associated with women gender | 2b/B |
| Yang et al., [85] Taiwan Elective and emergency CABG | Cross-sectional n = 87 74.7% male | HADS | 1 week, 1 month after | – | 1 week: Mild: 17.2% Moderate-severe: 60.9% 1 month: 8.75 (4.63) Mild: 24.1% Moderate-severe: 35.6% | Depression is related to sleep quality after CABG surgery | 2b/B |
| Yüksel et al., [86] Turkey Elective and first-CABG | Cohort n = 63 G1: diagnosed after experiencing an ACS G2: diagnosed without an ACS | BDI | Before | G1:14.9 (9.5) G2: 12.1 (7.4) 66.6% Mild: 22.2% Moderate-severe: 44.4% | – | Patients in both groups were found to be depressed and hopeless about the future | 2b/B |
| Zimmerman et al., [87] USA Elective CABG | RCT n = 226 83% male | CSS | At discharge | – | 19% | Health care providers must assist the patients before hospital discharge to identify the risks and difficulties in patients after CABG up to 6 months after surgery | 1a/A |
© 2020 by the authors. Licensee MDPI, Basel, Switzerland. This article is an open access article distributed under the terms and conditions of the Creative Commons Attribution (CC BY) license (http://creativecommons.org/licenses/by/4.0/).
Share and Cite
Correa-Rodríguez, M.; Abu Ejheisheh, M.; Suleiman-Martos, N.; Membrive-Jiménez, M.J.; Velando-Soriano, A.; Schmidt-RioValle, J.; Gómez-Urquiza, J.L. Prevalence of Depression in Coronary Artery Bypass Surgery: A Systematic Review and Meta-Analysis. J. Clin. Med. 2020, 9, 909. https://doi.org/10.3390/jcm9040909
Correa-Rodríguez M, Abu Ejheisheh M, Suleiman-Martos N, Membrive-Jiménez MJ, Velando-Soriano A, Schmidt-RioValle J, Gómez-Urquiza JL. Prevalence of Depression in Coronary Artery Bypass Surgery: A Systematic Review and Meta-Analysis. Journal of Clinical Medicine. 2020; 9(4):909. https://doi.org/10.3390/jcm9040909
Chicago/Turabian StyleCorrea-Rodríguez, María, Moath Abu Ejheisheh, Nora Suleiman-Martos, María José Membrive-Jiménez, Almudena Velando-Soriano, Jacqueline Schmidt-RioValle, and José Luis Gómez-Urquiza. 2020. "Prevalence of Depression in Coronary Artery Bypass Surgery: A Systematic Review and Meta-Analysis" Journal of Clinical Medicine 9, no. 4: 909. https://doi.org/10.3390/jcm9040909
APA StyleCorrea-Rodríguez, M., Abu Ejheisheh, M., Suleiman-Martos, N., Membrive-Jiménez, M. J., Velando-Soriano, A., Schmidt-RioValle, J., & Gómez-Urquiza, J. L. (2020). Prevalence of Depression in Coronary Artery Bypass Surgery: A Systematic Review and Meta-Analysis. Journal of Clinical Medicine, 9(4), 909. https://doi.org/10.3390/jcm9040909

