Executive Functions Are Associated with Fall Risk but not Balance in Chronic Cerebrovascular Disease
Abstract
1. Introduction
2. Methods
2.1. Participants
2.2. Neuropsychological Examination
2.3. Physiotherapy Measures
2.4. Procedure
2.5. Analyses
3. Results
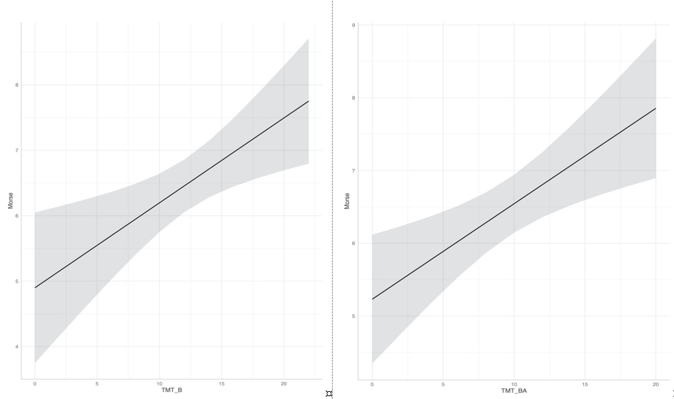
3.1. Unique Associations between Executive Functions and Physiotherapy Measure of Fall Risk
3.2. The Impact of Executive Functions on Fall Risk Scores Controlling for Global Cognitive Deterioration and Vascular Parkinsonism
3.3. Bayesian Correlations, Model Testing, and Effect Evidence
4. Discussion
5. Conclusions
Supplementary Materials
Author Contributions
Funding
Conflicts of Interest
References
- Muir, S.W.; Gopaul, K.; Montero-Odasso, M. The role of cognitive impairment in fall risk among older adults: A systematic review and meta-analysis. Age Ageing 2012, 41, 299–308. [Google Scholar] [CrossRef] [PubMed]
- Ble, A.; Volpato, S.; Zuliani, G.; Guralnik, J.M.; Bandinelli, S.; Lauretani, F.; Bartali, B.; Maraldi, C.; Fellin, R.; Ferrucci, L. Executive function correlates with walking speed in older persons: The InCHIANTI study. J. Am. Geriatr. Soc. 2005, 53, 410–415. [Google Scholar] [CrossRef] [PubMed]
- Hanna-Pladdy, B. Dysexecutive syndromes in neurologic disease. J. Neurol. Phys. Ther. 2007, 31, 119–127. [Google Scholar] [CrossRef] [PubMed]
- Van Iersel, M.B.; Kessels, R.P.C.; Bloem, B.R.; Verbeek, A.L.M.; Rikkert, M.G.M.O. Executive functions are associated with gait and balance in community-living elderly people. J. Gerontol. Ser. A: Biol. Sci. Med. Sci. 2008, 63, 1344–1349. [Google Scholar] [CrossRef] [PubMed]
- Yogev-Seligmann, G.; Hausdorff, J.M.; Giladi, N. The role of executive function and attention in gait. Mov. Disord. 2007, 23, 329–342. [Google Scholar] [CrossRef] [PubMed]
- Liu-Ambrose, T.Y.; Ashe, M.C.; Graf, P.; Beattie, B.L.; Khan, K.M. Increased risk of falling in older community-dwelling women with mild cognitive impairment. Phys. Ther. 2008, 88, 1482–1491. [Google Scholar] [CrossRef]
- Hirota, C.; Watanabe, M.; Sun, W.; Tanimoto, Y.; Kono, R.; Takasaki, K.; Kono, K. Association between the Trail Making Test and physical performance in elderly Japanese. Geriatr. Gerontol. Int. 2010, 10, 40–47. [Google Scholar] [CrossRef]
- Watson, N.L.; Rosano, C.; Boudreau, R.M.; Simonsick, E.M.; Ferrucci, L.; Sutton-Tyrrell, K.; Hardy, S.E.; Atkinson, H.H.; Yaffe, K.; Satterfield, S.; et al. Executive function, memory, and gait speed decline in well-functioning older adults. J. Gerontol. Ser. A Biol. Sci. Med. Sci. 2010, 65, 1093–1100. [Google Scholar] [CrossRef]
- Verghese, J.; Wang, C.; Ayers, E.; Izzetoglu, M.; Holtzer, R. Brain activation in high-functioning older adults and falls: Prospective cohort study. Neurology 2017, 88, 191–197. [Google Scholar] [CrossRef]
- Snijders, A.H.; Verstappen, C.C.; Munneke, M.; Bloem, B.R. Assessing the interplay between cognition and gait in the clinical setting. J. Neural Transm. 2007, 114, 1315–1321. [Google Scholar] [CrossRef]
- Muir-Hunter, S.; Wittwer, J. Dual-task testing to predict falls in community-dwelling older adults: A systematic review. Physiotherapy 2016, 102, 29–40. [Google Scholar] [CrossRef] [PubMed]
- Hobert, M.A.; Niebler, R.; Meyer, S.I.; Brockmann, K.; Becker, C.; Huber, H.; Gaenslen, A.; Godau, J.; Eschweiler, G.W.; Berg, D.; et al. Poor trail making test performance is directly associated with altered dual task prioritization in the elderly—Baseline results from the TREND study. PLoS ONE 2011, 6, e27831. [Google Scholar] [CrossRef] [PubMed]
- Sánchez-Cubillo, I.; Periáñez, J.; Adrover-Roig, D.; Rodríguez-Sánchez, J.; Ríos-Lago, M.; Tirapu, J.; Barceló, F. Construct validity of the Trail Making Test: Role of task-switching, working memory, inhibition/interference control, and visuomotor abilities. J. Int. Neuropsychol. Soc. 2009, 15, 438–450. [Google Scholar] [CrossRef] [PubMed]
- Horikawa, E.; Matsui, T.; Arai, H.; Seki, T.; Iwasaki, K.; Sasaki, H. Risk of falls in Alzheimer’s disease: A prospective study. Intern. Med. 2005, 44, 717–721. [Google Scholar] [CrossRef]
- Blackwood, J.; Shubert, T.; Forgarty, K.; Chase, C. Relationships between performance on assessments of executive function and fall risk screening measures in community-dwelling older adults. J. Geriatr. Phys. Ther. 2016, 39, 89–96. [Google Scholar] [CrossRef]
- Donahue, M.J.; Achten, E.; Cogswell, P.M.; De Leeuw, F.-E.; Derdeyn, C.P.; Dijkhuizen, R.M.; Fan, A.P.; Ghaznawi, R.; Heit, J.J.; Ikram, M.A.; et al. Consensus statement on current and emerging methods for the diagnosis and evaluation of cerebrovascular disease. Br. J. Pharmacol. 2017, 38, 1391–1417. [Google Scholar] [CrossRef]
- O’Brien, J.T.; Erkinjuntti, T.; Reisberg, B.; Roman, G.; Sawada, T.; Pantoni, L.; Bowler, J.V.; Ballard, C.; DeCarli, C.; Gorelick, P.B.; et al. Vascular cognitive impairment. Lancet Neurol. 2003, 2, 89–98. [Google Scholar] [CrossRef]
- Skrobot, O.A.; Black, S.E.; Chen, C.; DeCarli, C.; Erkinjuntti, T.; Ford, G.; Kalaria, R.N.; O’Brien, J.; Pantoni, L.; Pasquier, F.; et al. Progress toward standardized diagnosis of vascular cognitive impairment: Guidelines from the vascular impairment of cognition classification consensus study. Alzheimer’s Dement. 2017, 14, 280–292. [Google Scholar] [CrossRef]
- Tierney, M.C.; Black, S.E.; Szalai, J.P.; Snow, W.G.; Fisher, R.H.; Nadon, G.; Chui, H.C. Recognition memory and verbal fluency differentiate probable alzheimer disease from subcortical ischemic vascular dementia. Arch. Neurol. 2001, 58, 1654–1659. [Google Scholar] [CrossRef]
- Román, G.C.; Erkinjuntti, T.; Wallin, A.; Pantoni, L.; Chui, H.C. Subcortical ischaemic vascular dementia. Lancet Neurol. 2002, 1, 426–436. [Google Scholar] [CrossRef]
- Oosterman, J.M.; Sergeant, J.; Weinstein, H.C.; Scherder, E.J. Timed executive functions and white matter in aging with and without cardiovascular risk factors. Rev. Neurosci. 2004, 15, 439–462. [Google Scholar] [CrossRef]
- Salimi, S.; Irish, M.; Foxe, D.; Hodges, J.R.; Piguet, O.; Burrell, J.R. Can visuospatial measures improve the diagnosis of Alzheimer’s disease? Alzheimer’s Dement. Diagn. Assess. Dis. Monit. 2017, 10, 66–74. [Google Scholar] [CrossRef] [PubMed]
- Korczyn, A.D. Vascular parkinsonism—Characteristics, pathogenesis and treatment. Nat. Rev. Neurol. 2015, 11, 319–326. [Google Scholar] [CrossRef] [PubMed]
- Uçar, D.E.; Paker, N.; Buğdaycı, D. Lokomat: A therapeutic chance for patients with chronic hemiplegia. NeuroRehabilitation 2014, 34, 447–453. [Google Scholar] [CrossRef]
- Blackwood, J. Cognitive function is associated with mobility in community dwelling older adults with a history of cardiovascular disease. Cardiopulm. Phys. Ther. J. 2019, 30, 86–93. [Google Scholar] [CrossRef]
- Blackwood, J.; Gore, S. Beyond balance and mobility, contributions of cognitive function to falls in older adults with cardiovascular disease. J. Frailty Sarcopenia Falls 2019, 4, 65–70. [Google Scholar] [CrossRef]
- Magni, E.; Binetti, G.; Bianchetti, A.; Rozzini, R.; Trabucchi, M. Mini-mental state examination: A normative study in Italian elderly population. Eur. J. Neurol. 1996, 3, 198–202. [Google Scholar] [CrossRef]
- Mondini, S.; Mapelli, D.; Vestri, A.; Bisiacchi, P.S. Esame Neuropsicologico Breve. Una Batteria di Test per lo Screening Neuropsicologico; Raffaello Cortina: Milano, Italy, 2003. [Google Scholar]
- Appollonio, I.; Leone, M.; Isella, V.; Piamarta, F.; Consoli, T.; Villa, M.L.; Forapani, E.; Russo, A.; Nichelli, P. The Frontal Assessment Battery (FAB): Normative values in an Italian population sample. Neurol. Sci. 2005, 26, 108–116. [Google Scholar] [CrossRef]
- Amodio, P.; Wenin, H.; Del Piccolo, F.; Mapelli, D.; Montagnese, S.; Pellegrini, A.; Musto, C.; Gatta, A.; Umiltà, C. Variability of trail making test, symbol digit test and line trait test in normal people. A normative study taking into account age-dependent decline and sociobiological variables. Aging Clin. Exp. Res. 2002, 14, 117–131. [Google Scholar] [CrossRef]
- Basso, A.; Capitani, E.; Laiacona, M. Raven’s coloured progressive matrices: Normative values on 305 adult normal controls. Funct. Neurol 1987, 2, 189–194. [Google Scholar]
- Novelli, G.; Papagno, C.; Capitani, E.; Laiacona, M.; Vallar, G.; Cappa, S.F. Tre test clinici di ricerca e produzione lessicale. Taratura su sogetti normali. Arch. Psicol. Neurol. Psichiatr. 1986, 47, 477–506. [Google Scholar]
- Caffarra, P.; Vezzadini, G.; Dieci, F.; Zonato, F.; Venneri, A. Rey-Osterrieth complex figure: Normative values in an Italian population sample. Neurol. Sci. 2002, 22, 443–447. [Google Scholar] [CrossRef] [PubMed]
- Monaco, M.; Ecosta, A.; Caltagirone, C.; Carlesimo, G.A. Forward and backward span for verbal and visuo-spatial data: Standardization and normative data from an Italian adult population. Neurol. Sci. 2012, 34, 749–754. [Google Scholar] [CrossRef] [PubMed]
- Tesio, L.; Perucca, L.; Franchignoni, F.; Battaglia, M. A short measure of balance in multiple sclerosis: Validation through Rasch analysis. Funct. Neurol. 1998, 12, 255–256. [Google Scholar]
- Schwendimann, R.; De Geest, S.; Milisen, K. Evaluation of the Morse Fall Scale in hospitalised patients. Age Ageing 2006, 35, 311–313. [Google Scholar] [CrossRef]
- R Core Team. R: A Language and Environment for Statistical Computing; R Foundation for Statistical Computing: Wien, Austria, 2014. [Google Scholar]
- Van Buuren, S.; Groothuis-Oudshoorn, K. Mice: Multivariate imputation by chained equations inR. J. Stat. Softw. 2011, 45, 1–67. [Google Scholar] [CrossRef]
- Lüdecke, D. Sjstats: Statistical Functions for Regression Models (Version 0.17.9). 2020. Available online: https://cran.r-project.org/package=sjstats (accessed on 1 August 2020).
- Pena, E.A.; Slate, E.H. Global Validation of Linear Models Assumptions. J. Am. Stat. Assoc. 2006, 101, 341–354. [Google Scholar] [CrossRef]
- Schober, P.; Boer, C.; Schwarte, L.A. Correlation coefficients: Appropriate use and interpretation. Anesth. Analg. 2018, 126, 1763–1768. [Google Scholar] [CrossRef]
- Moraes, R.; Mauerberg-DeCastro, E. Complex systems approach to the study of posture and locomotion in older people. In Locomotion and Posture in Older Adults; Barbieri, F.A., Vitório, R., Eds.; Springer: Berlin/Heidelberg, Germany, 2017; pp. 3–20. [Google Scholar]
- Harrell, F.E.J. Regression Modeling Strategies; Springer: New York, NY, USA, 2015. [Google Scholar]
- Wagenmakers, E.-J. A practical solution to the pervasive problems ofp values. Psychon. Bull. Rev. 2007, 14, 779–804. [Google Scholar] [CrossRef]
- Halsey, L.G. The reign of the p -value is over: What alternative analyses could we employ to fill the power vacuum? Biol. Lett. 2019, 15. [Google Scholar] [CrossRef]
- Ly, A.; Verhagen, J.; Wagenmakers, E.-J. Harold Jeffreys’s default Bayes factor hypothesis tests: Explanation, extension, and application in psychology. J. Math. Psychol. 2016, 72, 19–32. [Google Scholar] [CrossRef]
- Saverino, A.; Waller, D.; Rantell, K.; Parry, R.; Moriarty, A.; Playford, E.D. The role of cognitive factors in predicting balance and fall risk in a neuro-rehabilitation setting. PLoS ONE 2016, 11, e0153469. [Google Scholar] [CrossRef] [PubMed]
- Martin, K.; Thomson, R.; Blizzard, C.; Wood, A.; Garry, M.; Srikanth, V. Visuospatial ability and memory are associated with falls risk in older people. Dement. Geriatr. Cogn. Disord. 2009, 27, 451–457. [Google Scholar] [CrossRef] [PubMed]
- Williams, D.R.; Watt, H.C.; Lees, A.J. Predictors of falls and fractures in bradykinetic rigid syndromes: A retrospective study. J. Neurol. Neurosurg. Psychiatry 2006, 77, 468–473. [Google Scholar] [CrossRef]
- Shea-Shumsky, N.B.; Schoeneberger, S.; Grigsby, J. Executive functioning as a predictor of stroke rehabilitation outcomes. Clin. Neuropsychol. 2019, 33, 854–872. [Google Scholar] [CrossRef]
- Pedroli, E.; Greci, L.; Colombo, D.; Serino, S.; Cipresso, P.; Arlati, S.; Mondellini, M.; Boilini, L.; Giussani, V.; Goulene, K.; et al. Characteristics, usability, and users experience of a system combining cognitive and physical therapy in a virtual environment: Positive bike. Sensors 2018, 18, 2343. [Google Scholar] [CrossRef]
- Tuena, C.; Serino, S.; Dutriaux, L.; Riva, G.; Piolino, P. Virtual enactment effect on memory in young and aged populations: A systematic review. J. Clin. Med. 2019, 8, 620. [Google Scholar] [CrossRef]
- Arble, E.; Steinert, S.W.; Daugherty, A.M. The application of the Rorschach Inkblot test in the study of neural and cognitive aging. Rorschachiana 2020, 41, 1–8. [Google Scholar] [CrossRef]
- Lis, A.; Parolin, L.; Salcuni, S.; Zennaro, A. Rorschach Comprehensive System Data for a Sample of 249 Adult Nonpatients From Italy. J. Pers. Assess. 2007, 89, S80–S84. [Google Scholar] [CrossRef]
- De Carli, P.; Tagini, A.; Sarracini, D.; Santona, A.; Bonalda, V.; Cesari, P.E.; Parolin, L. Like grandparents, like parents: Empirical evidence and psychoanalytic thinking on the transmission of parenting styles. Bull. Menninger Clin. 2018, 82, 46–70. [Google Scholar] [CrossRef]
- Farinelli, M.; Panksepp, J.; Gestieri, L.; Maffei, M.; Agati, R.; Cevolani, D.; Pedone, V.; Northoff, G. Do brain lesions in stroke affect basic emotions and attachment? J. Clin. Exp. Neuropsychol. 2015, 37, 595–613. [Google Scholar] [CrossRef]
- Benzi, I.M.A.; Di Pierro, R.; De Carli, P.; Cristea, I.A.; Cipresso, P. All the faces of research on borderline personality pathology: Drawing future trajectories through a network and cluster analysis of the literature. JEBP 2020, 20. [Google Scholar]


| CVD (n = 66) | Missing Data | |
|---|---|---|
| Demographics | ||
| Age | 78.89 (6.88) | 0% |
| Education | 11.47 (4.30) | 0% |
| Gender | F = 19; M = 47 | 0% |
| Neurological Comorbidities | ||
| VP | 10 (15.2%) | 0% |
| INPH | 1 (1.5%) | 0% |
| Hemiplegia | 13 (19.7%) | 3% |
| Hypoesthesia | 3 (4.5%) | 3% |
| Neuropathies | 4 (6.1%) | 3% |
| Vision | 3 (4.5%) | 3% |
| Medical History | ||
| Hypertension | 28 (42.2%) | 4.5% |
| Diabetes | 18 (27.3%) | 3% |
| AF | 15 (22.7%) | 3% |
| CHD | 13 (19.7%) | 3% |
| History of Previous CVD | 53 (80.3%) | 3% |
| Hypercholesterolemia | 0 (0%) | 3% |
| Main Current Medications | ||
| Patients with Medication | 8 (12.1%) | 3% |
| ● SSRI | 8 (100%) | 0% |
| ● ACE Inhibitor | 4 (50%) | 0% |
| ● Beta-Blockers | 3 (37.5%) | 0% |
| Cognitive Tests | ||
| ● Global Cognition | ||
| MMSE | 25.07 (3.43) | 0% |
| CDT | 5.56 (3.78) | 21.2% |
| ● Executive Functions/Attention | ||
| FAB | 13.18 (3.11) | 10.6% |
| TMT-B | 163.55 (119.79) | 39.3% |
| TMT-BA | 109.65 (101.67) | 39.3% |
| ● Reasoning | ||
| Raven | 26.41 (5.87) | 28.7% |
| ● Psychomotor Speed | ||
| TMT-A | 64.59 (45.86) | 25.7% |
| ● Language | ||
| Phonetic Fluency | 24.05 (12.06) | 6% |
| Semantic Fluency | 28.74 (10.84) | 7.5% |
| ● Memory | ||
| Delayed ROCF | 13.88 (4.84) | 24.2% |
| Digit Span Forward | 5.17 (1.15) | 45.4% |
| ● Visuospatial | ||
| Copy ROCF | 26.51 (9.25) | 24.2% |
| Physiotherapy Tests | ||
| EQUI Scale | 12.04 (3.10) | 31.8% |
| Morse Fall Scale | 48 (18.45) | 1.5% |
| β | Std. Error | t | p-Value | Upper Bound BF | BIC | |
|---|---|---|---|---|---|---|
| Attentive shift model | ||||||
| intercept | 4.27 | 2.64 | 1.61 | 0.115 | ||
| TMT-B | 0.13 | 0.04 | 2.87 | 0.007 | 10.77 ** | |
| MMSE | 0.02 | 0.09 | 0.27 | 0.790 | 1.99 | |
| VP | 0.54 | 0.59 | 0.91 | 0.368 | 1 | |
| Null | 227.40 | |||||
| Main | 132.16 | |||||
| Full | 138.45 | |||||
| Central executive model | ||||||
| intercept | 4.24 | 2.56 | 1.66 | 0.106 | ||
| TMT-BA | 0.13 | 0.04 | 3.08 | 0.004 | 16.78 ** | |
| MMSE | 0.04 | 0.09 | 0.42 | 0.677 | 1.4 | |
| VP | 0.61 | 0.58 | 1.04 | 0.304 | 1.02 | |
| Null | 227.40 | |||||
| Main | 131.45 | |||||
| Full | 137.34 | |||||
Publisher’s Note: MDPI stays neutral with regard to jurisdictional claims in published maps and institutional affiliations. |
© 2020 by the authors. Licensee MDPI, Basel, Switzerland. This article is an open access article distributed under the terms and conditions of the Creative Commons Attribution (CC BY) license (http://creativecommons.org/licenses/by/4.0/).
Share and Cite
Tuena, C.; Mancuso, V.; Benzi, I.M.A.; Cipresso, P.; Chirico, A.; Goulene, K.M.; Riva, G.; Stramba-Badiale, M.; Pedroli, E. Executive Functions Are Associated with Fall Risk but not Balance in Chronic Cerebrovascular Disease. J. Clin. Med. 2020, 9, 3405. https://doi.org/10.3390/jcm9113405
Tuena C, Mancuso V, Benzi IMA, Cipresso P, Chirico A, Goulene KM, Riva G, Stramba-Badiale M, Pedroli E. Executive Functions Are Associated with Fall Risk but not Balance in Chronic Cerebrovascular Disease. Journal of Clinical Medicine. 2020; 9(11):3405. https://doi.org/10.3390/jcm9113405
Chicago/Turabian StyleTuena, Cosimo, Valentina Mancuso, Ilaria M. A. Benzi, Pietro Cipresso, Alice Chirico, Karine Marie Goulene, Giuseppe Riva, Marco Stramba-Badiale, and Elisa Pedroli. 2020. "Executive Functions Are Associated with Fall Risk but not Balance in Chronic Cerebrovascular Disease" Journal of Clinical Medicine 9, no. 11: 3405. https://doi.org/10.3390/jcm9113405
APA StyleTuena, C., Mancuso, V., Benzi, I. M. A., Cipresso, P., Chirico, A., Goulene, K. M., Riva, G., Stramba-Badiale, M., & Pedroli, E. (2020). Executive Functions Are Associated with Fall Risk but not Balance in Chronic Cerebrovascular Disease. Journal of Clinical Medicine, 9(11), 3405. https://doi.org/10.3390/jcm9113405

