Extremes of Liver Transplantation for Hepatocellular Carcinoma
Abstract
1. Introduction
2. Experimental Section
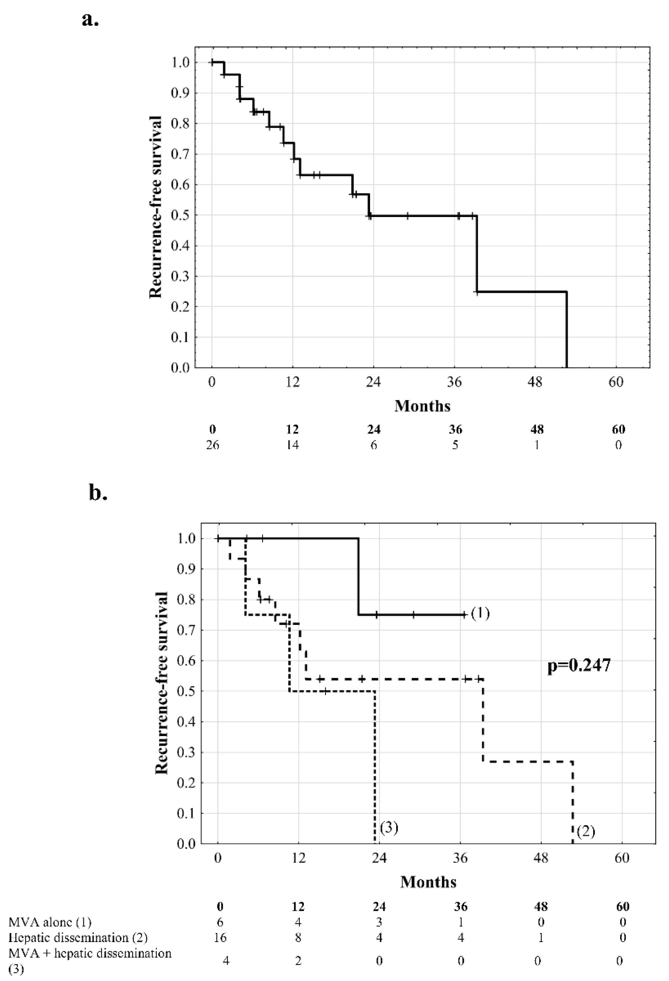
3. Results
4. Discussion
Author Contributions
Acknowledgments
Conflicts of Interest
Data Availability
References
- Jepsen, P.; Andersen, M.W.; Villadsen, G.E.; Ott, P.; Vilstrup, H. Time-trends in incidence and prognosis of hepatocellular carcinoma in Denmark: A nationwide register-based cohort study. Liver Int. 2017, 37, 871–878. [Google Scholar] [CrossRef]
- Beal, E.W.; Tumin, D.; Kabir, A.; Moris, D.; Zhang, X.F.; Chakedis, J.; Washburn, K.; Black, S.; Schmidt, C.M.; Pawlik, T.M. Cohort contributions to race- and gender-specific trends in the incidence of hepatocellular carcinoma in the USA. World J. Surg. 2018, 42, 835–840. [Google Scholar] [CrossRef] [PubMed]
- Jinjuvadia, R.; Salami, A.; Lenhart, A.; Jinjuvadia, K.; Liangpunsakul, S.; Salgia, R. Hepatocellular carcinoma: A decade of hospitalizations and financial burden in the United States. Am. J. Med. Sci. 2017, 354, 362–369. [Google Scholar] [CrossRef] [PubMed]
- Borzio, M.; Dionigi, E.; Rossini, A.; Toldi, A.; Francica, G.; Fornari, F.; Salmi, A.; Farinati, F.; Vicari, S.; Marignani, M.; et al. Trend of improving prognosis of hepatocellular carcinoma in clinical practice: An Italian in-field experience. Dig. Dis. Sci. 2015, 60, 1465–1473. [Google Scholar] [CrossRef] [PubMed]
- Serper, M.; Taddei, T.H.; Mehta, R.; D’Addeo, K.; Dai, F.; Aytaman, A.; Baytarian, M.; Fox, R.; Hunt, K.; Goldberg, D.S.; et al. Association of provider specialty and multidisciplinary care with hepatocellular carcinoma treatment and mortality. Gastroenterology 2017, 152, 1954–1964. [Google Scholar] [CrossRef] [PubMed]
- Hsu, C.Y.; Liu, P.H.; Hsia, C.Y.; Lee, Y.H.; Nagaria, T.S.; Lee, R.C.; Ho, S.Y.; Hou, M.C.; Huo, T.I. A new treatment-integrated prognostic nomogram of the barcelona clinic liver cancer system for hepatocellular carcinoma. Sci. Rep. 2017, 7, 7914. [Google Scholar] [CrossRef] [PubMed]
- Pinato, D.J.; Sharma, R.; Allara, E.; Yen, C.; Arizumi, T.; Kubota, K.; Bettinger, D.; Jang, J.W.; Smirne, C.; Kim, Y.W. The ALBI grade provides objective hepatic reserve estimation across each BCLC stage of hepatocellular carcinoma. J. Hepatol. 2017, 66, 338–346. [Google Scholar] [CrossRef]
- Giannini, E.G.; Bucci, L.; Garuti, F.; Brunacci, M.; Lenzi, B.; Valente, M.; Caturelli, E.; Cabibbo, G.; Piscaglia, F.; Virdone, R.; et al. Patients with advanced hepatocellular carcinoma need a personalized management: A lesson from clinical practice. Hepatology 2018, 67, 1784–1796. [Google Scholar] [CrossRef]
- Hsu, C.Y.; Liu, P.H.; Lee, Y.H.; Hsia, C.Y.; Huang, Y.H.; Chiou, Y.Y.; Tsai, Y.J.; Nagaria, T.S.; Huo, T.I.; et al. Aggressive therapeutic strategies improve the survival of hepatocellular carcinoma patients with performance status 1 or 2: A propensity score analysis. Ann. Surg. Oncol. 2015, 22, 1324–1331. [Google Scholar] [CrossRef]
- Liu, J.B.; Baker, T.B.; Suss, N.R.; Talamonti, M.S.; Roggin, K.K.; Winchester, D.J.; Baker, M.S. Orthotopic liver transplantation provides a survival advantage compared with resection in patients with hepatocellular carcinoma and preserved liver function. Surgery 2017, 162, 1032–1039. [Google Scholar] [CrossRef]
- Umgelter, A.; Hapfelmeier, A.; Kopp, W.; van Rosmalen, M.; Rogiers, X.; Guba, M. Eurotransplant Liver Advisory Committee. Disparities in Eurotransplant liver transplantation wait-list outcome between patients with and without model for end-stage liver disease exceptions. Liver Transpl. 2017, 23, 1256–1265. [Google Scholar] [CrossRef] [PubMed]
- Duvoux, C.; Roudot-Thoraval, F.; Decaens, T.; Pessione, F.; Badran, H.; Piardi, T.; Francoz, C.; Compagnon, P.; Vanlemmens, C.; Dumortier, J.; et al. Liver transplantation for hepatocellular carcinoma: A model including α-fetoprotein improves the performance of Milan criteria. Gastroenterology 2012, 143, 986–994. [Google Scholar] [CrossRef] [PubMed]
- Mehta, N.; Heimbach, J.; Harnois, D.M.; Sapisochin, G.; Dodge, J.L.; Lee, D.; Burns, J.M.; Sanchez, W.; Greig, P.D.; Grant, D.R.; et al. Validation of a risk estimation of tumor recurrence after transplant (RETREAT) score for hepatocellular carcinoma recurrence after liver transplant. JAMA Oncol. 2017, 3, 493–500. [Google Scholar] [CrossRef] [PubMed]
- Halazun, K.J.; Najjar, M.; Abdelmessih, R.M.; Samstein, B.; Griesemer, A.D.; Guarrera, J.V.; Kato, T.; Verna, E.C.; Emond, J.C.; Brown, R.S., Jr. Recurrence after liver transplantation for hepatocellular carcinoma: A new MORAL to the story. Ann. Surg. 2017, 265, 557–564. [Google Scholar] [CrossRef] [PubMed]
- Grąt, M.; Wronka, K.M.; Stypułkowski, J.; Bik, E.; Krasnodębski, M.; Masior, Ł.; Lewandowski, Z.; Grąt, K.; Patkowski, W.; Krawczyk, M. The Warsaw proposal for the use of extended selection criteria in liver transplantation for hepatocellular cancer. Ann. Surg. Oncol. 2017, 24, 526–534. [Google Scholar] [CrossRef] [PubMed]
- Lai, Q.; Nicolini, D.; Inostroza Nunez, M.; Iesari, S.; Goffette, P.; Agostini, A.; Giovagnoni, A.; Vivarelli, M.; Lerut, J. A novel prognostic index in patients with hepatocellular cancer waiting for liver transplantation: Time-radiological-response-alpha-fetoprotein-inflammation (TRAIN) score. Ann. Surg. 2016, 264, 787–796. [Google Scholar] [CrossRef]
- Mazzaferro, V.; Sposito, C.; Zhou, J.; Pinna, A.D.; De Carlis, L.; Fan, J.; Cescon, M.; Di Sandro, S.; Yi-Feng, H.; Lauterio, A.; et al. Metroticket 2.0 model for analysis of competing risks of death after liver transplantation for hepatocellular carcinoma. Gastroenterology 2018, 154, 128–139. [Google Scholar] [CrossRef]
- Vitale, A.; Morales, R.R.; Zanus, G.; Farinati, F.; Burra, P.; Angeli, P.; Frigo, A.C.; Del Poggio, P.; Rapaccini, G.; Di Nolfo, M.A.; et al. Barcelona Clinic Liver Cancer staging and transplant survival benefit for patients with hepatocellular carcinoma: A multicentre, cohort study. Lancet Oncol. 2011, 12, 654–662. [Google Scholar] [CrossRef]
- Lai, Q.; Vitale, A.; Iesari, S.; Finkenstedt, A.; Mennini, G.; Spoletini, G.; Hoppe-Lotichius, M.; Vennarecci, G.; Manzia, T.M.; Nicolini, D.; et al. Intention-to-treat survival benefit of liver transplantation in patients with hepatocellular cancer. Hepatology 2017, 66, 1910–1919. [Google Scholar] [CrossRef]
- Olthoff, K.M.; Millis, J.M.; Rosove, M.H.; Goldstein, L.I.; Ramming, K.P.; Busuttil, R.W. Is liver transplantation justified for the treatment of hepatic malignancies? Arch. Surg. 1990, 125, 1261–1266. [Google Scholar] [CrossRef]
- Krawczyk, M.; Grąt, M.; Barski, K.; Ligocka, J.; Antczak, A.; Kornasiewicz, O.; Skalski, M.; Patkowski, W.; Nyckowski, P.; Zieniewicz, K.; et al. 1000 liver transplantations at the Department of General, Transplant and Liver Surgery, Medical University of Warsaw—Analysis of indications and results. Pol. Przegl. Chir. 2012, 84, 304–312. [Google Scholar] [CrossRef] [PubMed]
- Grąt, M.; Kornasiewicz, O.; Lewandowski, Z.; Skalski, M.; Zieniewicz, K.; Pączek, L.; Krawczyk, M. The impact of surgical technique on the results of liver transplantation in patients with hepatocellular carcinoma. Ann. Transplant. 2013, 18, 448–459. [Google Scholar]
- Clavien, P.A.; Lesurtel, M.; Bossuyt, P.M.; Gores, G.J.; Langer, B.; Perrier, A.; OLT for HCC Consensus Group. Recommendations for liver transplantation for hepatocellular carcinoma: An international consensus conference report. Lancet Oncol. 2012, 13, e11–e22. [Google Scholar] [CrossRef]
- Grąt, M.; Stypułkowski, J.; Patkowski, W.; Wronka, K.M.; Bik, E.; Krasnodębski, M.; Masior, Ł.; Lewandowski, Z.; Wasilewicz, M.; Grąt, K.; et al. Challenging the principle of utility as a barrier for wider use of liver transplantation for hepatocellular cancer. Ann. Surg. Oncol. 2017, 24, 3188–3195. [Google Scholar] [CrossRef] [PubMed]
- Vilgrain, V.; Pereira, H.; Assenat, E.; Guiu, B.; Ilonca, A.D.; Pageaux, G.P.; Sibert, A.; Bouattour, M.; Lebtahi, R.; Allaham, W.; et al. Efficacy and safety of selective internal radiotherapy with yttrium-90 resin microspheres compared with sorafenib in locally advanced and inoperable hepatocellular carcinoma (SARAH): An open-label randomised controlled phase 3 trial. Lancet Oncol. 2017, 18, 1624–1636. [Google Scholar] [CrossRef]
- Aravinthan, A.D.; Bruni, S.G.; Doyle, A.C.; Thein, H.H.; Goldaracena, N.; Issachar, A.; Lilly, L.B.; Selzner, N.; Bhat, M.; Sreeharsha, B.; et al. Liver transplantation is a preferable alternative to palliative therapy for selected patients with advanced hepatocellular carcinoma. Ann. Surg. Oncol. 2017, 24, 1843–1851. [Google Scholar] [CrossRef] [PubMed][Green Version]
- Grąt, M.; Stypułkowski, J.; Morawski, M.; Wronka, K.M.; Wasilewicz, M.; Lewandowski, Z.; Grąt, K.; Wójcik, Z.; Patkowski, W.; Zieniewicz, K. Shadows Behind Using Simple Risk Models in Selection of Hepatocellular Carcinoma Patients for Liver Transplantation. Ann. Surg. 2018. [Google Scholar] [CrossRef] [PubMed]
- Agopian, V.G.; Harlander-Locke, M.P.; Markovic, D.; Zarrinpar, A.; Kaldas, F.M.; Cheng, E.Y.; Yersiz, H.; Farmer, D.G.; Hiatt, J.R.; Busuttil, R.W. Evaluation of patients with hepatocellular carcinomas that do not produce α-fetoprotein. JAMA Surg. 2017, 152, 55–64. [Google Scholar] [CrossRef]
- Andreou, A.; Bahra, M.; Schmelzle, M.; Öllinger, R.; Sucher, R.; Sauer, I.M.; Guel-Klein, S.; Struecker, B.; Eurich, D.; Klein, F.; et al. Predictive factors for extrahepatic recurrence of hepatocellular carcinoma following liver transplantation. Clin. Transplant. 2016, 30, 819–827. [Google Scholar] [CrossRef]
- Lee, K.W.; Suh, S.W.; Choi, Y.; Jeong, J.; Yi, N.J.; Kim, H.; Yoon, K.C.; Hong, S.K.; Kim, H.S.; Lee, K.B.; et al. Macrovascular invasion is not an absolute contraindication for living donor liver transplantation. Liver Transpl. 2017, 23, 19–27. [Google Scholar] [CrossRef]
- Dendy, M.S.; Camacho, J.C.; Ludwig, J.M.; Krasinskas, A.M.; Knechtle, S.J.; Kim, H.S. Infiltrative hepatocellular carcinoma with portal vein tumor thrombosis treated with a single high-dose Y90 radioembolization and subsequent liver transplantation without a recurrence. Transplant. Direct. 2017, 3, e206. [Google Scholar] [CrossRef] [PubMed]
- Levi Sandri, G.B.; Ettorre, G.M.; Colasanti, M.; De Werra, E.; Mascianà, G.; Ferraro, D.; Tortorelli, G.; Sciuto, R.; Lucatelli, P.; Pizzi, G.; et al. Hepatocellular carcinoma with macrovascular invasion treated with yttrium-90 radioembolization prior to transplantation. Hepatobiliary Surg. Nutr. 2017, 6, 44–48. [Google Scholar] [CrossRef] [PubMed]
- Notarpaolo, A.; Layese, R.; Magistri, P.; Gambato, M.; Colledan, M.; Magini, G.; Miglioresi, L.; Vitale, A.; Vennarecci, G.; Ambrosio, C.D.; et al. Validation of the AFP model as a predictor of HCC recurrence in patients with viral hepatitis-related cirrhosis who had received a liver transplant for HCC. J. Hepatol. 2017, 66, 552–559. [Google Scholar] [CrossRef] [PubMed]
- Groeschl, R.T.; Hong, J.C.; Christians, K.K.; Turaga, K.K.; Tsai, S.; Pilgrim, C.H.; Gamblin, T.C. Viral status at the time of liver transplantation for hepatocellular carcinoma: A modern predictor of longterm survival. HPB 2013, 15, 794–802. [Google Scholar] [CrossRef] [PubMed]
- Hu, Z.; Zhou, J.; Wang, H.; Zhang, M.; Li, S.; Huang, Y.; Wu, J.; Li, Z.; Zhou, L.; Zheng, S. Survival in liver transplant recipients with hepatitis B- or hepatitis C-associated hepatocellular carcinoma: The Chinese experience from 1999 to 2010. PLoS ONE 2013, 8, e61620. [Google Scholar] [CrossRef] [PubMed]
- Franssen, B.; Alshebeeb, K.; Tabrizian, P.; Marti, J.; Pierobon, E.S.; Lubezky, N.; Roayaie, S.; Florman, S.; Schwartz, M.E. Differences in surgical outcomes between hepatitis B- and hepatitis C-related hepatocellular carcinoma: A retrospective analysis of a single North American center. Ann. Surg. 2014, 260, 650–656. [Google Scholar] [CrossRef]
- Orci, L.A.; Lacotte, S.; Oldani, G.; Slits, F.; De Vito, C.; Crowe, L.A.; Rubbia-Brandt, L.; Vallée, J.P.; Morel, P.; Toso, C. Effect of ischaemic preconditioning on recurrence of hepatocellular carcinoma in an experimental model of liver steatosis. Br. J. Surg. 2016, 103, 417–426. [Google Scholar] [CrossRef]
- Kornberg, A.; Witt, U.; Kornberg, J.; Friess, H.; Thrum, K. Treating ischaemia-reperfusion injury with prostaglandin E1 reduces the risk of early hepatocellular carcinoma recurrence following liver transplantation. Aliment. Pharmacol. Ther. 2015, 42, 1101–1110. [Google Scholar] [CrossRef]
- Grąt, M.; Krawczyk, M.; Wronka, K.M.; Stypułkowski, J.; Lewandowski, Z.; Wasilewicz, M.; Krawczyk, P.; Grąt, K.; Patkowski, W.; Zieniewicz, K. Ischemia-reperfusion injury and the risk of hepatocellular carcinoma recurrence after deceased donor liver transplantation. Sci. Rep. 2018, 8, 8935. [Google Scholar] [CrossRef]
- Nagai, S.; Yoshida, A.; Facciuto, M.; Moonka, D.; Abouljoud, M.S.; Schwartz, M.E.; Florman, S.S. Ischemia time impacts recurrence of hepatocellular carcinoma after liver transplantation. Hepatology 2015, 61, 895–904. [Google Scholar] [CrossRef]
- Kornberg, A.; Witt, U.; Kornberg, J.; Friess, H.; Thrum, K. Extended ischemia times promote risk of HCC recurrence in liver transplant patients. Dig. Dis. Sci. 2015, 60, 2832–2839. [Google Scholar] [CrossRef] [PubMed]
- Orci, L.A.; Berney, T.; Majno, P.E.; Lacotte, S.; Oldani, G.; Morel, P.; Mentha, G.; Toso, C. Donor characteristics and risk of hepatocellular carcinoma recurrence after liver transplantation. Br. J. Surg. 2015, 102, 1250–1257. [Google Scholar] [CrossRef] [PubMed]
- Han, S.; Yang, J.D.; Sinn, D.H.; Kim, J.M.; Choi, G.S.; Jung, G.; Ahn, J.H.; Kim, S.; Ko, J.S.; Gwak, M.S.; et al. Risk of post-transplant hepatocellular carcinoma recurrence is higher in recipients of livers from male than female living donors. Ann. Surg. 2018, 268, 1043–1050. [Google Scholar] [CrossRef] [PubMed]




| Factors | All Patients (n = 26) | Intrahepatic Dissemination (n = 20) | Macrovascular Invasion (n = 10) |
|---|---|---|---|
| Sex | |||
| male | 21 (80.8%) | 16 (80.0%) | 7 (70.0%) |
| female | 5 (19.2%) | 4 (20.0%) | 3 (30.0%) |
| Age (years) | 58 (53–61) | 57 (53–61) | 57 (52–61) |
| Model for end-stage liver disease | 11 (8–16) | 10 (8–16) | 11 (8–16) |
| Hepatitis B virus infection | 8 (30.8%) | 8 (40.0%) | 2 (20.0%) |
| Hepatitis C virus infection | 18 (69.2%) | 14 (70.0%) | 7 (70.0%) |
| Alcoholic liver disease | 5 (19.2%) | 3 (15.0%) | 2 (20.0%) |
| AFP model | 3 (2–5) | 3 (2–5) | 3 (1–5) |
| Tumor number | – (≥10) a | – (≥10) a | 3.5 (1–>10) |
| Size of the largest tumor (cm) | 3.7 (2.6–5.2) | 3.4 (2.5–5.0) | 5.0 (2.5–5.0) |
| Alpha-fetoprotein concentration (ng/mL) | 24 (6–560) | 14 (3–571) | 167 (25–560) |
| Ca 19-9 concentration (U/mL) | 41 (21–47) | 39 (16–47) | 41 (35–45) |
| Poor tumor differentiation | 6 (23.1%) | 5 (25.0%) | 3 (30.0%) |
| Microvascular invasion | 16 (64.0%) | 10 (52.6%) | 9 (90.0%) |
| Macrovascular invasion | 10 (38.5%) | 4 (20.0%) | 10 (100.0%) |
| Neoadjuvant treatment | 10 (38.5%) | 7 (35.0%) | 4 (40.0%) |
| Total ischemic time (hours) | 9.5 (7.8–10.4) | 9.6 (8.5–10.5) | 8.6 (7.3–10.0) |
| Donor age | 51 (38–54) | 49 (37–53) | 50 (43–61) |
| Donor sex | |||
| male | 13 (50.0%) | 12 (60.0%) | 5 (50.0%) |
| female | 13 (50.0%) | 8 (40.0%) | 5 (50.0%) |
| Intraoperative PRBC transfusions (units) | 3.5 (2–5.5) | 4 (2–6) | 4 (2–5) |
| Intraoperative FFP transfusions (units) | 6 (4.5–10.0) | 6 (4–10) | 8 (5–10) |
| Factors | HR (95% CI) | p |
|---|---|---|
| Male sex | 0.62 (0.12–3.15) | 0.560 |
| Age | 0.99 (0.91–1.09) | 0.886 |
| MELD | 1.04 (0.94–1.14) | 0.437 |
| HBV infection | 3.84 (1.08–13.64) | 0.038 |
| HCV infection | 0.70 (0.18–2.83) | 0.622 |
| ALD | 1.02 (0.26–3.93) | 0.979 |
| AFP model | 1.45 (1.09–1.94) | 0.001 |
| Tumor number | 1.15 (0.89–1.48) | 0.274 |
| Tumor size | 1.40 (0.92–2.11) | 0.113 |
| Alpha-fetoprotein | 1.06 (0.87–1.29) | 0.552 |
| Ca 19-9 | 0.83 (0.32–2.19) | 0.710 |
| Poor tumor differentiation | 4.09 (0.90–18.47) | 0.067 |
| Microvascular invasion | 0.58 (0.16–2.12) | 0.414 |
| Macrovascular invasion | 1.02 (0.27–3.81) | 0.977 |
| Neoadjuvant treatment | 0.89 (0.23–3.45) | 0.868 |
| Total ischemic time | 1.94 (1.23–3.05) | 0.004 |
| Donor age | 0.94 (0.89–0.99) | 0.016 |
| Male donor sex | 0.89 (0.27–2.95) | 0.855 |
| Intraoperative PRBC transfusions (units) | 1.14 (0.96–1.35) | 0.127 |
| Intraoperative FFP transfusions (units) | 1.09 (0.92–1.30) | 0.301 |
| Factors | HBV-Negative (n = 18) | Intrahepatic Dissemination (n = 20) | ||
|---|---|---|---|---|
| HR (95% CI) | p | HR (95% CI) | p | |
| Male sex | 0.65 (0.06–6.42) | 0.709 | 0.75 (0.15–3.84) | 0.735 |
| Age | 1.06 (0.88–1.28) | 0.516 | 1.01 (0.92–1.11) | 0.813 |
| MELD | 1.11 (0.98–1.25) | 0.098 | 1.02 (0.93–1.13) | 0.621 |
| HBV infection | - | - | 2.85 (0.75–10.79) | 0.123 |
| HCV infection | 1.04 (0.12–9.31) | 0.975 | 1.09 (0.22–5.41) | 0.918 |
| ALD | 1.88 (0.37–9.50) | 0.444 | 0.65 (0.13–3.19) | 0.598 |
| AFP model | 1.48 (1.01–2.17) | 0.004 | 1.43 (1.06–1.92) | 0.019 |
| Tumor number | 1.08 (0.83–1.41) | 0.558 | - | - |
| Tumor size | 1.04 (0.56–1.91) | 0.902 | 1.53 (1.01–2.30) | 0.044 |
| Alpha-fetoprotein | 1.13 (0.86–1.49) | 0.367 | 1.12 (0.91–1.38) | 0.269 |
| Ca 19-9 | 0.71 (0.13–4.01) | 0.700 | 0.91 (0.37–2.20) | 0.829 |
| Poor tumor differentiation | 1.83 (0.18–18.75) | 0.612 | 3.19 (0.72–14.10) | 0.127 |
| Microvascular invasion | 0.46 (0.07–3.09) | 0.425 | 0.78 (0.21–2.95) | 0.712 |
| Macrovascular invasion | 1.14 (0.16–8.11) | 0.896 | 2.21 (0.53–9.31) | 0.278 |
| Neoadjuvant treatment | 0.41 (0.05–3.61) | 0.421 | 1.11 (0.28–4.43) | 0.880 |
| Total ischemic time | 2.53 (1.19–5.37) | 0.016 | 1.83 (1.12–2.98) | 0.016 |
| Donor age | 0.90 (0.82–0.98) | 0.017 | 0.94 (0.89–0.99) | 0.041 |
| Male donor sex | 1.09 (0.22–5.42) | 0.915 | 0.76 (0.22–2.67) | 0.668 |
| Intraoperative PRBC transfusions (units) | 1.17 (0.94–1.47) | 0.162 | 1.09 (0.91–1.30) | 0.358 |
| Intraoperative FFP transfusions (units) | 1.07 (0.86–1.34) | 0.548 | 1.05 (0.88–1.24) | 0.619 |
| Factors | HR (95% CI) | p |
|---|---|---|
| Male sex | 0.41 (0.03–6.62) | 0.533 |
| Age | 0.99 (0.88–1.11) | 0.872 |
| MELD | 0.90 (0.67–1.20) | 0.469 |
| HBV infection | 4.12 (0.57–29.66) | 0.160 |
| HCV infection | 0.13 (0.01–1.46) | 0.098 |
| ALD | 2.27 (0.20–25.32) | 0.504 |
| AFP model | 1.14 (0.60–2.14) | 0.694 |
| Tumor number | 1.24 (0.92–1.67) | 0.154 |
| Tumor size | 0.86 (0.41–1.79) | 0.688 |
| Alpha-fetoprotein | 0.93 (0.67–1.29) | 0.654 |
| Ca 19-9 | 0.66 (0.10–4.34) | 0.663 |
| Poor tumor differentiation | 3.74 (0.22–64.64) | 0.364 |
| Neoadjuvant treatment | 1.01 (0.10–10.29) | 0.993 |
| Total ischemic time | 5.89 (0.68–51.18) | 0.108 |
| Donor age | 0.96 (0.90–1.04) | 0.346 |
| Male donor sex | 3.14 (0.32–30.55) | 0.325 |
| Intraoperative PRBC transfusions (units) | 1.54 (0.97–2.44) | 0.066 |
| Intraoperative FFP transfusions (units) | 1.20 (0.80–1.81) | 0.374 |
© 2019 by the authors. Licensee MDPI, Basel, Switzerland. This article is an open access article distributed under the terms and conditions of the Creative Commons Attribution (CC BY) license (http://creativecommons.org/licenses/by/4.0/).
Share and Cite
Grąt, M.; Krasnodębski, M.; Krawczyk, M.; Stypułkowski, J.; Morawski, M.; Wasilewicz, M.; Lewandowski, Z.; Grąt, K.; Patkowski, W.; Zieniewicz, K. Extremes of Liver Transplantation for Hepatocellular Carcinoma. J. Clin. Med. 2019, 8, 787. https://doi.org/10.3390/jcm8060787
Grąt M, Krasnodębski M, Krawczyk M, Stypułkowski J, Morawski M, Wasilewicz M, Lewandowski Z, Grąt K, Patkowski W, Zieniewicz K. Extremes of Liver Transplantation for Hepatocellular Carcinoma. Journal of Clinical Medicine. 2019; 8(6):787. https://doi.org/10.3390/jcm8060787
Chicago/Turabian StyleGrąt, Michał, Maciej Krasnodębski, Marek Krawczyk, Jan Stypułkowski, Marcin Morawski, Michał Wasilewicz, Zbigniew Lewandowski, Karolina Grąt, Waldemar Patkowski, and Krzysztof Zieniewicz. 2019. "Extremes of Liver Transplantation for Hepatocellular Carcinoma" Journal of Clinical Medicine 8, no. 6: 787. https://doi.org/10.3390/jcm8060787
APA StyleGrąt, M., Krasnodębski, M., Krawczyk, M., Stypułkowski, J., Morawski, M., Wasilewicz, M., Lewandowski, Z., Grąt, K., Patkowski, W., & Zieniewicz, K. (2019). Extremes of Liver Transplantation for Hepatocellular Carcinoma. Journal of Clinical Medicine, 8(6), 787. https://doi.org/10.3390/jcm8060787

