Hybrid Coronary Percutaneous Treatment with Metallic Stents and Everolimus-Eluting Bioresorbable Vascular Scaffolds: 2-Years Results from the GABI-R Registry
Abstract
:1. Introduction
2. Methods
2.1. Objective of the Study
2.2. Procedures
2.3. Definitions
2.4. Data Management and Outcomes of Interest
2.5. Statistical Analysis
3. Results
3.1. Patient Characteristics
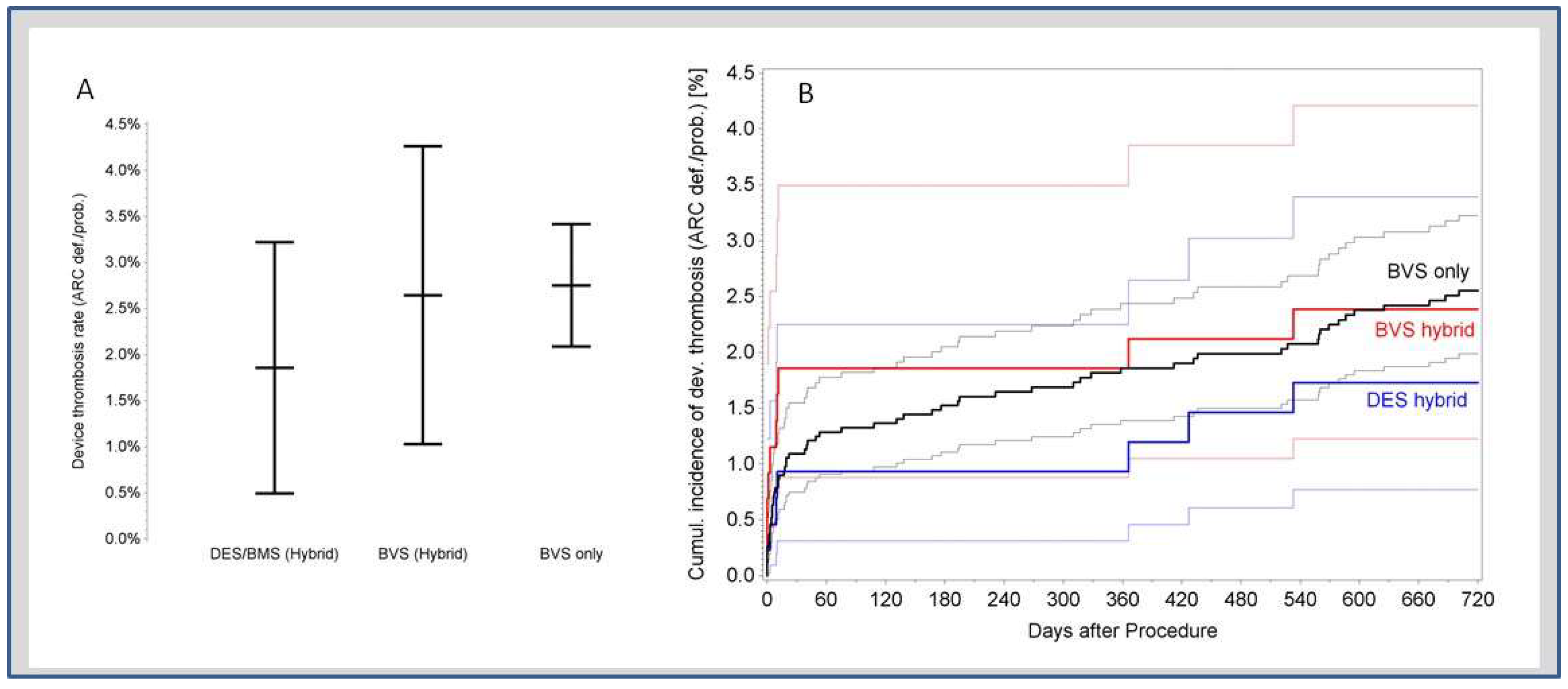
3.2. Clinical Outcomes
4. Discussion
5. Limitations
6. Conclusions
Author Contributions
Funding
Conflicts of Interest
References
- Kereiakes, D.J.; Ellis, S.G.; Metzger, C.; Caputo, R.P.; Rizik, D.G.; Teirstein, P.S.; Litt, M.R.; Kini, A.; Kabour, A.; Marx, S.O.; et al. 3-Year Clinical Outcomes With Everolimus-Eluting Bioresorbable Coronary Scaffolds: The ABSORB III Trial. J. Am. Coll. Cardiol. 2017, 70, 2852–2862. [Google Scholar] [CrossRef]
- Mahmoud, A.N.; Barakat, A.F.; Elgendy, A.Y.; Schneibel, E.; Mentias, A.; Abuzaid, A.; Elgendy, I.Y. Long-Term Efficacy and Safety of Everolimus-Eluting Bioresorbable Vascular Scaffolds Versus Everolimus-Eluting Metallic Stents: A Meta-Analysis of Randomized Trials. Circ. Cardiovasc. Interv. 2017, 10, e005286. [Google Scholar] [CrossRef] [PubMed]
- Polimeni, A.; Anadol, R.; Munzel, T.; Indolfi, C.; De Rosa, S.; Gori, T. Long-term outcome of bioresorbable vascular scaffolds for the treatment of coronary artery disease: a meta-analysis of RCTs. BMC Cardiovasc. Disord. 2017, 17, 147. [Google Scholar] [CrossRef] [PubMed]
- Wykrzykowska, J.J.; Kraak, R.P.; Hofma, S.H.; van der Schaaf, R.J.; Arkenbout, E.K.; Ijsselmuiden, A.J.; Elias, J.; van Dongen, I.M.; Tijssen, R.Y.G.; Koch, K.T.; et al. Bioresorbable Scaffolds versus Metallic Stents in Routine PCI. N. Engl. J. Med. 2017, 376, 2319–2328. [Google Scholar] [CrossRef]
- Foin, N.; Lee, R.; Mattesini, A.; Caiazzo, G.; Fabris, E.; Kilic, I.D.; Chan, J.N.; Huang, Y.; Venkatraman, S.S.; Di Mario, C.; et al. Bioabsorbable vascular scaffold overexpansion: insights from in vitro post-expansion experiments. EuroIntervention 2016, 11, 1389–1399. [Google Scholar] [CrossRef] [PubMed]
- Ormiston, J.A.; Webber, B.; Ubod, B.; Darremont, O.; Webster, M.W. An independent bench comparison of two bioresorbable drug-eluting coronary scaffolds (Absorb and DESolve) with a durable metallic drug-eluting stent (ML8/Xpedition). EuroIntervention 2015, 11, 60–67. [Google Scholar] [CrossRef]
- Anadol, R.; Lorenz, L.; Weissner, M.; Ullrich, H.; Polimeni, A.; Münzel, T.; Gori, T. Characteristics and outcome of patients with complex coronary lesions treated with bioresorbable scaffolds Three years follow-up in a cohort of consecutive patients. EuroIntervention 2018, 14, e1011–e1019. [Google Scholar] [CrossRef]
- Ellis, S.G.; Gori, T.; Serruys, P.W.; Nef, H.; Steffenino, G.; Brugaletta, S.; Munzel, T.; Feliz, C.; Schmidt, G.; Sabaté, M. Clinical, Angiographic, and Procedural Correlates of Very Late Absorb Scaffold Thrombosis: Multistudy Registry Results. JACC. Cardiovasc. Interv. 2018, 11, 638–644. [Google Scholar] [CrossRef] [PubMed]
- Wohrle, J.; Nef, H.M.; Naber, C.; Achenbach, S.; Riemer, T.; Mehilli, J.; Münzel, T.; Schneider, S.; Markovic, S.; Seeger, J.; et al. Predictors of early scaffold thrombosis: results from the multicenter prospective German-Austrian ABSORB RegIstRy. Coron. Artery Dis. 2018, 29, 389–396. [Google Scholar] [CrossRef]
- Regazzoli, D.; Latib, A.; Ezhumalai, B.; Tanaka, A.; Leone, P.P.; Khan, S.; Kumar, V.; Rastogi, V.; Ancona, M.B.; Mangieri, A.; et al. Long-term follow-up of BVS from a prospective multicenter registry: Impact of a dedicated implantation technique on clinical outcomes. Int. J. Cardiol. 2018, 270, 113–117. [Google Scholar] [CrossRef] [PubMed]
- Anadol, R.; Gori, T. The mechanisms of late scaffold thrombosis. Clin. Hemorheol. Microcirc. 2017, 67, 343–346. [Google Scholar] [CrossRef] [PubMed]
- Tanaka, A.; Jabbour, R.J.; Mitomo, S.; Latib, A.; Colombo, A. Hybrid Percutaneous Coronary Intervention With Bioresorbable Vascular Scaffolds in Combination With Drug-Eluting Stents or Drug-Coated Balloons for Complex Coronary Lesions. JACC. Cardiovasc. Interv. 2017, 10, 539–547. [Google Scholar] [CrossRef]
- Nef, H.; Wiebe, J.; Achenbach, S.; Münzel, T.; Naber, C.; Richardt, G.; Mehilli, J.; Wöhrle, J.; Neumann, T.; Biermann, J.; et al. Evaluation of the short- and long-term safety and therapy outcomes of the everolimus-eluting bioresorbable vascular scaffold system in patients with coronary artery stenosis: Rationale and design of the German-Austrian ABSORB RegIstRy (GABI-R). Cardiovasc. Revasc. Med. 2016, 17, 34–37. [Google Scholar] [CrossRef] [PubMed]
- Nef, H.M.; Wiebe, J.; Kastner, J.; Mehilli, J.; Muenzel, T.; Naber, C.; Neumann, T.; Richardt, G.; Schmermund, A.; Woehrle, J.; et al. Everolimus-eluting bioresorbable scaffolds in patients with coronary artery disease: Results from the German-Austrian ABSORB RegIstRy (GABI-R). EuroIntervention 2017, 13, 1311–1318. [Google Scholar] [CrossRef]
- Mehilli, J.; Achenbach, S.; Woehrle, J.; Baquet, M.; Riemer, T.; Muenzel, T.; Nef, H.; Naber, C.; Richardt, G.; Zahn, R.; et al. Clinical restenosis and its predictors after implantation of everolimus-eluting bioresorbable vascular scaffolds: results from GABI-R. EuroIntervention 2017, 13, 1319–1326. [Google Scholar] [CrossRef]
- Cutlip, D.E.; Windecker, S.; Mehran, R.; Boam, A.; Cohen, D.J.; van Es, G.A.; Steg, P.G.; Morel, M.A.; Mauri, L.; Vranckx, P.; et al. Clinical end points in coronary stent trials: a case for standardized definitions. Circulation 2007, 115, 2344–2351. [Google Scholar] [CrossRef]
- Kimura, T.; Kozuma, K.; Tanabe, K.; Nakamura, S.; Yamane, M.; Muramatsu, T.; Saito, S.; Yajima, J.; Hagiwara, N.; Mitsudo, K.; et al. A randomized trial evaluating everolimus-eluting Absorb bioresorbable scaffolds vs. everolimus-eluting metallic stents in patients with coronary artery disease: ABSORB Japan. Eur. Heart J. 2015, 36, 3332–3342. [Google Scholar] [CrossRef]
- Stone, G.W.; Gao, R.; Kimura, T.; Kereiakes, D.J.; Ellis, S.G.; Onuma, Y.; Cheong, W.F.; Jones-McMeans, J.; Su, X.; Zhang, Z.; et al. 1-year outcomes with the Absorb bioresorbable scaffold in patients with coronary artery disease: a patient-level, pooled meta-analysis. Lancet 2016, 387, 387–1277. [Google Scholar] [CrossRef]
- De Ribamar Costa, J.; Abizaid, A.; Bartorelli, A.L.; Whitbourn, R.; Jepson, N.; Perin, M.; Steinwender, C.; Stuteville, M.; Ediebah, D.; Sudhir, K.; et al. One-year clinical outcomes of patients treated with everolimus-eluting bioresorbable vascular scaffolds versus everolimus-eluting metallic stents: a propensity score comparison of patients enrolled in the ABSORB EXTEND and SPIRIT trials. EuroIntervention 2016, 12, 1255–1262. [Google Scholar] [CrossRef] [PubMed]
- La Manna, A.; Chisari, A.; Giacchi, G.; Capodanno, D.; Longo, G.; Di Silvestro, M.; Capranzano, P.; Tamburino, C. Everolimus-eluting bioresorbable vascular scaffolds versus second generation drug-eluting stents for percutaneous treatment of chronic total coronary occlusions: Technical and procedural outcomes from the GHOST-CTO registry. Catheter Cardiovasc. Interv. 2016, 88, E155–E163. [Google Scholar] [CrossRef]
- Tamburino, C.; Capranzano, P.; Gori, T.; Latib, A.; Lesiak, M.; Nef, H.; Caramanno, G.; Naber, C.; Mehilli, J.; Di Mario, C.; et al. 1-Year Outcomes of Everolimus-Eluting Bioresorbable Scaffolds Versus Everolimus-Eluting Stents: A Propensity-Matched Comparison of the GHOST-EU and XIENCE V USA Registries. JACC. Cardiovasc. Interv. 2016, 9, 9–440. [Google Scholar] [CrossRef]
- Lesiak, M.; Zawada-Iwanczyk, S.; Lanocha, M.; Klotzka, A.; Lesiak, M. Bioresorbable scaffolds for complex coronary interventions. Minerva Cardioangiol. 2018, 66, 477–488. [Google Scholar] [PubMed]
- Sorrentino, S.; Giustino, G.; Mehran, R.; Kini, A.S.; Sharma, S.K.; Faggioni, M.; Farhan, S.; Vogel, B.; Indolfi, C.; Dangas, G.D. Everolimus-Eluting Bioresorbable Scaffolds Versus Everolimus-Eluting Metallic Stents. J. Am. Coll. Cardiol. 2017, 69, 3055–3066. [Google Scholar] [CrossRef]
- Dimitriadis, Z.; Polimeni, A.; Anadol, R.; Geyer, M.; Weissner, M.; Ullrich, H.; Münzel, T.; Gori, T. Procedural Predictors for Bioresorbable Vascular Scaffold Thrombosis: Analysis of the Individual Components of the “PSP” Technique. J. Clin. Med. 2019, 8, 93. [Google Scholar] [CrossRef] [PubMed]
- Gori, T.; Polimeni, A.; Indolfi, C.; Räber, L.; Adriaenssens, T.; Münzel, T. Predictors of stent thrombosis and their implications for clinical practice. Nat. Rev. Cardiol. 2019, 16, 243–256. [Google Scholar] [CrossRef]
- Polimeni, A.; Anadol, R.; Münzel, T.; De Rosa, S.; Indolfi, C.; Gori, T. Predictors of bioresorbable scaffold failure in STEMI patients at 3years follow-up. I. J. Cardiol. 2018, 268, 68–74. [Google Scholar]
- Polimeni, A.; Weissner, M.; Schochlow, K.; Ullrich, H.; Indolfi, C.; Dijkstra, J.; Anadol, R.; Münzel, T.; Gori, T. Incidence, Clinical Presentation, and Predictors of Clinical Restenosis in Coronary Bioresorbable Scaffolds. JACC. Cardiovasc. Interv. 2017, 10, 1819–1827. [Google Scholar] [CrossRef]
- Sorrentino, S.; De Rosa, S.; Ambrosio, G.; Mongiardo, A.; Spaccarotella, C.; Polimeni, A.; Sabatino, J.; Torella, D.; Caiazzo, G.; Indolfi, C. The duration of balloon inflation affects the luminal diameter of coronary segments after bioresorbable vascular scaffolds deployment. BMC Cardiovasc. Disord. 2015, 15, 169. [Google Scholar] [CrossRef] [PubMed]
- Brugaletta, S.; Gomez-Lara, J.; Garcia-Garcia, H.M.; Heo, J.H.; Farooq, V.; van Geuns, R.J.; Chevalier, B.; Windecker, S.; McClean, D.; Thuesen, L. Analysis of 1 year virtual histology changes in coronary plaque located behind the struts of the everolimus eluting bioresorbable vascular scaffold. Int. J. Cardiovasc. Imaging 2012, 28, 1307–1314. [Google Scholar] [CrossRef] [PubMed]
- Polimeni, A.; Anadol, R.; Münzel, T.; Geyer, M.; De Rosa, S.; Indolfi, C.; Gori, T. Bioresorbable vascular scaffolds for percutaneous treatment of chronic total coronary occlusions: a meta-analysis. BMC Cardiovasc. Disord. 2019, 19, 59. [Google Scholar] [CrossRef]
- Gori, T.; Wiebe, J.; Capodanno, D.; Latib, A.; Lesiak, M.; Pyxaras, S.A.; Mehilli, J.; Caramanno, G.; Di Mario, C.; Brugaletta, S.; et al. Early and midterm outcomes of bioresorbable vascular scaffolds for ostial coronary lesions: insights from the GHOST-EU registry. EuroIntervention 2016, 12, e550–556. [Google Scholar] [CrossRef] [PubMed]
- Gil, R.J.; Bil, J.; Pawłowski, T.; Yuldashev, N.; Kołakowski, L.; Jańczak, J.; Jabłoński, W.; Paliński, P. The use of bioresorbable vascular scaffold Absorb BVS(R) in patients with stable coronary artery disease: one-year results with special focus on the hybrid bioresorbable vascular scaffolds and drug eluting stents treatment. Kardiol. Pol. 2016, 74, 627–633. [Google Scholar] [CrossRef] [PubMed]
- Rigatelli, G.; Avvocata, F.D.; Ronco, F.; Giordan, M.; Roncon, L.; Caprioglio, F.; Grassi, G.; Faggian, G.; Cardaioli, P. Edge-to-Edge Technique to Minimize Ovelapping of Multiple Bioresorbable Scaffolds Plus Drug Eluting Stents in Revascularization of Long Diffuse Left Anterior Descending Coronary Artery Disease. J. Interv. Cardiol. 2016, 29, 275–284. [Google Scholar] [CrossRef] [PubMed]
- Karbassi, A.; Kassaian, S.E.; Poorhosseini, H.; Salarifar, M.; Jalali, A.; Nematipour, E.; Kazazi, E.H.; Alidoosti, M.; Hajizeinali, A.M.; Tokaldani, M.L. Selective versus exclusive use of drug-eluting stents in treating multivessel coronary artery disease: a real-world cohort study. Tex. Heart Inst. J. 2014, 41, 477–483. [Google Scholar] [CrossRef]
- Naganuma, T.; Latib, A.; Ielasi, A.; Panoulas, V.F.; Sato, K.; Miyazaki, T.; Colombo, A. No more metallic cages: an attractive hybrid strategy with bioresorbable vascular scaffold and drug-eluting balloon for diffuse or tandem lesions in the same vessel. Int. J.Cardiol. 2014, 172, 618–619. [Google Scholar] [CrossRef] [PubMed]



| Total (Hybrid + BVS-Only) n = 3144 | Hybrid Group n = 435 | BVS Only n = 2709 | p Value | |
|---|---|---|---|---|
| Female gender | 22.9% (721/3144) | 19.1% (83/435) | 23.6% (638/2709) | <0.05 |
| Age (years, rounded) | 60.87 ± 11.02 | 61.91 ± 10.36, | 60.7 ± 11.11 | 0.06 |
| Diabetes mellitus | 20.9% (651/3117) | 24.2% (105/433) | 20.3% (546/2684) | 0.06 |
| Current smoker | 34.9% (1039/2978) | 30.4% (128/421) | 35.6 % (911/2557) | <0.05 |
| Arterial hypertension | 73.4% (2274/3100) | 75.3% (324/430) | 73% (1950/2670) | 0.31 |
| Hypercholesterolemia | 56.5% (1702/3010) | 59.6% (243/408) | 56.1% (1459/2602) | 0.19 |
| Glomerular filtration rate | 79.39 ± 23.68, n = 1590 | 75.33 ± 22.55, n = 165 | 79.86 ± 23.77, n = 1425 | <0.05 |
| History of myocardial infarction | 22.2% (687/3094) | 27.4% (117/427) | 21.4% (570/2667) | <0.01 |
| History of PCI | 33.9% (1044/3079) | 39.6% (169/427) | 33% (875/2652) | <0.01 |
| History of aorto-coronary bypass surgery | 2.5% (79/3131) | 3% (13/433) | 2.4% (66/2698) | 0.49 |
| History of CAD | 41.1% (1137/2768) | 44% (178/405) | 40.6% (959/2363) | 0.20 |
| History of stroke | 2.7% (85/3143) | 3% (13/435) | 2.7% (72/2708) | 0.69 |
| Acute coronary syndrome at presentation | 51.4% (1617/3143) | 47.8% (208/435) | 52% (1409/2708) | 0.10 |
| Stable angina pectoris | 33.5% (1053/3143) | 33.1% (144/435) | 33.6% (909/2708) | 0.85 |
| Left ventricular ejection fraction | 56.09 ± 10.5, n = 1930 | 54.84 ± 10.15, n = 282 | 56.31 ± 10.55, n = 1648 | <0.05 |
| 1-vessel CAD | 41.9% (1317/3144) | 20% (87/435) | 45.4% (1230/2709) | <0.0001 |
| 2-vessels CAD | 31% (974/3144) | 35.6% (155/435) | 30.2% (819/2709) | <0.05 |
| 3-vessel CAD | 27.1% (852/3144) | 44.4% (193/435) | 24.3% (659/2709) | <0.0001 |
| Total (Hybrid + BVS-Only) | Hybrid Group | BVS Only | p Value | |
|---|---|---|---|---|
| Procedure duration, minutes | 58.90 ± 28.91, n = 3141 | 77.83 ± 35.96, n = 435 | 55.85 ± 26.38, n = 2706 | <0.0001 |
| Radiation time, minutes | 11.84 ± 8.22, n = 3143 | 18.05 ± 10.64, n = 435 | 10.84 ± 7.28, n = 2708 | <0.0001 |
| Amount of contrast medium, mL | 174.76 ± 74.65, n = 3140 | 223.40 ± 91.21, n = 435 | 166.94 ± 68.50, n = 2705 | <0.0001 |
| IVUS | 3% (94/3142) | 2.8% (12/435) | 3% (82/2707) | 0.76 |
| OCT | 4.5% (141/3142) | 4.6% (20/435) | 4.5% (121/2707) | 0.90 |
| Per lesion | ||||
| Treated segments | 4278 | 970 | 3308 | |
| Lesions treated with BRS only | 87.3% (3670/4204) | 43.8% (417/951) | 100% (3253/3253) | |
| Lesions treated with stents only | 9.8% (410/4204) | 43.1% (410/951) | 0% (0/3253) | |
| Intervention in LAD | 74.7% (1582/2118) | 84.7% (287/339) | 72.8% (1295/1779) | <0.0001 |
| Intervention in LCX | 59.6% (813/1363) | 63.8% (153/240) | 58.8% (660/1123) | 0.15 |
| Intervention in RCA | 68.4% (1051/1537) | 62.8% (155/247) | 69.5% (896/1290) | <0.05 |
| Graft | 23.8% (5/21) | 0% (0/1) | 25% (5/20) | 0.57 |
| Lesion type | ||||
| A | 26.5% (1133/4270) | 19.4% (187/964) | 28.6% (946/3306) | <0.0001 |
| B1 | 37% (1579/4270) | 36.1% (348/964) | 37.2% (1231/3306) | 0.52 |
| B2 | 19.6% (836/4270) | 21.9% (211/964) | 18.9% (625/3306) | <0.05 |
| C1 | 12.6% (539/4270) | 17% (164/964) | 11.3% (375/3306) | <0.0001 |
| C2 | 4.3% (183/4270) | 5.6% (54/964) | 3.9% (129/3306) | <0.05 |
| De novo lesion | 94.2% (4025/4272) | 92.9% (897/966) | 94.6% (3128/3306) | <0.05 |
| Ostial lesion | 0.8% (36/4272) | 0.5% (5/966) | 0.9% (31/3306) | 0.21 |
| Bifurcation lesion | 2.9% (123/4272) | 5.5% (53/966) | 2.1% (70/3306) | <0.0001 |
| 100% stenosis | 5.6% (241/4272) | 5.7% (55/966) | 5.6% (186/3306) | 0.94 |
| Chronic total occlusion | 37.3% (90/241) | 63.6% (35/55) | 29.6% (55/186) | <0.0001 |
| Severe tortuosity | 1.2% (52/4263) | 1.9% (18/961) | 1% (34/3302) | <0.05 |
| No calcification | 35.9% (1533/4270) | 33.2% (320/964) | 36.7% (1213/3306) | <0.05 |
| % Stenosis | 86.30 ± 11.73, n = 4275 | 84.92 ± 11.93, n = 968 | 86.71 ± 11.65, n = 3307 | <0.0001 |
| Imaging | 3.2% (136/4275) | 1.8% (17/968) | 3.6% (119/3307) | <0.01 |
| FFR | 5.2% (223/4262) | 6.7% (64/961) | 4.8% (159/3301) | <0.05 |
| RVD | 2.95 ± 0.63, n = 93 | 3.15 ± 0.43, n = 11 | 2.92 ± 0.64, n = 82 | 0.26 |
| Lesion length | 17.12 ± 9.30, n = 4258 | 18.84 ± 10.51, n = 956 | 16.62 ± 8.85, n = 3302 | <0.0001 |
| Lesion length >34 mm | 5.6% (238/4258) | 8.4% (80/956) | 4.8% (158/3302) | <0.0001 |
| Any lesion preparation | 91.7% (3921/4274) | 85.7% (830/968) | 93.5% (3091/3306) | <0.0001 |
| Pre-dilatation | 100% (3920/3921) | 100% (830/830) | 100% (3090/3091) | 0.60 |
| High pressure balloon | 43% (1680/3908) | 49.3% (408/828) | 41.3% (1272/3080) | <0.0001 |
| Non-compliant balloon | 73% (1215/1665) | 85.3% (348/408) | 69% (867/1257) | <0.0001 |
| Use of scoring balloon | 3% (116/3921) | 5.4% (45/830) | 2.3% (71/3091) | <0.0001 |
| Rotablation | 0.2% (6/3921) | 0.6% (5/830) | 0% (1/3091) | <0.001 |
| Stent/BVS size, mm | 3.07 ± 0.59, n = 4960 | 3.03 ± 0.45, n = 1243 | 3.08 ± 0.63, n = 3717 | <0.001 |
| Postdilatation performed | 72.4% (3093/4271) | 68.4% (660/965) | 73.6% (2433/3306) | <0.01 |
| High-pressure Postdilation | 89.5% (2766/3090) | 86.9% (573/659) | 90.2% (2193/2431) | <0.05 |
| PSP-technique | 6.4% (244/3794) | 12.6% (68/541) | 5.4% (176/3253) | <0.0001 |
| Procedural success | 99% (4229/4273) | 98.7% (954/967) | 99.1% (3275/3306) | 0.27 |
| Glycoprotein IIb/IIIa inhibitors | 8% (252/3143) | 6.7% (29/435) | 8.2% (223/2708) | 0.26 |
| Medical therapy at discharge | ||||
| Aspirin | 97.3% (3056/3141) | 95.9% (417/435) | 97.5% (2639/2706) | <0.05 |
| P2Y12-receptor inhibitorsClopidogrel | 44% (1351/3068) | 41.2% (175/425) | 44.5% (1176/2643) | 0.2 |
| Prasugrel | 34.1% (1045/3068) | 38.6% (164/425) | 33.3% (881/2643) | <0.05 |
| Ticagrelor | 21.9% (672/3068) | 20.2% (86/425) | 22.2% (586/2643) | 0.37 |
| Total | BVS Only | DES/BMS Stent Only | p Value | OR (95%-CI) | |
|---|---|---|---|---|---|
| Number of lesions | 827 | 417 | 410 | ||
| Stenosis (%) before PCI | 84.42 ± 11.94, n = 827 | 84.47 ± 11.36, n = 417 | 84.37 ± 12.51, n = 410 | 0.69 | |
| RVD (mm) | 2.96 ± 0.29, n = 6 | 2.96 ± 0.24, n = 3 | 2.95 ± 0.39, n = 3 | 1 | |
| Lesion length (mm) | 18.01 ± 9.9, n = 815 | 18.6 ± 9.66, n = 411 | 17.41 ± 10.1, n = 404 | <0.05 | |
| Lesion length >34 mm | 6.5 % (53/815) | 6.8% (28/411) | 6.2% (25/404) | 0.72 | 1.11 (0.63–1.94) |
| Morphology | |||||
| A | 20.4% (168/823) | 21.4% (89/416) | 19.4% (79/407) | 0.48 | 1.13 (0.80–1.59) |
| B1 | 36.2% (298/823) | 36.8% (153/416) | 35.6% (145/407) | 0.73 | 1.05 (0.79–1.40) |
| B2 | 22.6% (186/823) | 20% (83/416) | 25.3% (103/407) | 0.07 | 0.74 (0.53–1.02) |
| C1 | 15.6% (128/823) | 15.1% (63/416) | 16% (65/407) | 0.74 | 0.94 (0.64–1.37) |
| C2 | 5.2% (43/823) | 6.7% (28/416) | 3.7% (15/407) | <0.05 | 1.89 (0.99–3.59) |
| De novo vessel | 93% (767/825) | 93.8% (391/417) | 92.2% (376/408) | 0.37 | 1.28 (0.75–2.19) |
| In-stent re-stenosis | 1% (8/825) | 0.5 % (2/417) | 1.5% (6/408) | 0.15 | 0.32 (0.06–1.61) |
| Bifurcation | 5.9% (49/825) | 2.4% (10/417) | 9.6% (39/408) | <0.0001 | 0.23 (0.11–0.47) |
| Complete occlusion | 5.3% (44/825) | 6.2% (26/417) | 4.4% (18/408) | 0.24 | 1.44 (0.78–2.67) |
| CTO | 61.4% (27/44) | 73.1% (19/26) | 44.4% (8/18) | 0.06 | 3.39 (0.95–12.09) |
| Ostial lesion | 0.6% (5/825) | 0.2% (1/417) | 1% (4/408) | 0.17 | 0.24 (0.03–2.18) |
| Severe tortuosity | 2% (16/820) | 1.2% (5/416) | 2.7% (11/404) | 0.12 | 0.43 (0.15–1.26) |
| No calcification | 33.7% (277/823) | 36.3% (151/416) | 31% (126/407) | 0.11 | 1.27 (0.95–1.7) |
| Mild | 43.7% (360/823) | 44.2% (184/416) | 43.2% (176/407) | 0.78 | 1.04 (0.79–1.37) |
| Moderate | 18.2% (150/823) | 15.9% (66/416) | 20.6% (84/407) | 0.08 | 0.73 (0.51–1.04) |
| Severe | 4.4% (36/823) | 3.6% (15/416) | 5.2% (21/407) | 0.28 | 0.69 (0.35–1.35) |
| Procedural Characteristics | |||||
| Pre-dilatation | 100% (693/693) | 100% (396/396) | 100% (297/297) | n.d. | |
| High pressure balloon | 51.1% (353/691) | 52.3% (207/396) | 49.5% (146/295) | 0.47 | 1.12 (0.83–1.51) |
| Maximum balloon diameter (mm) | 2.75 ± 0.46, n = 689 | 2.79 ± 0.41, n = 395 | 2.69 ± 0.5, n = 294 | <0.01 | |
| Scoring balloon | 5.8% (40/693) | 6.8% (27/396) | 4.4 % (13/297) | 0.17 | 1.6 (0.81–3.15) |
| Rotablation | 0.6% (4/693) | 0.5% (2/396) | 0.7% (2/297) | 0.77 | 0.75 (0.10–5.35) |
| Post-dilatation | 66.8% (551/825) | 85.5% (355/415) | 47.8% (196/410) | <0.0001 | |
| High pressure balloon | 86.5% (476/550) | 89.9% (319/355) | 80.5% (157/195) | <0.01 | |
| Intravasc. imaging (IVUS/OCT/QCA) after PCI | 1.6% (13/827) | 2.6% (11/417) | 0.5% (2/410) | <0.05 | |
| Procedural success | 99% (819/827) | 99% (413/417) | 99% (406/410) | 0.98 | |
| Total (n = 3144) | Hybrid Stenting (n = 435) | BVS Only (n = 2709) | p Value | OR (95%-CI) | |
|---|---|---|---|---|---|
| Periprocedural complications | |||||
| Death | 0% (0/3143) | 0% (0/435) | 0% (0/2708) | n.d. | - |
| MI | 0.3% (10/3143) | 0.9% (4/435) | 0.2% (6/2708) | <0.05 | 4.18 (1.17–14.87) |
| CABG - emergency operation | 0% (0/3143) | 0% (0/435) | 0% (0/2708) | n.d. | - |
| Coronary thrombosis | 0.4% (12/3143) | 0.9% (4/435) | 0.3% (8/2708) | 0.05 | 3.13 (0.94–10.45) |
| Coronary perforation | 0.5% (16/3140) | 1.6% (7/435) | 0.3% (9/2705) | <0.001 | 4.9 (1.82–13.22) |
| 30-days follow-up | |||||
| All-cause mortality | 0.51% (16/3144) | 1.15% (5/435) | 0.41% (11/2709) | <0.05 | 2.85 (0.99–8.25) |
| Cardiovascular mortality | 0.32% (10/3144) | 0.92% (4/435) | 0.22% (6/2709) | < 0.05 | 4.18 (1.18–14.88) |
| Scaffold thrombosis Definite | 0.86% (27/3144) | 1.15% (5/435) | 0.81% (22/2709) | 0.48 | 1.42 (0.53–3.77) |
| - Probable | 0.35% (11/3144) | 0.69% (3/435) | 0.3% (8/2709) | 0.20 | 2.34 (0.62–8.87) |
| Stent thrombosis Definite | 0.23% (1/435) | 0.23% (1/435) | - | - | |
| - Probable | 0.69% (3/435) | 0.69% (3/435) | - | - | |
| Any myocardial infarction | 1.43% (45/3144) | 1.84% (8/435) | 1.37% (37/2709) | 0.44 | 1.35 (0.63–2.93) |
| Target vessel related MI | 1.18% (37/3144) | 1.61% (7/435) | 1.11% (30/2709) | 0.37 | 1.46 (0.64–3.35) |
| Target lesion revascularization | 1.08% (34/3144) | 1.38% (6/435) | 1.03% (28/2709) | 0.52 | 1.34 (0.55–3.25) |
| Target lesion failure | 1.49% (47/3144) | 2.76% (12/435) | 1.29% (35/2709) | <0.05 | 2.17 (1.12–4.21) |
| Target vessel failure | 1.72% (54/3144) | 2.99% (13/435) | 1.51% (41/2709) | <0.05 | 2 (1.07–3.77) |
| 24-months follow-up | |||||
| Follow-up available | 98.4% (3094/3144) | 97.2% (423/435) | 98.6% (2671/2709) | ||
| All-cause mortality | 3.06% (96/3135) | 4.37% (19/435) | 2.85% (77/2700) | 0.09 | 1.56 (0.93–2.6) |
| Cardiovascular mortality | 0.96% (30/3135) | 1.84% (8/435) | 0.81% (22/2700) | <0.05 | 2.28 (1.01–5.16) |
| Scaffold thrombosis Definite | 2% (54/2694) | 1.33% (5/375) | 2.11% (49/2319) | 0.32 | 0.63 (0.25–1.58) |
| - Probable | 0.78% (21/2688) | 1.33% (5/377) | 0.69% (16/2311) | 0.19 | 1.93 (0.7–5.29) |
| Stent thrombosis Definite | 0.53% (2/374) | 0.53% (2/374) | - | - | |
| - Probable | 1.33% (5/377) | 1.33% (5/377) | - | - | |
| Any myocardial infarction | 5.07% (137/2703) | 5.31% (20/377) | 5.03% (117/2326) | 0.82 | 1.06 (0.65–1.72) |
| Target vessel related MI | 3.37% (91/2700) | 3.19% (12/376) | 3.4% (79/2324) | 0.84 | 0.94 (0.51–1.74) |
| Target lesion revascularization | 6% (162/2698) | 7.71% (29/376) | 5.73% (133/2322) | 0.13 | 1.38 (0.91–2.09) |
| Target lesion failure | 7.19% (195/2711) | 10.24% (39/381) | 6.7% (156/2330) | <0.05 | 1.59 (1.1–2.3) |
| Target vessel failure | 10.21% (277/2714) | 14.7% (56/381) | 9.47% (221/2333) | <0.01 | 1.65 (1.2–2.26) |
| Any PCI | 18.52% (505/2727) | 23.02% (87/378) | 17.79% (418/2349) | <0.05 | 1.38 (1.06–1.79) |
| Analysis of Maximum Likelihood Estimates | |||||
|---|---|---|---|---|---|
| Parameter | Parameter Estimate | Standard Error | Chi-Square | Pr > ChiSq | Hazard Ratio |
| Device type | 0.44883 | 0.36030 | 1.5518 | 0.2129 | 1.566 |
| Total stent length | 0.21102 | 0.16178 | 1.7015 | 0.1921 | 1.235 |
| Lesion type B2/C | −0.32342 | 0.26101 | 1.5354 | 0.2153 | 0.724 |
| Implantation after Jan. 2015 | −0.33539 | 0.23905 | 1.9683 | 0.1606 | 0.715 |
| Bifurcation | 1.04114 | 0.48421 | 4.6233 | 0.0315 | 2.832 |
© 2019 by the authors. Licensee MDPI, Basel, Switzerland. This article is an open access article distributed under the terms and conditions of the Creative Commons Attribution (CC BY) license (http://creativecommons.org/licenses/by/4.0/).
Share and Cite
Gori, T.; Achenbach, S.; Riemer, T.; Mehilli, J.; Nef, H.M.; Naber, C.; Richardt, G.; Wöhrle, J.; Zahn, R.; Neumann, T.; et al. Hybrid Coronary Percutaneous Treatment with Metallic Stents and Everolimus-Eluting Bioresorbable Vascular Scaffolds: 2-Years Results from the GABI-R Registry. J. Clin. Med. 2019, 8, 767. https://doi.org/10.3390/jcm8060767
Gori T, Achenbach S, Riemer T, Mehilli J, Nef HM, Naber C, Richardt G, Wöhrle J, Zahn R, Neumann T, et al. Hybrid Coronary Percutaneous Treatment with Metallic Stents and Everolimus-Eluting Bioresorbable Vascular Scaffolds: 2-Years Results from the GABI-R Registry. Journal of Clinical Medicine. 2019; 8(6):767. https://doi.org/10.3390/jcm8060767
Chicago/Turabian StyleGori, Tommaso, Stephan Achenbach, Thomas Riemer, Julinda Mehilli, Holger M. Nef, Christoph Naber, Gert Richardt, Jochen Wöhrle, Ralf Zahn, Till Neumann, and et al. 2019. "Hybrid Coronary Percutaneous Treatment with Metallic Stents and Everolimus-Eluting Bioresorbable Vascular Scaffolds: 2-Years Results from the GABI-R Registry" Journal of Clinical Medicine 8, no. 6: 767. https://doi.org/10.3390/jcm8060767
APA StyleGori, T., Achenbach, S., Riemer, T., Mehilli, J., Nef, H. M., Naber, C., Richardt, G., Wöhrle, J., Zahn, R., Neumann, T., Kastner, J., Schmermund, A., Hamm, C., & Münzel, T. (2019). Hybrid Coronary Percutaneous Treatment with Metallic Stents and Everolimus-Eluting Bioresorbable Vascular Scaffolds: 2-Years Results from the GABI-R Registry. Journal of Clinical Medicine, 8(6), 767. https://doi.org/10.3390/jcm8060767

