A Comparative Study of Machine Learning Algorithms in Predicting Severe Complications after Bariatric Surgery
Abstract
1. Introduction
2. Materials and Methods
2.1. Patients and Features
2.2. Descriptive and Inferential Statistical Methods
2.3. Machine Learning (ML) Algorithms
2.4. Ensemble Learning
2.5. Initialization and Optimization of Hyperparameters
2.6. Cross-Validation
2.7. Synthetic Minority Oversampling Technique
2.8. Performance Metrics
2.9. Software and Hardware
2.10. Ethics Approval
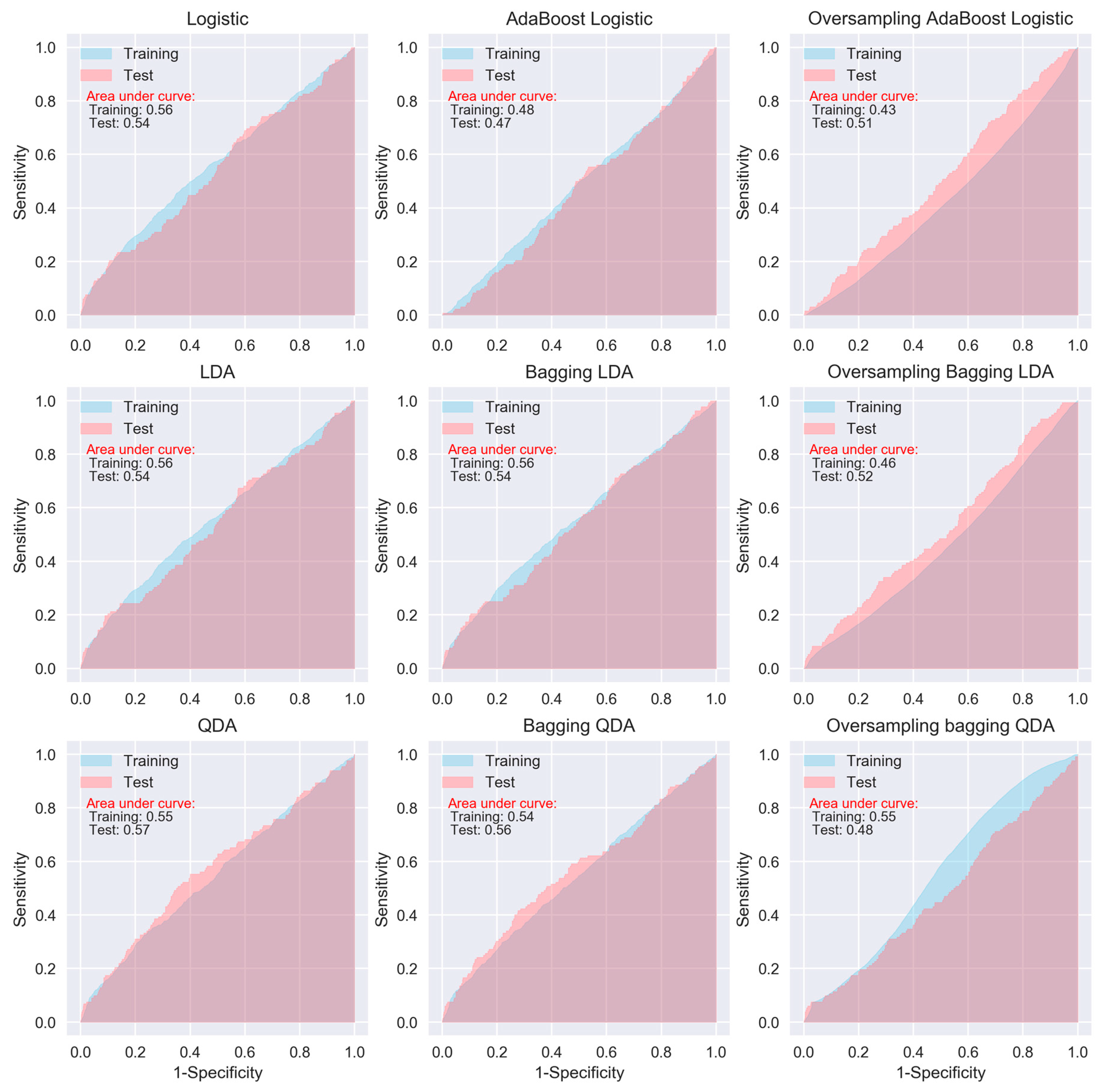
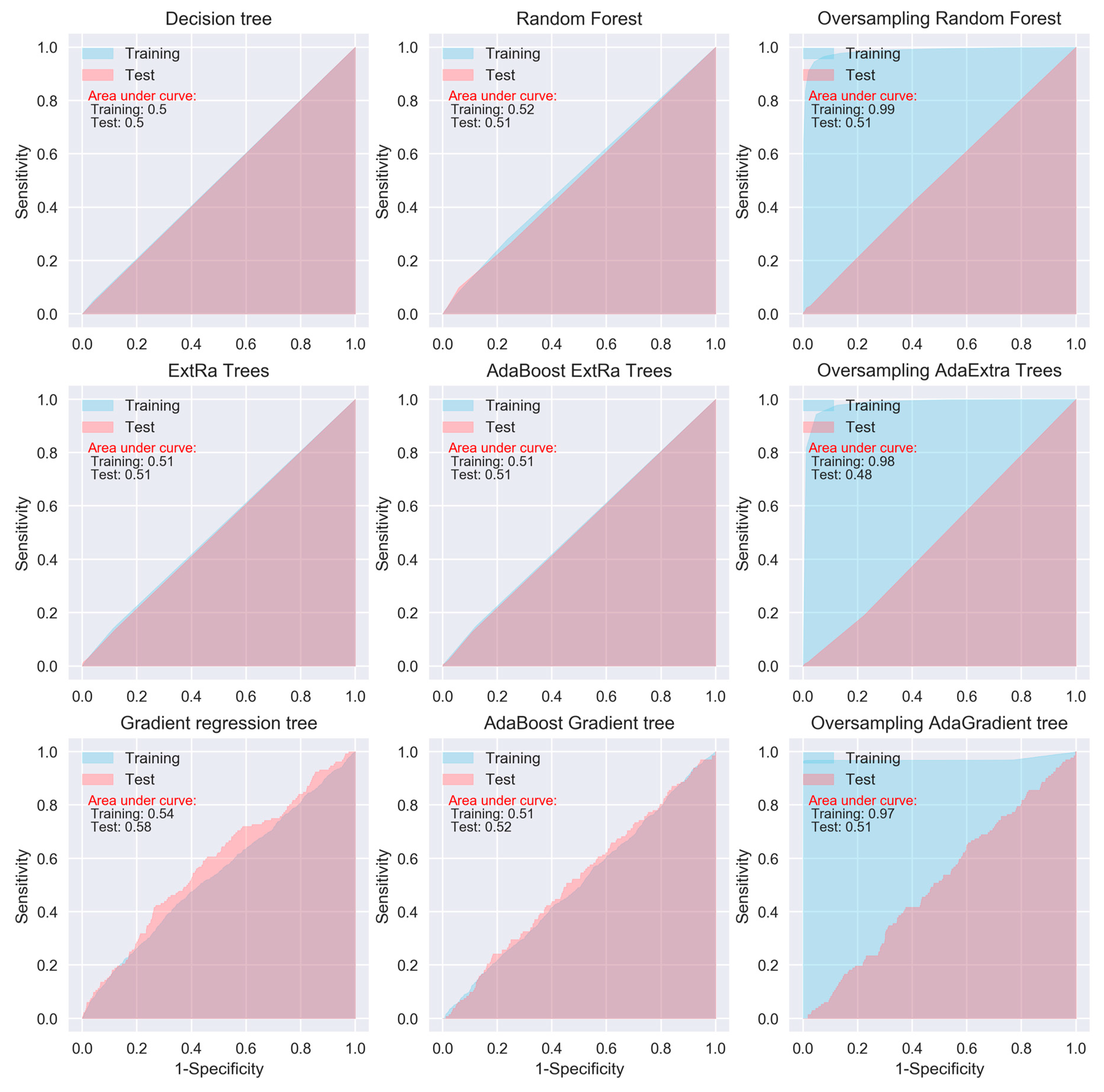
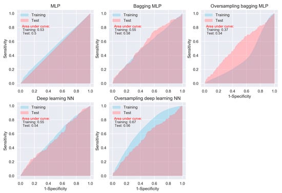
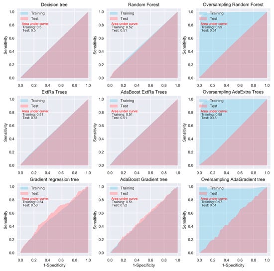
3. Results
4. Discussion
5. Conclusions
Author Contributions
Funding
Conflicts of Interest
Availability of Data and Materials
Appendix A
Terminology and Derivations
| ACC | accuracy |
| SEN | sensitivity |
| SPE | specificity |
| TP | number of true positives, i.e., patient presenting severe complication correctly predicted as positive |
| TN | number of true negatives, i.e., patient without severe complication correctly predicted as negative |
| FP | number of false positives, i.e., patient without severe complication wrongly predicted as positive |
| FN | number of false negatives, i.e., patient presenting severe complication wrongly predicted as negative |
| Total | total number of the patients, i.e., TP + TN + FP + FN |
| P | number of patients presenting severe complication, i.e., TP + FN |
| N | number of patients without severe complication, i.e., TN + FP |
| AUC | area under the receiver operating characteristic (ROC) curve for binary outcome |
| T | threshold for a patient is classified as presenting severe complication if X > T, where X is predicted probability of a patients presenting severe complication by an algorithm. |
References
- Ng, M.; Fleming, T.; Robinson, M.; Thomson, B.; Graetz, N.; Margono, C.; Mullany, E.C.; Biryukov, S.; Abbafati, C.; Abera, S.F.; et al. Global, regional, and national prevalence of overweight and obesity in children and adults during 1980-2013: A systematic analysis for the Global Burden of Disease Study 2013. Lancet 2014, 384, 766–781. [Google Scholar] [CrossRef]
- Sjostrom, L.; Lindroos, A.K.; Peltonen, M.; Torgerson, J.; Bouchard, C.; Carlsson, B.; Dahlgren, S.; Larsson, B.; Narbro, K.; Sjostrom, C.D.; et al. Lifestyle, diabetes, and cardiovascular risk factors 10 years after bariatric surgery. N. Engl. J. Med. 2004, 351, 2683–2693. [Google Scholar] [CrossRef]
- Stenberg, E.; Szabo, E.; Agren, G.; Naslund, E.; Boman, L.; Bylund, A.; Hedenbro, J.; Laurenius, A.; Lundegardh, G.; Lonroth, H.; et al. Early complications after laparoscopic gastric bypass surgery: Results from the Scandinavian Obesity Surgery Registry. Ann. Surg. 2014, 260, 1040–1047. [Google Scholar] [CrossRef] [PubMed]
- Finks, J.F.; Kole, K.L.; Yenumula, P.R.; English, W.J.; Krause, K.R.; Carlin, A.M.; Genaw, J.A.; Banerjee, M.; Birkmeyer, J.D.; Birkmeyer, N.J.; et al. Predicting risk for serious complications with bariatric surgery: Results from the Michigan Bariatric Surgery Collaborative. Ann. Surg. 2011, 254, 633–640. [Google Scholar] [CrossRef]
- Geubbels, N.; de Brauw, L.M.; Acherman, Y.I.Z.; van de Laar, A.W.J.M.; Bruin, S.C. Risk stratification models: How well do they predict adverse outcomes in a large Dutch bariatric cohort? Obes. Surg. 2015, 25, 2290–2301. [Google Scholar] [CrossRef] [PubMed]
- Stenberg, E.; Cao, Y.; Szabo, E.; Naslund, E.; Naslund, I.; Ottosson, J. Risk prediction model for severe postoperative complication in bariatric surgery. Obes. Surg. 2018, 28, 1869–1875. [Google Scholar] [CrossRef]
- Kourou, K.; Exarchos, T.P.; Exarchos, K.P.; Karamouzis, M.V.; Fotiadis, D.I. Machine learning applications in cancer prognosis and prediction. Comput. Struct. Biotechnol. J. 2015, 13, 8–17. [Google Scholar] [CrossRef]
- Pan, L.; Liu, G.; Lin, F.; Zhong, S.; Xia, H.; Sun, X.; Liang, H. Machine learning applications for prediction of relapse in childhood acute lymphoblastic leukemia. Sci. Rep. 2017, 7, 7402. [Google Scholar] [CrossRef]
- Anderin, C.; Gustafsson, U.O.; Heijbel, N.; Thorell, A. Weight loss before bariatric surgery and postoperative complications: Data from the Scandinavian Obesity Registry (SOReg). Ann. Surg. 2015, 261, 909–913. [Google Scholar] [CrossRef] [PubMed]
- Passos, I.C.; Mwangi, B.; Kapczinski, F. Big data analytics and machine learning: 2015 and beyond. Lancet Psychiatry 2016, 3, 13–15. [Google Scholar] [CrossRef]
- Lisboa, P.J.; Taktak, A.F.G. The use of artificial neural networks in decision support in cancer: A systematic review. Neural Netw. 2006, 19, 408–415. [Google Scholar] [CrossRef] [PubMed]
- Esteban, C.; Arostegui, I.; Moraza, J.; Aburto, M.; Quintana, J.M.; Perez-Izquierdo, J.; Aizpiri, S.; Capelastegui, A. Development of a decision tree to assess the severity and prognosis of stable COPD. Eur. Respir. J. 2011, 38, 1294–1300. [Google Scholar] [CrossRef] [PubMed]
- Verduijn, M.; Peek, N.; Rosseel, P.M.J.; de Jonge, E.; de Mol, B.A.J.M. Prognostic Bayesian networks I: Rationale, learning procedure, and clinical use. J. Biomed. Inform. 2007, 40, 609–618. [Google Scholar] [CrossRef] [PubMed]
- Barakat, N.H.; Bradley, A.P.; Barakat, M.N.H. Intelligible support vector machines for diagnosis of diabetes mellitus. IEEE Trans. Inf. Technol. Biomed. 2010, 14, 1114–1120. [Google Scholar] [CrossRef] [PubMed]
- Liu, H.; Motoda, H. Computational Methods of Feature Selection; CRC Press: New York, NY, USA, 2007. [Google Scholar]
- Lee, H.C.; Yoon, S.B.; Yang, S.M.; Kim, W.H.; Ryu, H.G.; Jung, C.W.; Suh, K.S.; Lee, K.H. Prediction of acute kidney injury after liver transplantation: Machine learning approaches vs. logistic regression model. J. Clin. Med. 2018, 7, 28. [Google Scholar] [CrossRef] [PubMed]
- Ali, A.-R. Deep Learning in Oncology–Applications in Fighting Cancer. Available online: https://www.techemergence.com/deep-learning-in-oncology/ (accessed on 1 June 2018).
- Jiang, F.; Jiang, Y.; Zhi, H.; Dong, Y.; Li, H.; Ma, S.; Wang, Y.; Dong, Q.; Shen, H.; Wang, Y. Artificial intelligence in healthcare: Past, present and future. Stroke Vasc. Neurol. 2017, 2, 230–243. [Google Scholar] [CrossRef] [PubMed]
- Tran, B.X.; Vu, G.T.; Ha, G.H.; Vuong, Q.H.; Ho, M.T.; Vuong, T.T.; La, V.P.; Ho, M.T.; Nghiem, K.P.; Nguyen, H.L.T.; et al. Global evolution of research in artificial intelligence in health and medicine: A bibliometric study. J. Clin. Med. 2019, 8, 60. [Google Scholar] [CrossRef] [PubMed]
- Pedersen, H.K.; Gudmundsdottir, V.; Pedersen, M.K.; Brorsson, C.; Brunak, S.; Gupta, R. Ranking factors involved in diabetes remission after bariatric surgery using machine-learning integrating clinical and genomic biomarkers. NPJ Genom. Med. 2016, 1, 16035. [Google Scholar] [CrossRef] [PubMed]
- Hayes, M.T.; Hunt, L.A.; Foo, J.; Tychinskaya, Y.; Stubbs, R.S. A model for predicting the resolution of type 2 diabetes in severely obese subjects following Roux-en Y gastric bypass surgery. Obes. Surg. 2011, 21, 910–916. [Google Scholar] [CrossRef]
- Razzaghi, T.; Safro, I.; Ewing, J.; Sadrfaridpour, E.; Scott, J.D. Predictive Models for Bariatric Surgery Risks with Imbalanced Medical Datasets; TigerPrints: Clemson, SC, USA, 2017. [Google Scholar]
- Thomas, D.M.; Kuiper, P.; Zaveri, H.; Surve, A.; Cottam, D.R. Neural networks to predict long-term bariatric surgery outcomes. Bariatr. Times 2017, 14, 14–17. [Google Scholar]
- Piaggi, P.; Lippi, C.; Fierabracci, P.; Maffei, M.; Calderone, A.; Mauri, M.; Anselmino, M.; Cassano, G.B.; Vitti, P.; Pinchera, A.; et al. Artificial neural networks in the outcome prediction of adjustable gastric banding in obese women. PLoS ONE 2010, 5, e13624. [Google Scholar] [CrossRef] [PubMed]
- Ehlers, A.P.; Roy, S.B.; Khor, S.; Mandagani, P.; Maria, M.; Alfonso-Cristancho, R.; Flum, D.R. Improved risk prediction following surgery using machine learning algorithms. eGEMs 2017, 5, 3. [Google Scholar] [CrossRef] [PubMed][Green Version]
- Hedenbro, J.L.; Naslund, E.; Boman, L.; Lundegardh, G.; Bylund, A.; Ekelund, M.; Laurenius, A.; Moller, P.; Olbers, T.; Sundbom, M.; et al. Formation of the Scandinavian Obesity Surgery Registry, SOReg. Obes. Surg. 2015, 25, 1893–1900. [Google Scholar] [CrossRef]
- James, G.; Witten, D.; Hastie, T.; Tibshirani, R. An Introduction to Statistical Learning; Springer: New York, NY, USA, 2013; Volume 112. [Google Scholar]
- Ketkar, N. Deep Learning with Python; Springer: New York, NY, USA, 2017. [Google Scholar]
- Schapire, R.E. The Boosting Approach to Machine Learning: An Overview. In Nonlinear Estimation and Classification; Springer: New York, NY, USA, 2003; pp. 149–171. [Google Scholar]
- Kotsiantis, S.B. Supervised Machine Learning: A Review of Classification Techniques. In Emerging Artificial Intelligence Applications in Computer Engineering; Maglogiannis, I., Karpouzis, K., Wallace, M., Soldatos, J., Eds.; IOS Publisher: Amsterdam, The Netherlands, 2007; Volume 160, pp. 3–24. [Google Scholar]
- Liaw, A.; Wiener, M. Classification and regression by randomForest. R. News 2002, 2, 18–22. [Google Scholar]
- Geurts, P.; Ernst, D.; Wehenkel, L. Extremely randomized trees. Mach. Learn. 2006, 63, 3–42. [Google Scholar] [CrossRef]
- Friedman, J.H. Stochastic gradient boosting. Comput. Stat. Data Anal. 2002, 38, 367–378. [Google Scholar] [CrossRef]
- Probst, P.; Bischl, B.; Boulesteix, A.-L. Tunability: Importance of Hyperparameters of Machine Learning Algorithms. Available online: https://arxiv.org/abs/1802.09596 (accessed on 10 May 2019).
- Pedregosa, F.; Varoquaux, G.; Gramfort, A.; Michel, V.; Thirion, B.; Grisel, O.; Blondel, M.; Prettenhofer, P.; Weiss, R.; Dubourg, V.; et al. Scikit-learn: Machine Learning in Python. J. Mach. Learn. Res. 2011, 12, 2825–2830. [Google Scholar]
- Bergstra, J.; Bengio, Y. Random search for hyper-parameter optimization. J. Mach. Learn. Res. 2012, 13, 281–305. [Google Scholar]
- Batista, G.E.; Prati, R.C.; Monard, M.C. A study of the behavior of several methods for balancing machine learning training data. SIGKDD Explor. 2004, 6, 20–29. [Google Scholar] [CrossRef]
- Chawla, N.V.; Bowyer, K.W.; Hall, L.O.; Kegelmeyer, W.P. SMOTE: Synthetic minority over-sampling technique. J. Artif. Intell. Res. 2002, 16, 321–357. [Google Scholar] [CrossRef]
- The International Federation for the Surgery of Obesity and Metabolic Disorders. Third IFSO Global Registry Report 2017; Dendrite Clinical Systems Ltd.: Oxfordshire, UK, 2017. [Google Scholar]
- Olbers, T.; Lonroth, H.; Fagevik-Olsen, M.; Lundell, L. Laparoscopic gastric bypass: Development of technique, respiratory function, and long-term outcome. Obes. Surg. 2003, 13, 364–370. [Google Scholar] [CrossRef] [PubMed]
- Lee, H.C.; Yoon, H.K.; Nam, K.; Cho, Y.J.; Kim, T.K.; Kim, W.H.; Bahk, J.H. Derivation and Validation of Machine Learning Approaches to Predict Acute Kidney Injury after Cardiac Surgery. J. Clin. Med. 2018, 7, 322. [Google Scholar] [CrossRef]
- Longitudinal Assessment of Bariatric Surgery Consortium; Flum, D.R.; Belle, S.H.; King, W.C.; Wahed, A.S.; Berk, P.; Chapman, W.; Pories, W.; Courcoulas, A.; McCloskey, C.; et al. Perioperative safety in the longitudinal assessment of bariatric surgery. N. Engl. J. Med. 2009, 361, 445–454. [Google Scholar]
- Maciejewski, M.L.; Winegar, D.A.; Farley, J.F.; Wolfe, B.M.; DeMaria, E.J. Risk stratification of serious adverse events after gastric bypass in the Bariatric Outcomes Longitudinal Database. Surg. Obes. Relat. Dis. 2012, 8, 671–677. [Google Scholar] [CrossRef] [PubMed]
- Maalouf, M.; Homouz, D.; Trafalis, T.B. Logistic regression in large rare events and imbalanced data: A performance comparison of prior correction and weighting methods. Comput. Intell. 2018, 34, 161–174. [Google Scholar] [CrossRef]
- Mishra, S.; Sturm, B.L.; Dixon, S. Local Interpretable Model-Agnostic Explanations for Music Content Analysis. In Proceedings of the 18th ISMIR Conference, Suzhou, China, 23–27 October 2017. [Google Scholar]
- Ribeiro, M.T.; Singh, S.; Guestrin, C. Why should I trust you?: Explaining the predictions of any classifier. In Proceedings of the 22nd ACM SIGKDD International Conference on Knowledge Discovery and Data Mining, San Francisco, CA, USA, 13–17 August 2016; ACM: New York, NY, USA, 2016; pp. 1135–1144. [Google Scholar]
- Zhou, Z.-H. Ensemble Methods: Foundations and Algorithms; CRC Press: New York, NY, USA, 2012. [Google Scholar]
- Gupta, P.K.; Franck, C.; Miller, W.J.; Gupta, H.; Forse, R.A. Development and validation of a bariatric surgery morbidity risk calculator using the prospective, multicenter NSQIP dataset. J. Am. Coll. Surgeons. 2011, 212, 301–309. [Google Scholar] [CrossRef]





| Characteristics | All N = 37,811 | No Serious Complication N = 36,591 (96.8%) | Having Serious Complication N = 1220 (3.2%) | p-Value |
|---|---|---|---|---|
| Age in years, mean ± SD | 41.2 ± 11.2 | 41.1 ± 11.2 | 42.9 ± 10.7 | <0.001 * |
| Sex, n (%) | ||||
| Female | 28,682 (75.9%) | 27,766 (75.9%) | 916 (75.1%) | 0.521 † |
| Male | 9129 (24.1%) | 8825 (24.1%) | 304 (24.9%) | |
| BMI in kg/m2, mean ± SD | 42.12 ± 5.66 | 42.13 ± 5.66 | 41.79 ± 5.58 | 0.0355 * |
| WC in cm, mean ± SD | 126.0 ± 14.0 | 126.0 ± 14.0 | 126.2 ± 13.8 | 0.6018 * |
| HbA1c, median (P25, P75) | 38 (35, 42) | 38 (38, 32) | 38 (35, 43) | 0.0090 ‡ |
| Comorbidity, n (%) | ||||
| Sleep apnoea | 3792 (10.0%) | 3656 (10.0%) | 136 (11.2%) | 0.186 † |
| Hypertension | 9760 (25.8%) | 9404 (25.7%) | 356 (29.2%) | 0.006 † |
| Diabetes | 5407 (14.3%) | 5204 (14.2%) | 203 (16.6%) | 0.018 † |
| Dyslipidaemia | 3802 (10.1%) | 3667 (10.0%) | 135(11.1%) | 0.233 † |
| Dyspepsia | 3970 (10.5%) | 3803 (10.4%) | 167 (13.7%) | <0.001 † |
| Depression | 5609 (14.8%) | 5409 (14.8%) | 200 (16.4%) | 0.119 † |
| Musculoskeletal pain | 4905 (13.0%) | 4754 (13.0%) | 151 (12.4%) | 0.529 † |
| Previous venous thromboembolism | 918 (2.4%) | 875 (2.39%) | 43 (3.52%) | 0.011 † |
| Revisional surgery | 1367 (3.6%) | 1261 (3.5%) | 106 (8.7%) | <0.001 † |
| Characteristics | All N = 6250 | No Serious Complication N = 6062 (97.0%) | Having Serious Complication N = 188 (3.0%) | p-Value |
|---|---|---|---|---|
| Age in years, mean ± SD | 41.2 ± 11.5 | 41.2 ± 11.5 | 42.9 ± 11.8 | 0.0423 * |
| Sex, n (%) | ||||
| Female | 4832 (77.3%) | 4682 (77.2%) | 150 (79.8%) | 0.411 † |
| Male | 1418 (22.7%) | 1380 (22.8%) | 38 (20.2%) | |
| BMI in kg/m2, mean ± SD | 41.22 ± 5.87 | 41.20 ± 5.89 | 41.95 ± 5.40 | 0.0848 * |
| WC in cm, mean ± SD | 123.3 ± 14.1 | 123.2 ± 14.0 | 126.2 ± 14.7 | 0.0086 * |
| HbA1c, median (P25, P75) | 37 (34, 41) | 37 (34, 41) | 38 (35, 44) | 0.0017 ‡ |
| Comorbidity, n (%) | ||||
| Sleep apnoea | 622 (10.0%) | 607 (10.0%) | 15 (8.0%) | 0.359 † |
| Hypertension | 1563 (25.0%) | 1506 (24.8%) | 57 (30.3%) | 0.088 † |
| Diabetes | 761 (12.2%) | 734 (12.1%) | 27 (14.4%) | 0.352 † |
| Dyslipidaemia | 518 (8.3%) | 493 (8.13%) | 25 (13.3%) | 0.011 † |
| Dyspepsia | 645 (10.3%) | 620 (10.2%) | 25 (13.3%) | 0.173 † |
| Depression | 1096 (17.5%) | 1053 (17.4%) | 43 (22.9%) | 0.051 † |
| Musculoskeletal pain | 1315 (21.0%) | 1268 (20.9%) | 47 (25.0%) | 0.176 † |
| Previous venous thromboembolism | 182 (2.9%) | 177 (2.99%) | 5 (2.7%) | 0.834 † |
| Revisional surgery | 61 (1.0%) | 54 (0.9%) | 7 (3.7%) | <0.001 † |
© 2019 by the authors. Licensee MDPI, Basel, Switzerland. This article is an open access article distributed under the terms and conditions of the Creative Commons Attribution (CC BY) license (http://creativecommons.org/licenses/by/4.0/).
Share and Cite
Cao, Y.; Fang, X.; Ottosson, J.; Näslund, E.; Stenberg, E. A Comparative Study of Machine Learning Algorithms in Predicting Severe Complications after Bariatric Surgery. J. Clin. Med. 2019, 8, 668. https://doi.org/10.3390/jcm8050668
Cao Y, Fang X, Ottosson J, Näslund E, Stenberg E. A Comparative Study of Machine Learning Algorithms in Predicting Severe Complications after Bariatric Surgery. Journal of Clinical Medicine. 2019; 8(5):668. https://doi.org/10.3390/jcm8050668
Chicago/Turabian StyleCao, Yang, Xin Fang, Johan Ottosson, Erik Näslund, and Erik Stenberg. 2019. "A Comparative Study of Machine Learning Algorithms in Predicting Severe Complications after Bariatric Surgery" Journal of Clinical Medicine 8, no. 5: 668. https://doi.org/10.3390/jcm8050668
APA StyleCao, Y., Fang, X., Ottosson, J., Näslund, E., & Stenberg, E. (2019). A Comparative Study of Machine Learning Algorithms in Predicting Severe Complications after Bariatric Surgery. Journal of Clinical Medicine, 8(5), 668. https://doi.org/10.3390/jcm8050668

