Efficacy and Safety of Nanoparticle Albumin-Bound Paclitaxel in Elderly Patients with Metastatic Breast Cancer: A Meta-Analysis
Abstract
1. Introduction
2. Materials and Methods
2.1. Literature Search Strategy
2.2. Eligibility Criteria
2.3. Data Extraction and Quality Assessment
2.4. Statistical Analysis
3. Results
3.1. Search Results
3.2. Overall Tumor Response Rates
3.3. Subgroup Analysis for Prediction of Responses
3.4. Adverse Events
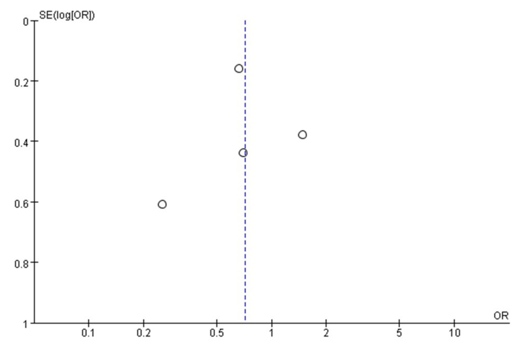
3.5. Publication Bias
4. Discussion
5. Conclusions
Author Contributions
Funding
Conflicts of Interest
References
- Bray, F.; Ferlay, J.; Soerjomataram, I.; Siegel, R.L.; Torre, L.A.; Jemal, A. Global cancer statistics 2018: GLOBOCAN estimates of incidence and mortality worldwide for 36 cancers in 185 countries. CA Cancer J. Clin. 2018, 68, 394–424. [Google Scholar] [CrossRef] [PubMed]
- Ladoire, S.; Rambach, L.; Quipourt, V.; Favier, L.; Ghiringhelli, F.; Arnould, L.; Pfitzenmeyer, P.; Fumoleau, P.; Coudert, B. Feasibility and safety of weekly sequential epirubicin-paclitaxel as adjuvant treatment for operable breast cancer patients older than 70 years. Clin. Breast Cancer 2011, 11, 235–240. [Google Scholar] [CrossRef] [PubMed]
- Brufsky, A. nab-Paclitaxel for the treatment of breast cancer: An update across treatment settings. Exp. Hematol. Oncol. 2017, 6, 7. [Google Scholar] [CrossRef] [PubMed]
- Ward, S.E.; Holmes, G.R.; Ring, A.; Richards, P.D.; Morgan, J.L.; Broggio, J.W.; Collins, K.; Reed, M.W.R.; Wyld, L. Adjuvant Chemotherapy for Breast Cancer in Older Women: An Analysis of Retrospective English Cancer Registration Data. Clin. Oncol. 2019, 31, 444–452. [Google Scholar] [CrossRef]
- Aapro, M.; Tjulandin, S.; Bhar, P.; Gradishar, W. Weekly nab-paclitaxel is safe and effective in >/=65 years old patients with metastatic breast cancer: A post-hoc analysis. Breast 2011, 20, 468–474. [Google Scholar] [CrossRef] [PubMed]
- Palumbo, R.; Sottotetti, F.; Bernardo, A. Targeted chemotherapy with nanoparticle albumin-bound paclitaxel (nab-paclitaxel) in metastatic breast cancer: Which benefit for which patients? Ther. Adv. Med. Oncol. 2016, 8, 209–229. [Google Scholar] [CrossRef]
- Khanna, C.; Rosenberg, M.; Vail, D.M. A Review of Paclitaxel and Novel Formulations Including Those Suitable for Use in Dogs. J. Vet. Intern. Med. 2015, 29, 1006–1012. [Google Scholar] [CrossRef]
- Henderson, I.C.; Bhatia, V. Nab-paclitaxel for breast cancer: A new formulation with an improved safety profile and greater efficacy. Expert Rev. Anticancer Ther. 2007, 7, 919–943. [Google Scholar] [CrossRef]
- Gianni, L.; Mansutti, M.; Anton, A.; Calvo, L.; Bisagni, G.; Bermejo, B.; Semiglazov, V.; Thill, M.; Chacon, J.I.; Chan, A.; et al. Comparing Neoadjuvant Nab-paclitaxel vs Paclitaxel Both Followed by Anthracycline Regimens in Women With ERBB2/HER2-Negative Breast Cancer-The Evaluating Treatment With Neoadjuvant Abraxane (ETNA) Trial: A Randomized Phase 3 Clinical Trial. JAMA Oncol. 2018, 4, 302–308. [Google Scholar] [CrossRef]
- Gradishar, W.J.; Tjulandin, S.; Davidson, N.; Shaw, H.; Desai, N.; Bhar, P.; Hawkins, M.; O’Shaughnessy, J. Phase III trial of nanoparticle albumin-bound paclitaxel compared with polyethylated castor oil-based paclitaxel in women with breast cancer. J. Clin. Oncol. 2005, 23, 7794–7803. [Google Scholar] [CrossRef]
- Hurria, A.; Soto-Perez-de-Celis, E.; Blanchard, S.; Burhenn, P.; Yeon, C.H.; Yuan, Y.; Li, D.; Katheria, V.; Waisman, J.R.; Luu, T.H.; et al. A Phase II Trial of Older Adults with Metastatic Breast Cancer Receiving nab-Paclitaxel: Melding the Fields of Geriatrics and Oncology. Clin. Breast Cancer 2019, 19, 89–96. [Google Scholar] [CrossRef] [PubMed]
- Moher, D.; Liberati, A.; Tetzlaff, J.; Altman, D.G.; Group, P. Preferred reporting items for systematic reviews and meta-analyses: The PRISMA statement. J. Clin. Epidemiol. 2009, 62, 1006–1012. [Google Scholar] [CrossRef] [PubMed]
- Wells, G.A.; Shea, B.; O’Connell, D.; Peterson, J.; Welch, V.; Losos, M.; Tugwell, P. The Newcastle-Ottawa Scale (NOS) for Assessing the Quality if Nonrandomized Studies in Meta-Analyses. 2009. Available online: http://www.ohri.ca/programs/clinical_epidemiology/oxford.htm (accessed on 2 August 2019).
- Higgins, J.P.; Thompson, S.G.; Deeks, J.J.; Altman, D.G. Measuring inconsistency in meta-analyses. BMJ 2003, 327, 557–560. [Google Scholar] [CrossRef] [PubMed]
- Easterbrook, P.J.; Gopalan, R.; Berlin, J.A.; Matthews, D.R. Publication bias in clinical research. Lancet 1991, 337, 867–872. [Google Scholar] [CrossRef]
- Palumbo, R.; Sottotetti, F.; Trifiro, G.; Piazza, E.; Ferzi, A.; Gambaro, A.; Spinapolice, E.G.; Pozzi, E.; Tagliaferri, B.; Teragni, C.; et al. Nanoparticle albumin-bound paclitaxel (nab-paclitaxel) as second-line chemotherapy in HER2-negative, taxane-pretreated metastatic breast cancer patients: Prospective evaluation of activity, safety, and quality of life. Drug Des. Dev. Ther. 2015, 9, 2189–2199. [Google Scholar] [CrossRef]
- Marschner, N.; Salat, C.; Soling, U.; Hansen, R.; Grebhardt, S.; Harde, J.; Nusch, A.; Potthoff, K. Final Effectiveness and Safety Results of NABUCCO: Real-World Data from a Noninterventional, Prospective, Multicenter Study in 697 Patients With Metastatic Breast Cancer Treated With nab-Paclitaxel. Clin. Breast Cancer 2018, 18, e1323–e1337. [Google Scholar] [CrossRef]
- Gradishar, W.J.; Krasnojon, D.; Cheporov, S.; Makhson, A.N.; Manikhas, G.M.; Clawson, A.; Bhar, P.; McGuire, J.R.; Iglesias, J. Phase II trial of nab-paclitaxel compared with docetaxel as first-line chemotherapy in patients with metastatic breast cancer: Final analysis of overall survival. Clin. Breast Cancer 2012, 12, 313–321. [Google Scholar] [CrossRef]
- Leone, J.; Leone, B.A.; Leone, J.P. Adjuvant systemic therapy in older women with breast cancer. Breast Cancer 2016, 8, 141–147. [Google Scholar] [CrossRef]
- Telli, M.L.; Gradishar, W.J.; Ward, J.H. NCCN Guidelines Updates: Breast Cancer. J. Natl. Compr. Cancer Netw. 2019, 17, 552–555. [Google Scholar]
- Mirtsching, B.; Cosgriff, T.; Harker, G.; Keaton, M.; Chidiac, T.; Min, M. A phase II study of weekly nanoparticle albumin-bound paclitaxel with or without trastuzumab in metastatic breast cancer. Clin. Breast Cancer 2011, 11, 121–128. [Google Scholar] [CrossRef]
- Link, J.S.; Waisman, J.R.; Nguyen, B.; Jacobs, C.I. Bevacizumab and albumin-bound paclitaxel treatment in metastatic breast cancer. Clin. Breast Cancer 2007, 7, 779–783. [Google Scholar] [CrossRef] [PubMed]
- Seidman, A.D.; Conlin, A.K.; Bach, A.; Moynahan, M.E.; Lake, D.; Forero, A.; Wright, G.S.; Hackney, M.H.; Clawson, A.; Norton, L.; et al. Randomized phase II trial of weekly vs. every 2 weeks vs. every 3 weeks nanoparticle albumin-bound paclitaxel with bevacizumab as first-line chemotherapy for metastatic breast cancer. Clin. Breast Cancer 2013, 13, 239–246. [Google Scholar] [CrossRef] [PubMed]
- Wildiers, H.; Highley, M.S.; de Bruijn, E.A.; van Oosterom, A.T. Pharmacology of anticancer drugs in the elderly population. Clin. Pharmacokinet. 2003, 42, 1213–1242. [Google Scholar] [CrossRef] [PubMed]
- Vishnu, P.; Roy, V. Safety and Efficacy of nab-Paclitaxel in the Treatment of Patients with Breast Cancer. Breast Cancer 2011, 5, 53–65. [Google Scholar] [CrossRef]
- Furlanetto, J.; Jackisch, C.; Untch, M.; Schneeweiss, A.; Schmatloch, S.; Aktas, B.; Denkert, C.; Wiebringhaus, H.; Kümmel, S.; Warm, M.; et al. Efficacy and safety of nab-paclitaxel 125 mg/m2 and nab-paclitaxel 150 mg/m2 compared to paclitaxel in early high-risk breast cancer. Results from the neoadjuvant randomized GeparSepto study (GBG 69). Breast Cancer Res. Treat. 2017, 163, 495–506. [Google Scholar] [CrossRef]





| Study | Year | Design | Number of Patients | Receptor Status | Treatment Line | Responder (%) | NOS | ||
|---|---|---|---|---|---|---|---|---|---|
| ≥65 Years | <65 Years | ≥65 Years | <65 Years | ||||||
| Palumbo [16] | 2015 | Prospective | 21 | 31 | HER2(-) only | Second line | 6 (28.6) | 19 (61.3) | 9 |
| Marschner [17] | 2018 | Prospective | 291 | 406 | All | First or higher line | 92 (31.6) | 167 (41.1) | 8 |
| Gradishar [10] | 2005 | Prospective | 30 | 199 | NR | NR | 8 (26.6) | 68 (34.2) | 8 |
| Gradishar [18] | 2012 | Prospective | 33 | 193 | NR | First line | 17 (51.5) | 81 (41.9) | 7 |
| Predictive Factors | Subgroup (Responders/Total Patients) | OR (95% CI) | I2 (p-Value) | |
|---|---|---|---|---|
| ECOG performance | 0 (20/32) | ≥1 (5/20) | 0.20 (0.06–0.69) | NA |
| Receptor status | Non-TNBC (207/539) | TNBC (45/112) | 0.65 (0.17–2.43) | 75 (0.04) |
| Taxane pretreatment | Yes (162/435) | No (122/304) | 0.93 (0.68–1.25) | 17 (0.27) |
| Treatment line | First (170/377) | Higher (134/549) | 2.54 (1.92–3.36) | 0 (0.36) |
| Treatment schedule | Weekly (192/491) | Triweekly (64/194) | 1.30 (0.92–1.85) | NA |
| Metastatic sites | Visceral (81/211) | Nonvisceral (20/67) | 2.52 (0.33–19.5) | 85 (0.009) |
© 2019 by the authors. Licensee MDPI, Basel, Switzerland. This article is an open access article distributed under the terms and conditions of the Creative Commons Attribution (CC BY) license (http://creativecommons.org/licenses/by/4.0/).
Share and Cite
Li, X.; Kwon, H. Efficacy and Safety of Nanoparticle Albumin-Bound Paclitaxel in Elderly Patients with Metastatic Breast Cancer: A Meta-Analysis. J. Clin. Med. 2019, 8, 1689. https://doi.org/10.3390/jcm8101689
Li X, Kwon H. Efficacy and Safety of Nanoparticle Albumin-Bound Paclitaxel in Elderly Patients with Metastatic Breast Cancer: A Meta-Analysis. Journal of Clinical Medicine. 2019; 8(10):1689. https://doi.org/10.3390/jcm8101689
Chicago/Turabian StyleLi, Xin, and Hyungju Kwon. 2019. "Efficacy and Safety of Nanoparticle Albumin-Bound Paclitaxel in Elderly Patients with Metastatic Breast Cancer: A Meta-Analysis" Journal of Clinical Medicine 8, no. 10: 1689. https://doi.org/10.3390/jcm8101689
APA StyleLi, X., & Kwon, H. (2019). Efficacy and Safety of Nanoparticle Albumin-Bound Paclitaxel in Elderly Patients with Metastatic Breast Cancer: A Meta-Analysis. Journal of Clinical Medicine, 8(10), 1689. https://doi.org/10.3390/jcm8101689

