Serial, Visually-Evoked Potentials for the Assessment of Visual Function in Patients with Craniosynostosis
Abstract
1. Introduction
2. Materials and Methods
2.1. Study Population
2.2. pVEP Recording
2.3. pVEP Grading
2.4. Statistical Analysis
3. Results
3.1. Study Population
3.2. Preoperative VEP Grading Results
3.3. Intracranial Hypertension
3.4. Surgical Intervention
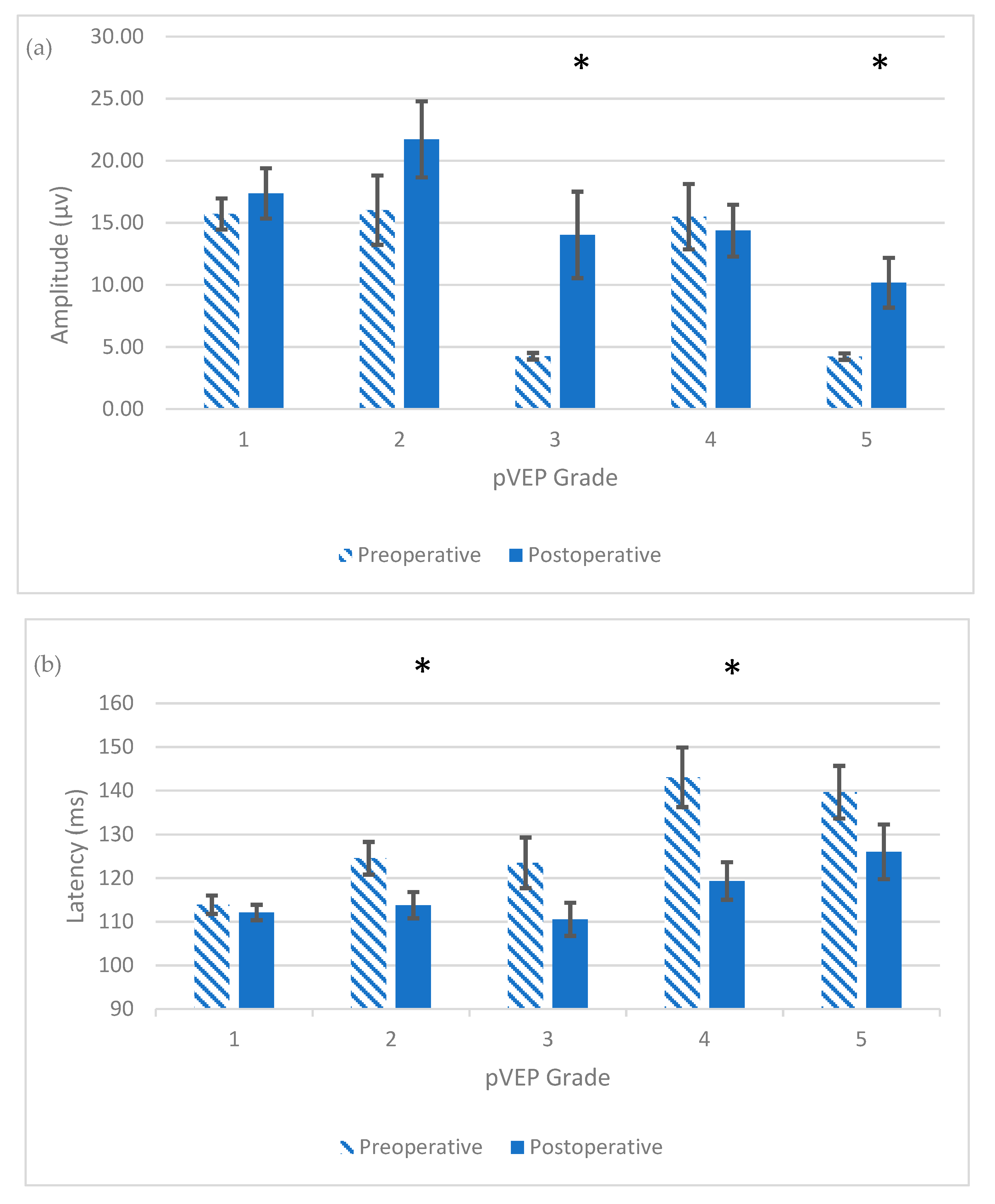
3.5. Postoperative VEP Changes
4. Discussion
5. Conclusions
Author Contributions
Conflicts of Interest
References
- Cohen, M.M., Jr.; MacLean, R.E. Craniosynostosis. Diagnosis, Evaluation, and Management, 2nd ed.; Oxford University Press: New York, NY, USA, 2000. [Google Scholar]
- Bartels, M.C.; Vaandrager, J.M.; de Jong, T.H.; Simonsz, H.J. Visual loss in syndromic craniosynostosis with papilledema but without other symptoms of intracranial hypertension. J. Craniofac Surg. 2004, 15, 1019–1022. [Google Scholar] [CrossRef] [PubMed]
- Nischal, K.K. Visual surveillance in craniosynostoses. Am. Orthopt J. 2014, 64, 24–31. [Google Scholar] [CrossRef] [PubMed]
- Fok, H.; Jones, B.M.; Gault, D.G.; Andar, U.; Hayward, R. Relationship between intracranial pressure and intracranial volume in craniosynostosis. Br. J. Plast Surg. 1992, 45, 394–397. [Google Scholar] [CrossRef]
- De Jong, T.; Rijken, B.F.; Lequin, M.H.; van Valeen, M.L.; Mathijssen, I.M. Brain and ventricular volume in patients with syndromic and complex craniosynostosis. Child. Nerv. Syst. 2012, 28, 137–140. [Google Scholar] [CrossRef] [PubMed]
- Hayward, R.; Gonsalez, S. How low can you go? Intracranial pressure, cerebral perfusion pressure, and respiratory obstruction in children with complex craniosynostosis. J. Neurosurg. 2005, 102, 16–22. [Google Scholar] [CrossRef] [PubMed]
- Taylor, W.J.; Hayward, R.D.; Lasjaunias, P.; Britto, J.A.; Thompson, D.N.; Jones, B.M.; Evans, R.D. Enigma of raised intracranial pressure in patients with complex craniosynostosis: The role of intracranial venous drainage. J. Neurosurg. 2001, 94, 377–385. [Google Scholar] [CrossRef] [PubMed]
- Tuite, G.F.; Chong, W.K.; Evanson, J.; Narita, A.; Taylor, D.; Harkness, W.F.; Jones, B.M.; Hayward, R.D. The effectiveness of papilledema as an indicator of raised intracranial pressure in children with craniosynostosis. Neurosurgery 1996, 38, 272–278. [Google Scholar] [CrossRef] [PubMed]
- Aylward, S.C.; Aronowitz, C.; Roach, E.S. Intracranial hypertension without papilledema in children. J. Child. Neurol. 2016, 31, 177–183. [Google Scholar] [CrossRef]
- Campbell, J.W.; Albright, A.L.; Losken, H.W.; Biglan, A.W. Intracranial hypertension after cranial vault decompression for craniosynostosis. Pediatr. Neurosurg. 1995, 22, 270–273. [Google Scholar] [CrossRef]
- Thompson, D.A.; Liasis, A.; Hardy, S.; Hagan, R.; Hayward, R.D.; Evans, R.D.; Nischal, K.K. Prevalence of abnormal pattern reversal visual- evoked potentials in craniosynostosis. Plast. Reconstr. Surg. 2006, 118, 184–189. [Google Scholar] [CrossRef]
- Sokol, S. Abnormal evoked potential latencies in amblyopia. Br. J. Ophthalmol. 1983, 67, 310–314. [Google Scholar] [CrossRef] [PubMed]
- Liasis, A.; Nischal, K.K.; Walters, B.; Thompson, D.; Hardy, S.; Towell, A.; Dunaway, D.; Jones, B.; Evans, R.; Hayward, R. Monitoring visual function in children with syndromic craniosynostosis: A comparison of three methods. Arch. Ophthalmol. 2006, 124, 1119–1126. [Google Scholar] [CrossRef] [PubMed]
- Mellow, T.B.; Liasis, A.; Lyons, R.; Thompson, D.A. The reproducibility of binocular pattern reversal visual evoked potentials: A single subject design. Doc. Ophthalmol. 2011, 122, 133–139. [Google Scholar] [CrossRef] [PubMed]
- Thompson, D.A.; Kriss, A.; Taylor, D.; Russell-Eggitt, I.; Hodgkins, P.; Morgan, G.; Vellodi, A.; Gerritsen, E.J. Early VEP and ERG evidence of visual dysfunction in autosomal recessive osteopetrosis. Neuropediatrics 1998, 29, 137–144. [Google Scholar] [CrossRef] [PubMed]
- Nischal, K.K. Ocular aspects of craniofacial disorders. Am. Orthopt. J. 2002, 52, 58–68. [Google Scholar] [CrossRef]
- Stavrou, P.; Sgouros, S.; Willshaw, H.E.; Goldin, J.H.; Hockley, A.D.; Wake, M.J. Visual failure caused by intracranial pressure in craniosynostosis. Child. Nerv. Syst. 1997, 13, 64–67. [Google Scholar]
- Liasis, A.; Thompson, D.A.; Hayward, R.; Nischal, K.K. Sustained raised intracranial pressure implicated only by pattern reversal visual-evoked potentials after cranial vault expansion surgery. Pediatr. Neurosurg. 2003, 39, 75–80. [Google Scholar] [CrossRef]
- Hayward, R.D.; Nischal, K.K. Management of raised intracranial pressure. In The Clinical Management of Craniosynostosis; Hayward, R.D., Jones, B., Dunaway, D., Evans, R., Eds.; Mac Keith Publications: London, UK, 2004; pp. 137–160. [Google Scholar]
- Gupta, S.; Ghose, S.; Rohatgi, M.; Kumar, A.; Das, A. The optic nerve in children with craniosynostosis. A pre and post-surgical evaluation. Doc. Ophthalmol. 1993, 83, 271–278. [Google Scholar] [CrossRef]
- Mursh, K.; Brockman, K.; Lang, J.K.; Markakis, E.; Behnke-Mursch, J. Visually evoked potentials in 52 children requiring operative repair of craniosynostosis. Pediatr. Neurosurg. 1998, 29, 320–323. [Google Scholar] [CrossRef]
- Odom, J.V.; Bach, M.; Brigell, M.; Holder, G.E.; McCulloch, D.L.; Mizota, A.; Tormene, A.P. International Society for Clinical Electrophysiology of Vision. ISCEV standard for clinical visual evoked potentials: (2016 update). Doc. Ophthalmol. 2016, 133, 1–9. [Google Scholar] [CrossRef]
- Holder, G.E. Electrophysiological assessment of optic nerve disease. Eye 2004, 18, 1133–1143. [Google Scholar] [CrossRef]
- Wilson, W.B. Visual evoked response differentiation of ischaemic optic neuritis from the optic neuritis of multiple sclerosis. Am. J. Ophthalmol. 1978, 86, 530–535. [Google Scholar] [CrossRef]
- Ghose, S. Optic nerve changes in hydrocephalus. Trans. Ophthalmol. Soc. UK 1983, 103, 217–220. [Google Scholar]
- Clarke, M.P.; Mitchell, K.W.; Gibson, M. The prognostic value of flash visual evoked potentials in the assessment of non-ocular visual impairment in infancy. Eye 1997, 11, 398–402. [Google Scholar] [CrossRef]
- Inverso, G.; Brustowicz, K.A.; Katz, E.; Padwa, B.L. The prevalence of obstructive sleep apnea in symptomatic patients with syndromic craniosynostosis. Int. J. Oral. Maxillofac. Surg. 2016, 45, 167–169. [Google Scholar] [CrossRef]
- Liasis, A.; Nischal, K.K.; Leighton, S.; Yap, S.; Hayward, R.; Dunaway, D. Adenoidtonsillectomy to treat visual dysfunction in a child with craniosynostosis. Pediatr. Neurosurg. 2005, 41, 197–200. [Google Scholar] [CrossRef]
- Sklar, F.H.; Ehle, A.L.; Clark, W.K. Visual evoked potentials: A noninvasive technique to monitor patients with shunted hydrocephalus. Neurosurgery 1979, 4, 529–534. [Google Scholar] [CrossRef]
- York, D.H.; Pulliam, M.W.; Rosenfeld, J.G.; Watts, C. Relationship between visual evoked potentials and intracranial pressure. J. Neurosurg. 1981, 55, 909–916. [Google Scholar] [CrossRef]
- Kesler, A.; Vakhapova, V.; Korczyn, A.D.; Drory, V.E. Visual evoked potentials in idiopathic intracranial hypertension. Clin. Neurol. Neurosurg. 2009, 111, 433–436. [Google Scholar] [CrossRef]
- Tso, M.O.; Hayreh, S.S. Optic disc edema in raised intracranial pressure: IV. Axoplasmic transport in experimental papilledema. Arch. Ophthalmol. 1977, 95, 1458–1462. [Google Scholar] [CrossRef]
- Quigley, H.A.; Guy, J.; Anderson, D.R. Blockade of rapid axonal transport. Blockade of rapid axonal transport. Effect of intraocular pressure elevation in primate optic nerve. Arch. Ophthalmol. 1979, 97, 525–531. [Google Scholar] [CrossRef]
- Jones, S.J.; Brusa, A. Neurophysiological evidence for long-term repair of MS lesions: Implications for axon protection. J. Neurol. Sci. 2003, 206, 193–198. [Google Scholar] [CrossRef]
- Sjöström, A.; Uvebrant, P.; Roos, A. The light-flash-evoked response as a possible indicator of increased intracranial pressure in hydrocephalus. Child. Nerv. Syst. 1995, 11, 381–387. [Google Scholar] [CrossRef]
- Clifford-Jones, R.E.; MacDonald, W.I.; Landon, D.N. Chronic optic nerve compression: An experimental study. Brain 1985, 108, 241–262. [Google Scholar] [CrossRef]
- Del Bigio, M.R.; Kanfer, J.N.; Zhang, Y.W. Myelination delay in the cerebral white matter of immature rats with kaolin-induced hydrocephalus is reversible. J. Neuropathol. Exp. Neurol. 1997, 56, 1053–1066. [Google Scholar] [CrossRef]



| Grade | Criteria | Number of Patients (%) | Mean Age at Preoperative VEP in Months (Range) * | Check Size Used |
|---|---|---|---|---|
| Grade 1 | Normal VEP test | 30 (47.6) | 17 (4.4–82.1) | 12.5′ (18 cases) 25′ (4 cases) 50′ (8 cases) |
| Grade 2 | Normal amplitude and latency, but broad waveform | 10 (15.9) | 16.3 (2.8–75.5) | 12.5′ (7 cases) 25′ (2 cases) 50′ (one case) |
| Grade 3 | Reduced amplitude, broad waveform with normal latency | 9 (14.3) | 20.1 (2–121) | 12.5′ (5 cases) 50′ (4 cases) |
| Grade 4 | Normal amplitude, prolonged latency | 10 (15.9) | 16.1 (2–66.1) | 12.5′ (4 cases) 25′ (2 cases) 50′ (4 cases) |
| Grade 5 | Reduced amplitude, prolonged latency | 4 (6.3) | 19.8 (4.3–60.3) | 12.5′ (2 cases) 50′ (2 cases) |
| Grade | Total Cohort | Grade 1 | Grade 2 | Grade 3 | Grade 4 | Grade 5 | ||||||
|---|---|---|---|---|---|---|---|---|---|---|---|---|
| Pre | Post | Pre | Post | Pre | Post | Pre | Post | Pre | Post | Pre | Post | |
| Mean Amplitude (µv) | 13.3 | 16.6 | 15.7 | 17.4 | 16.0 | 21.7 | 4.2 | 14.0 | 15.5 | 14.4 | 4.2 | 10.2 |
| SD | ±8.0 | ±10.0 | ±6.9 | ±11.1 | ±8.8 | ±9.7 | ±0.8 | ±10.4 | ±8.3 | ±6.6 | ±0.5 | ±4.0 |
| p value * | 0.02 | 0.24 | 0.11 | 0.01 | 0.37 | 0.03 | ||||||
| Grade | Total Cohort | Grade 1 | Grade 2 | Grade 3 | Grade 4 | Grade 5 | ||||||
|---|---|---|---|---|---|---|---|---|---|---|---|---|
| Pre | Post | Pre | Post | Pre | Post | Pre | Post | Pre | Post | Pre | Post | |
| Mean Latency (ms) | 123.2 | 114.2 | 113.9 | 112.1 | 124.5 | 113.8 | 123.5 | 110.6 | 143.0 | 119.3 | 139.6 | 126.0 |
| SD | ±17.7 | ±11.1 | ±11.5 | ±9.7 | ±11.9 | ±9.5 | ±17.4 | ±11.4 | ±21.6 | ±13.6 | ±12.0 | ±12.5 |
| p value * | <0.001 | 0.18 | 0.02 | 0.03 | 0.007 | 0.07 | ||||||
© 2019 by the authors. Licensee MDPI, Basel, Switzerland. This article is an open access article distributed under the terms and conditions of the Creative Commons Attribution (CC BY) license (http://creativecommons.org/licenses/by/4.0/).
Share and Cite
Haredy, M.M.; Liasis, A.; Davis, A.; Koesarie, K.; Fu, V.; Losee, J.E.; Goldstein, J.A.; Nischal, K.K. Serial, Visually-Evoked Potentials for the Assessment of Visual Function in Patients with Craniosynostosis. J. Clin. Med. 2019, 8, 1555. https://doi.org/10.3390/jcm8101555
Haredy MM, Liasis A, Davis A, Koesarie K, Fu V, Losee JE, Goldstein JA, Nischal KK. Serial, Visually-Evoked Potentials for the Assessment of Visual Function in Patients with Craniosynostosis. Journal of Clinical Medicine. 2019; 8(10):1555. https://doi.org/10.3390/jcm8101555
Chicago/Turabian StyleHaredy, Mostafa M., Alki Liasis, Amani Davis, Kathleen Koesarie, Valeria Fu, Joseph E. Losee, Jesse A. Goldstein, and Ken K. Nischal. 2019. "Serial, Visually-Evoked Potentials for the Assessment of Visual Function in Patients with Craniosynostosis" Journal of Clinical Medicine 8, no. 10: 1555. https://doi.org/10.3390/jcm8101555
APA StyleHaredy, M. M., Liasis, A., Davis, A., Koesarie, K., Fu, V., Losee, J. E., Goldstein, J. A., & Nischal, K. K. (2019). Serial, Visually-Evoked Potentials for the Assessment of Visual Function in Patients with Craniosynostosis. Journal of Clinical Medicine, 8(10), 1555. https://doi.org/10.3390/jcm8101555

