Prevalence of Psychological Frailty in Japan: NCGG-SGS as a Japanese National Cohort Study
Abstract
1. Introduction
2. Experimental Section
2.1. Participants
2.2. Operationalization of Psychological Frailty
2.3. Determination of Disability
2.4. Measurements of Lifestyle Activity
2.5. Potential Confounding Factors
2.6. Statistical Analysis
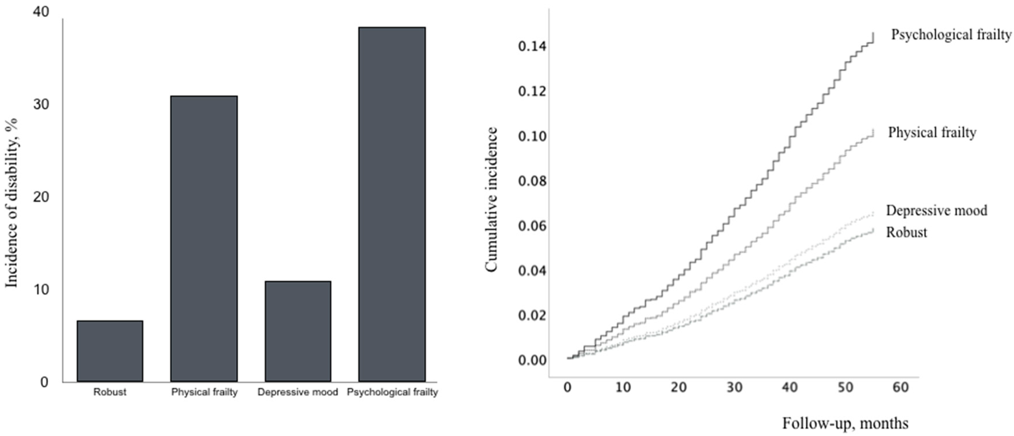
3. Results
4. Discussion
5. Conclusions
Author Contributions
Funding
Acknowledgments
Conflicts of Interest
References
- World Health Organisation. Disability and Health. Available online: https://www.who.int/en/news-room/fact-sheets/detail/disability-and-health# (accessed on 20 September 2019).
- Clegg, A.; Young, J.; Iliffe, S.; Rikkert, M.O.; Rockwood, K. Frailty in elderly people. Lancet 2013, 381, 752–762. [Google Scholar] [CrossRef]
- Song, X.; Mitnitski, A.; Rockwood, K. Prevalence and 10-Year Outcomes of Frailty in Older Adults in Relation to Deficit Accumulation. J. Am. Geriatr. Soc. 2010, 58, 681–687. [Google Scholar] [CrossRef]
- Fried, L.P.; Tangen, C.M.; Walston, J.; Newman, A.B.; Hirsch, C.; Gottdiener, J.; Seeman, T.; Tracy, R.; Kop, W.J.; Burke, G.; et al. Frailty in Older Adults: Evidence for a Phenotype. J. Gerontol. Ser. A Boil. Sci. Med. Sci. 2001, 56, M146–M157. [Google Scholar] [CrossRef] [PubMed]
- Rodriguez-Manas, L.; Feart, C.; Mann, G.; Vina, J.; Chatterji, S.; Chodzko-Zajko, W.; Gonzalez-Colaco Harmand, M.; Bergman, H.; Carcaillon, L.; Nicholson, C.; et al. Searching for an operational definition of frailty: A delphi method based consensus statement: The frailty operative definition-consensus conference project. J. Gerontol. Ser. A Biol. Sci. Med. Sci. 2013, 68, 62–67. [Google Scholar] [CrossRef] [PubMed]
- Collard, R.M.; Boter, H.; Schoevers, R.A.; Voshaar, R.C.O. Prevalence of Frailty in Community-Dwelling Older Persons: A Systematic Review. J. Am. Geriatr. Soc. 2012, 60, 1487–1492. [Google Scholar] [CrossRef] [PubMed]
- Rodda, J.; Walker, Z.; Carter, J. Depression in older adults. BMJ 2011, 343, d5219. [Google Scholar] [CrossRef]
- Buigues, C.; Padilla-Sanchez, C.; Garrido, J.F.; Navarro-Martinez, R.; Ruiz-Ros, V.; Cauli, O. The relationship between depression and frailty syndrome: A systematic review. Aging Ment. Health 2015, 19, 762–772. [Google Scholar] [CrossRef]
- Jürschik, P.; Nunin, C.; Botigué, T.; Escobar, M.A.; Lavedán, A.; Viladrosa, M. Prevalence of frailty and factors associated with frailty in the elderly population of Lleida, Spain: The FRALLE survey. Arch. Gerontol. Geriatr. 2012, 55, 625–631. [Google Scholar] [CrossRef]
- Feng, L.; Nyunt, M.S.Z.; Feng, L.; Yap, K.B.; Ng, T.P. Frailty Predicts New and Persistent Depressive Symptoms Among Community-Dwelling Older Adults: Findings from Singapore Longitudinal Aging Study. J. Am. Med. Dir. Assoc. 2014, 15, 76.e7–76.e12. [Google Scholar] [CrossRef]
- Lakey, S.L.; LaCroix, A.Z.; Gray, S.L.; Borson, S.; Williams, C.D.; Calhoun, D.; Goveas, J.S.; Smoller, J.W.; Ockene, J.K.; Masaki, K.H.; et al. Antidepressant use, depressive symptoms, and incident frailty in women aged 65 and older from the women’s health initiative observational study. J. Am. Geriatr. Soc. 2012, 60, 854–861. [Google Scholar] [CrossRef]
- Freiheit, E.A.; Hogan, D.B.; Eliasziw, M.; Meekes, M.F.; Partlo, L.A.; Maxwell, C.J.; Ghali, W.A. Development of a Frailty Index for Patients with Coronary Artery Disease. J. Am. Geriatr. Soc. 2010, 58, 1526–1531. [Google Scholar] [CrossRef] [PubMed]
- Fabrigoule, C.; Letenneur, L.; Dartigues, J.F.; Zarrouk, M.; Commenges, D.; Barberger-Gateau, P. Social and Leisure Activities and Risk of Dementia: A Prospective Longitudinal Study. J. Am. Geriatr. Soc. 1995, 43, 485–490. [Google Scholar] [CrossRef] [PubMed]
- Wang, H.X.; Karp, A.; Winblad, B.; Fratiglioni, L. Late-life engagement in social and leisure activities is associated with a decreased risk of dementia: A longitudinal study from the Kungsholmen project. Am. J. Epidemiol. 2002, 155, 1081–1087. [Google Scholar] [CrossRef] [PubMed]
- Karp, A.; Paillard-Borg, S.; Wang, H.X.; Silverstein, M.; Winblad, B.; Fratiglioni, L. Mental, physical and social components in leisure activities equally contribute to decrease dementia risk. Dement. Geriatr. Cogn. Disord. 2006, 21, 65–73. [Google Scholar] [CrossRef] [PubMed]
- Laurin, D.; Verreault, R.; Lindsay, J.; MacPherson, K.; Rockwood, K. Physical Activity and Risk of Cognitive Impairment and Dementia in Elderly Persons. Arch. Neurol. 2001, 58, 498–504. [Google Scholar] [CrossRef]
- Scarmeas, N.; Levy, G.; Tang, M.X.; Manly, J.; Stern, Y. Influence of leisure activity on the incidence of Alzheimer’s Disease. Neurology 2001, 57, 2236–2242. [Google Scholar] [CrossRef] [PubMed]
- Wilson, R.S.; De Leon, C.F.M.; Barnes, L.L.; Schneider, J.A.; Bienias, J.L.; Evans, D.A.; Bennett, D.A. Participation in Cognitively Stimulating Activities and Risk of Incident Alzheimer Disease. JAMA 2002, 287, 742–748. [Google Scholar] [CrossRef]
- Wilson, R.; Bennett, D.; Bienias, J.; Aggarwal, N.; De Leon, C.M.; Morris, M.; Schneider, J.; Evans, D. Cognitive activity and incident AD in a population-based sample of older persons. Neurology 2002, 59, 1910–1914. [Google Scholar] [CrossRef]
- Sorman, D.E.; Sundstrom, A.; Ronnlund, M.; Adolfsson, R.; Nilsson, L.G. Leisure activity in old age and risk of dementia: A 15-year prospective study. J. Gerontol. B Psychol. Sci. Soc. Sci. 2014, 69, 493–501. [Google Scholar] [CrossRef]
- Akbaraly, T.N.; Portet, F.; Dartigues, J.F.; Artero, S.; Rouaud, O.; Touchon, J.; Ritchie, K.; Berr, C.; Fustinoni, S. Leisure activities and the risk of dementia in the elderly: Results from the Three-City Study. Neurology 2009, 73, 854–861. [Google Scholar] [CrossRef]
- Shimada, H.; Tsutsumimoto, K.; Lee, S.; Doi, T.; Makizako, H.; Lee, S.; Harada, K.; Hotta, R.; Bae, S.; Nakakubo, S.; et al. Driving continuity in cognitively impaired older drivers. Geriatr. Gerontol. Int. 2015, 16, 508–514. [Google Scholar] [CrossRef] [PubMed]
- Miller, E.A.; Weissert, W.G. Predicting Elderly People’s Risk for Nursing Home Placement, Hospitalization, Functional Impairment, and Mortality: A Synthesis. Med. Care Res. Rev. 2000, 57, 259–297. [Google Scholar] [CrossRef] [PubMed]
- Folstein, M.F.; Folstein, S.E.; McHugh, P.R. “Mini-mental state”. A practical method for grading the cognitive state of patients for the clinician. J. Psychiatr. Res. 1975, 12, 189–198. [Google Scholar] [CrossRef]
- Shimada, H.; Makizako, H.; Doi, T.; Yoshida, D.; Tsutsumimoto, K.; Anan, Y.; Uemura, K.; Ito, T.; Lee, S.; Park, H.; et al. Combined Prevalence of Frailty and Mild Cognitive Impairment in a Population of Elderly Japanese People. J. Am. Med. Dir. Assoc. 2013, 14, 518–524. [Google Scholar] [CrossRef] [PubMed]
- Shimada, H.; Suzuki, T.; Suzukawa, M.; Makizako, H.; Doi, T.; Yoshida, D.; Tsutsumimoto, K.; Anan, Y.; Uemura, K.; Ito, T.; et al. Performance-based assessments and demand for personal care in older Japanese people: A cross-sectional study. BMJ Open 2013, 3, e002424. [Google Scholar] [CrossRef] [PubMed]
- Chen, L.K.; Liu, L.K.; Woo, J.; Assantachai, P.; Auyeung, T.W.; Bahyah, K.S.; Chou, M.Y.; Chen, L.Y.; Hsu, P.S.; Krairit, O.; et al. Sarcopenia in Asia: Consensus Report of the Asian Working Group for Sarcopenia. J. Am. Med. Dir. Assoc. 2014, 15, 95–101. [Google Scholar] [CrossRef] [PubMed]
- Fukutomi, E.; Okumiya, K.; Wada, T.; Sakamoto, R.; Ishimoto, Y.; Kimura, Y.; Chen, W.L.; Imai, H.; Kasahara, Y.; Fujisawa, M.; et al. Relationships between each category of 25-item frailty risk assessment (kihon checklist) and newly certified older adults under long-term care insurance: A 24-month follow-up study in a rural community in Japan. Geriatr. Gerontol. Int. 2015, 15, 864–871. [Google Scholar] [CrossRef]
- Yesavage, J.A. Geriatric depression scale. Psychopharmacol. Bull. 1988, 24, 709–711. [Google Scholar] [PubMed]
- Lyness, J.M. Screening for depression in elderly primary care patients. A comparison of the Center for Epidemiologic Studies-Depression Scale and the Geriatric Depression Scale. Arch. Intern. Med. 1997, 157, 449–454. [Google Scholar] [CrossRef]
- Watson, L.C.; Pignone, M.P. Screening accuracy for late-life depression in primary care: A systematic review. J. Fam. Pract. 2003, 52, 956–964. [Google Scholar]
- Van Marwijk, H.W.; Wallace, P.; De Bock, G.H.; Hermans, J.; Kaptein, A.A.; Mulder, J.D. Evaluation of the feasibility, reliability and diagnostic value of shortened versions of the geriatric depression scale. Br. J. Gen. Pract. 1995, 45, 195–199. [Google Scholar] [PubMed]
- Almeida, O.P.; Almeida, S.A. Short versions of the geriatric depression scale: A study of their validity for the diagnosis of a major depressive episode according to ICD-10 and DSM-IV. Int. J. Geriatr. Psychiatry 1999, 14, 858–865. [Google Scholar] [CrossRef]
- Tsutsui, T.; Muramatsu, N. Care-Needs Certification in the Long-Term Care Insurance System of Japan. J. Am. Geriatr. Soc. 2005, 53, 522–527. [Google Scholar] [CrossRef] [PubMed]
- Shimada, H.; Doi, T.; Lee, S.; Makizako, H. Reversible predictors of reversion from mild cognitive impairment to normal cognition: A 4-year longitudinal study. Alzheimer’s Res. Ther. 2019, 11, 24. [Google Scholar] [CrossRef] [PubMed]
- Stuck, A.E.; Walthert, J.M.; Nikolaus, T.; Büla, C.J.; Höhmann, C.; Beck, J.C. Risk factors for functional status decline in community-living elderly people: A systematic literature review. Soc. Sci. Med. 1999, 48, 445–469. [Google Scholar] [CrossRef]
- Ishizaki, T.; Watanabe, S.; Suzuki, T.; Shibata, H.; Haga, H. Predictors for Functional Decline Among Nondisabled Older Japanese Living in a Community During a 3-Year Follow-Up. J. Am. Geriatr. Soc. 2000, 48, 1424–1429. [Google Scholar] [CrossRef] [PubMed]
- WHO Expert Consultation. Appropriate body-mass index for asian populations and its implications for policy and intervention strategies. Lancet 2004, 363, 157–163. [Google Scholar] [CrossRef]
- Siriwardhana, D.D.; Hardoon, S.; Rait, G.; Weerasinghe, M.C.; Walters, K.R. Prevalence of frailty and prefrailty among community-dwelling older adults in low-income and middle-income countries: A systematic review and meta-analysis. BMJ Open 2018, 8, e018195. [Google Scholar] [CrossRef]
- O’Caoimh, R.; Galluzzo, L.; Rodriguez-Laso, A.; Van der Heyden, J.; Ranhoff, A.H.; Lamprini-Koula, M.; Ciutan, M.; Lopez-Samaniego, L.; Carcaillon-Bentata, L.; Kennelly, S.; et al. Prevalence of frailty at population level in european advantage joint action member states: A systematic review and meta-analysis. Ann. Ist. Super. Sanita 2018, 54, 226–238. [Google Scholar]
- Kojima, G.; Iliffe, S.; Taniguchi, Y.; Shimada, H.; Rakugi, H.; Walters, K. Prevalence of frailty in japan: A systematic review and meta-analysis. J. Epidemiol. 2017, 27, 347–353. [Google Scholar] [CrossRef]
- Guralnik, J.M.; Ferrucci, L.; Pieper, C.F.; Leveille, S.G.; Markides, K.S.; Ostir, G.V.; Studenski, S.; Berkman, L.F.; Wallace, R.B. Lower Extremity Function and Subsequent Disability: Consistency Across Studies, Predictive Models, and Value of Gait Speed Alone Compared with the Short Physical Performance Battery. J. Gerontol. Ser. A Boil. Sci. Med. Sci. 2000, 55, M221–M231. [Google Scholar] [CrossRef]
- Cesari, M.; Kritchevsky, S.B.; Penninx, B.W.; Nicklas, B.J.; Simonsick, E.M.; Newman, A.B.; Tylavsky, F.A.; Brach, J.S.; Satterfield, S.; Bauer, D.C.; et al. Prognostic value of usual gait speed in well-functioning older people--results from the health, aging and body composition study. J. Am. Geriatr. Soc. 2005, 53, 1675–1680. [Google Scholar] [CrossRef]
- Cesari, M.; Kritchevsky, S.B.; Newman, A.B.; Simonsick, E.M.; Harris, T.B.; Penninx, B.W.; Brach, J.S.; Tylavsky, F.A.; Satterfield, S.; Bauer, D.C.; et al. Added value of physical performance measures in predicting adverse health-related events: Results from the Health, Aging and Body Composition Study. J. Am. Geriatr. Soc. 2009, 57, 251–259. [Google Scholar] [CrossRef]
- Onder, G.; Penninx, B.W.; Ferrucci, L.; Fried, L.P.; Guralnik, J.M.; Pahor, M. Measures of physical performance and risk for progressive and catastrophic disability: Results from the women’s health and aging study. J. Gerontol. Ser. A Biol. Sci. Med. Sci. 2005, 60, 74–79. [Google Scholar] [CrossRef] [PubMed]
- Studenski, S.; Perera, S.; Wallace, D.; Chandler, J.M.; Duncan, P.W.; Rooney, E.; Fox, M.; Guralnik, J.M. Physical performance measures in the clinical setting. J. Am. Geriatr. Soc. 2003, 51, 314–322. [Google Scholar] [CrossRef]
- Simonsick, E.M.; Newman, A.B.; Visser, M.; Goodpaster, B.; Kritchevsky, S.B.; Rubin, S.; Nevitt, M.C.; Harris, T.B. Mobility Limitation in Self-Described Well-Functioning Older Adults: Importance of Endurance Walk Testing. J. Gerontol. Ser. A Boil. Sci. Med. Sci. 2008, 63, 841–847. [Google Scholar] [CrossRef]
- Shinkai, S.; Watanabe, S.; Kumagai, S.; Fujiwara, Y.; Amano, H.; Yoshida, H.; Ishizaki, T.; Yukawa, H.; Suzuki, T.; Shibata, H. Walking speed as a good predictor for the onset of functional dependence in a Japanese rural community population. Age Ageing 2000, 29, 441–446. [Google Scholar] [CrossRef]
- Markides, K.S.; Black, S.A.; Ostir, G.V.; Angel, R.J.; Guralnik, J.M.; Lichtenstein, M. Lower Body Function and Mortality in Mexican American Elderly People. J. Gerontol. Ser. A Boil. Sci. Med. Sci. 2001, 56, 243–247. [Google Scholar] [CrossRef]
- Studenski, S.; Perera, S.; Patel, K.; Rosano, C.; Faulkner, K.; Inzitari, M.; Brach, J.; Chandler, J.; Cawthon, P.; Connor, E.B.; et al. Gait speed and survival in older adults. JAMA 2011, 305, 50–58. [Google Scholar] [CrossRef]
- Montero-Odasso, M.; Schapira, M.; Soriano, E.R.; Varela, M.; Kaplan, R.; Camera, L.A.; Mayorga, L.M. Gait velocity as a single predictor of adverse events in healthy seniors aged 75 years and older. J. Gerontol. Ser. A Boil. Sci. Med. Sci. 2005, 60, 1304–1309. [Google Scholar] [CrossRef]
- Dargent-Molina, P.; Favier, F.; Grandjean, H.; Baudoin, C.; Schott, A.; Hausherr, E.; Meunier, P.; Breart, G. Fall-related factors and risk of hip fracture: The EPIDOS prospective study. Lancet 1996, 348, 145–149. [Google Scholar] [CrossRef]
- Vopato, S.; Guralnik, J.; Ferruci, L. Cardiovascular disease, interleukin-6, and risk of mortality in older women. The Women’s Health and Aging Study. ACC Curr. J. Rev. 2001, 10, 26–27. [Google Scholar] [CrossRef]
- Shimada, H.; Makizako, H.; Lee, S.; Doi, T.; Lee, S. Lifestyle activities and the risk of dementia in older Japanese adults. Geriatr. Gerontol. Int. 2018, 18, 1491–1496. [Google Scholar] [CrossRef] [PubMed]
- Edwards, J.D.; Lunsman, M.; Perkins, M.; Rebok, G.W.; Roth, D.L. Driving Cessation and Health Trajectories in Older Adults. J. Gerontol. Ser. A Boil. Sci. Med. Sci. 2009, 64, 1290–1295. [Google Scholar] [CrossRef]
- Choi, M.; Lohman, M.C.; Mezuk, B. Trajectories of cognitive decline by driving mobility: Evidence from the Health and Retirement Study. Int. J. Geriatr. Psychiatry 2013, 29, 447–453. [Google Scholar] [CrossRef]
- Marottoli, R.A.; De Leon, C.F.M.; Glass, T.A.; Williams, C.S.; Cooney, L.M.; Berkman, L.F.; Tinetti, M.E.; Leon, C.F.M. Driving Cessation and Increased Depressive Symptoms: Prospective Evidence from the New Haven EPESE. J. Am. Geriatr. Soc. 1997, 45, 202–206. [Google Scholar] [CrossRef]
- Freeman, E.E.; Gange, S.J.; Muñoz, B.; West, S.K. Driving Status and Risk of Entry into Long-Term Care in Older Adults. Am. J. Public Health 2006, 96, 1254–1259. [Google Scholar] [CrossRef]
- Edwards, J.D.; Perkins, M.; Ross, L.A.; Reynolds, S.L. Driving Status and Three-Year Mortality Among Community-Dwelling Older Adults. J. Gerontol. Ser. A Boil. Sci. Med. Sci. 2009, 64, 300–305. [Google Scholar] [CrossRef]
- Shimada, H.; Hotta, R.; Makizako, H.; Doi, T.; Tsutsumimoto, K.; Nakakubo, S.; Makino, K. Effects of Driving Skill Training on Safe Driving in Older Adults with Mild Cognitive Impairment. Gerontology 2018, 65, 90–97. [Google Scholar] [CrossRef]



| Between the Frailty Status | Between the Participants with and without Disability Incidence | |||||||
|---|---|---|---|---|---|---|---|---|
| Group R (n = 3151) | Group PhF (n = 139) | Group D (n = 690) | Group PF (n = 146) | p Value | Participants with Dementia (n = 385) | Participants without Dementia (n = 3741) | p Value | |
| Demographic variables | ||||||||
| Age, years | 71.1 ± 4.8 | 77.7 ± 6.6 | 72.4 ± 5.7 | 77.1 ± 6.3 | <0.001 | 77.7 ± 6.2 | 71.1 ± 4.9 | <0.001 |
| Sex, male | 1567 (49.7) | 59 (42.4) | 338 (49.0) | 66 (45.2) | 0.280 | 1880 (50.3) | 150 (39.0) | <0.001 |
| Education, years | 11.6 ± 2.5 | 10.4 ± 2.7 | 11.0 ± 2.4 | 10.3 ± 2.5 | <0.001 | 10.2 ± 2.5 | 11.6 ± 2.5 | <0.001 |
| Medication, n | 1.8 ± 1.9 | 2.7 ± 2.5 | 2.2 ± 2.2 | 2.9 ± 2.6 | <0.001 | 2.8 ± 2.5 | 1.8 ± 1.9 | <0.001 |
| Smoking, yes | 305 (9.7) | 16 (11.5) | 74 (10.7) | 11 (7.5) | 0.570 | 380 (10.2) | 26 (6.8) | 0.033 |
| Living alone, yes | 261 (8.3) | 19 (13.7) | 97 (14.1) | 13 (8.9) | <0.001 | 330 (8.8) | 60 (15.6) | <0.001 |
| Primary diseases or geriatric syndromes | ||||||||
| Heart disease, yes | 471 (14.9) | 25 (18.0) | 113 (16.4) | 40 (27.4) | 0.001 | 571 (15.3) | 78 (20.3) | 0.010 |
| Pulmonary disease, yes | 317 (10.1) | 20 (14.4) | 90 (13.0) | 21 (14.4) | 0.027 | 401 (10.7) | 47 (12.2) | 0.371 |
| Hypertension, yes | 1353 (42.9) | 71 (51.1) | 316 (45.8) | 79 (54.1) | 0.011 | 1616 (43.2) | 203 (52.7) | <0.001 |
| Diabetes, yes | 395 (12.5) | 28 (20.1) | 90 (13.0) | 37 (25.3) | <0.001 | 478 (12.8) | 72 (18.7) | 0.001 |
| Osteoarthritis, yes | 389 (12.3) | 25 (18.0) | 117 (17.0) | 27 (18.5) | 0.001 | 489 (13.1) | 69 (17.9) | 0.008 |
| Fall history, yes | 365 (11.6) | 35 (25.2) | 141 (20.4) | 41 (28.1) | <0.001 | 488 (13.0) | 94 (24.4) | <0.001 |
| Lifestyle activity | ||||||||
| Going out using the bus or train, no | 224 (7.1) | 27 (19.4) | 91 (13.2) | 35 (24.0) | <0.001 | 316 (8.4) | 61 (15.8) | <0.001 |
| Cash handling and banking, no | 289 (9.2) | 23 (16.5) | 87 (12.6) | 18 (12.3) | 0.002 | 377 (10.1) | 40 (10.4) | 0.847 |
| Driving a car, no | 757 (24.0) | 78 (56.1) | 244 (35.4) | 76 (52.1) | <0.001 | 950 (25.4) | 205 (53.2) | <0.001 |
| Using maps to go to unfamiliar places, no | 1029 (32.7) | 81 (58.3) | 318 (46.1) | 89 (61.0) | <0.001 | 1299 (34.7) | 218 (56.6) | <0.001 |
| Reading books or newspapers, no | 101 (3.2) | 10 (7.2) | 33 (4.8) | 18 (12.3) | <0.001 | 137 (3.7) | 25 (6.5) | 0.006 |
| Cognitive stimulation such as board games and learning, no | 1385 (44.0) | 94 (67.6) | 481 (69.7) | 113 (77.4) | <0.001 | 1828 (48.9) | 245 (63.6) | <0.001 |
| Culture lesson, no | 1690 (53.6) | 104 (74.8) | 493 (71.4) | 124 (84.9) | <0.001 | 2178 (58.2) | 233 (60.5) | 0.383 |
| Using personal computer, no | 1939 (61.5) | 109 (78.4) | 526 (76.2) | 123 (84.2) | <0.001 | 2370 (63.4) | 327 (84.9) | <0.001 |
| Giving advice, no | 170 (5.4) | 11 (7.9) | 103 (14.9) | 43 (29.5) | <0.001 | 265 (7.1) | 62 (16.1) | <0.001 |
| Attending meetings in the community, no | 1381 (43.8) | 80 (57.6) | 423 (61.3) | 114 (78.1) | <0.001 | 1802 (48.2) | 196 (50.9) | 0.306 |
| Engaging in hobbies or sports activities, no | 602 (19.1) | 70 (50.4) | 294 (42.6) | 101 (69.2) | <0.001 | 906 (24.2) | 161 (41.8) | <0.001 |
| House cleaning, no | 365 (11.6) | 28 (20.1) | 89 (12.9) | 35 (24.0) | <0.001 | 454 (12.1) | 63 (16.4) | 0.017 |
| Fieldwork or gardening, no | 760 (24.1) | 41 (29.5) | 258 (37.4) | 71 (48.6) | <0.001 | 995 (26.6) | 135 (35.1) | <0.001 |
| Taking care of grandchildren or pets, no | 1312 (41.6) | 68 (48.9) | 370 (53.6) | 93 (63.7) | <0.001 | 1621 (43.3) | 222 (57.7) | <0.001 |
| Paid work, no | 2109 (66.9) | 107 (77.0) | 530 (76.8) | 120 (82.2) | <0.001 | 2550 (68.2) | 316 (82.1) | <0.001 |
| Odds Ratio (95% CI) | p Value | ||
|---|---|---|---|
| Going out using the bus or train | Physical frailty | 3.65 (2.27–5.87) | <0.001 |
| Depressive mood | 1.88 (1.44–2.45) | <0.001 | |
| Psychological frailty | 4.63 (2.99–7.16) | <0.001 | |
| Cash handling and banking, yes | Physical frailty | 2.55 (1.51–4.31) | <0.001 |
| Depressive mood | 1.42 (1.08–1.86) | 0.012 | |
| Psychological frailty | 1.51 (0.86–2.65) | 0.150 | |
| Driving a car, yes | Physical frailty | 2.48 (1.58–3.88) | <0.001 |
| Depressive mood | 1.72 (1.38–2.14) | <0.001 | |
| Psychological frailty | 2.24 (1.46–3.46) | <0.001 | |
| Using maps to go to unfamiliar places, yes | Physical frailty | 2.04 (1.39–3.00) | <0.001 |
| Depressive mood | 1.64 (1.36–1.97) | <0.001 | |
| Psychological frailty | 2.48 (1.69–3.64) | <0.001 | |
| Reading books and newspapers, yes | Physical frailty | 1.97 (0.96–4.06) | 0.066 |
| Depressive mood | 1.31 (0.87–1.99) | 0.199 | |
| Psychological frailty | 3.82 (2.12–6.91) | <0.001 | |
| Cognitive stimulation such as board games and learning, yes | Physical frailty | 2.25 (1.53–3.32) | <0.001 |
| Depressive mood | 2.77 (2.30–3.33) | <0.001 | |
| Psychological frailty | 3.84 (2.53–5.83) | <0.001 | |
| Culture lesson, yes | Physical frailty | 3.19 (2.10–4.83) | <0.001 |
| Depressive mood | 2.24 (1.85–2.72) | <0.001 | |
| Psychological frailty | 5.87 (3.63–9.49) | <0.001 | |
| Using a personal computer, yes | Physical frailty | 0.94 (0.58–1.52) | 0.804 |
| Depressive mood | 1.79 (1.45–2.23) | <0.001 | |
| Psychological frailty | 1.64 (0.98–2.75) | 0.061 | |
| Giving advice, yes | Physical frailty | 1.25 (0.65–2.41) | 0.512 |
| Depressive mood | 2.83 (2.16–3.69) | <0.001 | |
| Psychological frailty | 6.05 (3.97–9.22) | <0.001 | |
| Attending meetings in the community, yes | Physical frailty | 2.11 (1.47–3.02) | <0.001 |
| Depressive mood | 2.14 (1.80–2.54) | <0.001 | |
| Psychological frailty | 5.70 (3.77–8.61) | <0.001 | |
| Engaging in hobbies and sports activities, yes | Physical frailty | 3.40 (2.37–4.90) | <0.001 |
| Depressive mood | 2.90 (2.42–3.47) | <0.001 | |
| Psychological frailty | 8.09 (5.53–11.85) | <0.001 | |
| House cleaning, yes | Physical frailty | 2.36 (1.42–3.91) | 0.001 |
| Depressive mood | 1.22 (0.94–1.60) | 0.142 | |
| Psychological frailty | 3.08 (1.93–4.91) | <0.001 | |
| Fieldwork or gardening, yes | Physical frailty | 1.37 (0.93–2.03) | 0.112 |
| Depressive mood | 1.87 (1.56–2.23) | <0.001 | |
| Psychological frailty | 3.22 (2.27–4.58) | <0.001 | |
| Taking care of grandchildren or pets, yes | Physical frailty | 0.98 (0.69–1.41) | 0.922 |
| Depressive mood | 1.52 (1.28–1.80) | <0.001 | |
| Psychological frailty | 1.97 (1.38–2.82) | <0.001 | |
| Paid work, yes | Physical frailty | 0.74 (0.48–1.15) | 0.179 |
| Depressive mood | 1.55 (1.27–1.90) | <0.001 | |
| Psychological frailty | 1.17 (0.74–1.85) | 0.514 |
| Model 1 | Model 2 | |||
|---|---|---|---|---|
| Hazard Ratio (95% CI) | p Value | Hazard Ratio (95% CI) | p Value | |
| Demographic variables | ||||
| Age, years | 1.14 (1.11–1.16) | <0.001 | ||
| Sex, male | 1.19 (0.89–1.60) | 0.233 | ||
| Education, years | 0.93 (0.89–0.98) | 0.004 | ||
| Medication, n | 1.08 (1.03–1.13) | 0.002 | ||
| Smoking, yes | 1.26 (0.82–1.91) | 0.289 | ||
| Living alone, yes | 1.08 (0.81–1.44) | 0.613 | ||
| Primary diseases or geriatric syndromes | ||||
| Heart disease, yes | 1.03 (0.79–1.33) | 0.854 | ||
| Pulmonary disease, yes | 0.98 (0.72–1.34) | 0.918 | ||
| Hypertension, yes | 1.05 (0.85–1.30) | 0.647 | ||
| Diabetes, yes | 1.21 (0.92–1.60) | 0.172 | ||
| Osteoarthritis, yes | 0.90 (0.69–1.18) | 0.448 | ||
| Fall history, yes | 1.34 (1.05–1.72) | 0.019 | ||
| Lifestyle activity | ||||
| Going out using the bus or train, no | 1.22 (0.89–1.67) | 0.222 | ||
| Cash handling and banking, no | 0.94 (0.65–1.36) | 0.730 | ||
| Driving a car, no | 1.23 (0.95–1.61) | 0.122 | ||
| Using maps to go to unfamiliar places, no | 1.18 (0.93–1.49) | 0.179 | ||
| Reading books or newspapers, no | 1.03 (0.67–1.58) | 0.894 | ||
| Cognitive stimulation such as board games and learning, no | 1.05 (0.82–1.34) | 0.715 | ||
| Culture lesson, no | 0.73 (0.56–0.95) | 0.018 | ||
| Using a personal computer, no | 1.21 (0.88–1.66) | 0.253 | ||
| Giving advice, no | 1.20 (0.88–1.63) | 0.261 | ||
| Attending meetings in the community, no | 0.80 (0.64–1.01) | 0.058 | ||
| Engaging in hobbies or sports activities, no | 1.26 (0.97–1.64) | 0.080 | ||
| House cleaning, no | 1.12 (0.82–1.52) | 0.488 | ||
| Fieldwork or gardening, no | 1.28 (1.02–1.60) | 0.033 | ||
| Taking care of grandchildren or pets, no | 1.07 (0.86–1.32) | 0.573 | ||
| Paid work, no | 0.96 (0.72–1.27) | 0.753 | ||
| Frailty status | ||||
| Robust | 1 | 1 | ||
| Physical frailty | 5.66 (4.08–7.86) | <0.001 | 1.69 (1.16–2.46) | 0.006 |
| Depressive mood | 1.67 (1.28–2.17) | <0.001 | 1.05 (0.79–1.39) | 0.734 |
| Psychological frailty | 7.67 (5.71–10.30) | <0.001 | 2.24 (1.57–3.20) | <0.001 |
© 2019 by the authors. Licensee MDPI, Basel, Switzerland. This article is an open access article distributed under the terms and conditions of the Creative Commons Attribution (CC BY) license (http://creativecommons.org/licenses/by/4.0/).
Share and Cite
Shimada, H.; Lee, S.; Doi, T.; Bae, S.; Tsutsumimoto, K.; Arai, H. Prevalence of Psychological Frailty in Japan: NCGG-SGS as a Japanese National Cohort Study. J. Clin. Med. 2019, 8, 1554. https://doi.org/10.3390/jcm8101554
Shimada H, Lee S, Doi T, Bae S, Tsutsumimoto K, Arai H. Prevalence of Psychological Frailty in Japan: NCGG-SGS as a Japanese National Cohort Study. Journal of Clinical Medicine. 2019; 8(10):1554. https://doi.org/10.3390/jcm8101554
Chicago/Turabian StyleShimada, Hiroyuki, Sangyoon Lee, Takehiko Doi, Seongryu Bae, Kota Tsutsumimoto, and Hidenori Arai. 2019. "Prevalence of Psychological Frailty in Japan: NCGG-SGS as a Japanese National Cohort Study" Journal of Clinical Medicine 8, no. 10: 1554. https://doi.org/10.3390/jcm8101554
APA StyleShimada, H., Lee, S., Doi, T., Bae, S., Tsutsumimoto, K., & Arai, H. (2019). Prevalence of Psychological Frailty in Japan: NCGG-SGS as a Japanese National Cohort Study. Journal of Clinical Medicine, 8(10), 1554. https://doi.org/10.3390/jcm8101554

