Salivary Biomarkers of Oxidative Stress in Children with Chronic Kidney Disease
Abstract
1. Introduction
2. Materials and Methods
2.1. Patients
2.2. Saliva Collection
2.3. Dental Examination
2.4. Blood Collection
2.5. Redox Assays
2.6. Salivary Antioxidants
2.7. Total Antioxidant/Oxidant Status
2.8. Oxidative Damage Markers
2.9. Statistical Analysis
3. Results
3.1. Patients
3.2. Salivary Gland Function
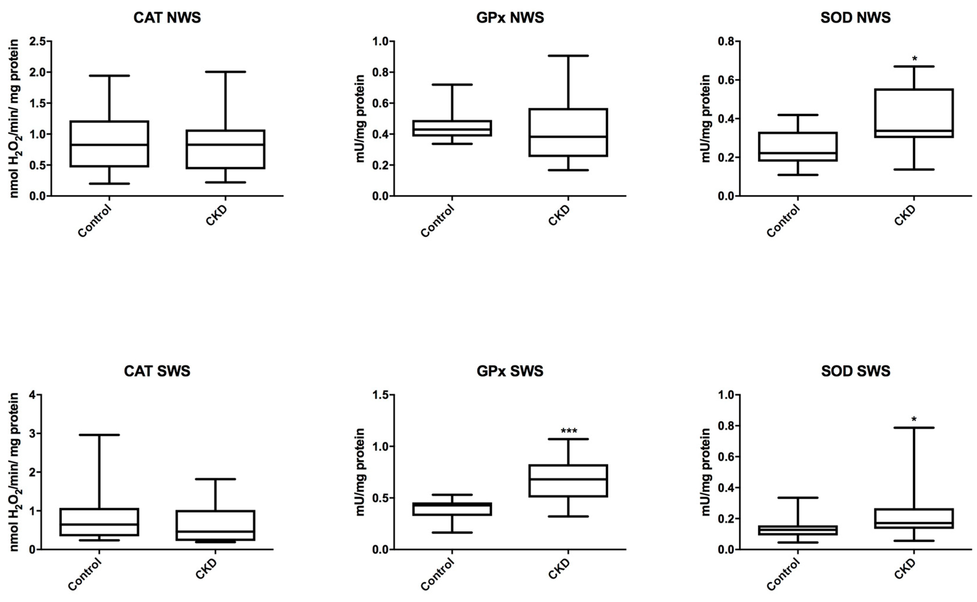
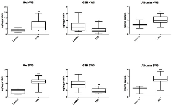
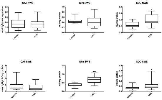
3.3. Salivary Antioxidants
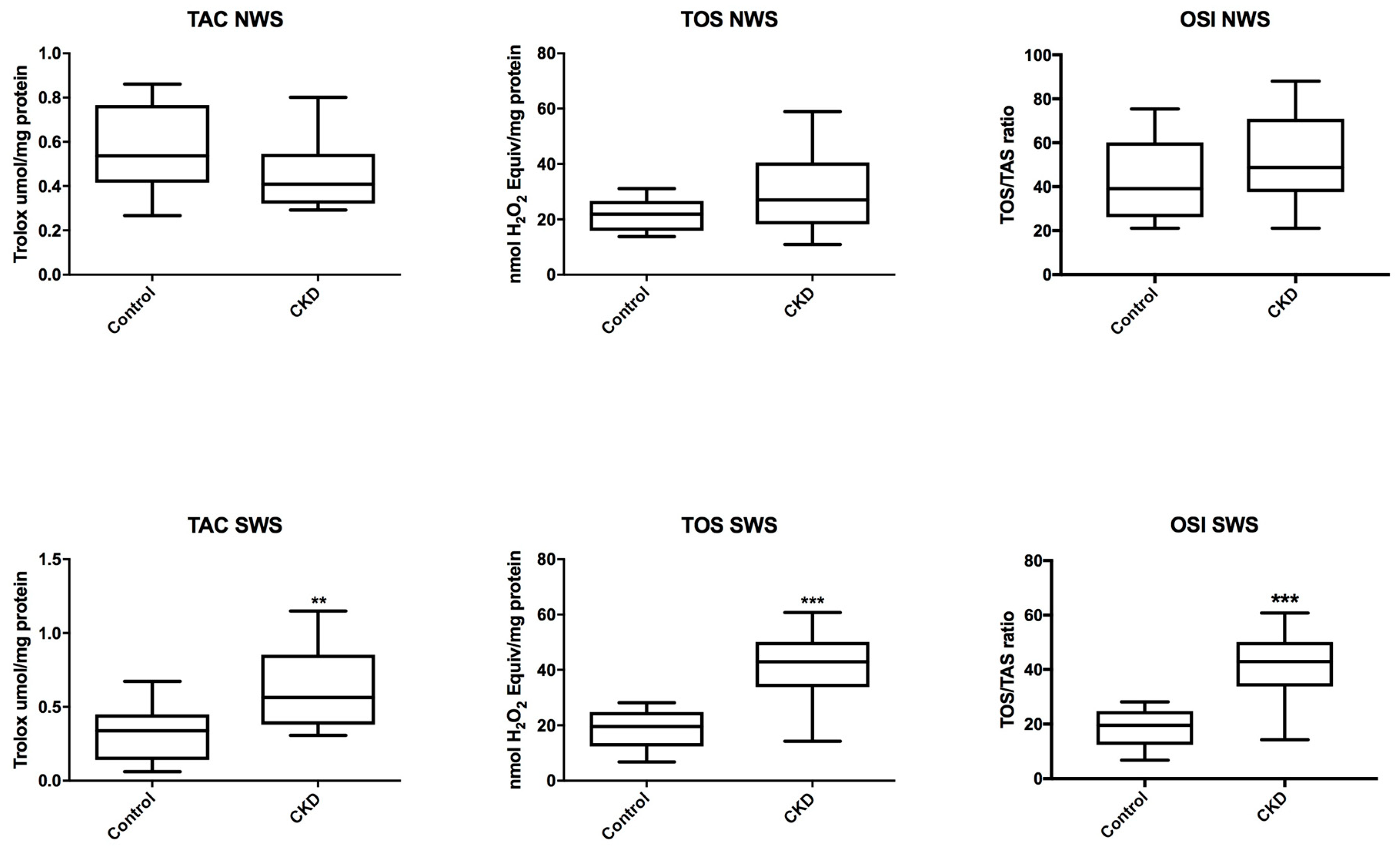
3.4. Total Antioxidant/Oxidant Status
3.5. Oxidative Modification Products
3.6. Erythrocytes and Plasma Redox Markers
3.7. Correlations
3.8. ROC Analysis
4. Discussion
5. Conclusions
Author Contributions
Funding
Conflicts of Interest
References
- Hill, N.R.; Fatoba, S.T.; Oke, J.L.; Hirst, J.A.; O’Callaghan, C.A.; Lasserson, D.S.; Hobbs, F.D. Global Prevalence of Chronic Kidney Disease—A Systematic Review and Meta-Analysis. PLoS ONE 2016, 11, e0158765. [Google Scholar] [CrossRef] [PubMed]
- Schwartz, G.J.; Muñoz, A.; Schneider, M.F.; Mak, R.H.; Kaskel, F.; Warady, B.A.; Furth, S.L. New Equations to Estimate GFR in Children with CKD. J. Am. Soc. Nephrol. 2009, 20, 629–637. [Google Scholar] [CrossRef] [PubMed]
- Harambat, J.; Van Stralen, K.J.; Kim, J.J.; Tizard, E.J. Epidemiology of chronic kidney disease in children. Pediatr. Nephrol. 2012, 27, 363–373. [Google Scholar] [CrossRef] [PubMed]
- Sung, C.C.; Hsu, Y.C.; Chen, C.C.; Lin, Y.F.; Wu, C.C. Oxidative Stress and Nucleic Acid Oxidation in Patients with Chronic Kidney Disease. Oxid. Med. Cell. Longev. 2013, 2013, 1–15. [Google Scholar] [CrossRef] [PubMed]
- Nakanishi, T.; Kuragano, T.; Nanami, M.; Nagasawa, Y.; Hasuike, Y. Misdistribution of Iron and Oxidative Stress in Chronic Kidney Disease. Free Radic. Biol. Med. 2018. [Google Scholar] [CrossRef] [PubMed]
- Sureshbabu, A.; Ryter, S.W.; Choi, M.E. Oxidative stress and autophagy: Crucial modulators of kidney injury. Redox Biol. 2015, 4, 208–214. [Google Scholar] [CrossRef] [PubMed]
- Maciejczyk, M.; Mikoluc, B.; Pietrucha, B.; Heropolitanska-Pliszka, E.; Pac, M.; Motkowski, R.; Car, H. Oxidative stress, mitochondrial abnormalities and antioxidant defense in Ataxia-telangiectasia, Bloom syndrome and Nijmegen breakage syndrome. Redox Biol. 2017, 11, 375–383. [Google Scholar] [CrossRef] [PubMed]
- Borys, J.; Maciejczyk, M.; Krȩtowski, A.J.; Antonowicz, B.; Ratajczak-Wrona, W.; Jablonska, E.; Zaleski, P.; Waszkiel, D.; Ladny, J.R.; Zukowski, P.; et al. The redox balance in erythrocytes, plasma, and periosteum of patients with titanium fixation of the jaw. Front. Physiol. 2017, 8, 386. [Google Scholar] [CrossRef] [PubMed]
- Beetham, K.S.; Howden, E.J.; Small, D.M.; Briskey, D.R.; Rossi, M.; Isbel, N.; Coombes, J.S. Oxidative stress contributes to muscle atrophy in chronic kidney disease patients. Redox Rep. 2015, 20, 126–132. [Google Scholar] [CrossRef] [PubMed]
- Tothova, L.; Kamodyova, N.; Cervenka, T.; Celec, P. Salivary markers of oxidative stress in oral diseases. Front. Cell. Infect. Microbiol. 2015, 5, 73. [Google Scholar] [CrossRef] [PubMed]
- Wang, J.; Schipper, H.M.; Velly, A.M.; Mohit, S.; Gornitsky, M. Salivary biomarkers of oxidative stress: A critical review. Free Radic. Biol. Med. 2015, 85, 95–104. [Google Scholar] [CrossRef] [PubMed]
- Kołodziej, U.; Maciejczyk, M.; Niklińska, W.; Waszkiel, D.; Żendzian-Piotrowska, M.; Żukowski, P.; Zalewska, A. Chronic high-protein diet induces oxidative stress and alters the salivary gland function in rats. Arch. Oral Biol. 2017, 84, 6–12. [Google Scholar] [CrossRef] [PubMed]
- Knaś, M.; Maciejczyk, M.; Sawicka, K.; Hady, H.R.; Niczyporuk, M.; Ładny, J.R.; Matczuk, J.; Waszkiel, D.; Żendzian-Piotrowska, M.; Zalewska, A. Impact of morbid obesity and bariatric surgery on antioxidant/oxidant balance of the unstimulated and stimulated human saliva. J. Oral Pathol. Med. 2016, 45, 455–464. [Google Scholar] [CrossRef] [PubMed]
- Knaś, M.; Maciejczyk, M.; Daniszewska, I.; Klimiuk, A.; Matczuk, J.; Kołodziej, U.; Waszkiel, D.; Ładny, J.R.; Zendzian-Piotrowska, M.; Zalewska, A. Oxidative Damage to the Salivary Glands of Rats with Streptozotocin-Induced Diabetes-Temporal Study: Oxidative Stress and Diabetic Salivary Glands. J. Diabetes Res. 2016, 2016. [Google Scholar] [CrossRef] [PubMed]
- Choromańska, M.; Klimiuk, A.; Kostecka-Sochoń, P.; Wilczyńska, K.; Kwiatkowski, M.; Okuniewska, N.; Waszkiewicz, N.; Zalewska, A.; Maciejczyk, M. Antioxidant defence, oxidative stress and oxidative damage in saliva, plasma and erythrocytes of dementia patients. Can salivary AGE be a marker of dementia? Int. J. Mol. Sci. 2017, 18, 2205. [Google Scholar] [CrossRef] [PubMed]
- NIH. The Fourth Report on the Diagnosis, Evaluation, and Treatment of High Blood Pressure in Children and Adolescents. Natl. Institutes Heal. 2005, 05–5267, 1–60. [Google Scholar] [CrossRef]
- National Kidney Foundation. K/DOQI clinical practice guidelines for chronic kidney disease: Evaluation, classification, and stratification. Am. J. Kidney Dis. 2002, 39, 1–266. [Google Scholar]
- Fejfer, K.; Buczko, P.; Niczyporuk, M.; Ładny, J.R.; Hady, R.H.; Knaś, M.; Waszkiel, D.; Klimiuk, A.; Zalewska, A.; Maciejczyk, M. Oxidative Modification of Biomolecules in the Nonstimulated and Stimulated Saliva of Patients with Morbid Obesity Treated with Bariatric Surgery. Biomed Res. Int. 2017, 2017. [Google Scholar] [CrossRef] [PubMed]
- World Health Organization. Oral Health Surveys: Basic Methods, 5th ed.; World Health Organization: Geneva, Switzerland, 2013. [Google Scholar]
- Silness, J.; Löe, H. Periodontal disease in pregnancy II. Correlation between oral hygiene and periodontal condition. Acta Odontol. Scand. 1964, 22, 121–135. [Google Scholar] [CrossRef] [PubMed]
- Borys, J.; Maciejczyk, M.; Antonowicz, B.; Krętowski, A.; Waszkiel, D.; Bortnik, P.; Czarniecka-Bargłowska, K.; Kocisz, M.; Szulimowska, J.; Czajkowski, M.; et al. Exposure to Ti4Al4V Titanium Alloy Leads to Redox Abnormalities, Oxidative Stress, and Oxidative Damage in Patients Treated for Mandible Fractures. Oxid. Med. Cell. Longev. 2018, 10. [Google Scholar] [CrossRef] [PubMed]
- Aebi, H. Catalase in vitro. Meth. Enzymol. 1984, 105, 121–126. [Google Scholar] [PubMed]
- Mansson-Rahemtulla, B.; Baldone, D.C.; Pruitt, K.M.; Rahemtulla, F. Specific assays for peroxidases in human saliva. Arch. Oral Biol. 1986, 31, 661–668. [Google Scholar] [CrossRef]
- Misra, H.P.; Fridovich, I. The role of superoxide anion in the autoxidation of epinephrine and a simple assay for superoxide dismutase. J. Biol. Chem. 1972, 247, 3170–3175. [Google Scholar] [PubMed]
- Griffith, O.W. Determination of glutathione and glutathione disulfide using glutathione reductase and 2-vinylpyridine. Anal. Biochem. 1980, 106, 207–212. [Google Scholar] [CrossRef]
- Doumas, B.T.; Watson, W.A.; Biggs, H.G. Albumin standards and the measurement of serum albumin with bromcresol green. Clin. Chim. Acta 1971, 31, 87–96. [Google Scholar] [CrossRef]
- Erel, O. A novel automated direct measurement method for total antioxidant capacity using a new generation, more stable ABTS radical cation. Clin. Biochem. 2004, 37, 277–285. [Google Scholar] [CrossRef] [PubMed]
- Erel, O. A new automated colorimetric method for measuring total oxidant status. Clin. Biochem. 2005, 38, 1103–1111. [Google Scholar] [CrossRef] [PubMed]
- Kalousová, M.; Skrha, J.; Zima, T. Advanced glycation end-products and advanced oxidation protein products in patients with diabetes mellitus. Physiol. Res. 2002, 51, 597–604. [Google Scholar] [PubMed]
- Buege, J.A.; Aust, S.D. Microsomal lipid peroxidation. Methods Enzymol. 1978, 52, 302–310. [Google Scholar] [PubMed]
- Kolodziej, U.; Maciejczyk, M.; Miasko, A.; Matczuk, J.; Knas, M.; Zukowski, P.; Zendzian-Piotrowska, M.; Borys, J.; Zalewska, A. Oxidative modification in the salivary glands of high fat-diet induced insulin resistant rats. Front. Physiol. 2017, 8, 20. [Google Scholar] [CrossRef] [PubMed]
- Maciejczyk, M.; Kossakowska, A.; Szulimowska, J.; Klimiuk, A.; Knaś, M.; Car, H.; Niklińska, W.; Ładny, J.R.; Chabowski, A.; Zalewska, A. Lysosomal Exoglycosidase Profile and Secretory Function in the Salivary Glands of Rats with Streptozotocin-Induced Diabetes. J. Diabetes Res. 2017, 2017. [Google Scholar] [CrossRef] [PubMed]
- Zalewska, A.; Knaś, M.; Maciejczyk, M.; Waszkiewicz, N.; Klimiuk, A.; Choromańska, M.; Matczuk, J.; Waszkiel, D.; Car, H. Antioxidant profile, carbonyl and lipid oxidation markers in the parotid and submandibular glands of rats in different periods of streptozotocin induced diabetes. Arch. Oral Biol. 2015, 60, 1375–1386. [Google Scholar] [CrossRef] [PubMed]
- Zhang, C.Z.; Cheng, X.Q.; Li, J.Y.; Zhang, P.; Yi, P.; Xu, X.; Zhou, X.D. Saliva in the diagnosis of diseases. Int. J. Oral Sci. 2016, 8, 133–137. [Google Scholar] [CrossRef] [PubMed]
- Witko-Sarsat, V.; Friedlander, M.; Capeillère-Blandin, C.; Nguyen-Khoa, T.; Nguyen, A.T.; Zingraff, J.; Jungers, P.; Descamps-Latscha, B. Advanced oxidation protein products as a novel marker of oxidative stress in uremia. Kidney Int. 1996, 49, 1304–1313. [Google Scholar] [CrossRef] [PubMed]
- Falkowski, M.; Maciejczyk, M.; Koprowicz, T.; Mikołuć, B.; Milewska, A.; Zalewska, A.; Car, H. Whey Protein Concentrate WPC-80 Improves Antioxidant Defense Systems in the Salivary Glands of 14-Month Wistar Rats. Nutrients 2018, 10, 782. [Google Scholar] [CrossRef] [PubMed]
- Gersch, C.; Palii, S.P.; Imaram, W.; Kim, K.M.; Karumanchi, S.A.; Angerhofer, A.; Johnson, R.J.; Henderson, G.N. Reactions of peroxynitrite with uric acid: Formation of reactive intermediates, alkylated products and triuret, and in vivo production of triuret under conditions of oxidative stress. Nucleos. Nucleot. Nucl. 2009, 28, 118–149. [Google Scholar] [CrossRef] [PubMed]
- Sautin, Y.Y.; Johnson, R.J. Uric acid: The oxidant-antioxidant paradox. Nucleos. Nucleot. Nucl. 2008, 27, 608–619. [Google Scholar] [CrossRef] [PubMed]
- Lytvyn, Y.; Perkins, B.A.; Cherney, D.Z.I. Uric Acid as a Biomarker and a Therapeutic Target in Diabetes. Can. J. Diabetes 2015, 39, 239–246. [Google Scholar] [CrossRef] [PubMed]
- Kang, D.H.; Nakagawa, T. Uric acid and chronic renal disease: Possible implication of hyperuricemia on progression of renal disease. Semin. Nephrol. 2005, 25, 43–49. [Google Scholar] [CrossRef] [PubMed]
- Giordano, C.; Karasik, O.; King-Morris, K.; Asmar, A. Uric Acid as a Marker of Kidney Disease: Review of the Current Literature. Dis. Markers 2015, 2015. [Google Scholar] [CrossRef] [PubMed]
- Kim, I.Y.; Lee, D.W.; Lee, S.B.; Kwak, I.S. The role of uric acid in kidney fibrosis: Experimental evidences for the causal relationship. Biomed Res. Int. 2014, 2014. [Google Scholar] [CrossRef] [PubMed]
- Tsai, C.W.; Lin, S.Y.; Kuo, C.C.; Huang, C.C. Serum Uric Acid and Progression of Kidney Disease: A Longitudinal Analysis and Mini-Review. PLoS ONE 2017, 12, e0170393. [Google Scholar] [CrossRef] [PubMed]
- Feng, W.; Zhang, K.; Liu, Y.; Chen, J.; Cai, Q.; He, W.H.; Zhang, Y.; Wang, M.H.; Wang, J.; Huang, H. Advanced oxidation protein products aggravate cardiac remodeling via cardiomyocyte apoptosis in chronic kidney disease. Am. J. Physiol. Heart Circ. Physiol. 2017, 314, 475–483. [Google Scholar] [CrossRef] [PubMed]
- Li, H.Y.; Hou, F.F.; Zhang, X.; Chen, P.Y.; Liu, S.X.; Feng, J.X.; Liu, Z.Q.; Shan, Y.X.; Wang, G.B.; Zhou, Z.M.; et al. Advanced Oxidation Protein Products Accelerate Renal Fibrosis in a Remnant Kidney Model. J. Am. Soc. Nephrol. 2007, 18, 528–538. [Google Scholar] [CrossRef] [PubMed]
- Liu, Y. Advanced oxidation protein products: A causative link between oxidative stress and podocyte depletion. Kidney Int. 2009, 76, 1125–1127. [Google Scholar] [CrossRef] [PubMed]
- Zhou, L.L.; Hou, F.F.; Wang, G.B.; Yang, F.; Xie, D.; Wang, Y.P.; Tian, J.W. Accumulation of advanced oxidation protein products induces podocyte apoptosis and deletion through NADPH-dependent mechanisms. Kidney Int. 2009, 76, 1148–1160. [Google Scholar] [CrossRef] [PubMed]
- Ott, C.; Jacobs, K.; Haucke, E.; Navarrete Santos, A.; Grune, T.; Simm, A. Role of advanced glycation end products in cellular signaling. Redox Biol. 2014, 2, 411–429. [Google Scholar] [CrossRef] [PubMed]
- Zhou, L.L.; Cao, W.; Xie, C.; Tian, J.; Zhou, Z.; Zhou, Q.; Zhu, P.; Li, A.; Liu, Y.; Miyata, T.; et al. The receptor of advanced glycation end products plays a central role in advanced oxidation protein products-induced podocyte apoptosis. Kidney Int. 2012, 82, 759–770. [Google Scholar] [CrossRef] [PubMed]
- Wolff, A.; Stark, H.; Sarnat, H.; Binderman, I.; Eisenstein, B.; Drukker, A. The dental status of children with chronic renal failure. Int. J. Pediatr. Nephrol. 1985, 6, 127–132. [Google Scholar] [PubMed]





| Patient Characteristic | Stage 1 | Stage 2 | Stage 3 | Stage 4 | Stage 5 | All CKD Patients | Control Group | |
|---|---|---|---|---|---|---|---|---|
| Sex | Male n | 1 | 5 | 5 | 2 | 4 | 17 | 17 |
| Female n | 2 | 3 | 2 | 1 | 1 | 9 | 9 | |
| Age | 16.75 (9.25–17.75) | 14.03 (9.25–18.00) | 11.50 (7.25–15.50) | 13.00 (9.25–14.50) | 10.50 (6.50–17.80) | 12.90 (6.50–18.00) | 12.90 (6.50–18.00) | |
| Weight (kg) | 53.00 (36.80–59.00) | 51.25 (23.90–75.00) | 34.00 (25.50–49.50) | 22.70 (22.00–39.00) | 26.00 (19.30–60.00) | 34.30 (19.30–75.00) | 37.30 (19.00–71.00) | |
| Height (cm) | 161.50 (135.50–166.00) | 154.50 (126.00–168.00) | 131.50 (114.50–163.00) | 129.00 (125.00–150.00) | 130.00 (102.00–164.00) | 136.80 (102.00–168.00) | 135.20 (100.00–173.00) | |
| Systolic BP (mmHg) | 112.00 (97.00–136.00) | 116.50 (101.00–140.00) | 117.00 (96.00–125.00) | 112.00 (109.00–116.00) | 111.00 (108.00–139.00) | 114.00 (96.00–140.00) | 106.00 (100.00–120.00) | |
| Diastolic BP (mmHg) | 68.00 (63.00–80.00) | 67.00 (56.00–80.00) | 73.00 (60.00–77.00) | 75.00 (74.00–77.00) | 80.00 (64.00–94.00) | 73.50 (56.00–94.00) | 69.00 (55.00–77.00) | |
| Hypertension n | 1 | 1 | 2 | 1 | 3 | 8 | 0 | |
| Dialysis n | 0 | 0 | 0 | 1 | 5 | 6 | 0 | |
| Albuminuria (mg/24 h) | 9.15 (8.71–10.62) | 11.18 (8.40–135.10) | 238.50 (150.20–310.90) | 345.50 (238.50–626.40) | 1002.00 (750.20–1576.00) | 150.20 (8.40–1576.00) * | 7.15 (5.15–9.23) | |
| Proteinuria (mg/24 h) | 91.50 (84.00–99.00) | 191.50 (99.00–1109.00) | 123.70 (48.30–1886.00) | 1172.00 (686.00–1411.00) | 1428.00 (1172.00–1882.00) | 192.50 (48.30–1886.00) * | 55.50 (25.15–89.00) | |
| eGFR (mL/min/1.73 m2) | 113.90 (93.20–172.70) | 76.50 (64.18–89.40) | 41.60 (27.90–52.20) | 15.30 (15.50–17.90) | 11.60 (10.50–13.90) | 51.39 (10.50–172.70) * | 120.00 (110.00–180.00) | |
| Serum Cr (mg/dL) | 0.95 (0.43–1.02) | 0.97 (0.75–1.66) | 1.66 (1.22–2.66) | 4.03 (2.66–4.11) | 7.23 (6.16–8.93) | 1.59 (1.43–8.93) * | 0.55 (0.30–0.65) | |
| Serum Urea (mg/dL) | 29.00 (18.00–54.00) | 51.50 (26.00–130.00) | 58.00 (26.00–141.00) | 114.00 (93.00–141.00) | 157.00 (108.00–192.00) | 62.50 (18.00–192.00) * | 15.00 (13.50–36.00) | |
| Hemoglobin (g/dL) | 13.00 (11.70–16.10) | 13.55 (10.60–16.70) | 11.50 (10.60–15.70) | 10.50 (10.40–10.90) | 11.70 (9.20–13.00) | 11.70 (9.20–16.70) | 14.10 (13.20–15.00) | |
| Hematocrit (%) | 38.00 (36.60–47.50) | 38.00 (31.50–48.70) | 36.20 (29.70–40.80) | 31.00 (35.50–31.70) | 35.30 (26.00–38.70) | 36.35 (26.00–48.70) | 39.00 (35.5–45.00) | |
| Iron (µg/dL) | 28.50 (22.00–35.00) | 84.00 (22.00–132.00) | 57.00 (40.00–105.00) | 82.00 (80.00–90.00) | 89.00 (67.00–161.00) | 82.00 (22.00–161.00) | 79.00 (43.00–154.00) | |
| Ferritin (ng/mL) | 32.55 (25.00–40.10) | 40.10 (26.32–264.80) | 63.12 (11.63–291.60) | 291.60 (12.84–332.60) | 320.20 (33.12–386.70) | 53.26 (11.63–386.70) * | 25.5 (17.00–34.00) | |
| ALP (U/L) | 67.00 (64.00–197.00) | 201.00 (64.00–346.00) | 188.50 (124.00–284.00) | 160.00 (72.00–487.00) | 196.00 (106.00–531.00) | 188.50 (64.00–531.00) * | 45.5 (20.00–85.00) | |
| Ca2+ (mmol/L) | 2.47 (2.41–2.61) | 2.40 (1.95–2.61) | 2.45 (2.18–264) | 2.35 (2.34–2.40) | 2.48 (2.30–2.67) | 2.41 (1.95–2.67) | 2.30 (2.20–2.55) | |
| PTH (pg/mL) | 36.10 (33.40–64.20) | 47.00 (24.30–117.00) | 50.90 (34.10–123.80) | 34.70 (24.10–125.50) | 84.00 (27.00–121.00) | 52.90 (24.10–125.50) * | 36.00 (8.52–51.50) | |
| Drugs | iron n | 1 | 1 | 2 | 1 | 2 | 7 | 0 |
| loop diuretics n | 0 | 2 | 2 | 2 | 3 | 9 | 0 | |
| ACEI n | 1 | 1 | 2 | 1 | 2 | 7 | 0 | |
| β-blockers n | 0 | 1 | 1 | 1 | 2 | 5 | 0 | |
| CCB n | 0 | 0 | 0 | 0 | 1 | 1 | 0 | |
| Characteristic | Control n = 25 | CKD n = 25 |
|---|---|---|
| DMFT | 4.00 (0.00–6.00) | 4.00 (0.00–8.00) |
| SBI | 0.00 (0.00–0.05) | 0.00 (0.00–0.05) |
| GI | 0.00 (0.00–0.05) | 0.00 (0.00–0.05) |
| API | 5.00 (10.00–18.00) | 6.00 (12.00–19.00) |
| Parameter | NWS | SWS | ||
|---|---|---|---|---|
| Control n = 25 | Study Group n = 25 | Control n = 25 | Study Group n = 25 | |
| Salivary flow (μL/min) | 0.43 (0.33–0.33) | 0.25 (0.10–0.50) * | 1.40 (1.00–1.90) | 0.80 (0.20–1.60) * |
| Total protein (μg/mL) | 1759.00 (1103.00–2753.00) | 1248.00 (797.70–2768.00) | 1741.00 (1482.00–3193.00) | 1001.00 (654.70–2477.00) * |
| Salivary amylase (μmol/mg protein) | 0.23 (0.16–0.41) | 0.07 (0.02–0.17) * | 0.25 (0.12–0.81) | 0.20 (0.07–0.47) * |
| Salivary pH | 7.56 (7.12–7.94) | 7.77 (7.32–8.21) | 7.22 (6.26–7.90) | 7.40 (5.35–8.18) |
| Parameter | Control | CKD | P |
|---|---|---|---|
| Non-enzymatic antioxidants | |||
| UA (μg/mg protein) | 0.52 (0.27–1.39) | 5.05 (3.80–6.92) | <0.0001 |
| GSH (μg/mg protein) | 3.67 (2.01–5.77) | 1.23 (0.37–4.12) | 0.0056 |
| Albumin (mg/mg protein) | 2.19 (1.03–3.26) | 2.71 (2.06–4.50) | 0.0241 |
| Enzymatic antioxidants | |||
| CAT (nmol H2O2/min/mg protein) | 0.28 (0.04–0.66) | 0.24 (0.05–0.87) | 0.8032 |
| Px (mU/mg protein) | 0.28 (0.22–0.44) | 0.32 (0.26–0.65) | 0.1101 |
| SOD (mU/mg protein) | 0.05 (0.02–0.13) | 0.09 (0.02–0.12) | 0.0235 |
| Total antioxidant/oxidant status | |||
| TAC (Trolox μmol/mg protein) | 0.11 (0.01–0.44) | 0.35 (0.03–1.52) | 0.0012 |
| TOS (nmol H2O2Equiv/mg protein) | 9.99 (4.54–21.82) | 13.98 (6.76–25.04) | 0.2703 |
| OSI (TOS/TAC ratio) | 33.97 (13.15–405.8) | 81.67 (22.16–389.2) | 0.0122 |
| Oxidative damage products | |||
| AGE (fluorescence/mg protein) | 0.74 (0.36–1.13) | 1.23 (0.73–1.90) | <0.0001 |
| AOPP (nmol/mg protein) | 5.26 (2.68–12.17) | 10.50 (6.49–19.83) | <0.0001 |
| MDA (μmol/mg protein) | 207.20 (109.30–327.00) | 267.40 (151.00–611.20) | 0.0387 |
| Pair of Variable | r | P |
|---|---|---|
| NWS GSH & Albuminuria | 0.872 | 0.011 |
| NWS GSH & Serum Urea | 0.600 | 0.018 |
| NWS AOPP & eGFR | −0.646 | 0.007 |
| SWS UA & eGFR | −0.567 | 0.018 |
| SWS UA & Proteinuria | 0.576 | 0.015 |
| SWS UA & ALP | 0.632 | 0.010 |
| SWS Albumin & eGFR | −0.552 | 0.027 |
| SWS Albumin & Proteinuria | 0.625 | 0.010 |
| SWS MDA & PTH | −0.554 | 0.023 |
| SWS AOPP & eGFR | −0.552 | 0.005 |
| SWS AOPP & Proteinuria | 0.490 | 0.015 |
| SWS AOPP & Serum Urea | 0.561 | 0.004 |
| Pairs of Variable | r | P |
|---|---|---|
| Control group | ||
| NWS UA & plasma UA | 0.436 | 0.016 |
| NWS albumin & plasma albumin | 0.682 | 0.010 |
| NWS AOPP & plasma AOPP | 0.591 | 0.010 |
| SWS AOPP & plasma AOPP | 0.495 | 0.029 |
| CKD children | ||
| NWS UA & plasma UA | 0.668 | 0.005 |
| NWS albumin & plasma albumin | 0.566 | 0.018 |
| SWS albumin & plasma albumin | 0.483 | 0.015 |
| NWS TAC & plasma TAC | 0.633 | 0.004 |
| SWS TOS & plasma TOS | 0.531 | 0.023 |
| NWS AOPP & plasma AOPP | 0.665 | 0.015 |
| SWS AOPP & plasma AOPP | 0.550 | 0.004 |
| NWS MDA & plasma MDA | 0.518 | 0.016 |
| Parameter | NWS | SWS | ||||||||
|---|---|---|---|---|---|---|---|---|---|---|
| AUC | P Value | Cutt-Off | Sensitivity (%) | Specificity (%) | AUC | P Value | Cutt-Off | Sensitivity (%) | Specificity (%) | |
| Non-enzymatic antioxidants | ||||||||||
| UA (μg/mg protein) | 0.82 | 0.0040 | >4.03 | 64.71 | 66.67 | 0.93 | <0.0001 | >7.30 | 88.24 | 92.31 |
| GSH (μg/mg protein) | 0.75 | 0.0282 | <1.42 | 66.67 | 66.67 | 0.84 | 0.0025 | <1.26 | 80.00 | 83.33 |
| Albumin (mg/mg protein) | 0.79 | 0.0094 | >1.55 | 81.25 | 83.33 | 0.94 | 0.0002 | >1.55 | 93.33 | 90.91 |
| Enzymatic antioxidants | ||||||||||
| CAT (nmol H2O2/min/mg protein) | 0.52 | 0.8823 | >0.83 | 50.00 | 54.55 | 0.58 | 0.4472 | <0.54 | 60.00 | 61.54 |
| Px (mU/mg protein) | 0.61 | 0.3097 | <0.42 | 61.11 | 66.67 | 0.86 | 0.0007 | >0.47 | 83.33 | 84.62 |
| SOD (mU/mg protein) | 0.79 | 0.0160 | >0.31 | 71.43 | 72.73 | 0.74 | 0.0250 | >0.14 | 72.22 | 69.23 |
| Total antioxidant/oxidant status | ||||||||||
| TAC (Trolox μmol/mg protein) | 0.68 | 0.1074 | <0.51 | 66.67 | 66.67 | 0.81 | 0.0050 | >0.42 | 75.00 | 76.92 |
| TOS (nmol H2O2Equiv/mg protein) | 0.66 | 0.1385 | >23.26 | 55.56 | 58.33 | 0.95 | <0.0001 | >25.90 | 88.89 | 84.62 |
| OSI (TOS/TAC ratio) | 0.59 | 0.46 | >48.82 | 50.00 | 54.55 | 0.95 | < 0.0001 | >27.20 | 88.89 | 92.31 |
| Oxidative damage products | ||||||||||
| AGE (fluorescence/mg protein) | 0.75 | 0.0223 | >1.98 | 77.78 | 75.00 | 0.91 | 0.0001 | >2.08 | 88.89 | 92.31 |
| AOPP (nmol/mg protein) | 0.92 | 0.0003 | >37.85 | 81.25 | 81.82 | 0.98 | <0.0001 | >25.58 | 92.00 | 92.31 |
| MDA (μmol/mg protein) | 0.86 | 0.0006 | >100.10 | 77.78 | 75.00 | 0.95 | <0.0001 | > 100.00 | 83.33 | 84,62 |
© 2018 by the authors. Licensee MDPI, Basel, Switzerland. This article is an open access article distributed under the terms and conditions of the Creative Commons Attribution (CC BY) license (http://creativecommons.org/licenses/by/4.0/).
Share and Cite
Maciejczyk, M.; Szulimowska, J.; Skutnik, A.; Taranta-Janusz, K.; Wasilewska, A.; Wiśniewska, N.; Zalewska, A. Salivary Biomarkers of Oxidative Stress in Children with Chronic Kidney Disease. J. Clin. Med. 2018, 7, 209. https://doi.org/10.3390/jcm7080209
Maciejczyk M, Szulimowska J, Skutnik A, Taranta-Janusz K, Wasilewska A, Wiśniewska N, Zalewska A. Salivary Biomarkers of Oxidative Stress in Children with Chronic Kidney Disease. Journal of Clinical Medicine. 2018; 7(8):209. https://doi.org/10.3390/jcm7080209
Chicago/Turabian StyleMaciejczyk, Mateusz, Julita Szulimowska, Anna Skutnik, Katarzyna Taranta-Janusz, Anna Wasilewska, Natalia Wiśniewska, and Anna Zalewska. 2018. "Salivary Biomarkers of Oxidative Stress in Children with Chronic Kidney Disease" Journal of Clinical Medicine 7, no. 8: 209. https://doi.org/10.3390/jcm7080209
APA StyleMaciejczyk, M., Szulimowska, J., Skutnik, A., Taranta-Janusz, K., Wasilewska, A., Wiśniewska, N., & Zalewska, A. (2018). Salivary Biomarkers of Oxidative Stress in Children with Chronic Kidney Disease. Journal of Clinical Medicine, 7(8), 209. https://doi.org/10.3390/jcm7080209

