Association between Modified Body Mass Index and 30-Day and 1-Year Mortality after Intensive Care Unit Admission: A Retrospective Cohort Study
Abstract
:1. Introduction
2. Materials and Methods
2.1. Definition of mBMI
2.2. Data Collection and Outcome
2.3. Statistical Analysis
3. Results
3.1. Relationships between 30-Day Mortality, 1-Year Mortality and the Prognostic Variables (cBMI, mBMI, and Albumin)
3.2. Risks of 30-Day and 1-Year Mortality after ICU Admission According to cBMI, mBMI, and Albumin Values
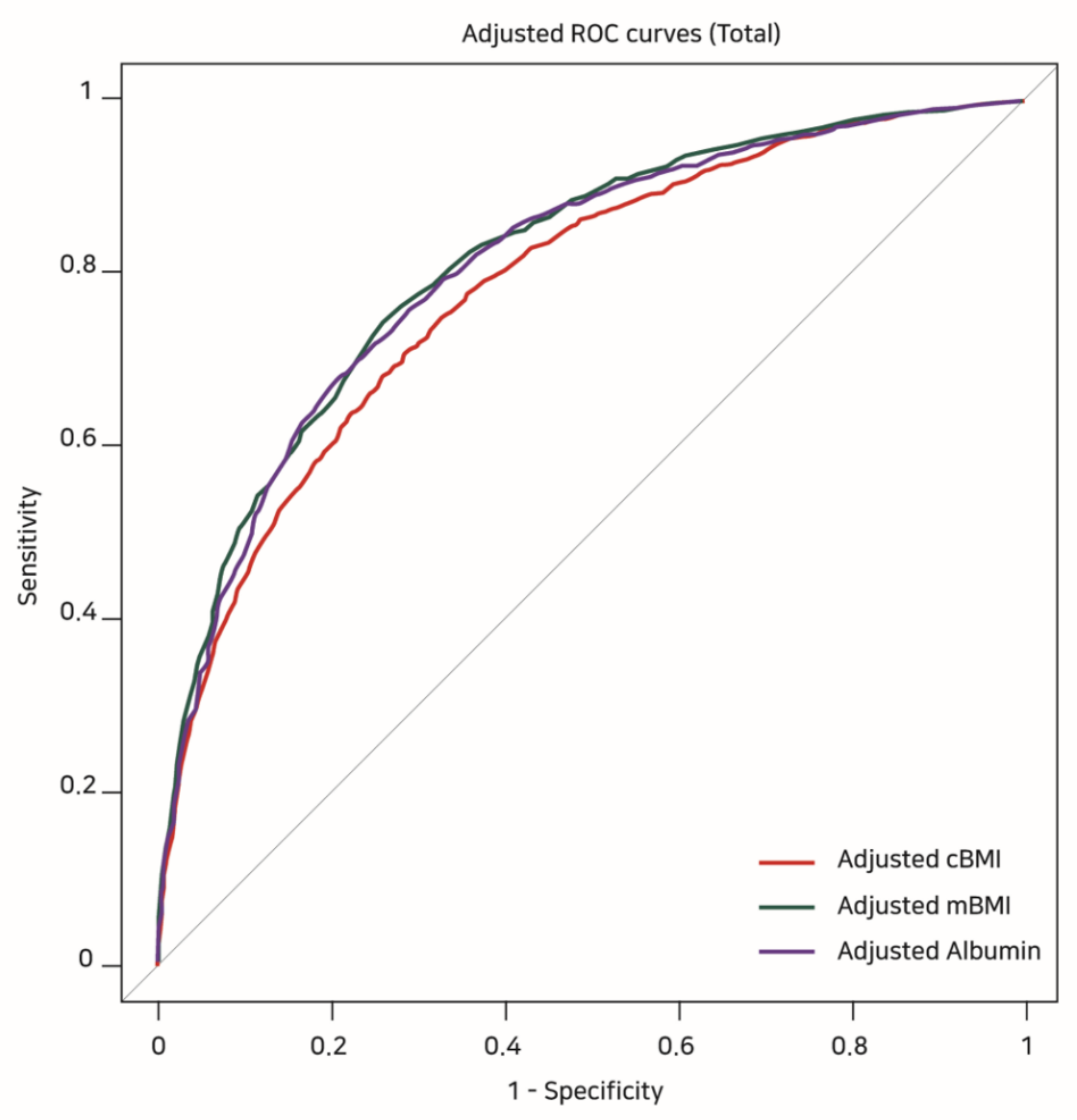
3.3. Covariate-Adjusted ROC Analysis of 1-Year Mortality According to the Prognostic Variables (cBMI, mBMI, and Albumin)
4. Discussion
Acknowledgments
Author Contributions
Conflicts of Interest
Appendix A
| Variable | Death (n = 482) | Survival (n = 5687) | p-Value | Hazard Ratio (95% CI) | p-Value * |
|---|---|---|---|---|---|
| Sex: Male | 321 (66.6%) | 3398 (59.8%) | 0.003 | 1.321 (1.093–1.596) | 0.004 |
| Age (year) | 70.5 (61.0–78.0) | 66.0(53.0–75.0) | <0.001 | 1.021 (1.015–1.028) | <0.001 |
| Admission Department: IM | 234 (48.5%) | 836 (14.7%) | <0.001 | 4.728 (3.954–5.654) | <0.001 |
| Postoperative Admission | 318 (66.0%) | 4545 (79.9%) | <0.001 | 0.513 (0.425–0.619) | <0.001 |
| cBMI (kg/m2) | 22.9(20.1–25.6) | 24.2(21.8–26.6) | <0.001 | ||
| Q1 < 21.7 | 1 | ||||
| 21.7 ≤ Q2 ≤ 24.1 | 0.722 (0.575–0.907) | 0.005 | |||
| 24.1 ≤ Q3 ≤ 26.6 | 0.473 (0.365–0.613) | <0.001 | |||
| Q4 > 26.6 | 0.530 (0.413–0.681) | <0.001 | |||
| mBMI | 583.0(484.0–705.3) | 24.2(21.8–26.6) | <0.001 | ||
| Q1 < 636.0 | 1 | ||||
| 636.0 ≤ Q2 ≤ 759.0 | 0.369 (0.296–0.460) | <0.001 | |||
| 759.0 ≤ Q3 ≤ 884.0 | 0.171 (0.127–0.231) | <0.001 | |||
| Q4 > 884.0 | 0.120 (0.085–0.170) | <0.001 | |||
| Albumin (g/dL) | 2.6(2.3–2.9) | 3.2(2.9–3.5) | <0.001 | ||
| Q1 < 2.8 | 1 | ||||
| 2.8 ≤ Q2 ≤ 3.2 | 0.266 (0.213–0.332) | <0.001 | |||
| 3.2 ≤ Q3 ≤ 3.5 | 0.115 (0.079–0.332) | <0.001 | |||
| Q4 > 3.5 | 0.069 (0.043–0.109) | <0.001 | |||
| Length of Hospital stay | 24.0(12.0–42.0) | 15.0(10.0–27.0) | <0.001 | ||
| Length of ICU stay | 6.0(2.0–15.0) | 2.0(2.0–3.0) | <0.001 | ||
| APACHE II score | 28.0(22.0–34.0) | 18.0(15.0–25.0) | <0.001 | ||
| Hypertension | 60 (12.4%) | 463 (8.1%) | 0.001 | ||
| Diabetes Mellitus | 31 (6.4%) | 220 (3.95) | 0.006 | ||
| History of IHD | 12 (2.5%) | 83 (1.5%) | 0.078 | ||
| Liver Disease | 7 (1.5%) | 37 (0.7%) | 0.045 | ||
| Cancer | 120 (24.9%) | 1214 (21.3%) | 0.069 |
| Variable | Death (n = 1169) | Survival (n = 5000) | p-Value | Hazard Ratio (95% CI) | p-Value * |
|---|---|---|---|---|---|
| Sex: Male | 771 (66.0%) | 2948 (59.0%) | <0.001 | 1.306 (1.158–1.474) | <0.001 |
| Age (year) | 72.0 (62.0–79.0) | 65.0 (52.0–74.0) | <0.001 | 1.032 (1.027–1.036) | <0.001 |
| Admission Department: IM | 448 (38.3%) | 622 (12.4%) | <0.001 | 3.627 (3.223–4.082) | <0.001 |
| Postoperative Admission | 783 (67.0%) | 4080 (81.6%) | <0.001 | 0.501 (0.444–0.566) | <0.001 |
| cBMI (kg/m2) | 22.4 (19.8–25.0) | 24.4 (22.1–26.8) | <0.001 | ||
| Q1 < 21.7 | 1 | ||||
| 21.7 ≤ Q2 ≤ 24.1 | 0.581 (0.503–0.672) | <0.001 | |||
| 24.1 ≤ Q3 ≤ 26.6 | 0.397 (0.338–0.467) | <0.001 | |||
| Q4 > 26.6 | 0.337 (0.284–0.401) | <0.001 | |||
| mBMI | 617.0 (515.5–735.0) | 787.0 (674.0–904.8) | <0.001 | ||
| Q1 < 636.0 | 1 | ||||
| 636.0 ≤ Q2 ≤ 759.0 | 0.399 (0.347–0.459) | <0.001 | |||
| 759.0 ≤ Q3 ≤ 884.0 | 0.203 (0.170–0.242) | <0.001 | |||
| Q4 > 884.0 | 0.124 (0.100–0.154) | <0.001 | |||
| Albumin (g/dL) | 2.8 (2.5–3. ) | 3.2 (2.9–3.6) | <0.001 | ||
| Q1 < 2.8 | 1 | ||||
| 2.8 ≤ Q2 ≤ 3.2 | 0.395 (0.346–0.451) | <0.001 | |||
| 3.2 ≤ Q3 ≤ 3.5 | 0.188 (0.154–0.230) | <0.001 | |||
| Q4 > 3.5 | 0.119 (0.094–0.151) | <0.001 | |||
| Length of Hospital stay | 25.0 (14.0–45.0) | 15.0 (10.0–25.0) | <0.001 | ||
| Length of ICU stay | 3.0 (2.0–8.0) | 2.0 (2.0–3.0) | <0.001 | ||
| APACHE II score | 24.0 (19.0–30.0) | 18.0 (15.0–24.0) | <0.001 | 1.072 (1.065–1.079) | <0.001 |
| Hypertension | 134 (11.5%) | 389 (7.8%) | <0.001 | 1.465 (1.224–1.754) | <0.001 |
| Diabetes Mellitus | 76 (6.5%) | 175 (3.5%) | <0.001 | 1.781 (1.412–2.247) | <0.001 |
| History of IHD | 29 (2.5%) | 66 (1.3%) | 0.004 | 1.732 (1.198–2.504) | 0.003 |
| Liver Disease | 15 (1.3%) | 29 (0.6%) | 0.010 | 2.010 (1.207–3.344) | 0.007 |
| Cancer | 380 (32.5%) | 954 (19.1%) | <0.001 | 1.831 (1.620–2.070) | <0.001 |
References
- Lew, C.C.H.; Yandell, R.; Fraser, R.J.L.; Chua, A.P.; Chong, M.F.F.; Miller, M. Association between malnutrition and clinical outcomes in the intensive care unit: A systematic review. JPEN J. Parenter. Enteral Nutr. 2017, 41, 744–758. [Google Scholar] [CrossRef] [PubMed]
- Havens, J.M.; Columbus, A.B.; Seshadri, A.J.; Olufajo, O.A.; Mogensen, K.M.; Rawn, J.D.; Salim, A.; Christopher, K.B. Malnutrition at intensive care unit admission predicts mortality in emergency general surgery patients. JPEN J. Parenter. Enteral Nutr. 2016, 42, 156–163. [Google Scholar] [CrossRef] [PubMed]
- Mogensen, K.M.; Lasky-Su, J.; Rogers, A.J.; Baron, R.M.; Fredenburgh, L.E.; Rawn, J.; Robinson, M.K.; Massarro, A.; Choi, A.M.; Christopher, K.B. Metabolites associated with malnutrition in the intensive care unit are also associated with 28-day mortality. JPEN J. Parenter. Enteral Nutr. 2017, 41, 188–197. [Google Scholar] [CrossRef] [PubMed]
- Chan, M.; Kelly, J.; Batterham, M.; Tapsell, L. Malnutrition (subjective global assessment) scores and serum albumin levels, but not body mass index values, at initiation of dialysis are independent predictors of mortality: A 10-year clinical cohort study. J. Ren. Nutr. 2012, 22, 547–557. [Google Scholar] [CrossRef] [PubMed]
- Hendifar, A.; Osipov, A.; Khanuja, J.; Nissen, N.; Naziri, J.; Yang, W.; Li, Q.; Tuli, R. Influence of body mass index and albumin on perioperative morbidity and clinical outcomes in resected pancreatic adenocarcinoma. PLoS ONE 2016, 11, e0152172. [Google Scholar] [CrossRef] [PubMed]
- Lim, S.Y.; Choi, W.I.; Jeon, K.; Guallar, E.; Koh, Y.; Lim, C.M.; Koh, S.O.; Na, S.; Lee, Y.J.; Kim, S.C.; et al. Body mass index and mortality in Korean intensive care units: A prospective multicenter cohort study. PLoS ONE 2014, 9, e90039. [Google Scholar] [CrossRef] [PubMed]
- Pan, S.W.; Kao, H.K.; Yu, W.K.; Lien, T.C.; Chen, Y.W.; Wang, J.H.; Kou, Y.R. Synergistic impact of low serum albumin on intensive care unit admission and high blood urea nitrogen during intensive care unit stay on post-intensive care unit mortality in critically ill elderly patients requiring mechanical ventilation. Geriatr. Gerontol. Int. 2013, 13, 107–115. [Google Scholar] [CrossRef] [PubMed]
- Suhr, O.; Danielsson, A.; Holmgren, G.; Steen, L. Malnutrition and gastrointestinal dysfunction as prognostic factors for survival in familial amyloidotic polyneuropathy. J. Intern. Med. 1994, 235, 479–485. [Google Scholar] [CrossRef] [PubMed]
- Tanaka, T.; Renner, E.L.; Selzner, N.; Therapondos, G.; Lilly, L.B. The impact of obesity as determined by modified body mass index on long-term outcome after liver transplantation: Canadian single-center experience. Transplant. Proc. 2013, 45, 2288–2294. [Google Scholar] [CrossRef] [PubMed]
- Suhr, O.B.; Ericzon, B.G.; Friman, S. Long-term follow-up of survival of liver transplant recipients with familial amyloid polyneuropathy (portuguese type). Liver Transplant. 2002, 8, 787–794. [Google Scholar] [CrossRef] [PubMed]
- Yamamoto, S.; Wilczek, H.E.; Nowak, G.; Larsson, M.; Oksanen, A.; Iwata, T.; Gjertsen, H.; Soderdahl, G.; Wikstrom, L.; Ando, Y.; et al. Liver transplantation for familial amyloidotic polyneuropathy (FAP): A single-center experience over 16 years. Am. J. Transplant. 2007, 7, 2597–2604. [Google Scholar] [CrossRef] [PubMed]
- Oh, T.K.; Lee, J.; Hwang, J.W.; Do, S.H.; Jeon, Y.T.; Kim, J.H.; Kim, K.; Song, I.A. Value of preoperative modified body mass index in predicting postoperative 1-year mortality. Sci. Rep. 2018, 8, 4614. [Google Scholar] [CrossRef] [PubMed]
- Genga, K.R.; Russell, J.A. Update of sepsis in the intensive care unit. J. Innate Immun. 2017, 9, 441–455. [Google Scholar] [CrossRef] [PubMed]
- Liew, F.; Martin, D. Acute respiratory distress syndrome on the intensive care unit. Br. J. Hosp. Med. (Lond.) 2014, 75, 672–677. [Google Scholar] [CrossRef] [PubMed]
- Lee, S.H.; Lee, T.W.; Ju, S.; Yoo, J.W.; Lee, S.J.; Cho, Y.J.; Jeong, Y.Y.; Lee, J.D.; Kim, H.C. Outcomes of very elderly (>/= 80 years) critical-ill patients in a medical intensive care unit of a tertiary hospital in Korea. Korean J. Intern. Med. 2017, 32, 675–681. [Google Scholar] [CrossRef] [PubMed]
- Ali, S.; Roberts, P.R. Nutrients with immune-modulating effects: What role should they play in the intensive care unit? Curr. Opin. Anaesthesiol. 2006, 19, 132–139. [Google Scholar] [CrossRef] [PubMed]
- Perez-Barcena, J.; Crespi, C.; Regueiro, V.; Marse, P.; Raurich, J.M.; Ibanez, J.; Garcia de Lorenzo-Mateos, A.; Bengoechea, J.A. Lack of effect of glutamine administration to boost the innate immune system response in trauma patients in the intensive care unit. Crit. Care 2010, 14, R233. [Google Scholar] [CrossRef] [PubMed]
- Hyun, S.; Li, X.; Vermillion, B.; Newton, C.; Fall, M.; Kaewprag, P.; Moffatt-Bruce, S.; Lenz, E.R. Body mass index and pressure ulcers: Improved predictability of pressure ulcers in intensive care patients. Am. J. Crit. Care 2014, 23, 494–500. [Google Scholar] [CrossRef] [PubMed]
- Serra, R.; Grande, R.; Buffone, G.; Gallelli, L.; Caroleo, S.; Tropea, F.; Amantea, B.; de Franciscis, S. Albumin administration prevents the onset of pressure ulcers in intensive care unit patients. Int. Wound J. 2015, 12, 432–435. [Google Scholar] [CrossRef] [PubMed]
- Bercault, N.; Boulain, T.; Kuteifan, K.; Wolf, M.; Runge, I.; Fleury, J.C. Obesity-related excess mortality rate in an adult intensive care unit: A risk-adjusted matched cohort study. Crit. Care Med. 2004, 32, 998–1003. [Google Scholar] [CrossRef] [PubMed]
- Abhyankar, S.; Leishear, K.; Callaghan, F.M.; Demner-Fushman, D.; McDonald, C.J. Lower short- and long-term mortality associated with overweight and obesity in a large cohort study of adult intensive care unit patients. Crit. Care 2012, 16, R235. [Google Scholar] [CrossRef] [PubMed]
- Paolini, J.B.; Mancini, J.; Genestal, M.; Gonzalez, H.; McKay, R.E.; Samii, K.; Fourcade, O.A. Predictive value of abdominal obesity vs. Body mass index for determining risk of intensive care unit mortality. Crit. Care Med. 2010, 38, 1308–1314. [Google Scholar] [CrossRef] [PubMed]
- Ogden, C.L.; Carroll, M.D.; Kit, B.K.; Flegal, K.M. Prevalence of childhood and adult obesity in the United States, 2011–2012. JAMA 2014, 311, 806–814. [Google Scholar] [CrossRef] [PubMed]
- Khang, Y.H.; Yun, S.C. Trends in general and abdominal obesity among Korean adults: Findings from 1998, 2001, 2005, and 2007 Korea national health and nutrition examination surveys. J. Korean Med. Sci. 2010, 25, 1582–1588. [Google Scholar] [CrossRef] [PubMed]


| Variable | n | % | Mean | SD | Min | Max |
|---|---|---|---|---|---|---|
| Age (year) | 6169 | 63.4 | 15.6 | 18.0 | 100.0 | |
| Sex: Male | 3719 | 60.3% | ||||
| Department: IM | 1070 | 17.3% | ||||
| Postoperative Admission | 4863 | 78.8% | ||||
| Height (cm) | 6169 | 162.7 | 9.3 | 105.0 | 196.0 | |
| Weight (kg) | 6169 | 64.2 | 12.4 | 24.1 | 128.9 | |
| cBMI (kg/m2) | 6169 | 24.2 | 3.9 | 11.0 | 45.3 | |
| mBMI | 6169 | 763.8 | 187.3 | 133.1 | 1791.0 | |
| Length of Hospital stay (day) | 6169 | 26.4 | 43.8 | 1.0 | 1603.0 | |
| Length of ICU stay (day) | 6169 | 4.3 | 8.3 | 1.0 | 266.0 | |
| APACHE II score | 6169 | 20.8 | 8.0 | 0.0 | 57.0 | |
| History of Hypertension | 523 | 8.5% | ||||
| History of DM | 51 | 0.8% | ||||
| History of IHD | 95 | 1.5% | ||||
| History of Liver Disease | 44 | 0.7% | ||||
| Cancer | 1334 | 21.6% | ||||
| Albumin (g/dL) | 6169 | 3.1 | 0.5 | 0.7 | 7.3 | |
| BUN (mg/dL) | 6169 | 18.4 | 13.4 | 1.0 | 173.0 | |
| Creatinine (mg/dL) | 6169 | 1.0 | 1.1 | 0.1 | 17.1 | |
| AST (IU/L) | 6169 | 165.6 | 1147.9 | 4.0 | 20,000.0 | |
| ALT (IU/L) | 6169 | 68.4 | 336.5 | 4.0 | 11,328.0 | |
| Hemoglobin (g/dL) | 6169 | 10.9 | 1.7 | 3.7 | 18.3 | |
| Platelet count (×1000/μL) | 6169 | 179.2 | 93.7 | 2.0 | 1154.0 | |
| Postassium (mEq/L) | 6169 | 4.0 | 0.5 | 2.3 | 8.9 | |
| Sodium (mEq/L) | 6169 | 137.8 | 4.4 | 119.0 | 168.0 | |
| WBC count (×1000/μL) | 6169 | 12.3 | 10.6 | 0.1 | 703.9 |
| Variable | (+) cBMI | (+) mBMI | (+) Albumin | |||
|---|---|---|---|---|---|---|
| Hazard Ratio (95% CI) | p-Value | Hazard Ratio (95% CI) | p-Value | Hazard Ratio (95% CI) | p-Value | |
| Sex: Male | 1.201 (0.990–1.457) | 0.063 | 1.162 (0.959–1.408) | 0.125 | 1.150 (0.949–1.393) | 0.154 |
| Age (year) | 1.009 (1.002–1.015) | 0.011 | 1.005 (0.998–1.011) | 0.147 | 1.005 (0.999–1.012) | 0.122 |
| Admission Department: IM | 3.075 (2.493–3.792) | <0.001 | 2.352 (1.899–2.912) | <0.001 | 2.191 (1.775–2.705) | <0.001 |
| Postoperative Admission | 1.052 (0.847–1.308) | 0.644 | 1.186 (0.958–1.469) | 0.117 | 1.235 (0.999–1.526) | 0.51 |
| cBMI (kg/m2) | ||||||
| Q1 < 21.7 | 1 | |||||
| 21.7 ≤ Q2 ≤ 24.1 | 0.906 (0.719–1.142) | 0.403 | ||||
| 24.1 ≤ Q3 ≤ 26.6 | 0.706 (0.541–0.922) | 0.010 | ||||
| Q4 > 26.6 | 0.800 (0.617–1.039) | 0.094 | ||||
| mBMI | ||||||
| Q1 < 636.0 | 1 | |||||
| 636.0 ≤ Q2 ≤ 759.0 | 0.556 (0.449–0.712) | <0.001 | ||||
| 759.0 ≤ Q3 ≤ 884.0 | 0.296 (0.216–0.404) | <0.001 | ||||
| Q4 > 884.0 | 0.223 (0.155–0.320) | <0.001 | ||||
| Albumin (g/dL) | ||||||
| Q1 < 2.8 | 1 | |||||
| 2.8 ≤ Q2 ≤ 3.2 | 0.385 (0.306–0.485) | <0.001 | ||||
| 3.2 ≤ Q3 ≤ 3.5 | 0.182 (0.124–0.268) | <0.001 | ||||
| Q4 > 3.5 | 0.131 (0.081–0.210) | <0.001 | ||||
| APACHE II score | 1.090 (1.080–1.101) | <0.001 | 1.084 (1.074–1.095) | <0.001 | 1.080 (1.070–1.090) | <0.001 |
| Hypertension | 1.042 (0.753–1.443) | 0.802 | 1.107 (0.803–1.526) | 0.537 | 1.083 (0.788–1.489) | 0.622 |
| Diabetes Mellitus | 0.767 (0.497–1.185) | 0.232 | 0.771 (0.502–1.186) | 0.236 | 0.698 (0.455–1.069) | 0.098 |
| History of IHD | 0.942 (0.524–1.692) | 0.842 | 0.936 (0.522–1.678) | 0.824 | 0.969 (0.540–1.741) | 0.916 |
| Liver Disease | 1.416 (0.665–3.016) | 0.367 | 1.217 (0.572–2.591) | 0.610 | 1.176 (0.553–2.501) | 0.674 |
| Cancer | 1.424 (1.151–1.762) | 0.001 | 1.340 (1.084–1.658) | 0.007 | 1.349 (1.091–1.669) | 0.006 |
| Variable | (+) cBMI | (+) mBMI | (+) Albumin | |||
|---|---|---|---|---|---|---|
| Hazard Ratio (95% CI) | p-Value | Hazard Ratio (95% CI) | p-Value | Hazard Ratio (95% CI) | p-Value | |
| Sex: Male | 1.202 (1.062–1.360) | 0.003 | 1.197 (1.058–1.353) | 0.004 | 1.187 (1.050–1.342) | 0.006 |
| Age (year) | 1.020 (1.016–1.025) | <0.001 | 1.017 (1.013–1.022) | <0.001 | 1.019 (1.014–1.023) | <0.001 |
| Admission Department: IM | 2.446 (2.132–2.805) | <0.001 | 2.014 (1.753–2.314) | <0.001 | 2.015 (1.755–2.313) | <0.001 |
| Postoperative Admission | 0.865 (0.754–0.993) | 0.039 | 0.958 (0.836–1.098) | 0.537 | 0.964 (0.841–1.105) | 0.600 |
| cBMI (kg/m2) | ||||||
| Q1 < 21.7 | 1 | |||||
| 21.7 ≤ Q2 ≤ 24.1 | 0.715 (0.618–0.828) | <0.001 | ||||
| 24.1 ≤ Q3 ≤ 26.6 | 0.525 (0.445–0.619) | <0.001 | ||||
| Q4 > 26.6 | 0.471 (0.395–0.561) | <0.001 | ||||
| mBMI | ||||||
| Q1 < 636.0 | 1 | |||||
| 636.0 ≤ Q2 ≤ 759.0 | 0.529 (0.459–0.611) | <0.001 | ||||
| 759.0 ≤ Q3 ≤ 884.0 | 0.302 (0.252–0.363) | <0.001 | ||||
| Q4 > 884.0 | 0.207 (0.165–0.258) | <0.001 | ||||
| Albumin (g/dL) | ||||||
| Q1 < 2.8 | 1 | |||||
| 2.8 ≤ Q2 ≤ 3.2 | 0.509 (0.444–0.584) | <0.001 | ||||
| 3.2 ≤ Q3 ≤ 3.5 | 0.264 (0.214–0.324) | <0.001 | ||||
| Q4 > 3.5 | 0.221 (0.172–0.282) | <0.001 | ||||
| APACHE II score | 1.061 (1.053–1.068) | <0.001 | 1.056 (1.049–1.063) | <0.001 | 1.056 (1.049–1.063) | <0.001 |
| Hypertension | 0.931 (0.748–1.158) | 0.519 | 0.975 (0.785–1.210) | 0.819 | 0.945 (0.762–1.172) | 0.609 |
| Diabetes Mellitus | 1.039 (0.785–1.375) | 0.789 | 1.036 (0.785–1.367) | 0.804 | 0.930 (0.706–1.225) | 0.605 |
| History of IHD | 1.022 (0.700–1.490) | 0.911 | 1.016 (0.697–1.481) | 0.936 | 1.042 (0.714–1.520) | 0.832 |
| Liver Disease | 1.691 (1.010–2.829) | 0.046 | 1.376 (0.822–2.303) | 0.224 | 1.354 (0.810–2.263) | 0.248 |
| Cancer | 1.985 (1.747–2.255) | <0.001 | 1.920 (1.690–2.182) | <0.001 | 1.944 (1.710–2.209) | <0.001 |
| Variable | AUC | p-Value | 95% Confidence Interval | ||
|---|---|---|---|---|---|
| Lower Limit | Upper Limit | ||||
| Non-adjusted | cBMI (1) | 0.646 | <0.001 | 0.628 | 0.664 |
| mBMI (2) | 0.754 | <0.001 | 0.738 | 0.770 | |
| Albumin (3) | 0.745 | <0.001 | 0.730 | 0.761 | |
| Adjusted * | cBMI (4) | 0.784 | <0.001 | 0.769 | 0.798 |
| mBMI (5) | 0.813 | <0.001 | 0.800 | 0.827 | |
| Albumin (6) | 0.808 | <0.001 | 0.794 | 0.822 | |
© 2018 by the authors. Licensee MDPI, Basel, Switzerland. This article is an open access article distributed under the terms and conditions of the Creative Commons Attribution (CC BY) license (http://creativecommons.org/licenses/by/4.0/).
Share and Cite
Oh, T.K.; Lee, J.; Lee, Y.J.; Hwang, J.-W.; Do, S.-H.; Jeon, Y.-T.; Song, I.-A. Association between Modified Body Mass Index and 30-Day and 1-Year Mortality after Intensive Care Unit Admission: A Retrospective Cohort Study. J. Clin. Med. 2018, 7, 81. https://doi.org/10.3390/jcm7040081
Oh TK, Lee J, Lee YJ, Hwang J-W, Do S-H, Jeon Y-T, Song I-A. Association between Modified Body Mass Index and 30-Day and 1-Year Mortality after Intensive Care Unit Admission: A Retrospective Cohort Study. Journal of Clinical Medicine. 2018; 7(4):81. https://doi.org/10.3390/jcm7040081
Chicago/Turabian StyleOh, Tak Kyu, Jaebong Lee, Yeon Joo Lee, Jung-Won Hwang, Sang-Hwan Do, Young-Tae Jeon, and In-Ae Song. 2018. "Association between Modified Body Mass Index and 30-Day and 1-Year Mortality after Intensive Care Unit Admission: A Retrospective Cohort Study" Journal of Clinical Medicine 7, no. 4: 81. https://doi.org/10.3390/jcm7040081
APA StyleOh, T. K., Lee, J., Lee, Y. J., Hwang, J.-W., Do, S.-H., Jeon, Y.-T., & Song, I.-A. (2018). Association between Modified Body Mass Index and 30-Day and 1-Year Mortality after Intensive Care Unit Admission: A Retrospective Cohort Study. Journal of Clinical Medicine, 7(4), 81. https://doi.org/10.3390/jcm7040081
