Adipose Derived Stem Cells for Corneal Wound Healing after Laser Induced Corneal Lesions in Mice
Abstract
1. Introduction
2. Material and Methods
2.1. Animals
2.2. Isolation and Preparation of Adipose Derived Stem Cells
2.3. Blood Serum
2.4. Laser Induced Corneal Wound
2.5. Treatment Regimen
2.6. Ocular Surface Evaluation
2.7. Histological Examination
3. Statistical Analysis
4. Results
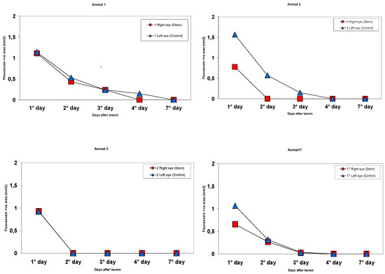
4.1. Clinical Outcomes
4.2. Histological Outcomes
5. Discussion
6. Conclusions
Acknowledgments
Author Contributions
Conflicts of Interest
Appendix A
Appendix A.1. Animals
Appendix A.2. Histological Examination
- Polyclonal antibody against Ki67 produced in rabbit (Abcam, Cambridge, UK): This antibody is present in the nuclei of actively dividing cells and can be used as a measure of the number of proliferating cells in a repairing process [48].
Appendix A.3. Adipose-Derived Stem Cells (ADSC)
References
- De Miguel, M.P.; Alio, J.L.; Arnalich-Montiel, F.; Fuentes-Julian, S.; de Benito-Llopis, L.; Amparo, F.; Bataille, L. Cornea and ocular surface treatment. Curr. Stem Cell Res. Ther. 2010, 5, 195–204. [Google Scholar] [CrossRef] [PubMed]
- Oh, J.Y.; Kim, M.K.; Shin, M.S.; Lee, H.J.; Ko, J.H.; Wee, W.R.; Lee, J.H. The anti-inflammatory and anti-angiogenic role of mesenchymal stem cells in corneal wound healing following chemical injury. Stem Cells 2008, 26, 1047–1055. [Google Scholar] [CrossRef] [PubMed]
- Ma, Y.; Xu, Y.; Xiao, Z.; Yang, W.; Zhang, C.; Song, E.; Du, Y.; Li, L. Reconstruction of chemically burned rat corneal surface by bone marrow-derived human mesenchymal stem cells. Stem Cells 2006, 24, 315–321. [Google Scholar] [CrossRef] [PubMed]
- Geerling, G.; Maclennan, S.; Hartwig, D. Autologous serum eye drops for ocular surface disorders. Br. J. Ophthalmol. 2004, 88, 1467–1474. [Google Scholar] [CrossRef] [PubMed]
- Anitua, E.; Sanchez, M.; Merayo-Lloves, J.; De la Fuente, M.; Muruzabal, F.; Orive, G. Plasma rich in growth factors (PRGF-Endoret) stimulates proliferation and migration of primary keratocytes and conjunctival fibroblasts and inhibits and reverts TGF-beta1-Induced myodifferentiation. Investig. Ophthalmol. Vis. Sci. 2011, 52, 6066–6073. [Google Scholar] [CrossRef] [PubMed]
- Tanidir, S.T.; Yuksel, N.; Altintas, O.; Yildiz, D.K.; Sener, E.; Caglar, Y. The effect of subconjunctival platelet-rich plasma on corneal epithelial wound healing. Cornea 2010, 29, 664–669. [Google Scholar] [CrossRef] [PubMed]
- Reimondez-Troitiño, S.; Alcalde, I.; Csaba, N.; Íñigo-Portugués, A.; de la Fuente, M.; Bech, F.; Riestra, A.C.; Merayo-Lloves, J.; Alonso, M.J. Polymeric nanocapsules: A potential new therapy for corneal wound healing. Drug Deliv. Transl. Res. 2016, 6, 708–721. [Google Scholar] [CrossRef] [PubMed]
- Alcalde, I.; Íñigo-Portugués, A.; Carreño, N.; Riestra, A.C.; Merayo-Lloves, J.M. Effects of new biomimetic regenerating agents on corneal wound healing in an experimental model of post-surgical corneal ulcers. Arch. Soc. Esp. Oftalmol. 2015, 90, 467–474. [Google Scholar] [CrossRef] [PubMed]
- Casteilla, L.; Planat-Benard, V.; Laharrague, P.; Cousin, B. Adipose-derived stromal cells: Their identity and uses in clinical trials, an update. World J. Stem Cells 2011, 3, 25–33. [Google Scholar] [CrossRef] [PubMed]
- Gimble, J.M.; Guilak, F.; Bunnell, B.A. Clinical and preclinical translation of cell-based therapies using adipose tissue-derived cells. Stem Cell Res. Ther. 2010, 1, 19. [Google Scholar] [CrossRef] [PubMed]
- Philippe, B.; Luc, S.; Valerie, P.B.; Jérôme, R.; Alessandra, B.R.; Louis, C. Culture and Use of Mesenchymal Stromal Cells in Phase I and II Clinical Trials. Stem Cells Int. 2010, 2010, 503593. [Google Scholar] [CrossRef] [PubMed]
- Beltrami, A.P.; Cesselli, D.; Bergamin, N.; Marcon, P.; Rigo, S.; Puppato, E.; D’Aurizio, F.; Verardo, R.; Piazza, S.; Pignatelli, A.; et al. Multipotent cells can be generated in vitro from several adult human organs (heart, liver, and bone marrow). Blood 2007, 110, 3438–3446. [Google Scholar] [CrossRef] [PubMed]
- Zuk, P.A.; Zhu, M.; Ashjian, P.; De Ugarte, D.A.; Huang, J.I.; Mizuno, H.; Alfonso, Z.C.; Fraser, J.K.; Benhaim, P.; Hedrick, M.H. Human adipose tissue is a source of multipotent stem cells. Mol. Biol. Cell 2002, 13, 4279–4295. [Google Scholar] [CrossRef] [PubMed]
- Zuk, P.A. The adipose-derived stem cell: Looking back and looking ahead. Mol. Biol. Cell 2010, 21, 1783–1787. [Google Scholar] [CrossRef] [PubMed]
- Sakaguchi, Y.; Sekiya, I.; Yagishita, K.; Muneta, T. Comparison of human stem cells derived from various mesenchymal tissues: Superiority of synovium as a cell source. Arthritis Rheumatol. 2005, 52, 2521–2529. [Google Scholar] [CrossRef] [PubMed]
- Arnalich-Montiel, F.; Pastor, S.; Blazquez-Martinez, A.; Fernandez-Delgado, J.; Nistal, M.; Alio, J.L.; De Miguel, M.P. Adipose-derived stem cells are a source for cell therapy of the corneal stroma. Stem Cells 2008, 26, 570–579. [Google Scholar] [CrossRef] [PubMed]
- Zeppieri, M.; Salvetat, M.L.; Beltrami, A.P.; Cesselli, D.; Bergamin, N.; Russo, R.; Cavaliere, F.; Varano, G.P.; Alcalde, I.; Merayo, J.; et al. Human adipose-derived stem cells for the treatment of chemically burned rat cornea: Preliminary results. Curr. Eye Res. 2013, 38, 451–463. [Google Scholar] [CrossRef] [PubMed]
- Ferro, F.; Spelat, R.; Falini, G.; Gallelli, A.; D’Aurizio, F.; Puppato, E.; Pandolfi, M.; Beltrami, A.P.; Cesselli, D.; Beltrami, C.A.; Ambesi-Impiombato, F.S. Adipose tissue-derived stem cell in vitro differentiation in a three-dimensional dental bud structure. Am. J. Pathol. 2011, 178, 2299–2310. [Google Scholar] [CrossRef] [PubMed]
- Merayo-Lloves, J.; Blanco-Mezquita, T.; Ibares-Frias, L.; Cantalapiedra-Rodríguez, R.; Alvarez-Barcia, A. Efficacy and safety of short-duration topical treatment with azithromycin oil-based eyedrops in an experimental model of corneal refractive surgery. Eur. J. Ophthalmol. 2010, 20, 979–988. [Google Scholar] [PubMed]
- Li, L.; Hartley, R.; Reiss, B.; Sun, Y.; Pu, J.; Wu, D.; Lin, F.; Hoang, T.; Yamada, S.; Jiang, J.; et al. E-cadherin plays an essential role in collective directional migration of large epithelial sheets. Cell. Mol. Life Sci. 2012, 69, 2779–2789. [Google Scholar] [CrossRef] [PubMed]
- Tian, X.; Liu, Z.; Niu, B.; Zhang, J.; Tan, T.K.; Lee, S.R.; Zhao, Y.; Harris, D.C.; Zheng, G. E-cadherin/beta-catenin complex and the epithelial barrier. J. Biomed. Biotechnol. 2011, 2011, 567305. [Google Scholar] [CrossRef] [PubMed]
- Baum, B.; Georgiou, M. Dynamics of adherens junctions in epithelial establishment, maintenance, and remodeling. J. Cell Biol. 2011, 192, 907–917. [Google Scholar] [CrossRef] [PubMed]
- Du, Y.; Carlson, E.C.; Funderburgh, M.L.; Birk, D.E.; Pearlman, E.; Guo, N. Stem cell therapy restores transparency to defective murine corneas. Stem Cells 2009, 27, 1635–1642. [Google Scholar] [CrossRef] [PubMed]
- Martinez-Garcia, M.C.; Merayo-Lloves, J.; Blanco-Mezquita, T.; Mar-Sardaña, S. Wound healing following refractive surgery in hens. Exp. Eye Res. 2006, 83, 728–735. [Google Scholar] [CrossRef] [PubMed]
- Jester, J.V.; Petroll, W.M.; Cavanagh, H.D. Corneal stromal wound healing in refractive surgery: The role of myofibroblasts. Prog. Retin. Eye Res. 1999, 18, 311–356. [Google Scholar] [CrossRef]
- Hassell, J.R.; Birk, D.E. The molecular basis of corneal transparency. Exp. Eye Res. 2010, 91, 326–335. [Google Scholar] [CrossRef] [PubMed]
- Merayo-Lloves, J.; Yanez, B.; Mayo, A.; Martín, R.; Pastor, J.C. Experimental model of corneal haze in chickens. J. Refract. Surg. 2001, 17, 696–699. [Google Scholar] [PubMed]
- Domenis, R.; Lazzaro, L.; Calabrese, S.; Mangoni, D.; Gallelli, A.; Bourkoula, E.; Manini, I.; Bergamin, N.; Toffoletto, B.; Beltrami, C.A.; et al. Adipose tissue derived stem cells: In vitro and in vivo analysis of a standard and three commercially available cell-assisted lipotransfer techniques. Stem Cell Res. Ther. 2015, 6, 2–15. [Google Scholar] [CrossRef] [PubMed]
- Dominici, M.L.; Le Blanc, K.; Mueller, I.; Slaper-Cortenbach, I.; Marini, F.C.; Krause, D.S.; Deans, R.J.; Keating, A.; Prockop, D.J.; Horwitz, E.M. Minimal criteria for defining multipotent mesenchymal stromal cells. The International Society for Cellular Therapy position statement. Cytotherapy 2006, 8, 315–317. [Google Scholar] [CrossRef] [PubMed]
- Tobita, M.; Orbay, H.; Mizuno, H. Adipose-derived stem cells: Current findings and future perspectives. Discov. Med. 2011, 11, 160–170. [Google Scholar] [PubMed]
- Meirelles, L.S.; Fontes, A.M.; Covas, D.T.; Caplan, A.I. Mechanisms involved in the therapeutic properties of mesenchymal stem cells. Cytokine Growth Factor Rev. 2009, 20, 419–427. [Google Scholar] [CrossRef] [PubMed]
- Bunnell, B.A.; Flaat, M.; Gagliardi, C.; Patel, B.; Ripoll, C. Adipose-derived stem cells: Isolation, expansion and differentiation. Methods 2008, 45, 115–120. [Google Scholar] [CrossRef] [PubMed]
- Di Nicola, M.; Carlo-Stella, C.; Magni, M.; Milanesi, M.; Longoni, P.D.; Matteucci, P.; Grisanti, S.; Gianni, A.M. Human bone marrow stromal cells suppress T-lymphocyte proliferation induced by cellular or nonspecific mitogenic stimuli. Blood 2002, 99, 3838–3843. [Google Scholar] [CrossRef] [PubMed]
- Aggarwal, S.; Pittenger, M.F. Human mesenchymal stem cells modulate allogeneic immune cell responses. Blood 2005, 105, 1815–1822. [Google Scholar] [CrossRef] [PubMed]
- Zhang, W.; Ge, W.; Li, C.; You, S.; Liao, L.; Han, Q.; Deng, W.; Zhao, R.C. endritic cells. Stem Cells Dev. 2004, 13, 263–271. [Google Scholar] [CrossRef] [PubMed]
- Harkin, D.G.; Foyn, L.; Bray, L.J.; Sutherland, A.J.; Li, F.J.; Cronin, B.G. Concise reviews: Can mesenchymal stromal cells differentiate into corneal cells? A systematic review of published data. Stem Cells 2015, 33, 785–791. [Google Scholar] [CrossRef] [PubMed]
- Ghieh, F.; Jurjus, R.; Ibrahim, A.; Geagea, A.G.; Daouk, H.; El Baba, B.; Chams, S.; Matar, M.; Zein, W.; Jurjus, A. The Use of Stem Cells in Burn Wound Healing: A Review. Biomed Res. Int. 2015. [Google Scholar] [CrossRef] [PubMed]
- Ljubimov, A.V.; Saghizadeh, M. Progress in corneal wound healing. Prog. Retin. Eye Res. 2015, 49, 17–45. [Google Scholar] [CrossRef] [PubMed]
- Bermudez, M.A.; Sendon-Lago, J.; Eiro, N.; Trevino, M.; Gonzalez, F.; Yebra-Pimentel, E.; Giraldez, M.J.; Macia, M.; Lamelas, M.L.; Saa, J.; et al. Corneal epithelial wound healing and bactericidal effect of conditioned medium from human uterine cervical stem cells. Investig. Ophthalmol. Vis. Sci. 2015, 56, 983–992. [Google Scholar] [CrossRef] [PubMed]
- Patel, S.A.; Sherman, L.; Munoz, J.; Rameshwar, P. Immunological properties of mesenchymal stem cells and clinical implications. Arch. Immunol. Ther. Exp. (Warsz) 2008, 56, 1–8. [Google Scholar] [CrossRef] [PubMed]
- Boquest, A.C.; Shahdadfar, A.; Frønsdal, K.; Sigurjonsson, O.; Tunheim, S.H.; Collas, P.; Brinchmann, J.E. Isolation and transcription profiling of purified uncultured human stromal stem cells: Alteration of gene expression after in vitro cell culture. Mol. Biol. Cell 2005, 16, 1131–1141. [Google Scholar] [CrossRef] [PubMed]
- Du, Y.; Roh, D.S.; Funderburgh, M.L.; Mann, M.M.; Marra, K.G.; Rubin, J.P. Adipose-derived stem cells differentiate to keratocytes in vitro. Mol. Vis. 2010, 16, 2680–2689. [Google Scholar] [PubMed]
- Acar, U.; Pinarli, F.A.; Acar, D.E.; Beyazyildiz, E.; Sobaci, G.; Ozgermen, B.B. Effect of allogeneic limbal mesenchymal stem cell therapy in corneal healing: Role of administration route. Ophthalmic Res. 2015, 53, 82–89. [Google Scholar] [CrossRef] [PubMed]
- Cotsarelis, G.; Cheng, S.Z.; Dong, G.; Sun, T.T.; Lavker, R.M. Existence of slow-cycling limbal epithelial basal cells that can be preferentially stimulated to proliferate: Implications on epithelial stem cells. Cell 1989, 57, 201–209. [Google Scholar] [CrossRef]
- Kenyon, K.R.; Tseng, S.C. Limbal autograft transplantation for ocular surface disorders. Ophthalmology 1989, 96, 709–722. [Google Scholar] [PubMed]
- Polisetty, N.; Fatima, A.; Madhira, S.L.; Sangwan, V.S.; Vemuganti, G.K. Mesenchymal cells from limbal stroma of human eye. Mol. Vis. 2008, 14, 431–442. [Google Scholar] [PubMed]
- Agorogiannis, G.I.; Alexaki, V.I.; Castana, O.; Kymionis, G.D. Topical application of autologous adipose-derived mesenchymal stem cells (MSCs) for persistent sterile corneal epithelial defect. Graefes Arch. Clin. Exp. Ophthalmol. 2012, 250, 455–457. [Google Scholar] [CrossRef] [PubMed]
- Puccinelli, T.J.; Bertics, P.J.; Masters, K.S. Regulation of keratinocyte signaling and function via changes in epidermal growth factor presentation. Acta Biomater. 2010, 6, 3415–3425. [Google Scholar] [CrossRef] [PubMed]
- Myrna, K.E.; Pot, S.A.; Murphy, C.J. Meet the corneal myofibroblast: The role of myofibroblast transformation in corneal wound healing and pathology. Vet. Ophthalmol. 2009, 12 (Suppl. 1), 25–27. [Google Scholar] [CrossRef] [PubMed]
- Tsai, C.C.; Su, P.F.; Huang, Y.F.; Yew, T.L.; Hung, S.C. Oct4 and Nanog directly regulate Dnmt1 to maintain self-renewal and undifferentiated state in mesenchymal stem cells. Mol. Cell 2012, 47, 169–182. [Google Scholar] [CrossRef] [PubMed]
- Wei, X.; Shen, C.Y. Transcriptional regulation of oct4 in human bone marrow mesenchymal stem cells. Stem Cells Dev. 2011, 20, 441–449. [Google Scholar] [CrossRef] [PubMed]
- Han, S.M.; Han, S.H.; Coh, Y.R.; Jang, G.; Chan Ra, J.; Kang, S.K. Enhanced proliferation and differentiation of Oct4- and Sox2-overexpressing human adipose tissue mesenchymal stem cells. Exp. Mol. Med. 2014, 46, e101. [Google Scholar] [CrossRef] [PubMed]







| Time after Lesion | Controls | Basic Serum | Stem Cells | p |
|---|---|---|---|---|
| Day (hours) | (Median ± SE) | (Median ± SE) | (Median ± SE) | Value * |
| Day 1 (30 h) | 1.25 ± 0.80 a | 0.90 ± 0.68 | 0.83 ± 0.42 | 0.048 |
| Day 2 (54 h) | 0.26 ± 0.39 b | 0.07 ± 0.40 | 0.08 ± 0.20 | 0.018 |
| Day 3 (78 h) | 0.05 ± 0.29 | 0.04 ± 0.32 | 0.01 ± 0.14 | 0.127 |
| Day 4 (100 h) | 0.00 ± 0.05 | 0.00 ± 0.00 | 0.00 ± 0.03 | 0.202 |
| Day 7 (172 h) | 0.00 ± 0.00 | 0.00 ± 0.00 | 0.00 ± 0.00 | 1.000 |
| p value ^ | 0.0001 | 0.0001 | 0.0001 |
| Group | Number of Ki67 Cells ± Standard Deviation | ||
|---|---|---|---|
| Peripheral Epithelium | Central Post-Lesion Epithelium | Central Stroma | |
| Three Days after Lesion | |||
| Control (n = 10) | 112.25 ± 17.00 a | 69.00 ± 8.00 | 7.00 ± 2.10 |
| Stem (n = 8) | 120.00 ± 8.90 a | 37.30 ± 6.33 b | 18.00 ± 4.43 c |
| Basic serum (n = 9) | 131.40 ± 9.77 a | 72.30 ± 7.60 | 9.55 ± 2.89 |
| p value ^ | 0.027 | 0.0001 | 0.001 |
| Seven Days after Lesion | |||
| Control (n = 8) | 67.00 ± 7.89 | 24.00 ± 5.40 a | 4.50 ± 1.66 |
| Stem (n = 10) | 61.00 ± 5.22 c | 16.50 ± 2.88 a | 1.33 ± 0.54 b |
| Basic serum (n = 10) | 65.50 ± 5.40 | 27.60 ± 5.74 a | 4.30 ± 1.25 |
| p value ^ | 0.022 | 0.001 | 0.001 |
© 2017 by the authors. Licensee MDPI, Basel, Switzerland. This article is an open access article distributed under the terms and conditions of the Creative Commons Attribution (CC BY) license (http://creativecommons.org/licenses/by/4.0/).
Share and Cite
Zeppieri, M.; Salvetat, M.L.; Beltrami, A.; Cesselli, D.; Russo, R.; Alcalde, I.; Merayo-Lloves, J.; Brusini, P.; Parodi, P.C. Adipose Derived Stem Cells for Corneal Wound Healing after Laser Induced Corneal Lesions in Mice. J. Clin. Med. 2017, 6, 115. https://doi.org/10.3390/jcm6120115
Zeppieri M, Salvetat ML, Beltrami A, Cesselli D, Russo R, Alcalde I, Merayo-Lloves J, Brusini P, Parodi PC. Adipose Derived Stem Cells for Corneal Wound Healing after Laser Induced Corneal Lesions in Mice. Journal of Clinical Medicine. 2017; 6(12):115. https://doi.org/10.3390/jcm6120115
Chicago/Turabian StyleZeppieri, Marco, Maria Letizia Salvetat, Antonio Beltrami, Daniela Cesselli, Rossella Russo, Ignacio Alcalde, Jesús Merayo-Lloves, Paolo Brusini, and Pier Camillo Parodi. 2017. "Adipose Derived Stem Cells for Corneal Wound Healing after Laser Induced Corneal Lesions in Mice" Journal of Clinical Medicine 6, no. 12: 115. https://doi.org/10.3390/jcm6120115
APA StyleZeppieri, M., Salvetat, M. L., Beltrami, A., Cesselli, D., Russo, R., Alcalde, I., Merayo-Lloves, J., Brusini, P., & Parodi, P. C. (2017). Adipose Derived Stem Cells for Corneal Wound Healing after Laser Induced Corneal Lesions in Mice. Journal of Clinical Medicine, 6(12), 115. https://doi.org/10.3390/jcm6120115

