Clinical and Sociodemographic Characteristics Associated with Access to Early Intervention Programs for Infants with Prodromes of Autism
Abstract
1. Introduction
2. Materials and Methods
2.1. Ethical Clearance and Informed Consent
2.2. Procedure
2.3. Sample Characterization
2.3.1. Infant Characteristics
2.3.2. Referral and Concern Categorization
2.3.3. Parental Demographics and Stress Assessment
2.4. Materials and Design
2.4.1. Social Attention and Communication Surveillance-Revised (SACS-R)
2.4.2. Griffiths Scales of Child Development, Third Edition (Griffiths III)
2.4.3. Vineland Adaptive Behavior Scales, Second Edition (Vineland-II)
2.4.4. Parenting Stress Index—Fourth Edition (PSI-4)
2.5. Data Analysis
3. Results
3.1. Association Between Parental Educational Attainment and Type of Referral
3.2. Association Between Presence of Risk Factors and Age at Enrollment
3.3. Comparison of Clinical Characteristics Between Male and Female Infants at Enrollment
3.4. Comparison of Clinical Characteristics Between Infants Younger and Older than 12 Months
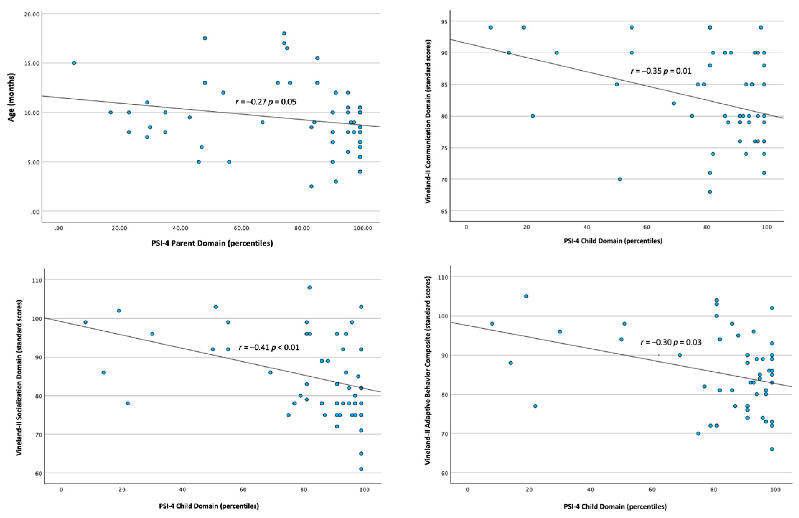
3.5. Correlations Between Parental Stress, Age at Enrollment, and Infants’ Clinical Measures
4. Discussion
Limitations
5. Conclusions and Future Directions
Author Contributions
Funding
Institutional Review Board Statement
Informed Consent Statement
Data Availability Statement
Acknowledgments
Conflicts of Interest
Abbreviations
| ASD | Autism Spectrum Disorder |
| ART | Assisted Reproductive Technologies |
| DQ | Developmental Quotient |
| PSI-4 | Parenting Stress Index—Fourth Edition |
| RCT | Randomized Controlled Trial |
| SACS-R | Social Attention and Communication Surveillance-Revised |
| SGA | Small for Gestational Age |
References
- American Psychiatric Association. Diagnostic and Statistical Manual of Mental Disorders, 5th ed.; American Psychiatric Association: Washington, DC, USA, 2022. [Google Scholar] [CrossRef]
- Liu, S.; Zeng, D.; Yi, C.; Zhu, M. Neurocognitive mechanisms underlying autism spectrum disorders: A literature review. Front. Psychiatry 2025, 16, 1633658. [Google Scholar] [CrossRef]
- Gabbay-Dizdar, N.; Ilan, M.; Meiri, G.; Faroy, M.; Michaelovski, A.; Flusser, H.; Menashe, I.; Koller, J.; Zachor, D.A.; Dinstein, I. Early diagnosis of autism in the community is associated with marked improvement in social symptoms within 1–2 years. Autism 2022, 26, 1353–1363. [Google Scholar] [CrossRef] [PubMed]
- Mozolic-Staunton, B.; Donelly, M.; Yoxall, J.; Barbaro, J. Early detection for better outcomes: Universal developmental surveillance for autism across health and early childhood education settings. Res. Autism Spectr. Disord. 2020, 71, 101496. [Google Scholar] [CrossRef]
- Zwaigenbaum, L.; Bauman, M.L.; Choueiri, R.; Kasari, C.; Carter, A.; Granpeesheh, D.; Mailloux, Z.; Smith Roley, S.; Wagner, S.; Fein, D.; et al. Early Intervention for Children with Autism Spectrum Disorder Under 3 Years of Age: Recommendations for Practice and Research. Pediatrics 2015, 136, S60–S81. [Google Scholar] [CrossRef]
- Whitehouse, A.J. Elizabeth Usher Memorial Lecture: Rethinking the clinical pathway for autism spectrum disorder and challenging the status quo. Int. J. Speech-Lang. Pathol. 2017, 19, 208–217. [Google Scholar] [CrossRef] [PubMed]
- Clark, M.L.E.; Vinen, Z.; Barbaro, J.; Dissanayake, C. School age outcomes of children diagnosed early and later with autism spectrum disorder. J. Autism Dev. Disord. 2018, 48, 92–102. [Google Scholar] [CrossRef]
- Green, J. Intervention during the prodromal stages of autism spectrum disorder. In Autism Spectrum Disorder in the First Years of Life: Research, Assessment, and Treatment; Chawarska, K., Volkmar, F.R., Eds.; Guilford Press: New York, NY, USA, 2020; pp. 247–275. [Google Scholar]
- Lombardo, M.V.; Busuoli, E.M.; Schreibman, L.; Stahmer, A.C.; Pramparo, T.; Landi, I.; Mandelli, V.; Bertelsen, N.; Barnes, C.C.; Gazestani, V. Pre-treatment clinical and gene expression patterns predict developmental change in early intervention in autism. Mol. Psychiatry 2021, 26, 7641–7651. [Google Scholar] [CrossRef]
- Guthrie, W.; Wetherby, A.M.; Woods, J.; Schatschneider, C.; Holland, R.D.; Morgan, L.; Lord, C.E. The earlier the better: An RCT of treatment timing effects for toddlers on the autism spectrum. Autism 2023, 27, 2295–2309. [Google Scholar] [CrossRef]
- Van’T Hof, M.; Tisseur, C.; van Berckelear-Onnes, I.; Van Nieuwenhuyzen, A.; Daniels, A.M.; Deen, M.; Hoek, H.W.; Ester, W.A. Age at autism spectrum disorder diagnosis: A systematic review and meta-analysis from 2012 to 2019. Autism 2021, 25, 862–873. [Google Scholar] [CrossRef]
- Shaw, K.A.; Williams, S.; Patrick, M.E.; Valencia-Prado, M.; Durkin, M.S.; Howerton, E.M.; Ladd-Acosta, C.M.; Pas, E.T.; Bakian, A.V.; Bartholomew, P.; et al. Prevalence and Early Identification of Autism Spectrum Disorder Among Children Aged 4 and 8 Years—Autism and Developmental Disabilities Monitoring Network, 16 Sites, United States, 2022. MMWR Surveill. Summ. 2025, 74, 1–22. [Google Scholar] [CrossRef]
- Mendez, M.A.; Oakley, B.; Canitano, R.; San José-Cáceres, A.; Tinelli, M.; Knapp, M.; Cusack, J.; Parellada, M.; Violland, P.; Plas, J.R.D. Autism care pathway in Europe. Eur. Psychiatry 2023, 66, e81. [Google Scholar] [CrossRef]
- Cramer, S.C.; Sur, M.; Dobkin, B.H.; O’Brien, C.; Sanger, T.D.; Trojanowski, J.Q.; Rumsey, J.M.; Hicks, R.; Cameron, J.; Chen, D.; et al. Harnessing neuroplasticity for clinical applications. Brain 2011, 134, 1591–1609. [Google Scholar] [CrossRef]
- Dennis, M.; Spiegler, B.J.; Juranek, J.J.; Bigler, E.D.; Snead, O.C.; Fletcher, J.M. Age, plasticity, and homeostasis in childhood brain disorders. Neurosci. Biobehav. Rev. 2013, 37, 2760–2773. [Google Scholar] [CrossRef]
- Corsello, G.; Ferrara, P.; Chiamenti, G.; Nigri, L.; Campanozzi, A.; Pettoello-Mantovani, M. The Child Health Care System in Italy. J. Pediatr. 2016, 177S, S116–S126. [Google Scholar] [CrossRef] [PubMed]
- Borgi, M.; Ambrosio, V.; Cordella, D.; Chiarotti, F.; Venerosi, A. Nationwide Survey of Healthcare Services for Autism Spectrum Disorders (ASD) in Italy. Adv. Neurodev. Disord. 2019, 3, 306–318. [Google Scholar] [CrossRef]
- Cianfa, A.; Guerrera, S.; Fucà, E.; Annechini, E.; Napoli, V.; Vicari, S.; Valeri, G. Clinical and sociodemographic factors related to the timing of autism diagnosis in an Italian cohort of children. Front. Psychiatry 2025, 16, 1638341. [Google Scholar] [CrossRef]
- Chen, W.X.; Liu, X.; Huang, Z.; Guo, C.; Feng, F.; Zhang, Y.; Gao, Y.; Zheng, K.; Huang, J.; Yu, J.; et al. Autistic clinical profiles, age at first concern, and diagnosis among children with autism spectrum disorder. Front. Psychiatry 2023, 14, 1211684. [Google Scholar] [CrossRef] [PubMed]
- Qu, L.; Liu, Q.; Zheng, S.; Zhou, A.; Yin, T.; Zhang, Y.; Wang, X.; Colombi, C.; Ulrich, D. From first concern to autism diagnosis: Parental experiences and satisfaction in autism identification in China. Res. Autism 2025, 123, 202544. [Google Scholar] [CrossRef]
- Kul, M.; Dağ, P.; Akdağ, B.; Kara, M.Z. Sociodemographic and social barriers to early detection of autism. Turk. J. Pediatr. 2023, 65, 778–788. [Google Scholar] [CrossRef] [PubMed]
- Mazurek, M.O.; Handen, B.L.; Wodka, E.L.; Nowinski, L.; Butter, E.; Engelhardt, C.R. Age at first autism spectrum disorder diagnosis: The role of birth cohort, demographic factors, and clinical features. J. Dev. Behav. Pediatr. 2014, 35, 561–569. [Google Scholar] [CrossRef]
- Thomas, P.; Zahorodny, W.; Peng, B.; Kim, S.; Jani, N.; Halperin, W.; Brimacombe, M. The association of autism diagnosis with socioeconomic status. Autism 2012, 16, 201–213. [Google Scholar] [CrossRef]
- Loubersac, J.; Michelon, C.; Ferrando, L.; Picot, M.-C.; Baghdadli, A. Predictors of an earlier diagnosis of Autism Spectrum Disorder in children and adolescents: A systematic review (1987–2017). Eur. Child. Adolesc. Psychiatry 2023, 32, 375–393. [Google Scholar] [CrossRef]
- Scattoni, M.L.; Fatta, L.M.; Micai, M.; Sali, M.E.; Bellomo, M.; Salvitti, T.; Fulceri, F.; Castellano, A.; Molteni, M.; Gambino, G. Autism spectrum disorder prevalence in Italy: A nationwide study promoted by the Ministry of Health. Child. Adolesc. Psychiatry Ment. Health 2023, 17, 125. [Google Scholar] [CrossRef]
- Kong, L.; Nivins, S.; Chen, X.; Liang, Y.; Gissler, M.; Lavebratt, C. Association of preterm birth and birth size status with neurodevelopmental and psychiatric disorders in spontaneous births. Eur. Child. Adolesc. Psychiatry 2025, 34, 261–273. [Google Scholar] [CrossRef]
- Yang, B.; Zaks, N.; Kajantie, E.; Persson, M.S.M.; Reichenberg, A.; Gissler, M.; Risnes, K.; Kolevzon, A.; Ådén, U.; Susser, E.; et al. Risk Factors for Autism Spectrum Disorder in Individuals Born Preterm: A Systematic Review and Meta-Analysis of Population-Based Studies. Biol. Psychiatry Glob. Open Sci. 2025, 5, 100535. [Google Scholar] [CrossRef]
- Getahun, D.; Fassett, M.J.; Peltier, M.R.; Wing, D.A.; Xiang, A.H.; Chiu, V.; Jacobsen, S.J. Association of Perinatal Risk Factors with Autism Spectrum Disorder. Am. J. Perinatol. 2017, 34, 295–304. [Google Scholar] [CrossRef] [PubMed]
- Zamstein, O.; Wainstock, T.; Gutvirtz, G.; Sheiner, E. Assessing the impact of medically assisted reproduction on autism spectrum disorder risk. J. Assist. Reprod. Genet. 2024, 41, 2607–2613. [Google Scholar] [CrossRef] [PubMed]
- Conti, E.; Mazzotti, S.; Calderoni, S.; Saviozzi, I.; Guzzetta, A. Are children born after assisted reproductive technology at increased risk of autism spectrum disorders? A systematic review. Hum. Reprod. 2013, 28, 3316–3327. [Google Scholar] [CrossRef] [PubMed]
- Jenabi, E.; Bashirian, S.; Khazaei, S.; Farhadi Nasab, A.; Maleki, A. The Association between Assisted Reproductive Technology and the Risk of Autism Spectrum Disorders among Offspring: A Meta-analysis. Curr. Pediatr. Rev. 2022, 19, 83–89. [Google Scholar] [CrossRef]
- Li, H.; Qi, F.; Chen, D. Does the risk of neurodevelopment disorders in children differ with different ART treatments? A systematic review and meta-analysis. Pak. J. Med. Sci. 2025, 41, 2415. [Google Scholar] [CrossRef]
- Ozonoff, S.; Young, G.S.; Bradshaw, J.; Charman, T.; Chawarska, K.; Iverson, J.M.; Klaiman, C.; Landa, R.J.; McDonald, N.; Messinger, D.; et al. Familial Recurrence of Autism: Updates From the Baby Siblings Research Consortium. Pediatrics 2024, 154, e2023065297. [Google Scholar] [CrossRef]
- Palmer, N.; Beam, A.; Agniel, D.; Eran, A.; Manrai, A.; Spettell, C.; Steinberg, G.; Mandl, K.; Fox, K.; Nelson, S.F.; et al. Association of Sex with Recurrence of Autism Spectrum Disorder Among Siblings. JAMA Pediatr. 2017, 171, 1107–1112. [Google Scholar] [CrossRef]
- McDonald, N.M.; Senturk, D.; Scheffler, A.; Brian, J.A.; Carver, L.J.; Charman, T.; Chawarska, K.; Curtin, S.; Hertz-Piccioto, I.; Jones, E.J.H.; et al. Developmental Trajectories of Infants With Multiplex Family Risk for Autism: A Baby Siblings Research Consortium Study. JAMA Neurol. 2020, 77, 73–81. [Google Scholar] [CrossRef] [PubMed]
- Barbaro, J.; Dissanayake, C. Early markers of autism spectrum disorders in infants and toddlers prospectively identified in the Social Attention and Communication Study. Autism 2013, 17, 64–86. [Google Scholar] [CrossRef] [PubMed]
- Green, E.; Stroud, L.; Bloomfield, S.; Cronje, J.; Foxcroft, C.; Hurter, K.; Lane, H.; Marais, R.; Marx, C.; McAlinden, P. Griffiths Scales of Childhood Development, 3rd ed; Hogrefe Ltd.: Oxford, UK, 2016. [Google Scholar]
- Strisciuglio, P.; Griffiths, R. Griffiths III—Scale Griffiths Dello Sviluppo del Bambino; Manuale; Hogrefe: Firenze, Italy, 2016. [Google Scholar]
- Sparrow, S.S.; Cicchetti, D.V.; Balla, D.A. Vineland Adaptive Behavior Scales, Second Edition (Vineland-II); American Guidance Service: Circle Pines, MN, USA, 2005. [Google Scholar]
- Balboni, G.; Tasso, A.; Muratori, F.; Cubelli, R. The Vineland-II in preschool children with autism spectrum disorders: An item content category analysis. J. Autism Dev. Disord. 2016, 46, 42–52. [Google Scholar] [CrossRef] [PubMed]
- Abidin, R.R. (PSI-4) Parenting Stress Index, 4th ed; Psychological Assessment Resources, Inc.: Lutz, FL, USA, 2012; Volume 3, pp. 1–16. [Google Scholar]
- Guarino, A.; Laghi, F.; Serantoni, G.; Di Blasio, P.; Camisasca, E. Parenting Stress Index–Fourth Edition (PSI-4); Giunti O.S.: Florence, Italy, 2016. [Google Scholar]
- Barbaro, J.; Dissanayake, C.; Sadka, N. Universal developmental surveillance for autism in infants, toddlers and preschoolers: The Social Attention and Communication Study-Revised (SACS-R) and SACS-Preschool. In Proceedings of the International Society for Autism Research (INSAR) Meeting, Rotterdam, The Netherlands, 9–12 May 2018. [Google Scholar]
- Lecciso, F.; Martis, C.; Levante, A. The Use of Griffiths III in the Appraisal of the Developmental Profile in Autism: A Systematic Search and Review. Brain Sci. 2025, 15, 506. [Google Scholar] [CrossRef]
- Hrdlicka, M.; Urbanek, T.; Rotreklova, A.; Kultova, A.; Valek, O.; Dudova, I. Predictors of age at diagnosis in autism spectrum disorders: The use of multiple regression analyses and a classification tree on a clinical sample. Eur. Child. Adolesc. Psychiatry 2024, 33, 1171–1177. [Google Scholar] [CrossRef]
- Matheis, M.; Matson, J.L.; Burns, C.O.; Jiang, X.; Peters, W.J.; Moore, M.; de Back, K.A.; Estabillo, J. Factors related to parental age of first concern in toddlers with autism spectrum disorder. Dev. Neurorehabil. 2017, 20, 228–235. [Google Scholar] [CrossRef]
- Richards, M.; Mossey, J.; Robins, D.L. Parents’ concerns as they relate to their child’s development and later diagnosis of autism spectrum disorder. J. Dev. Behav. Pediatr. 2016, 37, 532–540. [Google Scholar] [CrossRef]
- Waddington, H.; Macaskill, E.; Whitehouse, A.J.O.; Billingham, W.; Alvares, G.A. Parent-reported atypical development in the first year of life and age of autism diagnosis. J. Autism Dev. Disord. 2023, 53, 2737–2748. [Google Scholar] [CrossRef]
- Leach, M.; Mazefsky, C.A.; Northrup, J.B. Parents’ Early Concerns about Their Child with Autism: Relation to Age of Diagnosis. J. Autism Dev. Disord. 2025. Online ahead of print. [Google Scholar] [CrossRef]
- Guinchat, V.; Chamak, B.; Bonniau, B.; Bodeau, N.; Perisse, D.; Cohen, D.; Danion, A. Very early signs of autism reported by parents include many concerns not specific to autism criteria. Res. Autism Spectr. Disord. 2012, 6, 589–601. [Google Scholar] [CrossRef]
- Herlihy, L.; Knoch, K.; Vibert, B.; Fein, D. Parents’ first concerns about toddlers with autism spectrum disorder: Effect of sibling status. Autism 2015, 19, 20–28. [Google Scholar] [CrossRef] [PubMed]
- Sacrey, L.A.; Zwaigenbaum, L.; Bryson, S.; Brian, J.; Smith, I.M.; Roberts, W.; Szatmari, P.; Roncadin, C.; Garon, N.; Novak, C.; et al. Can parents’ concerns predict autism spectrum disorder? A prospective study of high-risk siblings from 6 to 36 months of age. J. Am. Acad. Child. Adolesc. Psychiatry 2015, 54, 470–478. [Google Scholar] [CrossRef]
- Allen, L.; Leon-Attia, O.; Shaham, M.; Shefer, S.; Gabis, L.V. Autism risk linked to prematurity is more accentuated in girls. PLoS ONE 2020, 15, e0236994. [Google Scholar] [CrossRef] [PubMed]
- Crump, C.; Sundquist, J.; Sundquist, K. Preterm or Early Term Birth and Risk of Autism. Pediatrics 2021, 148, e2020032300. [Google Scholar] [CrossRef]
- Barbaro, J.; Freeman, N.C. Investigating gender differences in the early markers of Autism Spectrum Conditions (ASC) in infants and toddlers. Res. Autism Spectr. Disord. 2021, 83, 101745. [Google Scholar] [CrossRef]
- Frazier, T.W.; Georgiades, S.; Bishop, S.L.; Hardan, A.Y. Behavioral and cognitive characteristics of females and males with autism in the Simons Simplex Collection. J. Am. Acad. Child. Adolesc. Psychiatry 2014, 53, 329–340.e1-3. [Google Scholar] [CrossRef]
- Ratto, A.B.; Kenworthy, L.; Yerys, B.E.; Bascom, J.; Wieckowski, A.T.; White, S.W.; Wallace, G.L.; Pugliese, C.; Schultz, R.T.; Ollendick, T.H.; et al. What About the Girls? Sex-Based Differences in Autistic Traits and Adaptive Skills. J. Autism Dev. Disord. 2018, 48, 1698–1711. [Google Scholar] [CrossRef]
- Tillmann, J.; Ashwood, K.; Absoud, M.; Bölte, S.; Bonnet-Brilhault, F.; Buitelaar, J.K.; Calderoni, S.; Calvo, R.; Canal-Bedia, R.; Canitano, R.; et al. Evaluating Sex and Age Differences in ADI-R and ADOS Scores in a Large European Multi-site Sample of Individuals with Autism Spectrum Disorder. J. Autism Dev. Disord. 2018, 48, 2490–2505. [Google Scholar] [CrossRef]
- Calderoni, S. Sex/gender differences in children with autism spectrum disorder: A brief overview on epidemiology, symptom profile, and neuroanatomy. J. Neurosci. Res. 2023, 101, 739–750. [Google Scholar] [CrossRef]
- Chellew, T.; Barbaro, J.; Freeman, N.C. The early childhood signs of autism in females: A systematic review. Rev. J. Autism Dev. Disord. 2024, 11, 249–264. [Google Scholar] [CrossRef]
- Nazari, S.; Ramos Cabo, S.; Nalabolu, S.; Carter Barnes, C.; Andreason, C.; Zahiri, J.; Esquivel, A.; Arias, S.J.; Grzybowski, A.; Lombardo, M.V.; et al. Large-scale examination of early-age sex differences in neurotypical toddlers and those with autism spectrum disorder or other developmental conditions. Nat. Hum. Behav. 2025, 9, 1697–1709. [Google Scholar] [CrossRef]
- Wood-Downie, H.; Wong, B.; Kovshoff, H.; Mandy, W.; Hull, L.; Hadwin, J.A. Sex/Gender Differences in Camouflaging in Children and Adolescents with Autism. J. Autism Dev. Disord. 2021, 51, 1353–1364. [Google Scholar] [CrossRef]
- Young, H.; Oreve, M.J.; Speranza, M. Clinical characteristics and problems diagnosing autism spectrum disorder in girls. Arch. Pediatr. 2018, 25, 399–403. [Google Scholar] [CrossRef] [PubMed]
- Tubío-Fungueiriño, M.; Cruz, S.; Sampaio, A.; Carracedo, A.; Fernández-Prieto, M. Social Camouflaging in Females with Autism Spectrum Disorder: A Systematic Review. J. Autism Dev. Disord. 2021, 51, 2190–2199. [Google Scholar] [CrossRef]
- Cruz, S.; Zubizarreta, S.C.-P.; Costa, A.D.; Araújo, R.; Martinho, J.; Tubío-Fungueiriño, M.; Sampaio, A.; Cruz, R.; Carracedo, A.; Fernández-Prieto, M. Is there a bias towards males in the diagnosis of autism? A systematic review and meta-analysis. Neuropsychol. Rev. 2025, 35, 153–176. [Google Scholar] [CrossRef]
- Burrows, C.A.; Sung, S.; Zheng, S.; Young, G.S.; Charman, T.; Klaiman, C.; Klin, A.; Marrus, N.; Ozonoff, S.; Piven, J.; et al. Sex-Related Measurement Bias in Autism Spectrum Disorder Symptoms in the Baby Siblings Research Consortium. JAMA Netw. Open 2025, 8, e2525887. [Google Scholar] [CrossRef] [PubMed]
- Zwaigenbaum, L.; Bryson, S.E.; Szatmari, P.; Brian, J.; Smith, I.M.; Roberts, W.; Vaillancourt, T.; Roncadin, C. Sex differences in children with autism spectrum disorder identified within a high-risk infant cohort. J. Autism Dev. Disord. 2012, 42, 2585–2596. [Google Scholar] [CrossRef] [PubMed]
- Estes, A.; Zwaigenbaum, L.; Gu, H.; St John, T.; Paterson, S.; Elison, J.T.; Hazlett, H.; Botteron, K.; Dager, S.R.; Schultz, R.T.; et al. Behavioral, cognitive, and adaptive development in infants with autism spectrum disorder in the first 2 years of life. J. Neurodev. Disord. 2015, 7, 24. [Google Scholar] [CrossRef]
- Salomone, E.; Shephard, E.; Milosavljevic, B.; Johnson, M.H.; Charman, T.; Team, B. Adaptive Behaviour and Cognitive Skills: Stability and Change from 7 Months to 7 Years in Siblings at High Familial Risk of Autism Spectrum Disorder. J. Autism Dev. Disord. 2018, 48, 2901–2911. [Google Scholar] [CrossRef]
- Giannotti, M.; Venuti, P.; De Falco, S. Child Attachment Representations and Parenting Stress in Mothers and Fathers of School-Age Children with a Diagnosis of Autism Spectrum Disorder: A Pilot Cross-Sectional Study. Children 2023, 10, 1633. [Google Scholar] [CrossRef]
- Méndez-Lara, L.A.; Ramirez-Rodriguez, R.; Santos, E.; Puig-Lagunes, A. Comparative analysis of stress levels and coping strategies in parents of neurodivergent and neurotypical children. Front. Child. Adolesc. Psychiatry 2025, 4, 1619993. [Google Scholar] [CrossRef]
- Pardo-Salamanca, A.; Rosa-Martínez, E.; Gómez, S.; Santamarina-Siurana, C.; Berenguer, C. Parenting Stress in Autistic and ADHD Children: Implications of Social Support and Child Characteristics. J. Autism Dev. Disord. 2025, 55, 2284–2293. [Google Scholar] [CrossRef] [PubMed]
- Espinosa-Díaz, N.; Vega-Arce, M.; Jara, M.I.; Garrido, F. Stress in parents of preschoolers with Autism Spectrum Disorders: An update review. Boletín Médico Hosp. Infant. De México 2024, 81, 195–209. [Google Scholar] [CrossRef] [PubMed]
- Cleary, D.B.; Maybery, M.T.; Waddington, H.; Macaskill, E.; Whitehouse, A.J.O. Investigating Parental Observations of Early Autism Development in Simplex and Multiplex Families. J. Autism Dev. Disord. 2024. Online ahead of print. [Google Scholar] [CrossRef] [PubMed]






| Sample Characterization | Total | Males | Females | |||
|---|---|---|---|---|---|---|
| n | 60 | 40 | 20 | |||
| Age in months (SD) | 10.00 (3.49) | 9.84 (3.68) | 9.58 (4.00) | |||
| Birth order | 30 1st/30 2nd+ | 22 1st/18 2nd+ | 8 1st/12 2nd+ | |||
| Risk Factors | n (%) | n (%) | n (%) | |||
| ASD Sibling in the Family | 13 (21.67%) | 7 (17.50%) | 6 (30.00%) | |||
| Pregnancy Complications | 28 (46.67%) | 18 (45.00%) | 10 (50.00%) | |||
| Assisted Reproductive Technologies | 13 (21.67%) | 9 (22.50%) | 4 (20.00%) | |||
| Prematurity | 9 (15.00%) | 5 (12.50%) | 4 (20.00%) | |||
| Small for Gestational Age | 9 (15.00%) | 7 (17.50%) | 2 (10.00%) | |||
| No Risk Factor | 13 (21.67%) | 9 (22.50%) | 4 (20.00%) | |||
| Clinical assessment | M (SD) | M (SD) | M (SD) | |||
| Autism-related symptoms | ||||||
| SACS-R Key Items | 4.47 | (0.70) | 4.50 | (0.64) | 4.40 | (0.88) |
| Child Development | ||||||
| Griffiths-III Subscale A | 92.61 | (15.94) | 93.28 | (16.69) | 91.30 | (14.69) |
| Griffiths-III Subscale B | 80.64 | (13.92) | 83.15 | (12.42) | 75.75 | (15.64) |
| Griffiths-III Subscale C | 88.00 | (13.06) | 87.31 | (13.59) | 89.35 | (12.19) |
| Griffiths-III Subscale D | 79.19 | (14.65) | 80.72 | (16.13) | 76.20 | (10.96) |
| Griffiths-III Subscale E | 91.31 | (14.39) | 90.69 | (13.75) | 92.50 | (15.87) |
| Griffiths-III General Development | 83.17 | (15.54) | 83.42 | (15.72) | 82.70 | (12.34) |
| Adaptive Behavior | ||||||
| Vineland-II Communication Scale | 81.42 | (8.40) | 81.50 | (7.65) | 81.25 | (9.94) |
| Vineland-II Daily Living Skills Scale | 87.95 | (9.90) | 89.28 | (9.22) | 85.30 | 10.88) |
| Vineland-II Socialization Scale | 83.53 | (11.85) | 84.27 | (14.16) | 82.05 | (13.76) |
| Vineland-II Motor Skills Scale | 89.15 | (14.20) | 88.95 | (14.16) | 89.55 | (14.63) |
| Vineland-II Adaptive Composite | 83.92 | (11.36) | 84.30 | (10.48) | 83.15 | (13.20) |
| Medical Referral n (%) | Self-Referral n (%) | ||
|---|---|---|---|
| 23 (38%) | 37 (62%) | ||
| Parental Concern (DSM-5 Categories) | A + B | 10 (43.48%) | 16 (43.24%) |
| A | 11 (47.83%) | 20 (54.05%) | |
| B | 0 (0%) | 1 (2.70%) | |
| Other | 0 (0%) | 0 (0%) | |
| None | 2 (8.70%) | 0 (0%) | |
| Age (Years) | Mothers | Fathers |
| M (SD) | 34.75 (4.84) | 37.40 (5.58) |
| Range | 27–45 | 22–44 |
| Educational level | n (%) | n (%) |
| Doctoral degree | 2 (3.39%) | 3 (5.00%) |
| University degree | 34 (57.63%) | 19 (31.67%) |
| High school diploma | 19 (32.20%) | 23 (38.33%) |
| Middle School diploma | 4 (6.68%) | 15 (25.00%) |
| Family Educational Attainment | Self-Referral | Medical Referral | Total |
|---|---|---|---|
| Higher Education | 31 (84%) | 9 (39%) | 40 (67%) |
| Lower Education | 6 (16%) | 14 (61%) | 20 (33%) |
| Total | 37 | 23 | 60 |
| Risk Factors | Age < 12 Months | Age ≥ 12 Months | Total |
|---|---|---|---|
| At least one risk factor | 32 (76%) | 15 (83%) | 47 (78%) |
| No risk factor | 10 (24%) | 3 (17%) | 13 (22%) |
| Total | 42 | 18 | 60 |
| Infants < 12 m (n = 42) | Infants ≥ 12 m (n = 18) | Student’s t-Test | |||||||
|---|---|---|---|---|---|---|---|---|---|
| M | (SD) | M | (SD) | t | p Value | Cohen’s d | 95% CI | Magnitude | |
| Griffiths III | |||||||||
| Foundations of Learning | 98.02 | (13.79) | 80.27 | (14.09) | 4.50 | <0.001 *** | 1.28 | [0.67, 1.88] | Large |
| Language and Communication | 83.92 | (13.04) | 73.00 | (13.45) | 2.92 | <0.01 ** | 0.83 | [0.25, 1.40] | Large |
| Eye and Hand Coordination | 92.05 | (9.97) | 79.05 | (15.18) | 3.32 | <0.01 ** | 1.10 | [0.51, 1.69] | Large |
| Personal-Social-Emotional | 84.47 | (11.09) | 67.67 | (15.56) | 4.69 | <0.001 *** | 1.33 | [0.72, 1.94] | Large |
| Gross Motor | 96.00 | (10.05) | 80.94 | (17.58) | 3.39 | <0.01 ** | 1.18 | [0.57, 1.77] | Large |
| General Development | 89.87 | (8.97) | 68.50 | (14.03) | 6.95 | <0.001 *** | 1.98 | [1.30, 2.64] | Very large |
| Vineland-II | |||||||||
| Communication | 84.12 | (7.26) | 75.33 | (7.98) | 4.15 | <0.001 *** | 1.17 | [0.58, 1.76] | Large |
| Daily Living Skills | 89.51 | (10.50) | 84.28 | (7.74) | 1.89 | 0.06 | 0.54 | [−0.03, 1.10] | Medium |
| Socialization | 86.07 | (10.95) | 78.22 | (12.47) | 2.43 | 0.02 * | 0.69 | [0.12, 1.25] | Medium |
| Motor Skills | 93.60 | (13.12) | 78.50 | (11.03) | 4.26 | <0.001 *** | 1.21 | [0.60, 1.80] | Large |
| Adaptive Behavior Composite | 87.85 | (10.02) | 75.00 | (9.49) | 4.60 | <0.001 *** | 1.30 | [0.70, 1.90] | Large |
Disclaimer/Publisher’s Note: The statements, opinions and data contained in all publications are solely those of the individual author(s) and contributor(s) and not of MDPI and/or the editor(s). MDPI and/or the editor(s) disclaim responsibility for any injury to people or property resulting from any ideas, methods, instructions or products referred to in the content. |
© 2026 by the authors. Licensee MDPI, Basel, Switzerland. This article is an open access article distributed under the terms and conditions of the Creative Commons Attribution (CC BY) license.
Share and Cite
Chericoni, N.; Conti, E.; Costanzo, V.; Ieri, F.; Colombino, I.; Guainai, G.; Riva, B.; Apicella, F.; Guzzetta, A.; Calderoni, S.; et al. Clinical and Sociodemographic Characteristics Associated with Access to Early Intervention Programs for Infants with Prodromes of Autism. J. Clin. Med. 2026, 15, 1044. https://doi.org/10.3390/jcm15031044
Chericoni N, Conti E, Costanzo V, Ieri F, Colombino I, Guainai G, Riva B, Apicella F, Guzzetta A, Calderoni S, et al. Clinical and Sociodemographic Characteristics Associated with Access to Early Intervention Programs for Infants with Prodromes of Autism. Journal of Clinical Medicine. 2026; 15(3):1044. https://doi.org/10.3390/jcm15031044
Chicago/Turabian StyleChericoni, Natasha, Eugenia Conti, Valeria Costanzo, Francesca Ieri, Ilaria Colombino, Giulia Guainai, Benedetta Riva, Fabio Apicella, Andrea Guzzetta, Sara Calderoni, and et al. 2026. "Clinical and Sociodemographic Characteristics Associated with Access to Early Intervention Programs for Infants with Prodromes of Autism" Journal of Clinical Medicine 15, no. 3: 1044. https://doi.org/10.3390/jcm15031044
APA StyleChericoni, N., Conti, E., Costanzo, V., Ieri, F., Colombino, I., Guainai, G., Riva, B., Apicella, F., Guzzetta, A., Calderoni, S., & Colombi, C. (2026). Clinical and Sociodemographic Characteristics Associated with Access to Early Intervention Programs for Infants with Prodromes of Autism. Journal of Clinical Medicine, 15(3), 1044. https://doi.org/10.3390/jcm15031044

