The Efficacy and Safety of Abaloparatide in Osteoporosis: A Systematic Review and Meta-Analysis
Abstract
1. Introduction
2. Materials and Methods
2.1. Study Design and Registration
2.2. Search Strategy and Data Sources
2.3. Eligibility Criteria
2.4. Study Selection and Data Extraction
2.5. Outcomes and Effect Measures
2.6. Quantitative Synthesis and Exploration of Heterogeneity
2.7. Network Meta-Analysis and SUCRA
2.8. Risk of Bias and Certainty of Evidence
2.9. Methodological Summary
3. Results
3.1. Primary Findings
3.2. Secondary Findings
4. Discussion
Limitations
5. Conclusions
Supplementary Materials
Author Contributions
Funding
Institutional Review Board Statement
Informed Consent Statement
Data Availability Statement
Conflicts of Interest
References
- Shen, Y.; Huang, X.; Wu, J.; Lin, X.; Zhou, X.; Zhu, Z.; Pan, X.; Xu, J.; Qiao, J.; Zhang, T.; et al. The global burden of osteoporosis, low bone mass, and its related fracture in 204 countries and territories, 1990–2019. Front. Endocrinol. 2022, 13, 882241. [Google Scholar] [CrossRef]
- Lorentzon, M.; Johansson, H.; Harvey, N.C.; Liu, E.; Vandenput, L.; McCloskey, E.V.; Kanis, J.A. Osteoporosis and fractures in women: The burden of disease. Climacteric 2022, 25, 4–10. [Google Scholar] [CrossRef]
- Porter, J.L.; Varacallo, M.A. Osteoporosis. StatPearls—NCBI Bookshelf. 2023. Available online: https://www.ncbi.nlm.nih.gov/books/NBK441901/ (accessed on 1 October 2025).
- Varacallo, M.A.; Fox, E.J.; Paul, E.M.; Hassenbein, S.E.; Warlow, P.M. Patients’ response toward an automated orthopedic osteoporosis intervention program. Geriatr. Orthop. Surg. Rehabil. 2013, 4, 89–98. [Google Scholar] [CrossRef]
- Varacallo, M.; Seaman, T.J.; Jandu, J.S.; Pizzutillo, P. Osteopenia. In StatPearls; StatPearls Publishing: Treasure Island, FL, USA, 2023. [Google Scholar]
- LeBoff, M.S.; Greenspan, S.L.; Insogna, K.L.; Lewiecki, E.M.; Saag, K.G.; Singer, A.J.; Siris, E.S. The clinician’s guide to prevention and treatment of osteoporosis. Osteoporos. Int. 2022, 33, 2049–2102. [Google Scholar] [CrossRef]
- Camacho, P.M.; Petak, S.M.; Binkley, N.; Diab, D.L.; Eldeiry, L.S.; Farooki, A.; Harris, S.T.; Hurley, D.L.; Kelly, J.; Lewiecki, E.M.; et al. American association of clinical endocrinologists/american college of endocrinology clinical practice guidelines for the diagnosis and treatment of postmenopausal osteoporosis-2020 update. Endocr. Pract. 2020, 26, 1–46. [Google Scholar] [CrossRef] [PubMed]
- Fuggle, N.R.; Beaudart, C.; Bruyère, O.; Abrahamsen, B.; Al-Daghri, N.; Burlet, N.; Chandran, M.; Rosa, M.M.; Cortet, B.; Demonceau, C.; et al. Evidence-Based Guideline for the management of osteoporosis in men. Nat. Rev. Rheumatol. 2024, 20, 241–251. [Google Scholar] [CrossRef] [PubMed]
- Varacallo, M.A.; Fox, E.J. Osteoporosis and its complications. Med. Clin. N. Am. 2014, 98, 817–831. [Google Scholar] [CrossRef]
- Cheng, C.H.; Chen, L.R.; Chen, K.H. Osteoporosis due to hormone imbalance: An overview of the effects of estrogen deficiency and glucocorticoid overuse on bone turnover. Int. J. Mol. Sci. 2022, 23, 1376. [Google Scholar] [CrossRef] [PubMed]
- Rizzoli, R.; Chevalley, T. Nutrition and Osteoporosis Prevention. Curr. Osteoporos. Rep. 2024, 22, 515–522. [Google Scholar] [CrossRef]
- Ayers, C.; Kansagara, D.; Lazur, B.; Fu, R.; Kwon, A.; Harrod, C. Effectiveness and Safety of Treatments to Prevent Fractures in People with Low Bone Mass or Primary Osteoporosis: A Living Systematic Review and Network Meta-analysis for the American College of Physicians. Ann. Intern. Med. 2023, 176, 182–195. [Google Scholar] [CrossRef]
- Langdahl, B. Treatment of postmenopausal osteoporosis with bone-forming and antiresorptive treatments: Combined and sequential approaches. Bone 2020, 139, 115516. [Google Scholar] [CrossRef]
- Cosman, F. Anabolic therapy and optimal treatment sequences for patients with osteoporosis at high risk for fracture. Endocr. Pract. 2020, 26, 777–786. [Google Scholar] [CrossRef]
- Ebina, K.; Etani, Y.; Noguchi, T.; Nakata, K.; Okada, S. Clinical effects of teriparatide, abaloparatide, and romosozumab in postmenopausal osteoporosis. J. Bone Miner. Metab. 2025, 43, 3–9. [Google Scholar] [CrossRef]
- Kondapalli, A.V.; Walker, M.D. Postoperative Bone Mineral Health Optimization in the Geriatric Patient. In Geriatric Hip Fractures: A Practical Approach; Springer International Publishing: Cham, Switzerland, 2021; pp. 187–204. [Google Scholar]
- Tan, X.; Wen, F.; Yang, W.; Xie, J.Y.; Ding, L.L.; Mo, Y.X. Comparative efficacy and safety of pharmacological interventions for osteoporosis in postmenopausal women: A network meta-analysis (Chongqing, China). Menopause 2019, 26, 929–939. [Google Scholar] [CrossRef]
- Aleksova, J.; Ebeling, P. First-line treatment of osteoporosis with osteoanabolic therapy: A new opportunity. Intern. Med. J. 2025, 55, 1232–1241. [Google Scholar] [CrossRef]
- Acanfora, M.; Vassallo, A.; Valsecchi, F.; Bolamperti, F.M. Denosumab Discontinuation: The Abaloparatide plus Bisphosphonate Metronomic Sequential Approach. Authorea Preprints 2025. [Google Scholar] [CrossRef]
- Miller, P.D.; Troy, S.; Weiss, R.J.; Annett, M.; Schense, J.; Williams, S.A.; Mitlak, B. Phase 1b evaluation of abaloparatide solid microstructured transdermal system (Abaloparatide-sMTS) in postmenopausal women with low bone mineral density. Clin. Drug Investig. 2021, 41, 277–285. [Google Scholar] [CrossRef]
- Li, N. Osteoporosis, (Bone) Fractures and Fracture Liaison Services: Health-Related Quality of Life, Clinical and Economic Outcomes. Ph.D. Thesis, Maastricht University, Maastricht, The Netherlands, 2023. [Google Scholar]
- Estell, E.G.; Rosen, C.J. Emerging insights into the comparative effectiveness of anabolic therapies for osteoporosis. Nat. Rev. Endocrinol. 2021, 17, 31–46. [Google Scholar] [CrossRef] [PubMed]
- Miller, P.D.; Bilezikian, J.P.; Fitzpatrick, L.A.; Mitlak, B.; McCloskey, E.V.; Cosman, F.; Bone, H.G. Abaloparatide: An anabolic treatment to reduce fracture risk in postmenopausal women with osteoporosis. Curr. Med. Res. Opin. 2020, 36, 1861–1872. [Google Scholar] [CrossRef] [PubMed]
- Oladapo, O.P. Investigating Analogues of Parathyroid Hormone (PTH) and PTH-Related Peptide (PTHrP) Using UMR106-01 Osteocytic Cells to Determine Anabolic and Catabolic Response Ratios and Predict In Vivo Responses; University of Toronto: Toronto, ON, Canada, 2020. [Google Scholar]
- Martin, T.J.; Sims, N.A.; Seeman, E. Physiological and pharmacological roles of PTH and PTHrP in bone using their shared receptor, PTH1R. Endocr. Rev. 2021, 42, 383–406. [Google Scholar] [CrossRef]
- Martin, T.J. PTH1R actions on bone using the cAMP/protein kinase a pathway. Front. Endocrinol. 2022, 12, 833221. [Google Scholar] [CrossRef]
- Xu, F.; Wang, Y.; Zhu, X. The Safety and Efficacy of abaloparatide on postmenopausal osteoporosis: A systematic review and meta-analysis. Clin. Ther. 2024, 46, 267–274. [Google Scholar] [CrossRef] [PubMed]
- Chen, L.; Ji, B.; Xia, C. Efficacy and safety of abaloparatide, denosumab, teriparatide, oral bisphosphonates, and intravenous bisphosphonates in the treatment of male osteoporosis: A systematic review and Bayesian network meta-analysis. Front. Endocrinol. 2025, 16, 1558560. [Google Scholar] [CrossRef]
- Wei, F.-L.; Gao, Q.-Y.; Zhu, K.-L.; Heng, W.; Du, M.-R.; Yang, F.; Gao, H.-R.; Li, T.; Qian, J.-X.; Zhou, C.-P. Efficacy and safety of pharmacologic therapies for prevention of osteoporotic vertebral fractures in postmenopausal women. Heliyon 2022, 9, e11880. [Google Scholar] [CrossRef] [PubMed]
- Hong, P.; Liu, R.; Rai, S.; Liu, J.; Zhou, Y.; Zheng, Y.; Li, J. Is abaloparatide more efficacious on increasing bone mineral density than teriparatide for women with postmenopausal osteoporosis? An updated meta-analysis. J. Orthop. Surg. Res. 2023, 18, 116. [Google Scholar] [CrossRef] [PubMed]
- Beaudart, C.; Veronese, N.; Douxfils, J.; Thiyagarajan, J.A.; Bolzetta, F.; Albanese, P.; Voltan, G.; Alokail, M.; Harvey, N.C.; Fuggle, N.R.; et al. PTH1 receptor agonists for fracture risk: A systematic review and network meta-analysis. Osteoporos. Int. 2025, 36, 951–967. [Google Scholar] [CrossRef]
- Beaudart, C.; Demonceau, C.; Sabico, S.; Veronese, N.; Cooper, C.; Harvey, N.; Fuggle, N.; Bruyère, O.; Rizzoli, R.; Reginster, J.-Y. Efficacy of osteoporosis pharmacological treatments in men: A systematic review and meta-analysis. Aging Clin. Exp. Res. 2023, 35, 1789–1806. [Google Scholar] [CrossRef]
- Liu, Y.; Liu, X.; Wu, Y.; Luo, T. Efficacy and safety of sequential therapy for primary osteoporosis with bone formation promoters followed by bone resorption inhibitors: A meta-analysis. J. Orthop. Surg. Res. 2025, 20, 147. [Google Scholar] [CrossRef] [PubMed]
- Miller, P.D.; Hattersley, G.; Riis, B.J.; Williams, G.C.; Lau, E.; Russo, L.A.; Alexandersen, P.; Zerbini, C.A.F.; Hu, M.-Y.; Harris, A.G.; et al. Effect of Abaloparatide vs Placebo on New Vertebral Fractures in Postmenopausal Women with Osteoporosis. JAMA 2016, 316, 722–733. [Google Scholar] [CrossRef]
- Lewiecki, E.M.; Czerwinski, E.; Recknor, C.; Strzelecka, A.; Valenzuela, G.; Lawrence, M.; Silverman, S.; Cardona, J.; Nattrass, S.M.; Binkley, N.; et al. Efficacy and Safety of Transdermal Abaloparatide in Postmenopausal Women with Osteoporosis: A Randomized Study. J. Bone Miner. Res. 2023, 38, 1404–1414. [Google Scholar] [CrossRef] [PubMed]



| Concept | Keywords |
|---|---|
| Drug | “abaloparatide” OR “PTHrP analog” OR “BA058” |
| Condition | “osteoporosis” OR “bone loss” OR “low bone mass” |
| Outcomes | “fracture” OR “bone mineral density” OR “BMD” OR “hypercalcemia” |
| Study Design | “randomized controlled trial” OR “meta-analysis” OR “network meta-analysis” |
| Study | Design | Population | Intervention (Dose, Duration) | Comparison | Primary Outcomes | Secondary Outcomes |
|---|---|---|---|---|---|---|
| Xu et al. [27] | Meta-analysis (8 RCTs) | 3705 postmenopausal women with osteoporosis | Abaloparatide (dose NR) | Placebo/active comparator | BMD (lumbar spine, femoral neck, hip); vertebral fractures | Adverse events, PINP |
| Chen et al. [28] | Bayesian NMA (12 RCTs) | 2226 men with osteoporosis | Abaloparatide (dose NR) | Denosumab, teriparatide, bisphosphonates, placebo | BMD (SUCRA rankings) | Adverse events (SUCRA) |
| Wei et al. [29] | Bayesian NMA (55 RCTs) | 104,580 postmenopausal women | Abaloparatide (dose NR) | 15 comparators (teriparatide, denosumab, bisphosphonates, etc.) | Vertebral fractures | Serious AEs, all AEs |
| Hong et al. [30] | Meta-analysis (4 RCTs) | Postmenopausal women | Abaloparatide (dose NR) | Teriparatide, placebo | BMD (% change at 24/48 weeks) | Hypercalcemia, nausea, palpitations |
| Beaudart et al. [31] | NMA (17 studies: 11 RCTs, 6 RWE) | Adults (mostly postmenopausal women) | Abaloparatide vs. teriparatide | Placebo, bisphosphonates, denosumab, etc. | Vertebral, non-vertebral, hip fractures | AEs, SAEs, hypercalcemia |
| Beaudart et al. [32] | Meta-analysis (2 RCTs) | 248 men with osteoporosis | Abaloparatide (80 μg/day, 12–18 months) | Placebo | BMD (% change) | Fracture incidence (not powered) |
| Liu et al. [33] | Meta-analysis (10 RCTs) | 14,510 adults (mostly postmenopausal women) | Sequential therapy (abaloparatide → antiresorptive) | Monotherapy/combination | BMD, fracture risk | AEs, distal radius BMD |
| Miller et al. [34] | RCT (Phase 3, double-blind) | 1645 postmenopausal women | Abaloparatide (80 μg/day, 18 months) | Placebo | Vertebral fractures | BMD, non-vertebral fractures, hypercalcemia |
| Lewiecki et al. [35] | RCT (Phase 3, open-label) | 511 postmenopausal women | Abaloparatide-sMTS (transdermal) vs. SC (80 μg/day, 12 months) | Subcutaneous abaloparatide | Lumbar spine BMD | Hip BMD, s-PINP, AEs |
| Study | BMD Outcomes (SMD/MD/SUCRA) | Fractures (RR/OR) | Adverse Events (RR/OR) | Key Findings |
|---|---|---|---|---|
| Xu et al. [27] | Lumbar spine: SMD 1.28 (0.81–1.76; I2 = 78.5%) Femoral neck: SMD 0.70 (0.17–1.23; I2 = 75.7%) Total hip: SMD 0.86 (0.53–1.20; I2 = 60.4%) | Vertebral: RR 0.13 (0.06–0.26; I2 = 0%) | Overall AEs: RR 1.03 (0.99–1.06; I2 = 0%) | Significant BMD improvement; vertebral fracture reduction; no AE difference. |
| Chen et al. [28] | Lumbar spine: SUCRA 82.3% (highest) Femoral neck: SUCRA 69.8% (2nd) Total hip: SUCRA 59.6% (2nd) | Not assessed | All AEs: SUCRA 33.2% (5/6) | Abaloparatide ranked high for BMD but lower for safety. |
| Wei et al. [29] | Not reported | Vertebral vs. placebo: RR 0.21 (0.09–0.51) Ranked 1st (SUCRA 0.888) | SAEs: SUCRA 0.213 (lower safety) | Superior vertebral fracture reduction vs. comparators. |
| Hong et al. [30] | Femoral neck (vs. TPTD): WMD 1.58% (0.52–2.63) Total hip (vs. TPTD): WMD 1.46% (0.59–2.32) | Not reported | Hypercalcemia (vs. TPTD): OR 0.49 (0.18–1.35) Nausea (vs. placebo): OR 2.61 (1.73–3.95) | Better hip BMD vs. teriparatide; higher nausea risk. |
| Beaudart et al. [31] | Not reported | Vertebral (vs. placebo): OR 0.17 (0.06–0.45) Non-vertebral (vs. placebo): OR 0.56 (0.33–0.95) | Hypercalcemia: Higher with PTH1 analogs | Abaloparatide superior to teriparatide in non-vertebral fractures. |
| Beaudart et al. [32] | Lumbar spine: MD + 11.29% (1.80–20.8; I2 = 77%) Total hip: MD + 3.91% (0.34–7.49; I2 = 95%) | Not powered | Not reported | Significant BMD gains in men. |
| Liu et al. [33] | Lumbar spine: SMD 1.64 (0.97–2.31; I2 = 99%) Femoral neck: SMD 0.57 (0.16–0.99; I2 = 96%) | Fractures: RR 0.60 (0.43–0.82; I2 = 75%) | AEs: RR 0.85 (0.76–0.95; I2 = 97%) | Sequential therapy improved BMD and reduced fractures. |
| Miller et al. [34] | Lumbar spine: p < 0.001 Femoral neck: p < 0.001 | Vertebral: Significant reduction Non-vertebral: Lower KM rate | Hypercalcemia: 3.4% (ABA) vs. 6.4% (TPTD) | Abaloparatide reduced fractures with less hypercalcemia. |
| Lewiecki et al. [35] | Lumbar spine (sMTS vs. SC): −3.72% (−5.01%, −2.43%) Total hip: +1.97% (sMTS) vs. +3.70% (SC) | Few fractures (n NR) | Site reactions: 94.4% (sMTS) vs. 70.5% (SC) | Transdermal ABA noninferior but lower BMD gains vs. SC. |
| Study (Year) | Evidence Type/Population | Main Abaloparatide Comparison | Key Efficacy Finding (Fracture/BMD) | Key Safety Finding | Risk of Bias/Methodological Quality | Certainty Contribution to Main Outcome |
|---|---|---|---|---|---|---|
| Xu et al. 2024 [27] | Systematic review & meta-analysis of 8 RCTs; 3705 postmenopausal women with osteoporosis | ABL vs. placebo or control groups | Significant BMD increases: LS SMD 1.28 (0.81–1.76); FN SMD 0.70 (0.17–1.23); Hip SMD 0.86 (0.53–1.20). Vertebral fracture RR 0.13 (0.06–0.26) | No significant difference in adverse events vs. placebo: RR 1.03 (0.99–1.06) | RCTs assessed with Cochrane RoB tool; moderate heterogeneity; limitations include no gray-literature search & no subgroup analysis | Major contributor to high certainty in vertebral fracture reduction; moderate–high certainty for LS/FN/hip BMD improvement; moderate certainty for safety |
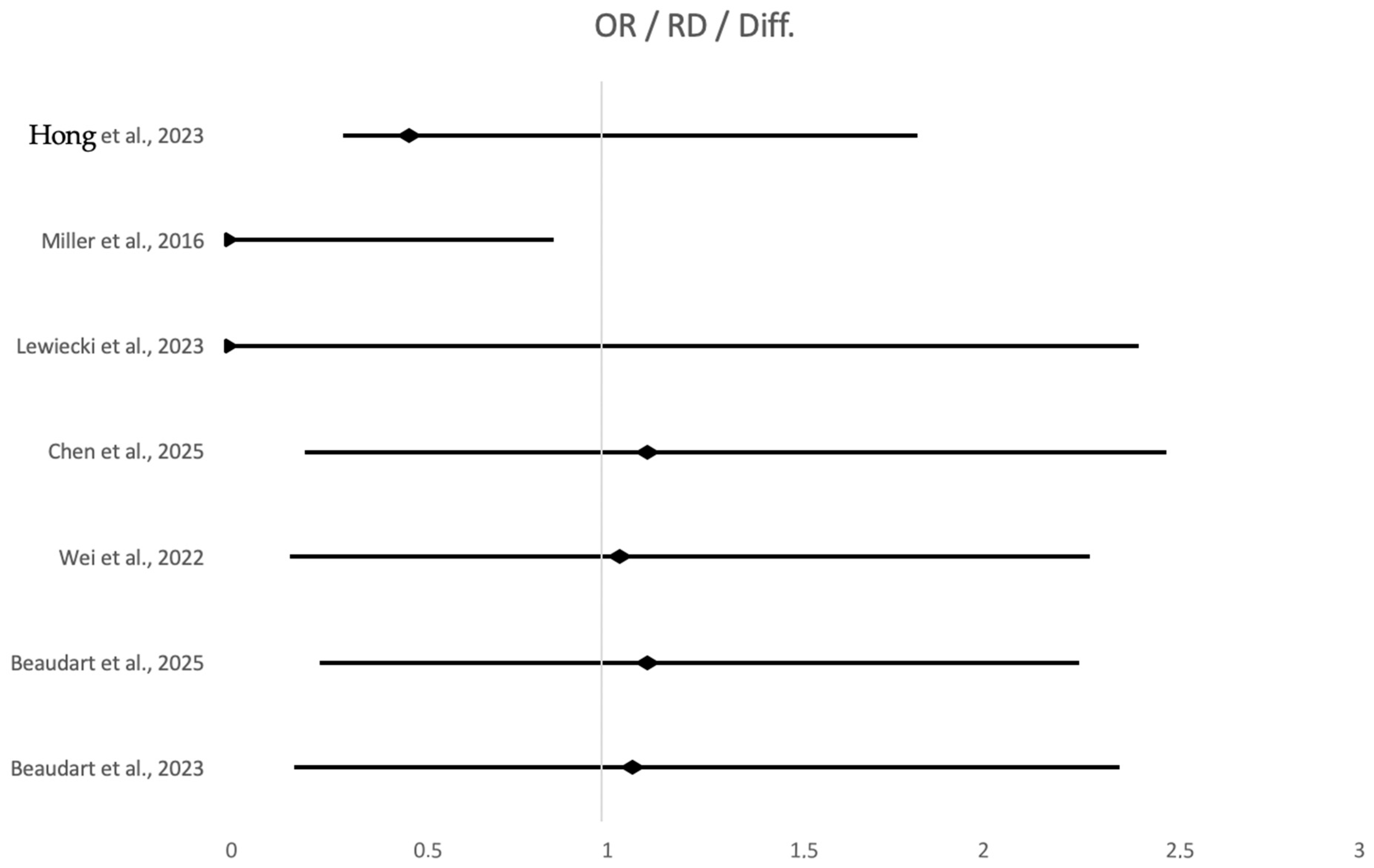
| Chen et al. 2025 [28] | Systematic review + Bayesian network meta-analysis of 18 RCTs (n = 4392) in male primary osteoporosis | Abaloparatide vs. denosumab, teriparatide, oral bisphosphonates, IV bisphosphonates, placebo/alfacalcidol | Lumbar spine BMD: ABA ranked #1 (SUCRA 82.3%). Femoral neck BMD: ABA ranked #2 (SUCRA 69.8%), significantly superior to OBP/IBP/DEN. Total hip BMD: Moderate effect (SUCRA 59.6%), lower than OBP. No fracture outcomes were reported for abaloparatide in male-only RCTs. | All adverse events: ABA mid-range safety (SUCRA 33.2%). Serious adverse events: ABA moderate safety (SUCRA 44.7%), safer than DEN but less safe than OBP/IBP. No major safety signal identified. | RCTs evaluated with Cochrane RoB tool. Majority had unclear reporting for randomization & allocation; overall moderate risk of bias, but network consistency high (node-splitting p > 0.05), no publication bias on funnel plots. | Moderate contribution to certainty: strong network consistency + multiple direct ABA trials for lumbar spine/femoral neck BMD; limited fracture data & small male ABA sample reduce overall certainty. |
| Wei et al. 2022 [29] | Network meta-analysis of 55 RCTs (n = 104,580) in postmenopausal women with osteoporosis | Abaloparatide vs. placebo and 15 other osteoporosis drugs | Vertebral fractures: ABL RR 0.21 (95% CI 0.09–0.51) vs. placebo → 79% relative risk reduction, one of the highest among all drugs. Short-term ≤ 18 mo: RR 0.14 (0.05–0.35). Long-term > 18 mo: RR 0.13 (0.03–0.65). Ranked #1 for vertebral fracture prevention (SUCRA 0.888–0.913). | Serious adverse events: No significant difference between ABL and placebo or any comparator (RR ~1.0 across network). AE ranking: SUCRA 0.213 (mid-range safety profile). No signal for increased major harms. | RCTs assessed via Cochrane RoB tool → mostly low or unclear risk, good consistency between direct/indirect evidence, no significant inconsistency (all p > 0.05). Large sample size strengthens validity. | High contribution to fracture-reduction certainty due to very large pooled sample, consistent superiority across short-/long-term analysis, and robust network consistency. Moderate certainty for safety outcomes due to heterogeneous AE reporting. |
| Hong et al. 2023 [30] | Updated meta-analysis of 4 RCTs + 12 post hoc analyses; 2938 postmenopausal women with osteoporosis | ABL vs. teriparatide (TPTD) and ABL vs. placebo | 24-week BMD results: ABL superior to TPTD at femoral neck (WMD = 1.58 [0.52, 2.63]) and total hip (WMD = 1.46 [0.59, 2.32]); ABL less effective than TPTD at lumbar spine (WMD = −0.61 [–2.89, 1.68], high heterogeneity). ABL improved BMD vs. placebo in all sites. Fracture data insufficient, but ACTIVE subgroup data show ABL reduced vertebral and non-vertebral fractures compared with TPTD. | Serious adverse events & deaths: no significant differences between ABL, TPTD, and placebo. Hypercalcemia 51% lower with ABL vs. TPTD (OR = 0.49 [0.18, 1.35]). Higher nausea (OR = 2.61 [1.73, 3.95]) and palpitations (OR = 12.54 [4.50, 34.93]) vs. placebo. | All included RCTs were manufacturer-sponsored, multicenter, double-blinded, randomized; Cochrane RoB tool applied; overall high methodological quality but heterogeneity, publication bias concerns, and limited fracture data. | Only two ABL vs. TPTD BMD subgroups achieved High GRADE certainty (FN & TH). Overall contributes moderate certainty for hip/FN BMD benefit, low–moderate certainty for LS BMD, low certainty for adverse events, and no upgrade for fracture outcomes due to insufficient data. |
| Beaudart et al. 2025 [31] | Systematic review + Bayesian network meta-analysis including 17 studies (11 RCTs + 6 RWE); adults with primary osteoporosis | Abaloparatide vs. placebo, teriparatide, and 8 other osteoporosis treatments | Vertebral fractures: ABL vs. placebo Peto OR 0.17 (95% CI 0.06–0.45). ABL significantly superior to calcitonin, raloxifene, and placebo. Non-vertebral fractures: ABL vs. placebo Peto OR 0.56 (0.33–0.95); ABL superior to teriparatide in RWE (OR 0.87, 0.80–0.95). Hip fractures: No RCT data; RWE shows ABL better than TPTD (OR 0.81, 0.71–0.93). All fractures: ABL superior to TPTD in pooled analysis (OR 0.88, 0.81–0.94). | AE profiles similar to those with teriparatide and other treatments. Higher AE rates vs. placebo driven mainly by hypercalcemia; when hypercalcemia excluded, ABL = placebo. No increased cardiovascular risk (MACE3/4/5) versus comparators. | RCTs mostly low RoB; some concerns in 3 RCTs (randomization, deviations). RWE studies good–excellent quality (7–9/9 NOS). NMA followed PRISMA-NMA with confirmed transitivity. | Supports moderate–high certainty for vertebral and non-vertebral fracture reduction; moderate certainty for hip fracture reduction (RWE-driven); high certainty that ABL and TPTD have comparable safety; moderate certainty for AE differences due to hypercalcemia. |
| Beaudart et al. 2023 [32] | Systematic review & meta-analysis of 21 RCTs; abaloparatide subgroup = 2 RCTs, 248 men with primary osteoporosis | Abaloparatide 80 μg daily vs. placebo | Significant BMD improvements at all sites: Lumbar spine MD + 11.29% (95% CI 1.80–20.8); Total hip MD + 3.91% (0.34–7.49); Femoral neck MD + 3.98% (1.10–6.85). Fracture data could not be meta-analyzed; available studies reported very low fracture numbers and were not powered for fracture outcomes. | No abaloparatide-specific pooled safety analysis; overall fracture-related safety acceptable in all included men’s trials; no signal of harm reported. | RoB2: most studies “some concerns”, driven by lack of published protocols; only 1 study high RoB; abaloparatide studies not rated high RoB. Heterogeneity high for ABL (I2 = 69–95%). | Low certainty for BMD outcomes (downgraded for serious imprecision and heterogeneity); very low certainty for fracture outcomes (sparse data, no pooling possible). |
| Liu et al. 2025 [33] | Systematic review & meta-analysis of 10 RCTs, 14,510 postmenopausal women with primary osteoporosis | Sequential therapy with bone formation promoters (Teriparatide/Abaloparatide) followed by bone resorption inhibitors vs. monotherapy or combination therapy | BMD: Spine ↑ SMD 1.64 (0.97–2.31); Femoral neck ↑ SMD 0.57 (0.16–0.99); Total hip ↑ SMD 0.82 (0.16–1.48). Fractures: Reduced risk—RR 0.60 (0.43–0.82). | Adverse events: Lower overall risk—RR 0.85 (0.76–0.95), though subgroup differences not significant; AE advantage not consistent. | Cochrane RoB (7 domains): Most RCTs had low risk for randomization & reporting; moderate to high risk for allocation concealment, blinding, and completeness due to long-term therapy and open-label designs. Overall mixed quality with several domains unclear/high. | Contributes moderate certainty for BMD improvements (consistent across sites despite heterogeneity); low–moderate certainty for fracture reduction (heterogeneity I2 = 75%). Safety outcomes low certainty due to high heterogeneity (I2 = 97%). |
| Miller et al. 2016 [34] | Phase 3 randomized, placebo- & active-controlled, double-blind for ABL vs. placebo; 2463 postmenopausal women with osteoporosis | Abaloparatide 80 μg SC daily vs. placebo (teriparatide as active comparator) | Fractures: New vertebral fracture 0.6% vs. 4.2% (RR 0.14; 95% CI 0.05–0.39). Non-vertebral fracture 2.7% vs. 4.7% (HR 0.57; p = 0.049). Major osteoporotic fractures 1.5% vs. 6.2% (HR 0.30). BMD: Significant increases vs. placebo at all sites at 18 months—Spine +11.20% vs. +0.63%; Total hip +4.18% vs. −0.10%; Femoral neck +3.60% vs. −0.43% (all p < 0.001). | Serious adverse events similar among groups (ABL 9.7% vs. placebo 11.0%). More discontinuations in ABL (9.9%). Hypercalcemia significantly lower vs. teriparatide (3.4% vs. 6.4%). Common AEs: dizziness, nausea, palpitations, hypercalciuria. | Low risk for randomization/blinding for the ABL vs. placebo groups; teriparatide arm open-label → performance/reporting bias possible. Large sample, pre-specified hierarchy, rigorous fracture adjudication improves internal validity. | Provides high certainty for vertebral fracture reduction (large effect, precise, consistent). Moderate–high certainty for BMD improvements. Moderate certainty for non-vertebral & clinical fractures (fewer events). Moderate certainty for safety (AE patterns consistent, hypercalcemia well-captured). |
| Lewiecki et al. 2023 [35] | Phase 3 randomized controlled trial; 511 postmenopausal women with osteoporosis | Transdermal abaloparatide (sMTS) vs. subcutaneous (SC) abaloparatide | BMD: LS +7.14% (sMTS) vs. +10.86% (SC) at 12 months; treatment difference −3.72% (95% CI −5.01 to −2.43) → noninferiority not met. Total hip BMD: +1.97% (sMTS) vs. +3.70% (SC). Bone turnover: s-PINP ↑ 52.6% (sMTS) vs. 74.5% (SC). Fractures: very few clinical fractures in either arm. | Adverse events dominated by administration-site reactions: 94.4% (sMTS) vs. 70.5% (SC). Serious AEs similar between groups. Skin reactions mild/moderate, no identified sensitization risk factors. | RCT with open-label design → higher risk of performance and detection bias. Methodology otherwise robust with balanced baseline characteristics and prespecified noninferiority margin. | Contributes moderate certainty for BMD improvement (consistent increases but noninferiority not met); low certainty for fracture outcomes (few events, underpowered). Safety certainty moderate (consistent AE patterns). |
| Study | (1) Question & Inclusion | (2) Protocol | (3) Study Design | (4) Comprehensive Search | (5) Study Selection | (6) Data Extraction | (7) Excluded Studies Justified | (8) Included Studies Details | (9) Risk of Bias (RoB) | (10) Funding Sources | (11) Statistical Methods | (12) RoB in Meta-analysis | (13) RoB in Individual Studies | (14) Explanation for Heterogeneity | (15) Publication Bias | (16) Conflict of Interest |
|---|---|---|---|---|---|---|---|---|---|---|---|---|---|---|---|---|
| Xu et al., 2024 [27] | Yes | Yes | Yes | Partial Yes | Yes | Yes | No | Yes | Yes | No | Yes | No | Yes | No | Yes | Yes |
| Hong et al., 2023 [30] | Yes | Yes | Yes | Yes | Yes | Yes | No | Yes | Yes | Yes | Yes | Yes | Yes | Yes | Yes | Yes |
| Beaudart et al., 2023 [32] | Yes | Yes | Yes | Yes | Yes | Yes | Yes | Yes | Yes | Yes | Yes | Yes | Yes | Yes | Yes | Yes |
| Liu et al., 2025 [33] | Yes | Yes | Yes | Partial Yes | Yes | Yes | No | Yes | Yes | No | Yes | No | Yes | Yes | Yes | Yes |
Disclaimer/Publisher’s Note: The statements, opinions and data contained in all publications are solely those of the individual author(s) and contributor(s) and not of MDPI and/or the editor(s). MDPI and/or the editor(s) disclaim responsibility for any injury to people or property resulting from any ideas, methods, instructions or products referred to in the content. |
© 2026 by the authors. Licensee MDPI, Basel, Switzerland. This article is an open access article distributed under the terms and conditions of the Creative Commons Attribution (CC BY) license.
Share and Cite
Bonifacio, M.; Ruggiero, M.; Lucchetti, L.; Musorrofiti, M.G.; La Cava, G.; Chiappetta, A.; Fiorino, E.; Lo Gullo, A.; Conforti, A. The Efficacy and Safety of Abaloparatide in Osteoporosis: A Systematic Review and Meta-Analysis. J. Clin. Med. 2026, 15, 673. https://doi.org/10.3390/jcm15020673
Bonifacio M, Ruggiero M, Lucchetti L, Musorrofiti MG, La Cava G, Chiappetta A, Fiorino E, Lo Gullo A, Conforti A. The Efficacy and Safety of Abaloparatide in Osteoporosis: A Systematic Review and Meta-Analysis. Journal of Clinical Medicine. 2026; 15(2):673. https://doi.org/10.3390/jcm15020673
Chicago/Turabian StyleBonifacio, Marco, Marco Ruggiero, Linda Lucchetti, Marco Giuseppe Musorrofiti, Giuseppe La Cava, Alessandro Chiappetta, Emanuele Fiorino, Alberto Lo Gullo, and Alessandro Conforti. 2026. "The Efficacy and Safety of Abaloparatide in Osteoporosis: A Systematic Review and Meta-Analysis" Journal of Clinical Medicine 15, no. 2: 673. https://doi.org/10.3390/jcm15020673
APA StyleBonifacio, M., Ruggiero, M., Lucchetti, L., Musorrofiti, M. G., La Cava, G., Chiappetta, A., Fiorino, E., Lo Gullo, A., & Conforti, A. (2026). The Efficacy and Safety of Abaloparatide in Osteoporosis: A Systematic Review and Meta-Analysis. Journal of Clinical Medicine, 15(2), 673. https://doi.org/10.3390/jcm15020673

