Prognostic Significance of C-PLAN Index in Patients Treated with Immunotherapy for Non-Small-Cell Lung Cancer
Abstract
1. Introduction
2. Materials and Methods
2.1. Data Classification
2.2. Statistical Analysis
3. Results
4. Discussion
Author Contributions
Funding
Institutional Review Board Statement
Informed Consent Statement
Data Availability Statement
Conflicts of Interest
References
- Zhou, J.; Xu, Y.; Liu, J.; Feng, L.; Yu, J.; Chen, D. Global burden of lung cancer in 2022 and projections to 2050: Incidence and mortality estimates from GLOBOCAN. Cancer Epidemiol. 2024, 93, 102693. [Google Scholar] [CrossRef] [PubMed]
- Woodard, G.A.; Jones, K.D.; Jablons, D.M. Lung cancer staging and prognosis. Cancer Treat. Res. 2016, 170, 47–75. [Google Scholar] [CrossRef]
- Teng, F.; Meng, X.; Kong, L.; Yu, J. Progress and challenges of predictive biomarkers of anti PD-1/PD-L1 immunotherapy: A systematic review. Cancer Lett. 2018, 414, 166–173. [Google Scholar] [CrossRef] [PubMed]
- de Beur, S.M.J. Tumor-Induced Osteomalacia. JAMA 2005, 294, 1260–1267. [Google Scholar] [CrossRef]
- Pardoll, D.M. The blockade of immune checkpoints in cancer immunotherapy. Nat. Rev. Cancer 2012, 12, 252–264. [Google Scholar] [CrossRef]
- Brahmer, J.; Reckamp, K.L.; Baas, P.; Crinò, L.; Eberhardt, W.E.E.; Poddubskaya, E.; Antonia, S.; Pluzanski, A.; Vokes, E.E.; Holgado, E.; et al. Nivolumab versus Docetaxel in Advanced Squamous-Cell Non–Small-Cell Lung Cancer. N. Engl. J. Med. 2015, 373, 123–135. [Google Scholar] [CrossRef]
- Magalhães, H.; Fontes-Sousa, M.; MacHado, M. Immunotherapy in Advanced Gastric Cancer: An Overview of the Emerging Strategies. Can. J. Gastroenterol. Hepatol. 2018, 2018, 2732408. [Google Scholar] [CrossRef]
- Brahmer, J.R.; Drake, C.G.; Wollner, I.; Powderly, J.D.; Picus, J.; Sharfman, W.H.; Stankevich, E.; Pons, A.; Salay, T.M.; McMiller, T.L.; et al. Phase I study of single-agent anti-programmed death-1 (MDX-1106) in refractory solid tumors: Safety, clinical activity, pharmacodynamics, and immunologic correlates. J. Clin. Oncol. 2010, 28, 3167–3175. [Google Scholar] [CrossRef] [PubMed]
- Motzer, R.J.; Rini, B.I.; McDermott, D.F.; Redman, B.G.; Kuzel, T.M.; Harrison, M.R.; Vaishampayan, U.N.; Drabkin, H.A.; George, S.; Logan, T.F.; et al. Nivolumab for metastatic renal cell carcinoma: Results of a randomized phase II trial. J. Clin. Oncol. 2015, 33, 1430–1437. [Google Scholar] [CrossRef]
- Topalian, S.L.; Hodi, F.S.; Brahmer, J.R.; Gettinger, S.N.; Smith, D.C.; McDermott, D.F.; Powderly, J.D.; Carvajal, R.D.; Sosman, J.A.; Atkins, M.B.; et al. Safety, activity, and immune correlates of anti-PD-1 antibody in cancer. N. Engl. J. Med. 2012, 366, 2443–2454. [Google Scholar] [CrossRef]
- Reck, M.; Rodríguez-Abreu, D.; Robinson, A.G.; Hui, R.; Csőszi, T.; Fülöp, A.; Gottfried, M.; Peled, N.; Tafreshi, A.; Cuffe, S.; et al. Pembrolizumab versus Chemotherapy for PD-L1–Positive Non–Small-Cell Lung Cancer. N. Engl. J. Med. 2016, 375, 1823–1833. [Google Scholar] [CrossRef]
- Kumar, A.; Kapoor, A.; Noronha, V.; Patil, V.M.; Joshi, A.; Menon, N.; Janu, A.; Mahajan, A.; Rajendra, A.; Agarawal, A.; et al. Efficacy and Safety of Low-Dose Nivolumab in Treatment of Advanced Solid Tumors: A Retrospective Audit from Resource-Constrained Settings. South Asian J. Cancer 2024, 14, 70–76. [Google Scholar] [CrossRef]
- Hong, X.; Cui, B.; Wang, M.; Yang, Z.; Wang, L.; Xu, Q. Systemic immune-inflammation index, based on platelet counts and neutrophil-lymphocyte ratio, is useful for predicting prognosis in small cell lung cancer. Tohoku J. Exp. Med. 2015, 236, 297–304. [Google Scholar] [CrossRef]
- Guven, D.C.; Sahin, T.K.; Erul, E.; Cakir, I.Y.; Ucgul, E.; Yildirim, H.C.; Aktepe, O.H.; Erman, M.; Kilickap, S.; Aksoy, S.; et al. The Association between Early Changes in Neutrophil-Lymphocyte Ratio and Survival in Patients Treated with Immunotherapy. J. Clin. Med. 2022, 11, 4523. [Google Scholar] [CrossRef]
- Inanc, M.; Duran, A.O.; Karaca, H.; Berk, V.; Bozkurt, O.; Ozaslan, E.; Ozkan, M. Haematologic parameters in metastatic colorectal cancer patients treated with capecitabine combination therapy. Asian Pac. J. Cancer Prev. 2014, 15, 253–256. [Google Scholar] [CrossRef]
- Kawaguchi, T.; Takada, M.; Kubo, A.; Matsumura, A.; Fukai, S.; Tamura, A.; Saito, R.; Maruyama, Y.; Kawahara, M.; Ignatius Ou, S.H. Performance status and smoking status are independent favorable prognostic factors for survival in non-small cell lung cancer: A comprehensive analysis of 26,957 patients with NSCLC. J. Thorac. Oncol. 2010, 5, 620–630. [Google Scholar] [CrossRef] [PubMed]
- Sonehara, K.; Ozawa, R.; Hama, M.; Nozawa, S.; Agatsuma, T.; Nishie, K.; Kato, A.; Matsuo, A.; Araki, T.; Komatsu, M.; et al. C-PLAN index as a prognostic factor for patients with previously untreated advanced non-small cell lung cancer who received combination immunotherapy: A multicenter retrospective study. Thorac. Cancer 2023, 14, 636–642. [Google Scholar] [CrossRef]
- Wang, J.; Guo, H.; Yang, J.; Mao, J.; Wang, Y.; Yan, X.; Guo, H. Identification of C-PLAN index as a novel prognostic predictor for advanced lung cancer patients receiving immune checkpoint inhibitors. Front. Oncol. 2024, 14, 1339729. [Google Scholar] [CrossRef] [PubMed]
- Altman, D.G.; Royston, P. What do we mean by validating a prognostic model? Stat. Med. 2000, 19, 453–473. [Google Scholar] [CrossRef]
- Herbst, R.S.; Soria, J.C.; Kowanetz, M.; Fine, G.D.; Hamid, O.; Gordon, M.S.; Sosman, J.A.; McDermott, D.F.; Powderly, J.D.; Gettinger, S.N.; et al. Predictive correlates of response to the anti-PD-L1 antibody MPDL3280A in cancer patients Roy. Nature 2016, 515, 563–567. [Google Scholar] [CrossRef] [PubMed]
- Horn, L.; Spigel, D.R.; Vokes, E.E.; Holgado, E.; Ready, N.; Steins, M.; Poddubskaya, E.; Borghaei, H.; Felip, E.; Paz-Ares, L.; et al. Nivolumab versus docetaxel in previously treated patients with advanced non-small-cell lung cancer: Two-year outcomes from two randomized, open-label, phase III Trials (CheckMate 017 and CheckMate 057). J. Clin. Oncol. 2017, 35, 3924–3933. [Google Scholar] [CrossRef]
- Wang, Q.; Ju, X.; Wang, J.; Fan, Y.; Ren, M.; Zhang, H. Immunogenic cell death in anticancer chemotherapy and its impact on clinical studies. Cancer Lett. 2018, 438, 17–23. [Google Scholar] [CrossRef] [PubMed]
- Wang, Y.J.; Fletcher, R.; Yu, J.; Zhang, L. Immunogenic effects of chemotherapy-induced tumor cell death. Genes Dis. 2018, 5, 194–203. [Google Scholar] [CrossRef]
- Mantovani, A.; Allavena, P.; Sica, A.; Balkwill, F. Cancer-related inflammation. Nature 2008, 454, 436–444. [Google Scholar] [CrossRef]
- Bayraktaroglu, M.; Yildiz, B.P. Prognostic significance of neutrophil-to-lymphocyte ratio and platelet-to-lymphocyte ratio in non-small cell lung cancer. Medicine 2023, 102, e34180. [Google Scholar] [CrossRef]
- Platini, H.; Ferdinand, E.; Kohar, K.; Prayogo, S.A.; Amirah, S.; Komariah, M.; Maulana, S. Neutrophil-to-Lymphocyte Ratio and Platelet-to-Lymphocyte Ratio as Prognostic Markers for Advanced Non-Small-Cell Lung Cancer Treated with Immunotherapy: A Systematic Review and Meta-Analysis. Medicina 2022, 58, 1069. [Google Scholar] [CrossRef]
- Zhang, Z.; Li, Y.; Yan, X.; Song, Q.; Wang, G.; Hu, Y.; Jiao, S.; Wang, J. Pretreatment lactate dehydrogenase may predict outcome of advanced non small-cell lung cancer patients treated with immune checkpoint inhibitors: A meta-analysis. Cancer Med. 2019, 8, 1467–1473. [Google Scholar] [CrossRef]
- Stares, M.; Swan, A.; Cumming, K.; Ding, T.E.; Leach, J.; Stratton, C.; Thomson, F.; Barrie, C.; MacLennan, K.; Campbell, S.; et al. Hypoalbuminaemia as a Prognostic Biomarker of First-Line Treatment Resistance in Metastatic Non-small Cell Lung Cancer. Front. Nutr. 2021, 8, 734735. [Google Scholar] [CrossRef] [PubMed]
- Ma, S.; Li, F.; Wang, L. The Construction of a Nomogram Using the Pan-Immune-Inflammation Value Combined with a PILE Score for Immunotherapy Prediction Prognosis in Advanced NSCLC. Cancer Manag. Res. 2024, 16, 741–751. [Google Scholar] [CrossRef] [PubMed]
- Diker, O.; Olgun, P.; Balyemez, U.; Ikiz, S.S. Development of a Novel Predictive-Prognostic Scoring Index for Immune Checkpoint Inhibitors in Advanced Non-small Cell Lung Cancer. Cureus 2023, 15, e33234. [Google Scholar] [CrossRef] [PubMed]
- Forrest, L.M.; McMillan, D.C.; McArdle, C.S.; Angerson, W.J.; Dunlop, D.J. Evaluation of cumulative prognostic scores based on the systemic inflammatory response in patients with inoperable non-small-cell lung cancer. Br. J. Cancer 2003, 89, 1028–1030. [Google Scholar] [CrossRef] [PubMed]
- Disli, S.Y.; Ayas, E.; Disli, A.K.; Ozdemir, F. Prognostic Value of Inflammatory and Nutritional Index in Advanced Stage Non-Small Cell Lung Cancer Patients Treated with Nivolumab in Second-Line Therapy. Int. J. Hematol. Oncol. 2024, 35, 68–73. [Google Scholar] [CrossRef]
- Zhang, Q.; Bao, J.; Zhu, Z.Y.; Jin, M.X. Prognostic nutritional index as a prognostic factor in lung cancer patients receiving chemotherapy: A systematic review and meta-analysis. Eur. Rev. Med. Pharmacol. Sci. 2021, 25, 5636–5652. [Google Scholar] [CrossRef] [PubMed]
- Buğday, İ.; İnanç, M.; Özkan, M.; Bozkurt, O.; Coşar, R.; Firat, S.T.; Mutlu, E.; Eser, M.; Dişli, A.K.; Cengiz, M. Prognostic impact of elevated C-reactive protein and procalcitonin in patients with extensive-stage small cell lung cancer. Anti-Cancer Drugs 2025, 36, 135–139. [Google Scholar] [CrossRef] [PubMed]




| Variables | Point 0 | Point 1 |
|---|---|---|
| Performance status | 0–1 | 2 |
| Albumin (g/dL) | ≥3.5 | <3.5 |
| Neutrophil-to-lymphocyte ratio * | <3 | ≥3 |
| Lactate dehydrogenase (U/L) | <250 | ≥250 |
| C-reactive protein (mg/L) * | <16.1 | >16.1 |
| Variables | C-Plan Group | Total (n = 560) | p-Value | |
|---|---|---|---|---|
| Poor n = 450 (%) | Good n = 110 (%) | |||
| Gender Female Male | 57 (12.7) 393 (87.3) | 19 (17.2) 91 (82.8) | 76 (13.1) 484 (86.4) | 0.719 |
| Age (years) <65 ≥65 | 236 (52.4) 214 (47.6) | 58 (52.7) 51 (47.3) | 294 (52.5) 266 (47.5) | 0.920 |
| ECOG performance status 0–1 2 | 377 (83.8) 73 (16.2) | 110 (100) 0 (0) | 487 (86.9) 73 (13.3) | <0.001 |
| Diagnosis Adenocarcinoma Squamous cell carcinoma Other | 181 (39.9) 239 (52.8) 30 (6.2) | 51 (46.3) 50 (45.4) 9 (8.1) | 232 (41.4) 289 (51.6) 39 (7) | 0.559 |
| Metastatic site Liver Brain Adrenal Bone | 60 (18.9) 68 (21.5) 64 (20.2) 131 (41.3) | 40 (16.4) 53 (21.8) 70 (28.8) 87 (35.8) | 89 (15.9) 121 (21.6) 134 (23.9) 218 (38.9) | 0.72 0.91 0.03 0.41 |
| ICI Treatment Line 1 2 3 4 | 19 (4) 363 (81) 55 (12.5) 13 (2.5) | 7 (6.3) 86 (78.2) 16 (14.5) 1 (1) | 26 (4.6) 449 (80.1) 71 (12.6) 14 (2.5) | 0.656 |
| CRP ≥16.1 mg/L <16.1 mg/L | 262 (58.1) 188 (41.9) | 43 (39) 67 (71) | 305 (54.5) 255 (45.5) | <0.001 |
| Lactate dehydrogenase (LDH) <ULN ≥ULN | 225 (50.2) 223 (49.8) | 95 (95) 15 (5) | 320 (57.3) 238 (42.7) | <0.001 |
| Albumin <3.5 g/dL ≥3.5 g/dL | 109 (24.2) 341 (75.8) | 0 (0) 110 (100) | 109 (19.4) 451 (80.6) | <0.001 |
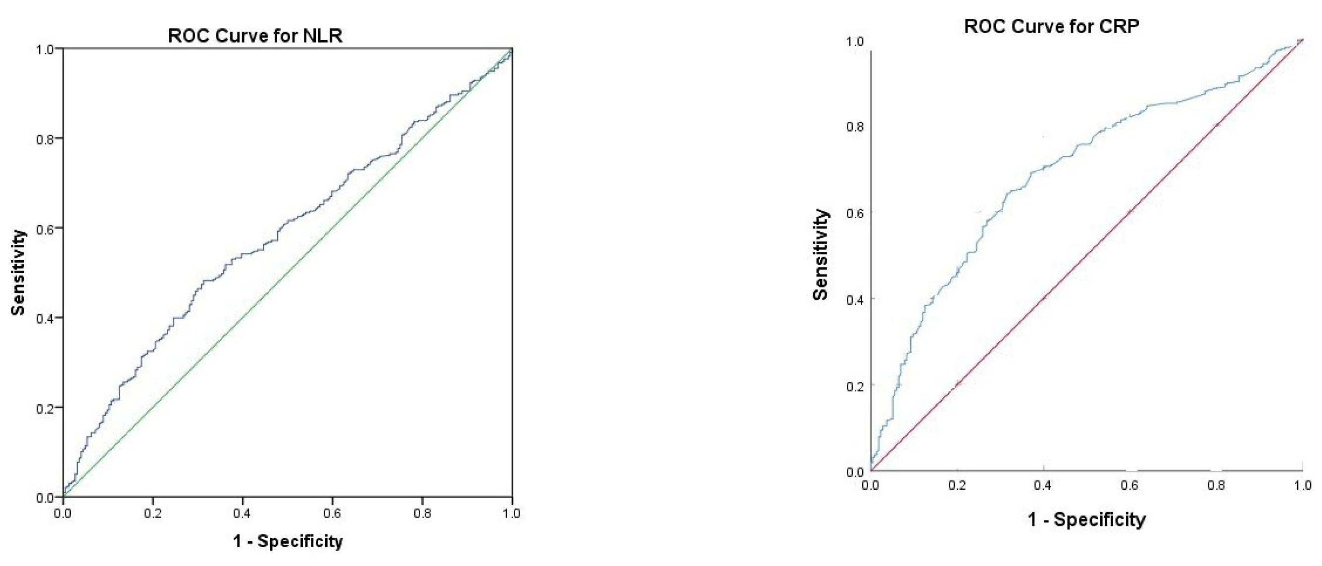
| Variables | AUC | %95 CI | Cut-Off | Sensitivity (%) | Specificity (%) | p |
|---|---|---|---|---|---|---|
| NLR | 0.580 | 0.533–0.628 | ≥3 | 60.7 | 51 | 0.001 |
| CRP | 0.598 | 0.555–0.641 | ≥16.10 | 58.4 | 59.0 | <0.001 |
| Variables | Univariate | Multiple | ||
|---|---|---|---|---|
| HR (95%CI) | p-Value | HR (95%CI) | p-Value | |
| Age (years) ≥65 <65 | 1.00 0.96 (0.77–1.19) | - 0.71 | ||
| Sex Male Female | 1.00 1.1 (0.81–1.59) | - 0.43 | ||
| Smoke No Yes | 1.00 0.9 (0.66–1.23) | - 0.53 | ||
| Histology Adenocarcinoma Squamous cell carcinoma Others | 1.00 0.92 (0.60–1.41) 1.14 (0.74–1.73) | - 0.18 | ||
| Brain metastasis Yes No | 1.00 0.88 (0.68–1.1) | - 0.34 | ||
| CRP ≥16.1 mg/L <16.1 mg/L | 1.00 0.29 (0.23–0.37) | - <0.001 | 1.00 0.50 (0.37–0.68) | - <0.001 |
| ECOG performance status 2 0–1 | 1.00 0.35 (0.27–0.46) | - <0.001 | 1.00 0.58 (0.43–0.77) | - <0.001 |
| Lactate dehydrogenase (LDH) a ≥ULN <ULN | 1.00 0.58 (0.47–0.72) | - <0.001 | 1.00 0.67 (0.52–0.86) | - 0.002 |
| Albumin <3.5 g/dL ≥3.5 g/dL | 1.00 0.35 (0.27–0.45) | - <0.001 | 1.00 0.59 (0.45–0.78) | - <0.001 |
| NLR >3 ≤3 | 1.00 0.62 (0.49–0.77) | - <0.001 | 1.00 0.79 (0.61–1.0) | - 0.09 |
| C-Plan ≥2 0–1 | 1.00 0.20 (0.15–0.26) | - <0.001 | 1.00 0.48 (0.31–0.72) | - <0.001 |
| Variables | Univariate | Multiple | ||
|---|---|---|---|---|
| HR (95%CI) | p-Value | HR (95%CI) | p-Value | |
| Age (years) <65 ≥65 | 1.00 1.1 (0.91–1.3) | - 0.26 | ||
| Smoke No Yes | 1.00 1.0 (0.76–1.32) | - 0.95 | ||
| Sex Male Female | 1.00 0.92 (0.69–1.23) | - 0.59 | ||
| Brain metastasis Yes No | 1.00 0.91 (0.72–1.1) | - 0.45 | ||
| Histology Adenocarcinoma Squamous cell carcinoma Others | 1.00 1.0 (0.84–1.1) 1.09 (0.92–1.28) | - 0.57 | ||
| CRP ≥16.1 mg/L <16.1 mg/L | 1.00 0.41 (0.33–0.51) | - <0.001 | 1.00 0.56 (0.43–0.74) | - <0.001 |
| ECOG performance status 2 0–1 | 1.00 0.48 (0.37–0.62) | - <0.001 | 1.00 0.69 (0.51–0.92) | - 0.01 |
| Lactate dehydrogenase (LDH) a ≥ULN <ULN | 1.00 0.64 (0.52–0.78) | - <0.001 | 1.00 0.68 (0.54–0.86) | - 0.002 |
| Albumin <3.5 g/dL ≥3.5 g/dL | 1.00 0.49 (0.39–0.62) | - <0.001 | 1.00 0.74 (0.57–0.96) | - 0.02 |
| NLR >3 ≤3 | 1.00 0.75 (0.61–0.91) | - 0.005 | 1.00 0.88 (0.69–1.12) | - 0.31 |
| C-Plan ≥2 0–1 | 1.00 0.33 (0.27–0.42) | - <0.001 | 1.00 0.65 (0.45–0.93) | - 0.01 |
Disclaimer/Publisher’s Note: The statements, opinions and data contained in all publications are solely those of the individual author(s) and contributor(s) and not of MDPI and/or the editor(s). MDPI and/or the editor(s) disclaim responsibility for any injury to people or property resulting from any ideas, methods, instructions or products referred to in the content. |
© 2026 by the authors. Licensee MDPI, Basel, Switzerland. This article is an open access article distributed under the terms and conditions of the Creative Commons Attribution (CC BY) license.
Share and Cite
Nuransoy Cengiz, A.; Bozkurt, O.; Cengiz, M.; Ozkan, M.; Inanc, M.; Kefeli, U.; Cabuk, D.; Erman, M.; Kilickap, S.; Koseci, T.; et al. Prognostic Significance of C-PLAN Index in Patients Treated with Immunotherapy for Non-Small-Cell Lung Cancer. J. Clin. Med. 2026, 15, 642. https://doi.org/10.3390/jcm15020642
Nuransoy Cengiz A, Bozkurt O, Cengiz M, Ozkan M, Inanc M, Kefeli U, Cabuk D, Erman M, Kilickap S, Koseci T, et al. Prognostic Significance of C-PLAN Index in Patients Treated with Immunotherapy for Non-Small-Cell Lung Cancer. Journal of Clinical Medicine. 2026; 15(2):642. https://doi.org/10.3390/jcm15020642
Chicago/Turabian StyleNuransoy Cengiz, Ayse, Oktay Bozkurt, Muhammet Cengiz, Metin Ozkan, Mevlude Inanc, Umut Kefeli, Devrim Cabuk, Mustafa Erman, Saadettin Kilickap, Tolga Koseci, and et al. 2026. "Prognostic Significance of C-PLAN Index in Patients Treated with Immunotherapy for Non-Small-Cell Lung Cancer" Journal of Clinical Medicine 15, no. 2: 642. https://doi.org/10.3390/jcm15020642
APA StyleNuransoy Cengiz, A., Bozkurt, O., Cengiz, M., Ozkan, M., Inanc, M., Kefeli, U., Cabuk, D., Erman, M., Kilickap, S., Koseci, T., Bayir, D., Guven, D. C., Urun, M., Cosar, R., Sakalar, T., Majidova, N., Mutlu Ozkan, E., Akosman, C., Ersoy, M., ... Apaydin Rollas, A. E. (2026). Prognostic Significance of C-PLAN Index in Patients Treated with Immunotherapy for Non-Small-Cell Lung Cancer. Journal of Clinical Medicine, 15(2), 642. https://doi.org/10.3390/jcm15020642

