Passive Leg-Raising Test as a Predictor for the Drop in Blood Pressure After a Lumbar Epidural Block in the Pain Clinic: A Prospective Observational Study
Abstract
1. Introduction
2. Materials and Methods
2.1. Study Population
2.2. Exposure and Measurements
2.3. Transforaminal Lumbar Epidural Block
2.4. Statistical Analysis
3. Results
4. Discussion
Author Contributions
Funding
Institutional Review Board Statement
Informed Consent Statement
Data Availability Statement
Acknowledgments
Conflicts of Interest
References
- Dilke, T.F.; Burry, H.C.; Grahame, R. Extradural corticosteroid injection in management of lumbar nerve root compression. Br. Med. J. 1973, 2, 635–637. [Google Scholar] [CrossRef] [PubMed]
- Ridley, M.G.; Kingsley, G.H.; Gibson, T.; Grahame, R. Outpatient lumbar epidural corticosteroid injection in the management of sciatica. Br. J. Rheumatol. 1988, 27, 295–299. [Google Scholar] [CrossRef] [PubMed]
- Bush, K.; Hiller, S. A Controlled Study of Caudal Epidural Injections of Triamcinolone Plus Procaine for the Management of Intractable Sciatica. Spine 1991, 16, 572–575. [Google Scholar] [CrossRef] [PubMed]
- Carette, S.; Leclaire, R.; Marcoux, S.; Morin, F.; Blaise, G.A.; St-Pierre, A.; Truchon, R.; Parent, F.; Lévesque, J.; Bergeron, V.; et al. Epidural Corticosteroid Injections for Sciatica Due to Herniated Nucleus Pulposus. N. Engl. J. Med. 1997, 336, 1634–1640. [Google Scholar] [CrossRef]
- Young, I.A.; Hyman, G.S.; Packia-Raj, L.N.; Cole, A.J. The use of lumbar epidural/transforaminal steroids for managing spinal disease. J. Am. Acad. Orthop. Surg. 2007, 15, 228–238. [Google Scholar] [CrossRef]
- Vad, V.B.; Bhat, A.L.; Lutz, G.E.; Cammisa, F. Transforaminal epidural steroid injections in lumbosacral radiculopathy: A prospective randomized study. Spine 2002, 27, 11–16. [Google Scholar] [CrossRef]
- Botwin, K.P.; Gruber, R.D.; Bouchlas, C.G.; Torres-Ramos, F.M.; Freeman, T.L.; Slaten, W.K. Complications of fluoroscopically guided transforaminal lumbar epidural injections. Arch. Phys. Med. Rehabil. 2000, 81, 1045–1050. [Google Scholar] [CrossRef]
- Plastaras, C.; McCormick, Z.L.; Garvan, C.; Macron, D.; Joshi, A.; Chimes, G.; Smeal, W.; Rittenberg, J.; Kennedy, D.J. Adverse events associated with fluoroscopically guided lumbosacral transforaminal epidural steroid injections. Spine J. 2015, 15, 2157–2165. [Google Scholar] [CrossRef]
- El-Yahchouchi, C.A.; Plastaras, C.T.; Maus, T.P.; Carr, C.M.; McCormick, Z.L.; Geske, J.R.; Smuck, M.; Pingree, M.J.; Kennedy, D.J. Adverse Event Rates Associated with Transforaminal and Interlaminar Epidural Steroid Injections: A Multi-Institutional Study. Pain Med. 2016, 17, 239–249. [Google Scholar] [CrossRef]
- Delicce, A.V.; Makaryus, A.N. Physiology, frank starling law. In StatPearls; StatPearls Publishing LLC: Treasure Island, FL, USA, 2017. [Google Scholar]
- Monnet, X.; Teboul, J.-L. Passive leg raising. In Applied Physiology in Intensive Care Medicine 2: Physiological Reviews and Editorials; Springer: Berlin/Heidelberg, Germany, 2012; pp. 55–59. [Google Scholar]
- Veering, B.T.; Cousins, M.J. Epidural neural. In Cousins and Bridenbaugh’s Neural Blockade in Clinical Anesthesia and Pain Medicine; Lippincott Williams & Wilkins: Philadelphia, PA, USA, 2009; p. 241. [Google Scholar]
- Hasanein, R.; El-sayed, W.; Khalil, M. The value of epidural magnesium sulfate as an adjuvant to bupivacaine and fentanyl for labor analgesia. Egypt. J. Anaesth. 2013, 29, 219–224. [Google Scholar] [CrossRef][Green Version]
- Myanroudi, M.H.; Alizadeh, K.; Sadeghi, M. Hypotension in Spinal and Epidural Anesthesia. Bahrain Med. Bull. 2008, 30, 1–5. [Google Scholar]
- Faul, F.; Erdfelder, E.; Lang, A.G.; Buchner, A. G*Power 3: A flexible statistical power analysis program for the social, behavioral, and biomedical sciences. Behav. Res. Methods 2007, 39, 175–191. [Google Scholar] [CrossRef] [PubMed]
- Faul, F.; Erdfelder, E.; Buchner, A.; Lang, A.G. Statistical power analyses using G*Power 3.1: Tests for correlation and regression analyses. Behav. Res. Methods 2009, 41, 1149–1160. [Google Scholar] [CrossRef] [PubMed]
- Holte, K.; Foss, N.B.; Svensén, C.; Lund, C.; Madsen, J.L.; Kehlet, H. Epidural anesthesia, hypotension, and changes in intravascular volume. J. Am. Soc. Anesthesiol. 2004, 100, 281–286. [Google Scholar] [CrossRef]
- Cousins, M.J.; Bridenbaugh, P.O. Neural Blockade in Clinical Anesthesia and Management of Pain; Lippincott Williams & Wilkins: Philadelphia, PA, USA, 1998; Volume 494. [Google Scholar]
- Carpenter, R.L.; Caplan, R.A.; Brown, D.L.; Stephenson, C.; Wu, R. Incidence and risk factors for side effects of spinal anesthesia. Anesthesiology 1992, 76, 906–916. [Google Scholar] [CrossRef]
- Tarkkila, P.; Isola, J. A Regression-Model for Identifying Patients at High-Risk of Hypotension, Bradycardia and Nausea during Spinal-Anesthesia. Acta Anaesth. Scand. 1992, 36, 554–558. [Google Scholar] [CrossRef]
- La Via, L.; Vasile, F.; Perna, F.; Zawadka, M. Prediction of fluid responsiveness in critical care: Current evidence and future perspective. Trends Anaesth. Crit. Care 2024, 54, 101316. [Google Scholar] [CrossRef]
- Ni, T.T.; Zhou, Z.F.; He, B.; Zhou, Q.H. Inferior Vena Cava Collapsibility Index Can Predict Hypotension and Guide Fluid Management After Spinal Anesthesia. Front. Surg. 2022, 9, 831539. [Google Scholar] [CrossRef]
- Ceruti, S.; Anselmi, L.; Minotti, B.; Franceschini, D.; Aguirre, J.; Borgeat, A.; Saporito, A. Prevention of arterial hypotension after spinal anaesthesia using vena cava ultrasound to guide fluid management. Br. J. Anaesth. 2018, 120, 101–108. [Google Scholar] [CrossRef]
- Cavallaro, F.; Sandroni, C.; Antonelli, M. Functional hemodynamic monitoring and dynamic indices of fluid responsiveness. Minerva Anestesiol. 2008, 74, 123. [Google Scholar]
- Curatolo, M.; Scaramozzino, P.; Venuti, F.S.; Orlando, A.; Zbinden, A.M. Factors associated with hypotension and bradycardia after epidural blockade. Anesth. Analg. 1996, 83, 1033–1040. [Google Scholar] [CrossRef]
- She, Y.-J.; Liu, W.-X.; Wang, L.-Y.; Ou, X.-X.; Liang, H.-H.; Lei, D.-X. The impact of height on the spread of spinal anesthesia and stress response in parturients undergoing caesarean section: A prospective observational study. BMC Anesthesiol. 2021, 21, 298. [Google Scholar] [CrossRef] [PubMed]
- Kim, H.L. Arterial stiffness and hypertension. Clin. Hypertens. 2023, 29, 31. [Google Scholar] [CrossRef] [PubMed]
- Singla, D.; Kathuria, S.; Singh, A.; Kaul, T.K.; Gupta, S. Risk factors for development of early hypotension during spinal anaesthesia. J. Anaesthesiol. Clin. Pharmacol. 2006, 22, 387–393. [Google Scholar]
- Hartmann, B.; Junger, A.; Klasen, J.; Benson, M.; Jost, A.; Banzhaf, A.; Hempelmann, G. The incidence and risk factors for hypotension after spinal anesthesia induction: An analysis with automated data collection. Anesth. Analg. 2002, 94, 1521–1529. [Google Scholar] [CrossRef]

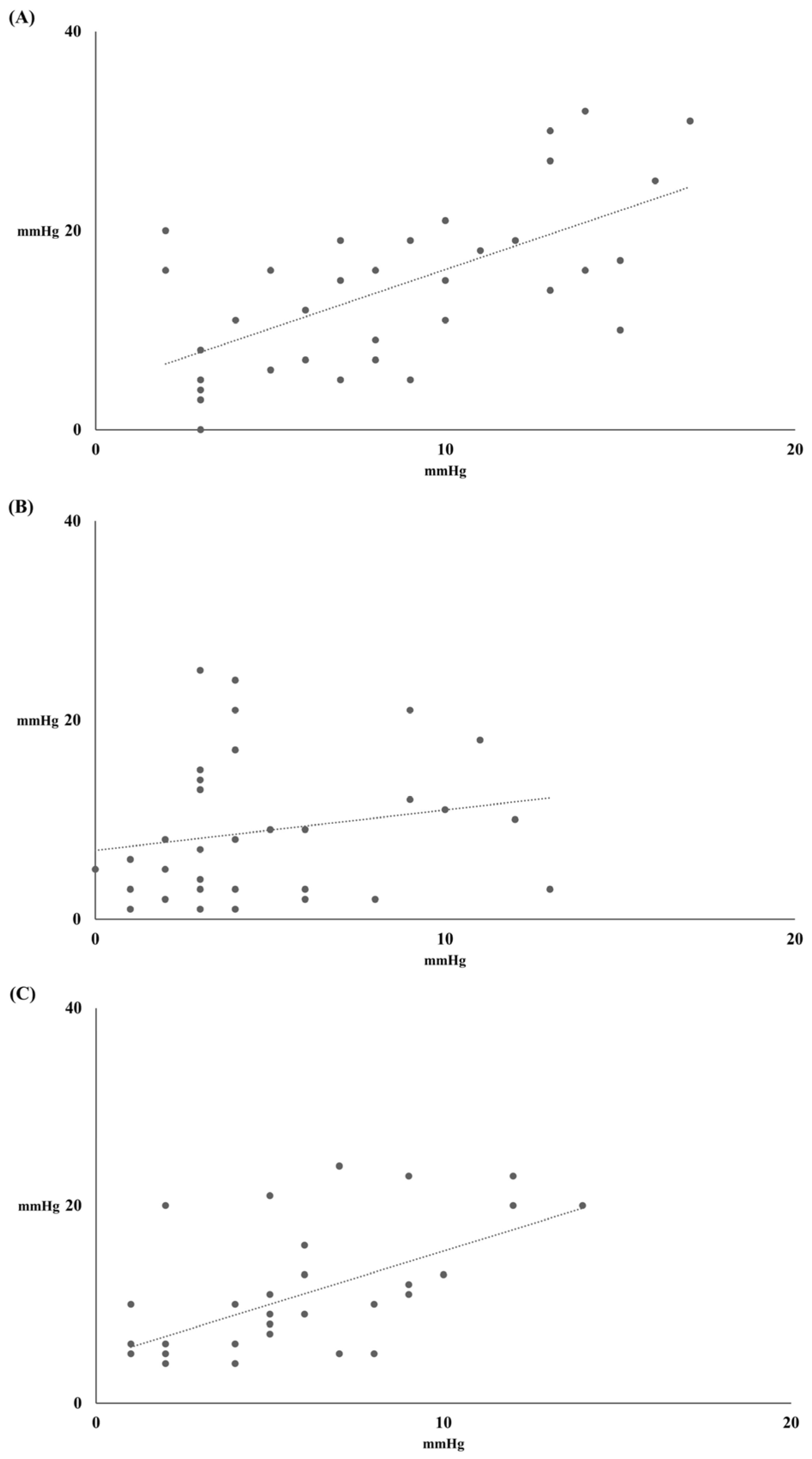
), baseline; TPLRT (
), at passive leg-raising test; T1 (
), at 30 min after epidural block. *: p < 0.001 compared with T0.
), baseline; TPLRT (
), at passive leg-raising test; T1 (
), at 30 min after epidural block. *: p < 0.001 compared with T0.


| Category | Variable | ||
|---|---|---|---|
| Personal Information | |||
| Gender (F/M) | 20 (59%)/14 (41%) | ||
| Age (years) | 63 [55–71] | ||
| Height (cm) | 162 ± 10 | ||
| Weight (kg) | 60 [53–73] | ||
| Underlying dz | |||
| None | 17 (50%) | ||
| HTN | 12 (35%) | ||
| IHD | 3 (9%) | ||
| DM | 3 (9%) | ||
| Dyslipidemia | 3 (9%) | ||
| Diagnosis | |||
| HNP | 18 (53%) | ||
| Spinal stenosis | 12 (35%) | ||
| FBSS | 2 (6%) | ||
| Others | 2 (6%) | ||
| Current medication | |||
| None | 9 (26%) | ||
| ARB | 8 (24%) | ||
| BB | 6 (18%) | ||
| CCB | 9 (26%) | ||
| Antiplatelet | 9 (26%) | ||
| Dyslipidemia medication | 3 (9%) | ||
| DM medication | 2 (6%) | ||
| Gabapentinoid | 13 (38%) | ||
| NSAID | 11 (32%) | ||
| Analgesic except NSAID | 3 (9%) | ||
| Muscle relaxant | 7 (21%) | ||
| TCA | 9 (26%) | ||
| Epidural block | |||
| Side | |||
| Left | 15 (44%) | ||
| Right | 11 (32%) | ||
| Both | 8 (24%) | ||
| Level | |||
| L4 | 3 (9%) | ||
| L5 | 10 (29%) | ||
| S1 | 2 (6%) | ||
| L4 & L5 | 4 (12%) | ||
| L5 & S1 | 13 (38%) | ||
| L4, L5 & S1 | 2 (6%) | ||
| Number | |||
| 1 | 9 (26%) | ||
| 2 | 21(62%) | ||
| 3 | 3 (9%) | ||
| 4 | 1 (3%) | ||
| VAS (0–100) | |||
| Before epidural block | 60 ± 19 | ||
| After epidural block | 5 [0–30] | ||
| Change of BP | |||
| between T0 and TPLRT | |||
| Systolic | 9 ± 4 | ||
| Diastolic | 4 [3–6] | ||
| Mean | 6 ± 3 | ||
| between T0 and T1 | |||
| Systolic | 14 ± 8 | ||
| Diastolic | 7 [3–13] | ||
| Mean | 9 [6–14] | ||
| Hypotension-related Sx | |||
| Dizziness | 3 (9%) | ||
| Nausea | 0 (0%) | ||
| Vomiting | 0 (0%) | ||
| Sweating | 0 (0%) | ||
| T0 (Baseline) | TPLRT (at Passive Leg-Raising Test) | T1 (at 30 min After Epidural Block) | |
|---|---|---|---|
| Systolic BP (mmHg) | 120 ± 18 | 129 ± 18 | 106 ± 18 |
| Diastolic BP (mmHg) | 65 ± 11 | 70 ± 10 | 57 ± 11 |
| Mean BP (mmHg) | 85 ± 11 | 90 ± 12 | 74 ± 12 |
| Mean BP Drop O | Mean BP Drop X | p Value | |||
|---|---|---|---|---|---|
| Gender (F/M) | 7/1 | 13/13 | 0.102 | ||
| Age (years) | 71 [62–79] | 61 [37–69] | 0.035 | ||
| Height (cm) | 155 ± 7 | 164 ± 10 | 0.017 | ||
| Weight (kg) | 54 [52–69] | 60 [54–80] | 0.177 | ||
| Underlying dz | |||||
| None | 2 | 15 | 0.249 | ||
| HTN | 6 | 6 | 0.013 | ||
| IHD | 1 | 2 | 1.000 | ||
| DM | 0 | 3 | 1.000 | ||
| Dyslipidemia | 2 | 1 | 0.131 | ||
| Diagnosis | |||||
| HNP | 3 | 15 | 0.429 | ||
| Spinal stenosis | 4 | 8 | 0.410 | ||
| FBSS | 1 | 1 | 0.421 | ||
| Others | 0 | 2 | 1.000 | ||
| Current medication | |||||
| None | 0 | 9 | 0.077 | ||
| ARB | 4 | 4 | 0.066 | ||
| BB | 3 | 3 | 0.126 | ||
| CCB | 4 | 5 | 0.165 | ||
| Antiplatelet | 2 | 7 | 1.000 | ||
| Dyslipidemia | 2 | 1 | 0.131 | ||
| DM | 0 | 2 | 1.000 | ||
| Gabapentinoid | 4 | 9 | 0.69 | ||
| NSAID | 1 | 10 | 0.227 | ||
| Analgesic except NSAID | 0 | 3 | 1.000 | ||
| Muscle relaxant | 2 | 5 | 1.000 | ||
| TCA | 1 | 8 | 0.403 | ||
| Epidural block | |||||
| Side | 1.000 | ||||
| Left | 4 | 11 | |||
| Right | 2 | 9 | |||
| Both | 2 | 6 | |||
| Level | 0.767 | ||||
| L4 | 1 | 2 | |||
| L5 | 3 | 7 | |||
| S1 | 1 | 1 | |||
| L4 & L5 | 0 | 4 | |||
| L5 & S1 | 3 | 10 | |||
| L4, L5 & S1 | 0 | 2 | |||
| Number | 0.242 | ||||
| 1 | 4 | 5 | |||
| 2 | 3 | 18 | |||
| 3 | 1 | 2 | |||
| 4 | 0 | 1 | |||
| VAS (0–100) | |||||
| Before epidural block | 68 ± 23 | 58 ± 17 | 0.196 | ||
| After epidural block | 10 [0–28] | 5 [0] | 1.000 | ||
| Change of BP between T0 and TPLRT | |||||
| Systolic | 11 ± 5 | 8 ± 4 | 0.094 | ||
| Diastolic | 4 [3–10] | 3 [2–6] | 0.110 | ||
| Mean | 8 ± 4 | 5 ± 3 | 0.007 | ||
| Change of BP between T0 and T1 | |||||
| Systolic | 24 ± 7 | 11 ± 6 | <0.001 | ||
| Diastolic | 20 [16–23] | 5 [3–8] | <0.001 | ||
| Mean | 21 [20–23] | 7 [5–10] | <0.001 | ||
| Hypotension-related Sx | |||||
| Dizziness | 1 | 2 | 1.000 | ||
| Nausea | 0 | 0 | - | ||
| Vomiting | 0 | 0 | - | ||
| Sweating | 0 | 0 | - |
| Variables | Univariate Analysis | Multivariate Analysis | |||
|---|---|---|---|---|---|
| Odd Ratio (95% CI) | p Value | Odd Ratio (95% CI) | p Value | ||
| Gender (F/M) | 7.000 (0.751–65.221) | 0.087 | |||
| Age (years) | 1.090 (0.994–1.194) | 0.067 | |||
| Height (cm) | 0.874 (0.773–0.989) | 0.032 | 0.783 (0.614–0.998) | 0.048 | |
| Weight (kg) | 0.961 (0.898–1.027) | 0.237 | |||
| Underlying disease | |||||
| HTN | 10.000 (1.585–63.097) | 0.014 | 24.560 (1.131–533.504) | 0.042 | |
| IHD | 1.714 (0.135–21.820) | 0.678 | |||
| DM | 0 (0–0) | 0.999 | |||
| Dyslipidemia | 8.333 (0.644–107.851) | 0.105 | |||
| Diagnosis | |||||
| HNP | 0.440 (0.086–2.244) | 0.323 | |||
| Spinal stenosis | 2.250 (0.447–11.334) | 0.326 | |||
| Failed back surgery syndrome | 3.571 (0.197–64.632) | 0.389 | |||
| Others | 0 (0–0) | 0.999 | |||
| Current medication | |||||
| ARB | 5.500 (0.958–31.589) | 0.056 | |||
| BB | 4.600 (0.709–29.841) | 0.110 | |||
| CCB | 4.200 (0.771–22.869) | 0.097 | |||
| Antiplatelet | 0.905 (0.147–5.583) | 0.914 | |||
| Antihyperlipidemic Drugs | 8.333 (0.644–107.85) | 0.105 | |||
| DM medication | 0 (0–0) | 0.999 | |||
| Gabapentinoid | 1.889 (0.380–9.395) | 0.437 | |||
| NSAIDs | 0.229 (0.024–2.146) | 0.196 | |||
| Analgesic except NSAID | 0 (0–0) | 0.999 | |||
| Muscle Relaxants | 1.400 (0.215–9.121) | 0.725 | |||
| TCA | 0.321 (0.034–3.064) | 0.324 | |||
| Injection side | |||||
| Left | 6.559 (0.242–177.823) | 0.229 | |||
| Right | 1.364 (0.278–6.683) | 0.702 | |||
| Both | 1.111 (0.176–7.011) | 0.911 | |||
| Injection level | |||||
| L4 | 1.714 (0.135–21.820) | 0.678 | |||
| L5 | 1.629 (0.306–8.679) | 0.568 | |||
| S1 | 3.571 (0.197–64.632) | 0.389 | |||
| L4 & L5 | 0 (0–0) | 0.999 | |||
| L5 &S1 | 0.960 (0.187–4.924) | 0.961 | |||
| L4, L5 & S1 | 0 (0–0) | 0.999 | |||
| Injection Number | 0.425 (0.107–1.692) | 0.225 | |||
| The number of injection levels | 0.369 (0.081–1.678) | 0.197 | |||
| Injection agents | |||||
| Ropivacaine | 0.918 (0.800–1.054) | 0.225 | |||
| Dexamethasone | 0.710 (0.409–1.234) | 0.225 | |||
| Hyaluronidase | 0.998 (0.996–1.001) | 0.225 | |||
| Change of BP between T0 and TPLRT | 0.725 | ||||
| Systolic | 1.178 (0.968–1.434) | 0.103 | |||
| Diastolic | 1.171 (0.931–1.471) | 0.177 | |||
| Mean | 1.426 (1.058–1.922) | 0.020 | 1.653 (1.058–2.581) | 0.027 | |
Disclaimer/Publisher’s Note: The statements, opinions and data contained in all publications are solely those of the individual author(s) and contributor(s) and not of MDPI and/or the editor(s). MDPI and/or the editor(s) disclaim responsibility for any injury to people or property resulting from any ideas, methods, instructions or products referred to in the content. |
© 2025 by the authors. Licensee MDPI, Basel, Switzerland. This article is an open access article distributed under the terms and conditions of the Creative Commons Attribution (CC BY) license (https://creativecommons.org/licenses/by/4.0/).
Share and Cite
Kim, C.-L.; Hong, S.-W.; Jung, Y.-D.; Jung, S.-Y.; Kim, S.-H. Passive Leg-Raising Test as a Predictor for the Drop in Blood Pressure After a Lumbar Epidural Block in the Pain Clinic: A Prospective Observational Study. J. Clin. Med. 2025, 14, 2629. https://doi.org/10.3390/jcm14082629
Kim C-L, Hong S-W, Jung Y-D, Jung S-Y, Kim S-H. Passive Leg-Raising Test as a Predictor for the Drop in Blood Pressure After a Lumbar Epidural Block in the Pain Clinic: A Prospective Observational Study. Journal of Clinical Medicine. 2025; 14(8):2629. https://doi.org/10.3390/jcm14082629
Chicago/Turabian StyleKim, Cho-Long, Seung-Wan Hong, Yun-Do Jung, Sung-Yeon Jung, and Seong-Hyop Kim. 2025. "Passive Leg-Raising Test as a Predictor for the Drop in Blood Pressure After a Lumbar Epidural Block in the Pain Clinic: A Prospective Observational Study" Journal of Clinical Medicine 14, no. 8: 2629. https://doi.org/10.3390/jcm14082629
APA StyleKim, C.-L., Hong, S.-W., Jung, Y.-D., Jung, S.-Y., & Kim, S.-H. (2025). Passive Leg-Raising Test as a Predictor for the Drop in Blood Pressure After a Lumbar Epidural Block in the Pain Clinic: A Prospective Observational Study. Journal of Clinical Medicine, 14(8), 2629. https://doi.org/10.3390/jcm14082629

