Early Detection of Acute Kidney Injury After Congenital Heart Surgery—Using Urine Proteomics to Identify New Biomarker Candidates: A Prospective Clinical Study
Abstract
1. Introduction
2. Material and Methods
2.1. Study Population and Design
2.2. Outcome Measures
2.3. Urine Proteome Profiling
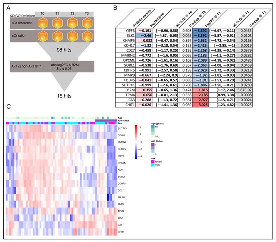
2.4. KDIGO Criteria
2.5. Statistical Analysis
3. Results
3.1. Patient Characteristics
3.2. Perioperative Data and Outcome
3.3. Urine Proteomics in the Context of Heart Surgery
Coverage
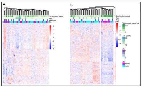
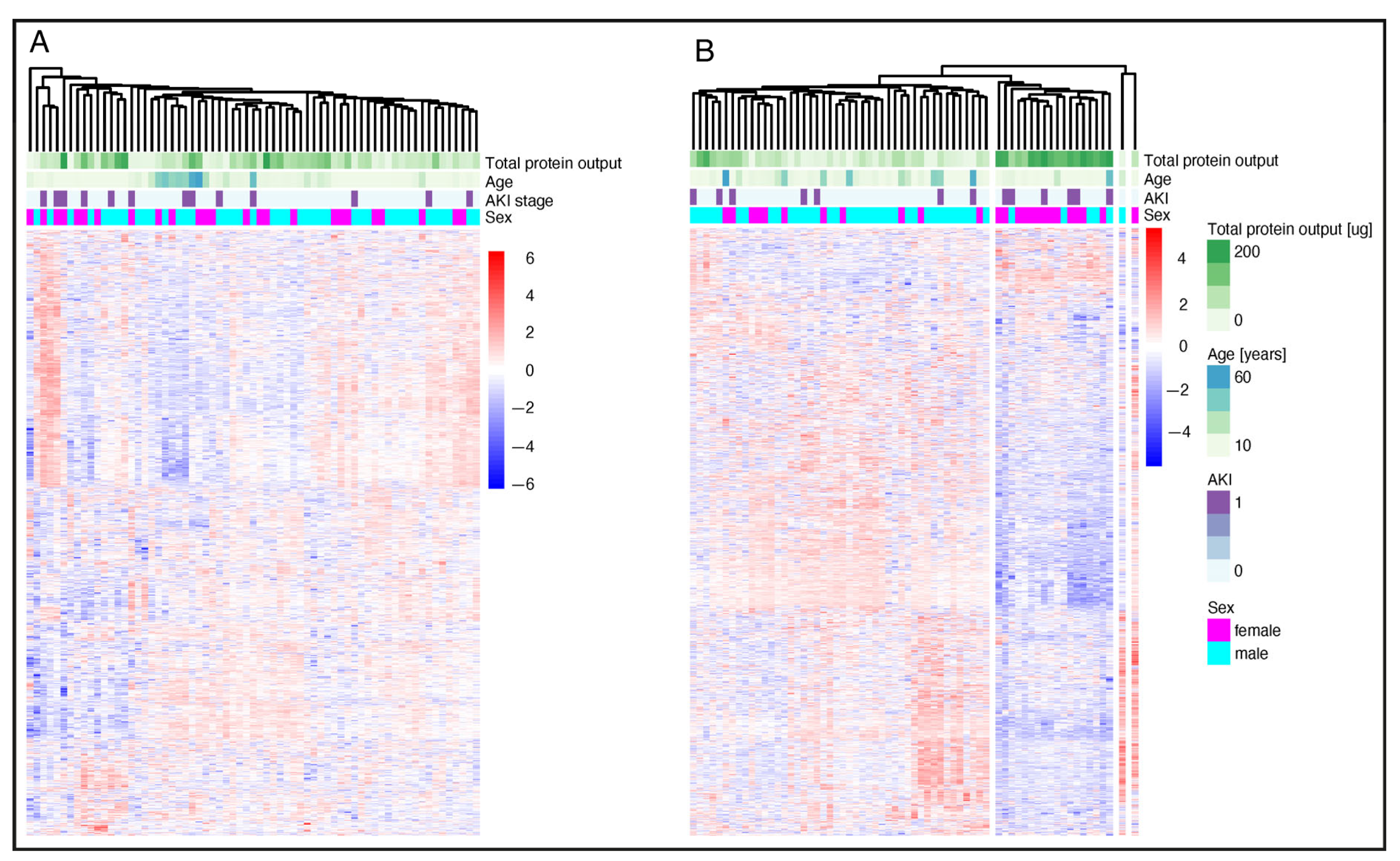
3.4. Clustering and Proteome Changes upon Surgery
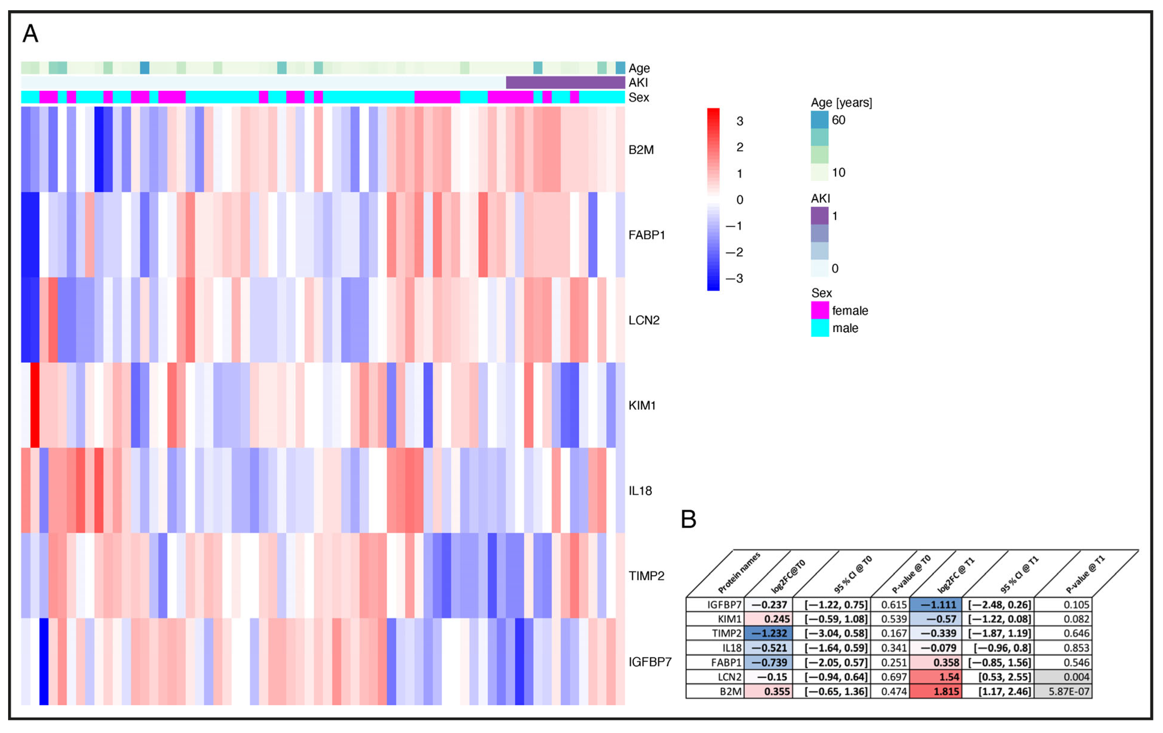
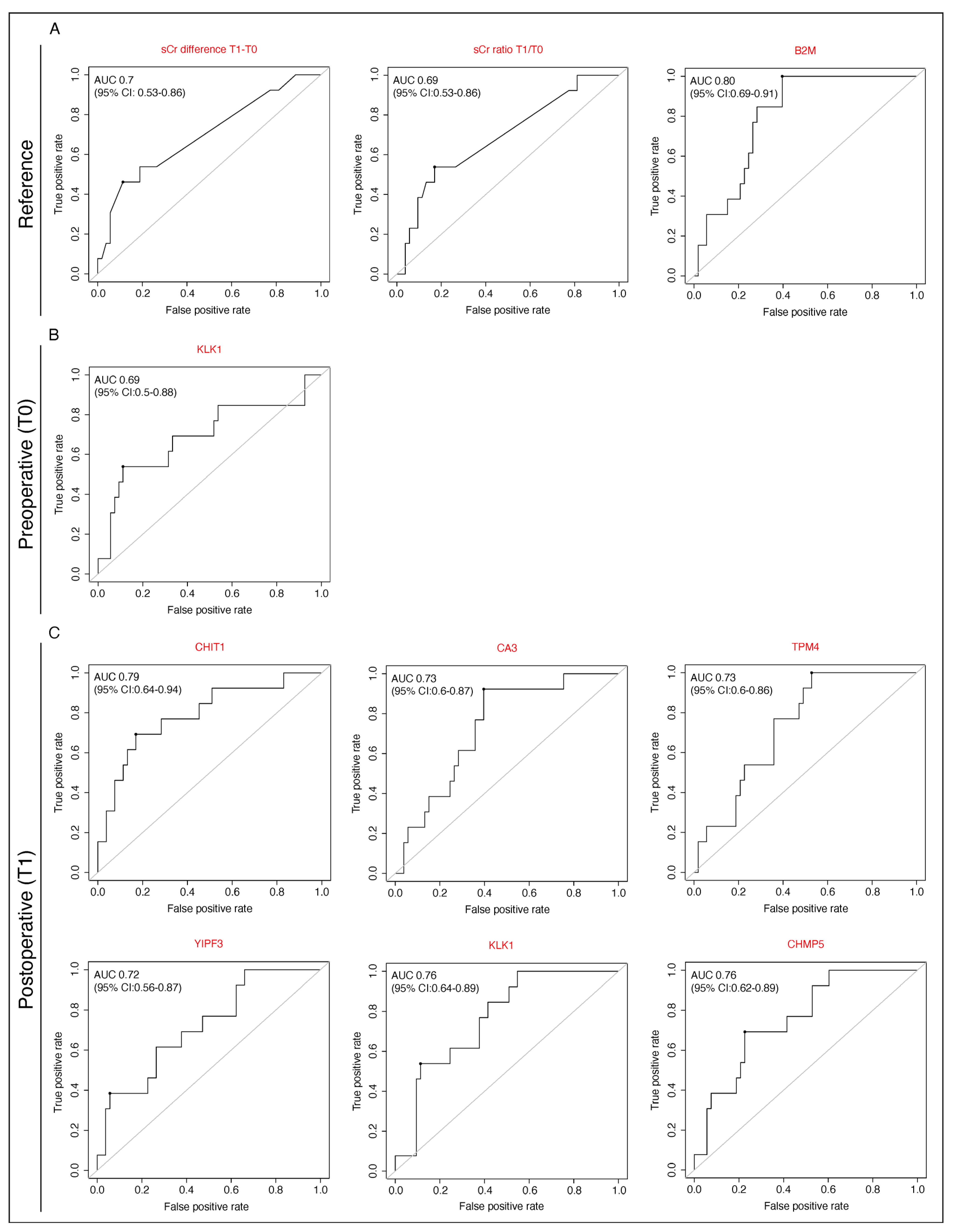
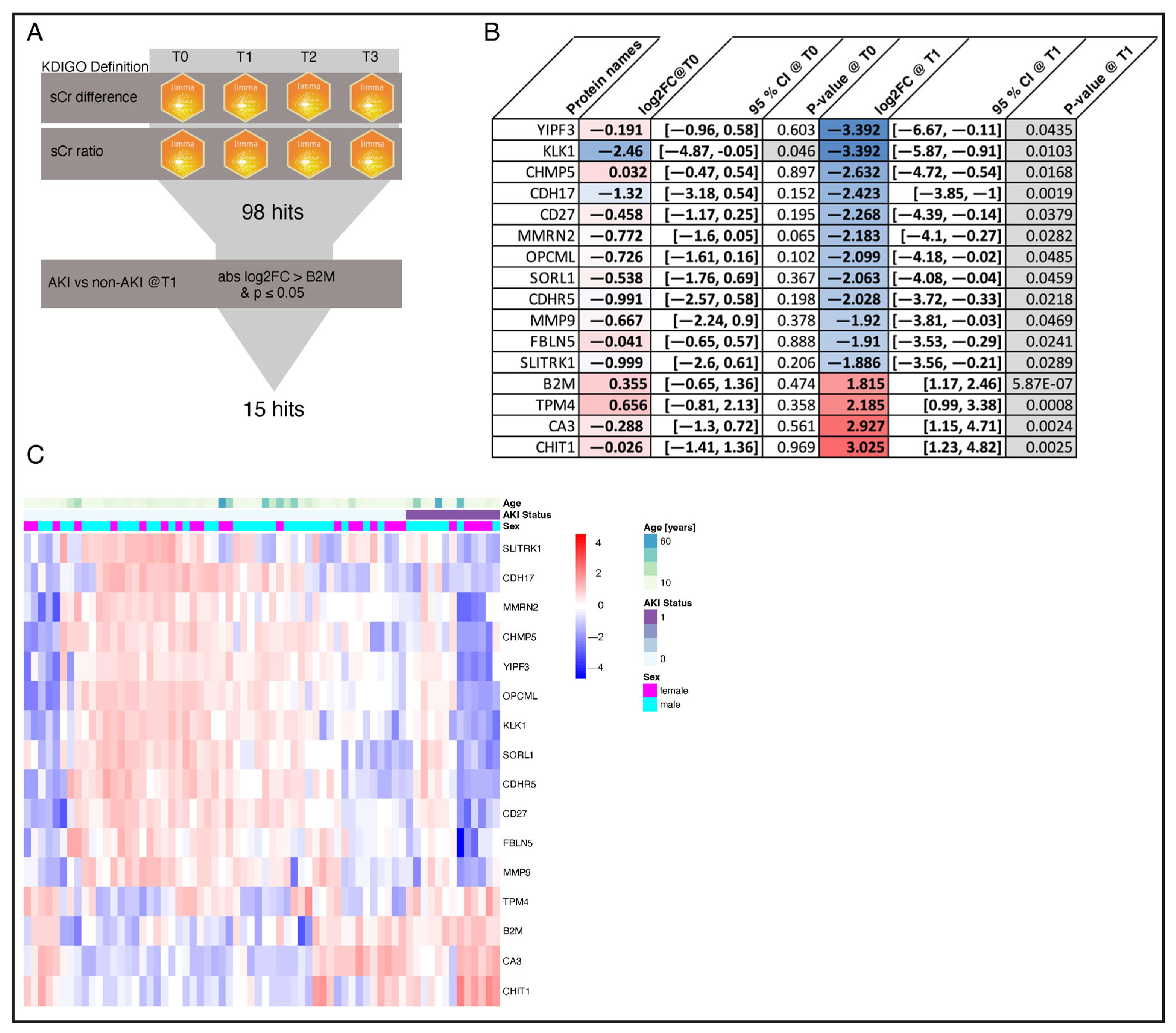
3.5. Selection of AKI Biomarker Candidates from Urine Proteome Profiles
4. Discussion
5. Limitations
6. Conclusions
Supplementary Materials
Author Contributions
Funding
Institutional Review Board Statement
Informed Consent Statement
Data Availability Statement
Conflicts of Interest
Abbreviations
| AKI | acute kidney injury |
| AUC | area under the curve |
| B2M | beta-2-microglobulin |
| CA3 | carbonic anhydrase 3 |
| CPB | cardiopulmonary bypass |
| CC | cellular component |
| CHIT1 | chitotriosidase-1 |
| CHMP5 | charged multivesicular body protein 5 |
| eGFR | estimated glomerular filtration rate |
| ICU | intensive care unit |
| IL-18 | interleukin-18 |
| IQR | interquartile range |
| KDIGO | kidney disease: improving global outcome. |
| KIM-1 | kidney injury molecule-1 |
| KLK1 | kallikrein-1 |
| L-FABP | liver type fatty acid-binding protein |
| LFQ | label free quantification |
| NGAL | neutrophil gelatinase-associated lipocalin |
| ROC | receiver operating characteristics |
| SCr | serum creatinin |
| T | Timepoint |
| TPM4 | Tropomyosin alpha-4 chain |
| U | urinary |
| VIS | vasoactive-inotropic score |
| YIPF3 | Protein YIPF3 |
References
- Webb, T.N.; Goldstein, S.L. Congenital Heart Surgery and Acute Kidney Injury. Curr. Opin. Anaesthesiol. 2017, 30, 105–112. [Google Scholar] [CrossRef]
- Kaddourah, A.; Basu, R.K.; Bagshaw, S.M.; Goldstein, S.L. Epidemiology of Acute Kidney Injury in Critically Ill Children and Young Adults. N. Engl. J. Med. 2017, 376, 11–20. [Google Scholar] [CrossRef]
- Hartman, S.J.F.; Zwiers, A.J.M.; van de Water, N.E.C.; van Rosmalen, J.; Struck, J.; Schulte, J.; Hartmann, O.; Pickkers, P.; Beunders, R.; Tibboel, D.; et al. Proenkephalin as a New Biomarker for Pediatric Acute Kidney Injury—Reference Values and Performance in Children under One Year of Age. Clin. Chem. Lab. Med. CCLM 2020, 58, 1911–1919. [Google Scholar] [CrossRef]
- Van den Eynde, J.; Schuermans, A.; Verbakel, J.Y.; Gewillig, M.; Kutty, S.; Allegaert, K.; Mekahli, D. Biomarkers of Acute Kidney Injury after Pediatric Cardiac Surgery: A Meta-Analysis of Diagnostic Test Accuracy. Eur. J. Pediatr. 2022, 181, 1909–1921. [Google Scholar] [CrossRef] [PubMed]
- Meena, J.; Thomas, C.C.; Kumar, J.; Mathew, G.; Bagga, A. Biomarkers for prediction of acute kidney injury in pediatric patients: A systematic review and meta-analysis of diagnostic test accuracy studies. Pediatr. Nephrol. 2023, 38, 3241–3251. [Google Scholar] [CrossRef]
- Guignard, J.P.; Drukker, A. Why Do Newborn Infants Have a High Plasma Creatinine? Pediatrics 1999, 103, e49. [Google Scholar] [CrossRef] [PubMed]
- Soveri, I.; Berg, U.B.; Björk, J.; Elinder, C.-G.; Grubb, A.; Mejare, I.; Sterner, G.; Bäck, S.-E. SBU GFR Review Group Measuring GFR: A Systematic Review. Am. J. Kidney Dis. Off. J. Natl. Kidney Found. 2014, 64, 411–424. [Google Scholar] [CrossRef] [PubMed]
- Greenberg, J.H.; Parikh, C.R. Biomarkers for Diagnosis and Prognosis of AKI in Children: One Size Does Not Fit All. Clin. J. Am. Soc. Nephrol. 2017, 12, 1551–1557. [Google Scholar] [CrossRef]
- Kentsis, A.; Lin, Y.Y.; Kurek, K.; Calicchio, M.; Wang, Y.Y.; Monigatti, F.; Campagne, F.; Lee, R.; Horwitz, B.; Steen, H.; et al. Discovery and Validation of Urine Markers of Acute Pediatric Appendicitis Using High-Accuracy Mass Spectrometry. Ann. Emerg. Med. 2010, 55, 62–70.e4. [Google Scholar] [CrossRef]
- Lücht, J.; Seiler, R.; Herre, A.L.; Brankova, L.; Fritsche-Guenther, R.; Kirwan, J.; Huscher, D.; Münzfeld, H.; Berger, F.; Photiadis, J.; et al. Promising Results of a Clinical Feasibility Study: CIRBP as a Potential Biomarker in Pediatric Cardiac Surgery. Front. Cardiovasc. Med. 2024, 11, 1247472. [Google Scholar] [CrossRef]
- Chawla, L.S.; Goldstein, S.L.; Kellum, J.A.; Ronco, C. Renal Angina: Concept and Development of Pretest Probability Assessment in Acute Kidney Injury. Crit. Care 2015, 19, 93. [Google Scholar] [CrossRef]
- Rappsilber, J.; Mann, M.; Ishihama, Y. Protocol for Micro-Purification, Enrichment, Pre-Fractionation and Storage of Peptides for Proteomics Using StageTips. Nat. Protoc. 2007, 2, 1896–1906. [Google Scholar] [CrossRef]
- Schaub, S.; Wilkins, J.; Weiler, T.; Sangster, K.; Rush, D.; Nickerson, P. Urine Protein Profiling with Surface-Enhanced Laser-Desorption/Ionization Time-of-Flight Mass Spectrometry. Kidney Int. 2004, 65, 323–332. [Google Scholar] [CrossRef]
- Jayashree, K.; Senthilkumar, G.P.; Vadivelan, M.; Parameswaran, S. Circulating 18-Glycosyl Hydrolase Protein Chitiotriosidase-1 Is Associated with Renal Dysfunction and Systemic Inflammation in Diabetic Kidney Disease. Int. J. Appl. Basic Med. Res. 2023, 13, 159–167. [Google Scholar] [CrossRef]
- Nensén, O.; Hansell, P.; Palm, F. Role of Carbonic Anhydrase in Acute Recovery Following Renal Ischemia Reperfusion Injury. PLoS ONE 2019, 14, e0220185. [Google Scholar] [CrossRef]
- Kumar, S.; Liu, J.; McMahon, A.P. Defining the Renal Repair Transcriptome after Acute Kidney Injury. Semin. Nephrol. 2014, 34, 404–417. [Google Scholar] [CrossRef] [PubMed]
- Supavekin, S.; Zhang, W.; Kucherlapati, R.; Kaskel, F.J.; Moore, L.C.; Devarajan, P. Differential Gene Expression Following Early Renal Ischemia/Reperfusion. Kidney Int. 2003, 63, 1714–1724. [Google Scholar] [CrossRef] [PubMed]
- Ni, D.; Huang, X.; Wang, Z.; Deng, L.; Zeng, L.; Zhang, Y.; Lu, D.; Zou, X. Expression Characterization and Transcription Regulation Analysis of Porcine Yip1 Domain Family Member 3 Gene. Asian-Australas. J. Anim. Sci. 2020, 33, 398–407. [Google Scholar] [CrossRef]
- Roche, J.V.; Nesverova, V.; Olsson, C.; Deen, P.M.; Törnroth-Horsefield, S. Structural Insights into AQP2 Targeting to Multivesicular Bodies. Int. J. Mol. Sci. 2019, 20, 5351. [Google Scholar] [CrossRef] [PubMed]
- Blinder, J.J.; Goldstein, S.L.; Lee, V.-V.; Baycroft, A.; Fraser, C.D.; Nelson, D.; Jefferies, J.L. Congenital Heart Surgery in Infants: Effects of Acute Kidney Injury on Outcomes. J. Thorac. Cardiovasc. Surg. 2012, 143, 368–374. [Google Scholar] [CrossRef]
- Gist, K.M.; Kwiatkowski, D.M.; Cooper, D.S. Acute Kidney Injury in Congenital Heart Disease. Curr. Opin. Cardiol. 2018, 33, 101–107. [Google Scholar] [CrossRef]
- Fuhrman, D.Y.; Nguyen, L.G.; Sanchez-de-Toledo, J.; Priyanka, P.; Kellum, J.A. Postoperative Acute Kidney Injury in Young Adults With Congenital Heart Disease. Ann. Thorac. Surg. 2019, 107, 1416–1420. [Google Scholar] [CrossRef] [PubMed]
- Cavalcante, C.T.D.M.B.; Cavalcante, M.B.; Castello Branco, K.M.P.; Chan, T.; Maia, I.C.L.; Pompeu, R.G.; De Oliveira Telles, A.C.; Brito, A.K.M.; Libório, A.B. Biomarkers of Acute Kidney Injury in Pediatric Cardiac Surgery. Pediatr. Nephrol. 2022, 37, 61–78. [Google Scholar] [CrossRef]
- Harpole, M.; Davis, J.; Espina, V. Current State of the Art for Enhancing Urine Biomarker Discovery. Expert Rev. Proteom. 2016, 13, 609–626. [Google Scholar] [CrossRef] [PubMed]
- Filip, S.; Vougas, K.; Zoidakis, J.; Latosinska, A.; Mullen, W.; Spasovski, G.; Mischak, H.; Vlahou, A.; Jankowski, J. Comparison of Depletion Strategies for the Enrichment of Low-Abundance Proteins in Urine. PLoS ONE 2015, 10, e0133773. [Google Scholar] [CrossRef] [PubMed]
- Vercaemst, L. Hemolysis in Cardiac Surgery Patients Undergoing Cardiopulmonary Bypass: A Review in Search of a Treatment Algorithm. J. Extracorpor. Technol. 2008, 40, 257–267. [Google Scholar] [CrossRef]
- Spina, S.; Lei, C.; Pinciroli, R.; Berra, L. Hemolysis and Kidney Injury in Cardiac Surgery: The Protective Role of Nitric Oxide Therapy. Semin. Nephrol. 2019, 39, 484–495. [Google Scholar] [CrossRef]
- Schreuder, M.F.; Bueters, R.R.G.; Allegaert, K. The Interplay between Drugs and the Kidney in Premature Neonates. Pediatr. Nephrol. 2014, 29, 2083–2091. [Google Scholar] [CrossRef]
- Jančič, S.G.; Močnik, M.; Marčun Varda, N. Glomerular Filtration Rate Assessment in Children. Children 2022, 9, 1995. [Google Scholar] [CrossRef]
- Gattineni, J.; Baum, M. Developmental Changes in Renal Tubular Transport—An Overview. Pediatr. Nephrol. 2015, 30, 2085–2098. [Google Scholar] [CrossRef]
- Peco-Antić, A.; Ivanišević, I.; Vulićević, I.; Kotur-Stevuljević, J.; Ilić, S.; Ivanišević, J.; Miljković, M.; Kocev, N. Biomarkers of Acute Kidney Injury in Pediatric Cardiac Surgery. Clin. Biochem. 2013, 46, 1244–1251. [Google Scholar] [CrossRef]
- Barton, K.T.; Kakajiwala, A.; Dietzen, D.J.; Goss, C.W.; Gu, H.; Dharnidharka, V.R. Using the Newer Kidney Disease: Improving Global Outcomes Criteria, Beta-2-Microglobulin Levels Associate with Severity of Acute Kidney Injury. Clin. Kidney J. 2018, 11, 797–802. [Google Scholar] [CrossRef] [PubMed]
- Kanneganti, M.; Kamba, A.; Mizoguchi, E. Role of Chitotriosidase (Chitinase 1) under Normal and Disease Conditions. J. Epithel. Biol. Pharmacol. 2012, 5, 1–9. [Google Scholar] [CrossRef]
- Purkerson, J.M.; Schwartz, G.J. The Role of Carbonic Anhydrases in Renal Physiology. Kidney Int. 2007, 71, 103–115. [Google Scholar] [CrossRef]
- Cabiscol, E.; Levine, R.L. Carbonic Anhydrase III. Oxidative Modification In Vivo and Loss of Phosphatase Activity During Aging. J. Biol. Chem. 1995, 270, 14742–14747. [Google Scholar] [CrossRef] [PubMed]
- Saatvedt, K.; Lindberg, H.; Michelsen, S.; Pedersen, T.; Geiran, O.R. Activation of the Fibrinolytic, Coagulation and Plasma Kallikrein-Kinin Systems during and after Open Heart Surgery in Children. Scand. J. Clin. Lab. Investig. 1995, 55, 359–367. [Google Scholar] [CrossRef]
- Hagiwara, M.; Shen, B.; Chao, L.; Chao, J. Kallikrein-Modified Mesenchymal Stem Cell Implantation Provides Enhanced Protection Against Acute Ischemic Kidney Injury by Inhibiting Apoptosis and Inflammation. Hum. Gene Ther. 2008, 19, 807–819. [Google Scholar] [CrossRef]
- Deep, A.; Goldstein, S.L. (Eds.) Critical Care Nephrology and Renal Replacement Therapy in Children; Springer International Publishing: Cham, Switzerland, 2018; ISBN 978-3-319-90280-7. [Google Scholar]
- Wu, S.-H.; Chang, M.-H.; Chen, Y.-H.; Wu, H.-L.; Chua, H.-H.; Chien, C.-S.; Ni, Y.-H.; Chen, H.-L.; Chen, H.-L. The ESCRT-III Molecules Regulate the Apical Targeting of Bile Salt Export Pump. J. Biomed. Sci. 2021, 28, 19. [Google Scholar] [CrossRef] [PubMed]
- Wang, H.; Liu, J.; Wang, F.; Chen, M.; Xiao, Z.; OuYang, R.; Fei, A.; Shen, Y.; Pan, S. The Role of Charged Multivesicular Body Protein 5 in Programmed Cell Death in Leukemic Cells. Acta Biochim. Biophys. Sin. 2013, 45, 383–390. [Google Scholar] [CrossRef]








| All Patients (n = 67) | AKI (n = 13) | Non-AKI (n = 54) | p Value | |
|---|---|---|---|---|
| Age (years, IQR) | 2 [0; 5] | 0.5 [0.02; 20] | 2 [0.5; 5.5] | 0.31 |
| Neonates (n, %) | 6 (9.0) | 4 (30.8) | 2 (3.7) | 0.05 |
| Sex | 0.58 | |||
| Male (n, %) | 42 (62.7) | 8 (61.5) | 34 (63.0) | |
| Female (n, %) | 25 (37.3) | 5 (38.5) | 20 (37.0) | |
| Height (cm, IQR) | 87.0 [64; 117] | 71.0 [52.5;1 38.5] | 87.5 [65; 120] | 0.33 |
| Weight (kg, IQR) | 11.6 [5.7; 21] | 7.81 [3.5; 47.5] | 11.85 [6.0; 21.0] | 0.31 |
| Operation time (h, IQR) | 5.4 [4.3; 7.1] | 7.4 [5.8; 11.4] | 4.9 [4.3; 6.2] | 0.001 |
| Aortic cross clamp time (min, IQR) | 76.0 [29.0; 113.0] | 91.0 [0.0; 175.5] | 71.5 [30.5; 108.3] | 0.28 |
| CPB time (h, IQR) | 2 [2.0; 3.2] | 3.0 [2.0; 7.0] | 2.0 [2.0; 3.0] | 0.04 |
| Minimal temperature (°C, IQR) | 32.0 [28.2; 35.6] | 30.0 [27.9; 33.9] | 32.0 [28.9; 35.6] | 0.067 |
| Length of mechanical ventilation (h, IQR) | 8.3 [6.3; 19.1] | 51.9 [24.5; 251.6] | 7.35 [6.1; 12.1] | 0.001 |
| Length of ICU stay (d, IQR) | 1.9 [0.4; 4.4] | 6.3 [4.6; 14.8] | 1.3 [0.4; 2.4] | 0.001 |
| Length of hospital stay (d, IQR) | 10.0 [8.0; 14.0 | 23.0 [15.0; 56.5] | 9.0 [7.0;1 1.0] | 0.001 |
| VIS (24 h) mean (IQR) | 2.7 [0.9; 6.8] | 5.8 [4.4; 11.1] | 2 [0.12; 5.94] | 0.04 |
| VIS (24 h) max (IQR) | 6.4 [2.4; 13.6] | 17.9 [7.8; 27.4] | 4.8 [1.6; 9.7] | 0.001 |
| VIS (Total) mean (IQR) | 2.5 [0.5; 4.9] | 6.1 [3.7; 9.0] | 1.3 [0.1; 4.1] | 0.001 |
| VIS (Total) max (IQR) | 6.8 [2.4; 14.1] | 17.8 [13.4; 27.5] | 4.8 [1.6; 10.1] | 0.001 |
| Fluid balance (24 h, mL) | +630 [+282; +1256] | +680 [−328; +2189] | +583 [+290; +1172] | 0.980 |
| Fluid balance (48 h, mL) | −85 [−322; −207] | −81 [−454; +183] | −90 [−322; +230] | 0.769 |
| Fluid balance (72 h, mL) | −197 [−493; +58] | −156 [−433; +78] | −198 [−503; +60] | 0.659 |
| Administration of concentrated red blood cells (RBC) (mL, IQR) | 120.0 [0; 250] | 250.0 [100.0; 770.0] | 100.0 [0; 200] | 0.003 |
| RAI-Score (IQR) | 2.0 [1.0; 4.0] | 20.0 [4.0; 20.0] | 1.0 [1.0; 2.0] | 0.001 |
| RPP 15 min post CPB (mmHg, IQR) | 48.0 [39.2; 61.8] | 39.0 [35.0; 47.8] | 52.6 [41.8; 63] | 0.05 |
| eGFR T0 (mL/min/m2, IQR) | 76.4 [59.5; 89.5] | 68.0 [35.3; 92.7] | 76.0 [61.0; 89.6] | 0.31 |
| eGFR T1 (mL/min/m2, IQR) | 74.3 [54.8; 90.0] | 60.1 [35.3; 80.3] | 76.7 [61; 90.4] | 0.04 |
| eGFR T2 (mL/min/m2, IQR) | 77.4 [55.9; 92.4] | 56.0 [27.0; 74.0] | 80.5 [61.4; 95.9] | 0.003 |
| eGFR T3 (mL/min/m2, IQR) | 71.9 [46.5; 88.8] | 45.8 [24.0; 62.7] | 76.4 [59.3; 95.3] | 0.001 |
| All Patients (n = 67) | AKI (n = 13) | Non-AKI (n = 54) | p Value | |
|---|---|---|---|---|
| Hb T0 (mg/dL, IQR) | 13.6 [11.8; 15.2] | 14.7 [13.1; 16.0] | 13.3 [11.7; 15.0] | 0.083 |
| Hb T1 (mg/dL, IQR) | 12.7 [11.1; 14.0] | 13.1 [11.5; 16.3] | 12.7 [10.9; 13.9] | 0.236 |
| Hb T2 (mg/dL, IQR) | 12.4 [10.6; 14.5] | 15.2 [11.0; 17.8] | 12.1 [10.6; 13.5] | 0.023 |
| Hb T3 (mg/dL, IQR) | 12.3 [10.5; 13.4] | 14.2 [11.5; 16.4] | 12.1 [10.2; 12.9] | 0.024 |
| Albumin T0 (g/dL, IQR) | 3.8 [3.1; 4.0] | 3.5 [2.9; 3.9] | 4.0 [4.0; 4.0] | 0.184 |
| Albumin T1 (g/dL, IQR) | 2.9 [2.5; 3.1] | 2.0 [1.7; 2.1] | 2.9 [2.6; 3.2] | 0.002 |
| Albumin T2 (g/dL, IQR) | 2.0 [1.8; 2.8] | 2.0 [1.9; 3.4] | 2.1 [1.8; 2.4] | 0.699 |
| Albumin T3 (g/dL, IQR) | 2.2 [2.1; 2.7] | 2.2 [2.1; 3.0] | 2.3 [2.0; 2.5] | 0.722 |
| sCr T0 (mg/dL, IQR) | 0.53 [0.48; 0.61] | 0.55 [0.43; 0.62] | 0.53 [0.50; 0.56] | 0.135 |
| sCr T1 (mg/dL, IQR) | 0.60 [0.53; 0.61] | 0.60 [0.55; 0.62] | 0.55 [0.50; 0.60] | 0.008 |
| sCr T2 (mg/dL, IQR) | 0.65 [0.55; 0.78] | 0.65 [0.60; 0.90] | 0.55 [0.40; 0.70] | <0.001 |
| sCr T3 (mg/dL, IQR) | 0.80 [0.50; 0.98] | 0.85 [0.56; 1.13] | 0.65 [0.50; 0.8] | <0.001 |
| sCr max (mg/dL, IQR) | 0.87 [0.68; 1.22] | 0.95 [0.62; 1.23] | 0.87 [0.84; 0.90] | <0.001 |
| Urea T0 (mg/dL, IQR) | 21.3 [13.8; 33.7] | 22.5 [9.5; 43.4] | 21.3 [17.9; 24.8] | 0.864 |
| Urea T1 (mg/dL, IQR) | 17.9 [10.8; 24.5] | 15.5 [9.5; 34.0] | 17.9 [17.0; 18.9] | 0.480 |
| Urea T2 (mg/dL, IQR) | 22.7 [21.3; 36.7] | 27.5 [21.3; 45.2] | 22.5 [21.4; 23.5] | 0.340 |
| Urea T3 (mg/dL, IQR) | 41.1 [30.2; 51.1] | 43.9 [31.1; 62.0] | 35.5 [31.2; 39.9] | <0.001 |
| Potassium T0 (mmol/L, IQR) | 3.8 [3.6; 4.1] | 3.9 [3.4; 4.3] | 4.1 [4.0; 4.1] | 0.836 |
| Potassium T1 (mmol/L, IQR) | 3.9 [3.6; 4.2] | 4.1 [3.0; 4.9] | 4.3 [3.6; 5.0] | 0.385 |
| Potassium T2 (mmol/L, IQR) | 4.0 [3.7; 4.2] | 4.2 [3.5; 4.8] | 4.4 [3.9; 4.8] | 0.234 |
| Potassium T3 (mmol/L, IQR) | 3.8 [4.0; 4.2] | 4.1 [3.9; 4.2] | 4.5 [4.4; 4.5] | 0.133 |
| Sodium T0 (mmol/L, IQR) | 138 [136; 139] | 138 [135; 138] | 140 [139; 141] | 0.320 |
| Sodium T1 (mmol/L, IQR) | 144 [141; 146] | 143 [139; 145] | 147 [146; 148] | 0.554 |
| Sodium T2 (mmol/L, IQR) | 147 [145; 149] | 147 [145; 148] | 148 [146; 151] | 0.559 |
| Sodium T3 (mmol/L, IQR) | 147 [145; 149] | 147 [146; 149] | 147 [145; 149] | 0.002 |
| Glucose T0 (mg/dL, IQR) | 94.5 [83; 103] | 86.0 [64; 125] | 91.5 [74; 109] | 0.642 |
| Glucose T1 (mg/dL, IQR) | 129 [112; 149] | 224 [156; 267] | 127 [111; 142] | 0.229 |
| Glucose T2 (mg/dL, IQR) | 125 [110; 142] | 175 [119; 231] | 127 [123; 131] | 0.390 |
| Glucose T3 (mg/dL, IQR) | 127 [108; 151] | 116 [112; 181] | 150 [140; 160] | 0.163 |
Disclaimer/Publisher’s Note: The statements, opinions and data contained in all publications are solely those of the individual author(s) and contributor(s) and not of MDPI and/or the editor(s). MDPI and/or the editor(s) disclaim responsibility for any injury to people or property resulting from any ideas, methods, instructions or products referred to in the content. |
© 2025 by the authors. Licensee MDPI, Basel, Switzerland. This article is an open access article distributed under the terms and conditions of the Creative Commons Attribution (CC BY) license (https://creativecommons.org/licenses/by/4.0/).
Share and Cite
Seiler, R.; Herre, A.L.; Kirchner, M.; Ziehm, M.; Mertins, P.; Berger, F.; Photiadis, J.; Tong, G.; Brankova, L.; Schmitt, K.R.L.; et al. Early Detection of Acute Kidney Injury After Congenital Heart Surgery—Using Urine Proteomics to Identify New Biomarker Candidates: A Prospective Clinical Study. J. Clin. Med. 2025, 14, 8253. https://doi.org/10.3390/jcm14228253
Seiler R, Herre AL, Kirchner M, Ziehm M, Mertins P, Berger F, Photiadis J, Tong G, Brankova L, Schmitt KRL, et al. Early Detection of Acute Kidney Injury After Congenital Heart Surgery—Using Urine Proteomics to Identify New Biomarker Candidates: A Prospective Clinical Study. Journal of Clinical Medicine. 2025; 14(22):8253. https://doi.org/10.3390/jcm14228253
Chicago/Turabian StyleSeiler, Raphael, Alexa Leona Herre, Marieluise Kirchner, Matthias Ziehm, Philipp Mertins, Felix Berger, Joachim Photiadis, Giang Tong, Liliya Brankova, Katharina R. L. Schmitt, and et al. 2025. "Early Detection of Acute Kidney Injury After Congenital Heart Surgery—Using Urine Proteomics to Identify New Biomarker Candidates: A Prospective Clinical Study" Journal of Clinical Medicine 14, no. 22: 8253. https://doi.org/10.3390/jcm14228253
APA StyleSeiler, R., Herre, A. L., Kirchner, M., Ziehm, M., Mertins, P., Berger, F., Photiadis, J., Tong, G., Brankova, L., Schmitt, K. R. L., & Lücht, J. (2025). Early Detection of Acute Kidney Injury After Congenital Heart Surgery—Using Urine Proteomics to Identify New Biomarker Candidates: A Prospective Clinical Study. Journal of Clinical Medicine, 14(22), 8253. https://doi.org/10.3390/jcm14228253

