Associations Between Pulmonary Function and Muscle Strength in Turkish National Karate Athletes
Abstract
1. Introduction
2. Materials and Methods
2.1. Study Design
2.2. Participants
2.3. Body Composition
2.4. Isometric Handgrip Strength Test
2.5. Isometric Leg and Back Strength Test
2.6. Pulmonary Function Test
2.7. Statistical Analysis
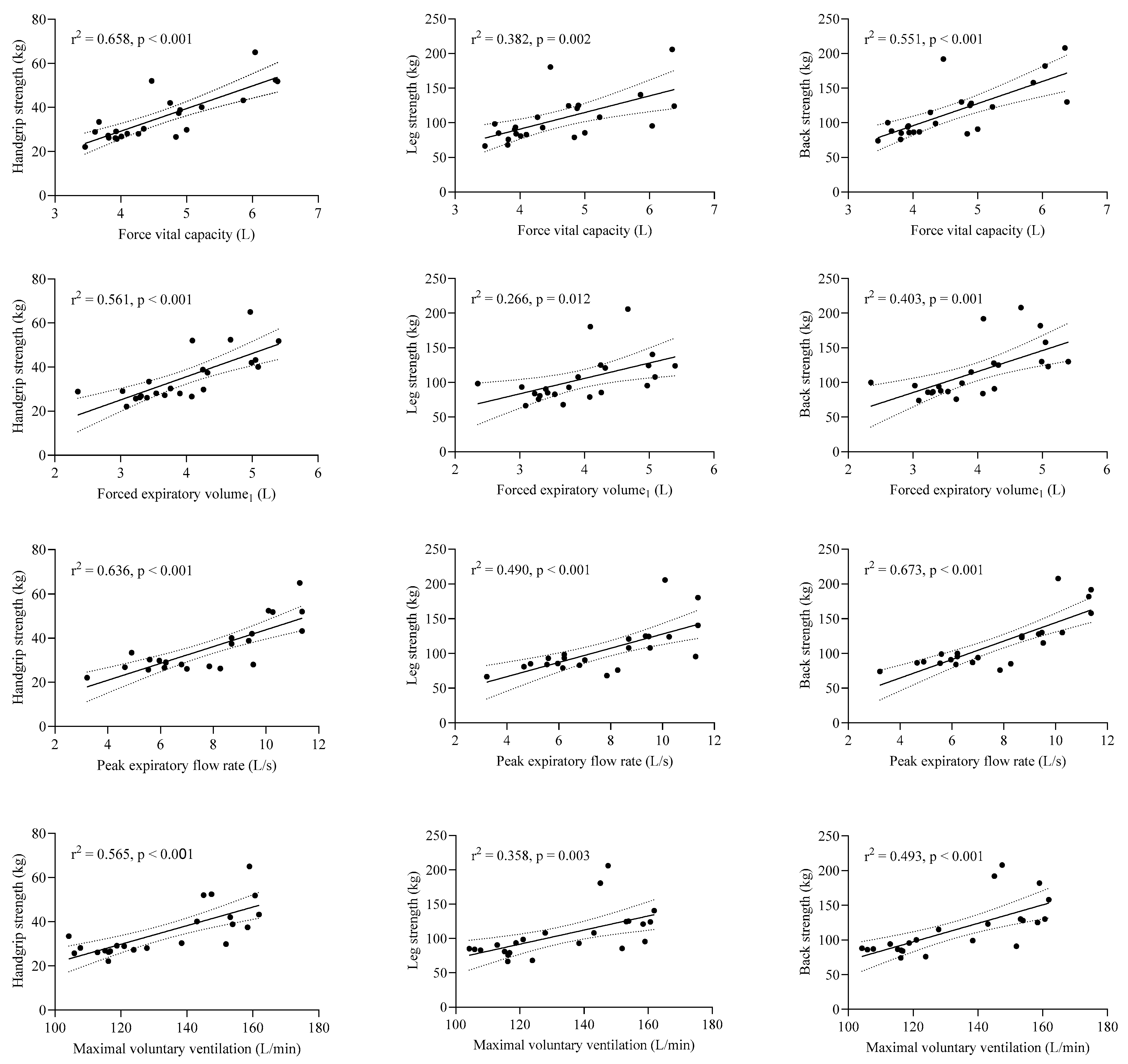
3. Results
4. Discussion
5. Conclusions
Supplementary Materials
Author Contributions
Funding
Institutional Review Board Statement
Informed Consent Statement
Data Availability Statement
Acknowledgments
Conflicts of Interest
Abbreviations
| FVC | forced vital capacity |
| FEV1 | forced expiratory volume in the first second |
| IAP | intra-abdominal pressure |
| PEF | peak expiratory flow rate |
| MVV | maximal voluntary ventilation |
References
- Doria, C.; Veicsteinas, A.; Limonta, E.; Maggioni, M.A.; Aschieri, P.; Eusebi, F.; Fanò, G.; Pietrangelo, T. Energetics of karate (kata and kumite techniques) in top-level athletes. Eur. J. Appl. Physiol. 2009, 107, 603–610. [Google Scholar] [CrossRef]
- Chaabène, H.; Franchini, E.; Sterkowicz, S.; Tabben, M.; Hachana, Y.; Chamari, K. Physiological responses to karate specific activities. Sci. Sports 2015, 30, 179–187. [Google Scholar] [CrossRef]
- Beneke, R.; Beyer, T.; Jachner, C.; Erasmus, J.; Hütler, M. Energetics of karate kumite. Eur. J. Appl. Physiol. 2004, 92, 518–523. [Google Scholar] [CrossRef] [PubMed]
- Baker, J.S.; Bell, W. Energy-expenditure during simulated karate competition. J. Hum. Mov. Stud. 1990, 19, 69–74. [Google Scholar]
- Prasertsri, P.; Padkao, T. Efficacy of high-intensity interval resistance training on pulmonary function and respiratory muscle strength in university athletes. J. Exerc. Physiol. Online 2021, 24, 1. [Google Scholar]
- Abouzeid, N.; Elnaggar, M.; FathAllah, H.; Amira, M. Eight weeks of high-intensity interval training using elevation mask may improve cardiorespiratory fitness, pulmonary functions, and hematological variables in university athletes. Int. J. Environ. Res. Public. Health 2023, 20, 3533. [Google Scholar] [CrossRef] [PubMed]
- Wiecha, S.; Kasiak, P.S.; Szwed, P.; Kowalski, T.; Cieśliński, I.; Postuła, M.; Klusiewicz, A. VO2max prediction based on submaximal cardiorespiratory relationships and body composition in male runners and cyclists: A population study. eLife 2023, 12, e86291. [Google Scholar] [CrossRef]
- Aliverti, A. The respiratory muscles during exercise. Breathe 2016, 12, 165–168. [Google Scholar] [CrossRef]
- Dempsey, J.A.; Sheel, A.W.; Croix, C.M.S.; Morgan, B.J. Respiratory influences on sympathetic vasomotor outflow in humans. Respir. Physiol. Neurobiol. 2002, 130, 3–20. [Google Scholar] [CrossRef]
- Romer, L.M.; Lovering, A.T.; Haverkamp, H.C.; Pegelow, D.F.; Dempsey, J.A. Effect of inspiratory muscle work on peripheral fatigue of locomotor muscles in healthy humans. J. Physiol. 2006, 571, 425–439. [Google Scholar] [CrossRef]
- HajGhanbari, B.; Yamabayashi, C.; Buna, T.R.; Coelho, J.D.; Freedman, K.D.; Morton, T.A.; Palmer, S.A.; Toy, M.A.; Walsh, C.; Sheel, A.W.; et al. Effects of respiratory muscle training on performance in athletes: A systematic review with meta-analyses. J. Strength Cond. Res. 2013, 27, 1643–1653. [Google Scholar] [CrossRef]
- Lazovic, B.; Zlatkovic-Svenda, M.; Grbovic, J.; Milenković, B.; Sipetic-Grujicic, S.; Kopitovic, I.; Zugic, V. Comparison of lung diffusing capacity in young elite athletes and their counterparts. Pulmonology 2018, 24, 219–223. [Google Scholar] [CrossRef]
- Cular, D.; Milic, M.; Franchini, E.; Ardigò, L.P.; Padulo, J. Pulmonary function is related to success in junior elite kumite karatekas. Sport Sci. 2017, 10, 117–122. [Google Scholar]
- Illi, S.K.; Held, U.; Frank, I.; Spengler, C.M. Effect of respiratory muscle training on exercise performance in healthy individuals: A systematic review and meta-analysis. Sports Med. 2012, 42, 707–724. [Google Scholar] [CrossRef] [PubMed]
- Buchman, A.S.; Boyle, P.A.; Wilson, R.S.; Gu, L.; Bienias, J.L.; Bennett, D.A. Pulmonary function, muscle strength and mortality in old age. Mech. Ageing Dev. 2008, 129, 625–631. [Google Scholar] [CrossRef] [PubMed]
- Müller, P.D.T.G.; Viegas, C.A.D.A.; Patusco, L.A.P. Muscle strength as a determinant of oxygen uptake efficiency and maximal metabolic response in patients with mild-to-moderate COPD. J. Bras. Pneumol. 2012, 38, 541–549. [Google Scholar] [CrossRef]
- Stokes, I.A.; Gardner-Morse, M.G.; Henry, S.M. Abdominal muscle activation increases lumbar spinal stability: Analysis of contributions of different muscle groups. Clin. Biomech. 2011, 26, 797–803. [Google Scholar] [CrossRef]
- Kato, S.; Murakami, H.; Demura, S.; Yoshioka, K.; Shinmura, K.; Yokogawa, N.; Tsuchiya, H. Abdominal trunk muscle weakness and its association with chronic low back pain and risk of falling in older women. BMC Musculoskelet. Disord. 2019, 20, 273. [Google Scholar] [CrossRef]
- Cinarli, F.S.; Aydogdu, O.; Aydin, Y.; Tokgöz, G.; Kahraman, A.; Beykumül, A.; Ramirez-Campillo, R. Maximal strength, sprint and jump performance in elite kumite karatekas. BMC Sports Sci. Med. Rehabil. 2025, 17, 8. [Google Scholar] [CrossRef]
- Sillanpää, E.; Stenroth, L.; Bijlsma, A.Y.; Rantanen, T.; McPhee, J.S.; Maden-Wilkinson, T.M.; Sipilä, S. Associations between muscle strength, spirometric pulmonary function and mobility in healthy older adults. Age 2014, 36, 9667. [Google Scholar] [CrossRef]
- Akınoğlu, B.; Kocahan, T.; Özkan, T. The relationship between peripheral muscle strength and respiratory function and respiratory muscle strength in athletes. J. Exerc. Rehabil. 2019, 15, 44. [Google Scholar] [CrossRef]
- Kocahan, T.; Akınoğlu, B.; Mete, O.; Hasanoğlu, A. Determination of the relationship between respiratory function and respiratory muscle strength and grip strength of elite athletes. Med. J. Islam. World Acad. Sci. 2017, 25, 118–124. [Google Scholar] [CrossRef]
- Stewart, A.; Marfell-Jones, M.; Olds, T.; De Ridder, H. International Standards for Anthropometric Assessment; International Society for the Advancement of Kinanthropometry: Melbourne, Australia, 2011. [Google Scholar]
- Bonitch-Góngora, J.G.; Almeida, F.; Padial, P.; Bonitch-Domínguez, J.G.; Feriche, B. Maximal isometric handgrip strength and endurance differences between elite and non-elite young judo athletes. Arch. Budo 2013, 9, 239–248. [Google Scholar]
- Ten Hoor, G.A.; Musch, K.; Meijer, K.; Plasqui, G. Test-retest reproducibility and validity of the back-leg-chest strength measurements. Isokinet. Exerc. Sci. 2016, 24, 209–216. [Google Scholar] [CrossRef]
- Graham, B.L.; Steenbruggen, I.; Miller, M.R.; Barjaktarevic, I.Z.; Cooper, B.G.; Hall, G.L.; Thompson, B.R. Standardization of spirometry 2019 update. An official American thoracic society and European respiratory society technical statement. Am. J. Respir. Crit. Care Med. 2019, 200, e70–e88. [Google Scholar] [CrossRef]
- Stanojevic, S.; Kaminsky, D.A.; Miller, M.R.; Thompson, B.; Aliverti, A.; Barjaktarevic, I.; Swenson, E.R. ERS/ATS technical standard on interpretive strategies for routine lung function tests. Eur. Respir. J. 2022, 60, 2101499. [Google Scholar] [CrossRef]
- Mazic, S.; Lazovic, B.; Djelic, M.; Suzic-Lazic, J.; Djordjevic-Saranovic, S.; Durmic, T.; Zugic, V. Respiratory parameters in elite athletes—Does sport have an influence? Rev. Port. Pneumol. 2015, 21, 192–197. [Google Scholar] [CrossRef]
- Ermiş, E.; Yılmaz, A.K.; Mayda, M.H. Analysis of respiratory functions and respiratory muscle strength of martial arts athletes. Int. J. Appl. Exerc. Physiol. 2019, 8, 10–17. [Google Scholar]
- Franchini, E.; Del Vecchio, F.B.; Matsushigue, K.A.; Artioli, G.G. Physiological profiles of elite judo athletes. Sports Med. 2011, 41, 147–166. [Google Scholar] [CrossRef] [PubMed]
- Pallarés, J.G.; López-Gullón, J.M.; Torres-Bonete, M.D.; Izquierdo, M. Physical fitness factors to predict female Olympic wrestling performance and sex differences. J. Strength Cond. Res. 2012, 26, 794–803. [Google Scholar] [CrossRef]
- Cronin, J.; Lawton, T.; Harris, N.; Kilding, A.; McMaster, D.T. A brief review of handgrip strength and sport performance. J. Strength Cond. Res. 2017, 31, 3187–3217. [Google Scholar] [CrossRef]
- Iermakov, S.; Podrigalo, L.V.; Jagiełło, W. Hand-grip strength as an indicator for predicting the success in martial arts athletes. Arch. Budo 2016, 12, 217–225. [Google Scholar]
- Liu, X.; Li, P.; Wang, Z.; Lu, Y.; Li, N.; Xiao, L.; Duan, H.; Wang, Z.; Li, J.; Shan, C.; et al. Evaluation of isokinetic muscle strength of upper limb and the relationship with pulmonary function and respiratory muscle strength in stable COPD patients. Int. J. Chron. Obstruct. Pulmon. Dis. 2019, 14, 2027–2036. [Google Scholar] [CrossRef]
- Dourado, V.Z.; de Oliveira Antunes, L.C.; Tanni, S.E.; de Paiva, S.A.R.; Padovani, C.R.; Godoy, I. Relationship of upper-limb and thoracic muscle strength to 6-min walk distance in COPD patients. Chest 2006, 129, 551–557. [Google Scholar] [CrossRef]
- Jaric, S. Muscle strength testing: Use of normalisation for body size. Sports Med. 2002, 32, 615–631. [Google Scholar] [CrossRef] [PubMed]
- Markovic, G.; Jaric, S. Movement performance and body size: The relationship for different groups of tests. Eur. J. Appl. Physiol. 2004, 92, 139–149. [Google Scholar] [CrossRef]
- Quanjer, P.H.; Stanojevic, S.; Stocks, J.; Hall, G.L.; Prasad, K.V.V.; Cole, T.J.; Ip, M.S.M. Changes in the FEV1/FVC ratio during childhood and adolescence: An intercontinental study. Eur. Respir. J. 2010, 36, 1391–1399. [Google Scholar] [CrossRef] [PubMed]
- Hodges, P.W.; Heijnen, I.; Gandevia, S.C. Postural activity of the diaphragm is reduced in humans when respiratory demand increases. J. Physiol. 2001, 537, 999–1008. [Google Scholar] [CrossRef]
- Tack, C. Evidence-based guidelines for strength and conditioning in mixed martial arts. Strength Cond. J. 2013, 35, 79–92. [Google Scholar] [CrossRef]

| Variables | Mean ± Standard Deviation | 95% CI |
|---|---|---|
| Age (years) | 23.0 ± 2.3 | 22.0, 24.1 |
| Height (cm) | 170.0 ± 7.7 | 166.9, 173.6 |
| Weight (kg) | 65.0 ± 11.0 | 60.2, 69.8 |
| Body mass index (kg/m2) | 22.2 ± 2.1 | 21.3, 23.1 |
| Training experience (years) | 9.2 ± 2.2 | 8.3, 10.2 |
| Training frequency (session/week) | 4.6 ± 0.5 | 4.4, 4.8 |
| Training frequency (hours/week) | 6.9 ± 0.7 | 6.0, 7.5 |
| Variables | Mean ± Standard Deviation | 95% CI |
|---|---|---|
| Handgrip strength (kg) | 35.3 ± 11.2 | 30.4, 40.1 |
| Leg strength (kg) | 105.1 ± 34.3 | 90.2, 119.9 |
| Back strength (kg) | 114.6 ± 38.0 | 98.2, 131.1 |
| FVC (L) | 4.59 ± 0.88 | 4.20, 4.97 |
| FEV1 (L) | 3.96 ± 0.80 | 3.61, 4.30 |
| PEF (L/s) | 7.76 ± 2.34 | 6.74, 8.77 |
| MVV (L/min) | 133.0 ± 20.0 | 124.4, 141.7 |
| Dependent Variables | Independent Variables | β | t | r2 | r2adj | F | p-Value |
|---|---|---|---|---|---|---|---|
| Handgrip strength (kg) | FVC | −0.526 | 1.977 | 0.762 | 0.709 | 14.390 | <0.001 |
| FEV1 | −0.124 | −0.448 | |||||
| PEF | 0.437 | 2.429 | |||||
| MVV | 0.106 | 0.473 | |||||
| Leg strength (kg) | FVC | 0.535 | 1.490 | 0.566 | 0.470 | 5.869 | 0.003 |
| FEV1 | −0.516 | −1.377 | |||||
| PEF | 0.572 | 2.352 | |||||
| MVV | 0.169 | 0.559 | |||||
| Back strength (kg) | FVC | 0.612 | 2.323 | 0.766 | 0.714 | 14.746 | <0.001 |
| FEV1 | −0.491 | −1.785 | |||||
| PEF | 0.643 | 3.601 | |||||
| MVV | 0.137 | 0.618 |
| Variables | Tolerance | Variance Inflation Factor |
|---|---|---|
| FVC (L) | 0.187 | 5.342 |
| FEV1 (L) | 0.172 | 5.823 |
| PEF (L/s) | 0.408 | 2.451 |
| MVV (L/min) | 0.263 | 3.798 |
Disclaimer/Publisher’s Note: The statements, opinions and data contained in all publications are solely those of the individual author(s) and contributor(s) and not of MDPI and/or the editor(s). MDPI and/or the editor(s) disclaim responsibility for any injury to people or property resulting from any ideas, methods, instructions or products referred to in the content. |
© 2025 by the authors. Licensee MDPI, Basel, Switzerland. This article is an open access article distributed under the terms and conditions of the Creative Commons Attribution (CC BY) license (https://creativecommons.org/licenses/by/4.0/).
Share and Cite
Tokgoz, G.; Cinarli, S.; Akyol, B.; Aygoren, C.; Beykumul, A.; Larsen, M.N.; Krustrup, P.; França, C.; Gouveia, É.R.; Cinarli, F.S. Associations Between Pulmonary Function and Muscle Strength in Turkish National Karate Athletes. J. Clin. Med. 2025, 14, 6370. https://doi.org/10.3390/jcm14186370
Tokgoz G, Cinarli S, Akyol B, Aygoren C, Beykumul A, Larsen MN, Krustrup P, França C, Gouveia ÉR, Cinarli FS. Associations Between Pulmonary Function and Muscle Strength in Turkish National Karate Athletes. Journal of Clinical Medicine. 2025; 14(18):6370. https://doi.org/10.3390/jcm14186370
Chicago/Turabian StyleTokgoz, Gurkan, Sena Cinarli, Betül Akyol, Caner Aygoren, Aysegul Beykumul, Malte Nejst Larsen, Peter Krustrup, Cíntia França, Élvio Rúbio Gouveia, and Fahri Safa Cinarli. 2025. "Associations Between Pulmonary Function and Muscle Strength in Turkish National Karate Athletes" Journal of Clinical Medicine 14, no. 18: 6370. https://doi.org/10.3390/jcm14186370
APA StyleTokgoz, G., Cinarli, S., Akyol, B., Aygoren, C., Beykumul, A., Larsen, M. N., Krustrup, P., França, C., Gouveia, É. R., & Cinarli, F. S. (2025). Associations Between Pulmonary Function and Muscle Strength in Turkish National Karate Athletes. Journal of Clinical Medicine, 14(18), 6370. https://doi.org/10.3390/jcm14186370

