Acute Effects of Osteopathic Treatment in Long COVID-19 Patients with Fatigue Symptoms: A Randomized, Controlled Trial
Abstract
1. Introduction
2. Methods
2.1. Study Design
2.2. Study Procedures
2.3. Participants
2.4. Osteopathic Treatment Intervention
2.4.1. Osteopathic Treatment Group
2.4.2. Sham-Treatment of Control Group
2.5. Outcome Measures
2.6. Data Analysis
3. Results
3.1. Symptoms Associated with Long COVID and Fatigue Symptoms
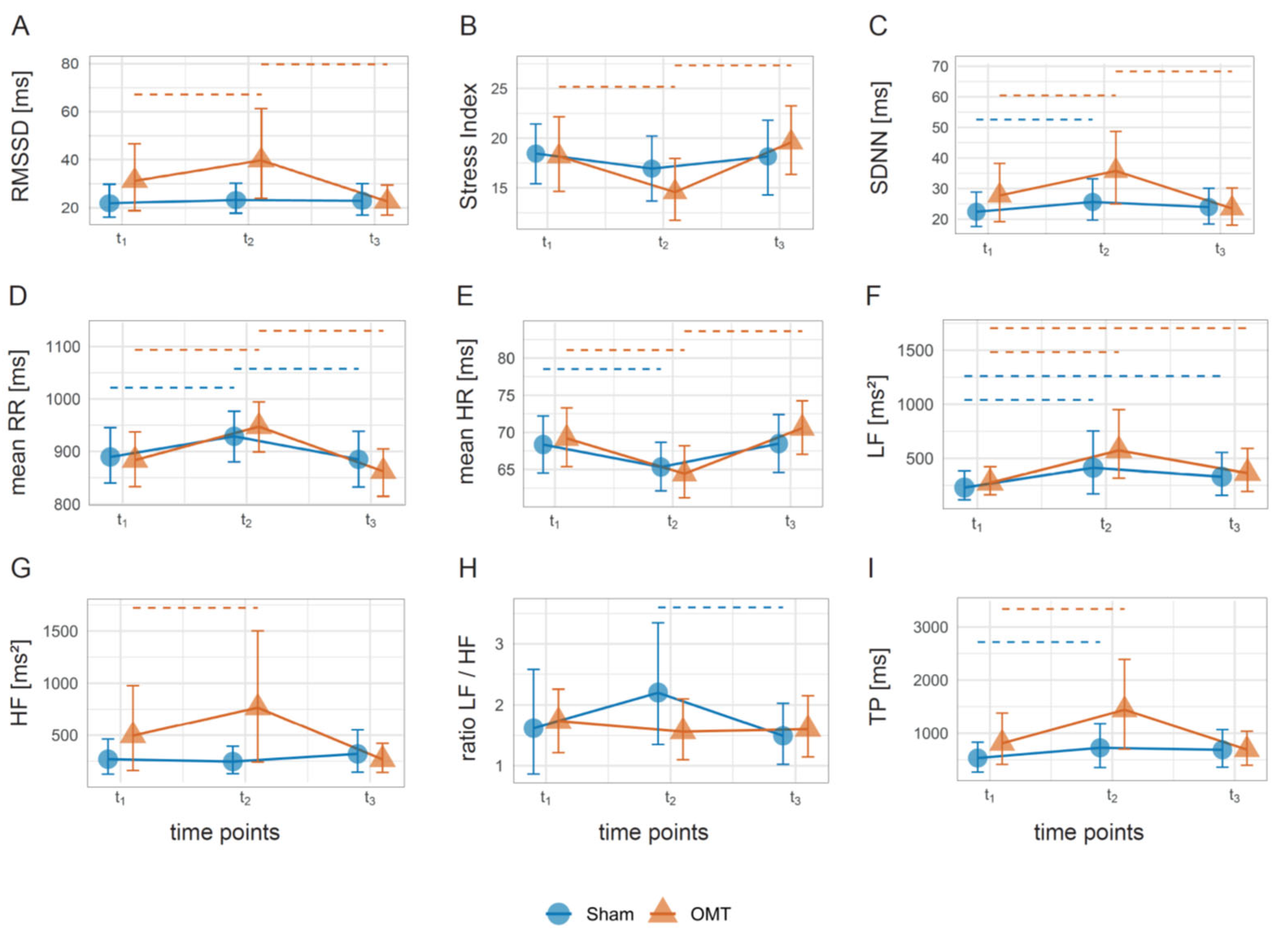
3.2. Stress and Heart Rate Changes in OMT Treatment
4. Discussion
Author Contributions
Funding
Institutional Review Board Statement
Informed Consent Statement
Data Availability Statement
Conflicts of Interest
Abbreviations
| ANS | autonomic nervous system |
| FAS | fatigue assessment scale |
| HF | high frequency |
| HRV | heart rate variability |
| ICTRP | WHO international Clinical Trials Registry Platform |
| LF | low frequency |
| mHR | mean Heart Rate |
| MCID | minimal clinically important difference |
| mRR | mean RR intervals |
| OMT | Osteopathic manipulative treatment |
| RCT | Randomized, controlled trial |
| RMSSD | Root mean square of successive differences |
| SDNN | Mean of the standard deviations of RR intervals |
| SI | Baevsky’s Stress index |
| TP | Total power of HRV |
References
- Robert-Koch Institut. Aktuell Deutschland Sarscov2 Infektionen. 2024. Available online: https://github.com/robert-koch-institut/SARS-CoV-2-Infektionen_in_Deutschland (accessed on 20 February 2022).
- Sudre, C.H.; Murray, B.; Varsavsky, T.; Graham, M.S.; Penfold, R.S.; Bowyer, R.C.; Pujol, J.C.; Klaser, K.; Antonelli, M.; Canas, L.S.; et al. Author correction: Attributes and predictors of long COVID. Nat. Med. 2021, 27, 1116. [Google Scholar] [CrossRef]
- Venkatesan, P. Nice guideline on long COVID. Lancet Respir. Med. 2021, 9, 129. [Google Scholar] [CrossRef]
- Koczulla, A.R.; Ankermann, T.; Behrends, U.; Berlit, P.; Boing, S.; Brinkmann, F.; Franke, C.; Glockl, R.; Gogoll, C.; Hummel, T.; et al. S1 guideline post-COVID/long-COVID. Pneumologie 2021, 75, 869–900. [Google Scholar] [CrossRef]
- Proal, A.; Marshall, T. Myalgic encephalomyelitis/chronic fatigue syndrome in the era of the human microbiome: Persistent pathogens drive chronic symptoms by interfering with host metabolism, gene expression, and immunity. Front. Pediatr. 2018, 6, 373. [Google Scholar] [CrossRef]
- Kedor, C.; Freitag, H.; Meyer-Arndt, L.; Wittke, K.; Hanitsch, L.G.; Zoller, T.; Steinbeis, F.; Haffke, M.; Rudolf, G.; Heidecker, B.; et al. A prospective observational study of post-COVID-19 chronic fatigue syndrome following the first pandemic wave in germany and biomarkers associated with symptom severity. Nat. Commun. 2022, 13, 5104. [Google Scholar] [CrossRef]
- Yoon, J.H.; Park, N.H.; Kang, Y.E.; Ahn, Y.C.; Lee, E.J.; Son, C.G. The demographic features of fatigue in the general population worldwide: A systematic review and meta-analysis. Front. Public Health 2023, 11, 1192121. [Google Scholar] [CrossRef]
- Aranyo, J.; Bazan, V.; Llados, G.; Dominguez, M.J.; Bisbal, F.; Massanella, M.; Sarrias, A.; Adelino, R.; Riverola, A.; Paredes, R.; et al. Inappropriate sinus tachycardia in post-COVID-19 syndrome. Sci. Rep. 2022, 12, 298. [Google Scholar] [CrossRef]
- Sollini, M.; Ciccarelli, M.; Cecconi, M.; Aghemo, A.; Morelli, P.; Gelardi, F.; Chiti, A. Vasculitis changes in COVID-19 survivors with persistent symptoms: An [18F]FDG-PET/CT study. Eur. J. Nucl. Med. Mol. Imaging 2021, 48, 1460–1466. [Google Scholar] [CrossRef]
- Ruffini, N.; D’Alessandro, G.; Mariani, N.; Pollastrelli, A.; Cardinali, L.; Cerritelli, F. Variations of high frequency parameter of heart rate variability following osteopathic manipulative treatment in healthy subjects compared to control group and sham therapy: Randomized controlled trial. Front. Neurosci. 2015, 9, 272. [Google Scholar] [CrossRef]
- Carnevali, L.; Lombardi, L.; Fornari, M.; Sgoifo, A. Exploring the effects of osteopathic manipulative treatment on autonomic function through the lens of heart rate variability. Front. Neurosci. 2020, 14, 579365. [Google Scholar] [CrossRef]
- Liem, T. Pitfalls and challenges involved in the process of perception and interpretation of palpatory findings. Int. J. Osteopath. Med. 2014, 17, 243–249. [Google Scholar] [CrossRef]
- Tamburella, F.; Piras, F.; Piras, F.; Spano, B.; Tramontano, M.; Gili, T. Cerebral perfusion changes after osteopathic manipulative treatment: A randomized manual placebo-controlled trial. Front. Physiol. 2019, 10, 403. [Google Scholar] [CrossRef] [PubMed]
- Tramontano, M.; Cerritelli, F.; Piras, F.; Spano, B.; Tamburella, F.; Piras, F.; Caltagirone, C.; Gili, T. Brain connectivity changes after osteopathic manipulative treatment: A randomized manual placebo-controlled trial. Brain Sci. 2020, 10, 969. [Google Scholar] [CrossRef]
- Sammito, S.; Thielmann, B.; Klussmann, A.; Deussen, A.; Braumann, K.M.; Bockelmann, I. Guideline for the application of heart rate and heart rate variability in occupational medicine and occupational health science. J. Occup. Med. Toxicol. 2024, 19, 15. [Google Scholar] [CrossRef] [PubMed]
- Escorihuela, R.M.; Capdevila, L.; Castro, J.R.; Zaragoza, M.C.; Maurel, S.; Alegre, J.; Castro-Marrero, J. Reduced heart rate variability predicts fatigue severity in individuals with chronic fatigue syndrome/myalgic encephalomyelitis. J. Transl. Med. 2020, 18, 4. [Google Scholar] [CrossRef]
- Lopez-Leon, S.; Wegman-Ostrosky, T.; Perelman, C.; Sepulveda, R.; Rebolledo, P.; Cuapio, A.; Villapol, S. More than 50 long-term effects of COVID-19: A systematic review and meta-analysis. Sci. Rep. 2021, 11, 14144. [Google Scholar] [CrossRef]
- Sanchez-Romero, E.A.; Garcia-Barredo-Restegui, T.; Martinez-Rolando, L.; Villafane, J.H.; Galan-Fraguas, A.; Jurado-Molina, R.; Cuenca-Zaldivar, J.N.; Soto-Goni, X.A.; Martinez-Lozano, P. Addressing post-COVID-19 musculoskeletal symptoms through pulmonary rehabilitation with an evidence-based ehealth education tool: Preliminary results from a pilot randomized controlled clinical trial. Medicine 2025, 104, e41583. [Google Scholar] [CrossRef] [PubMed]
- Noll, D.R.; Degenhardt, B.F.; Stuart, M.; McGovern, R.; Matteson, M. Effectiveness of a sham protocol and adverse effects in a clinical trial of osteopathic manipulative treatment in nursing home patients. J. Am. Osteopath. Assoc. 2004, 104, 107–113. [Google Scholar]
- Tarvainen, M.P.; Niskanen, J.P.; Lipponen, J.A.; Ranta-Aho, P.O.; Karjalainen, P.A. Kubios hrv–heart rate variability analysis software. Comput. Methods Programs Biomed. 2014, 113, 210–220. [Google Scholar] [CrossRef]
- Baevsky, R.M.; Chernikova, A.G. Heart rate variability analysis: Physiological foundations and main methods. Cardiometry 2017, 10, 66–76. [Google Scholar] [CrossRef]
- Carnevali, L.; Cerritelli, F.; Guolo, F.; Sgoifo, A. Osteopathic manipulative treatment and cardiovascular autonomic parameters in rugby players: A randomized, sham-controlled trial. J. Manip. Physiol. Ther. 2021, 44, 319–329. [Google Scholar] [CrossRef] [PubMed]
- Zielinski, G. Effect size guidelines for individual and group differences in physiotherapy. Arch. Phys. Med. Rehabil. 2025; online ahead of print. [Google Scholar] [CrossRef] [PubMed]
- American Psychological Association (Washington District of Columbia). Publication Manual of the American Psychological Association, 7th ed.; American Psychological Association: Washington, DC, USA, 2020. [Google Scholar]
- Wilkinson, L. Statistical methods in psychology journals: Guidelines and explanations. Am. Psychol. 1999, 54, 594–604. [Google Scholar] [CrossRef]
- Cumming, G. Replication and p intervals: P values predict the future only vaguely, but confidence intervals do much better. Perspect. Psychol. Sci. 2008, 3, 286–300. [Google Scholar] [CrossRef] [PubMed]
- Lu, S.; Peluso, M.J.; Glidden, D.V.; Davidson, M.C.; Lugtu, K.; Pineda-Ramirez, J.; Tassetto, M.; Garcia-Knight, M.; Zhang, A.; Goldberg, S.A.; et al. Early biological markers of post-acute sequelae of SARS-CoV-2 infection. Nat. Commun. 2024, 15, 7466. [Google Scholar] [CrossRef]
- Larrimore, C.; Ramnot, A.; Jaghab, A.; Sarduy, S.; Guerrero, G.; Troccoli, P.; Hilton, K.; Bested, A. Understanding myalgic encephalomyelitis/chronic fatigue syndrome and the emerging osteopathic approach: A narrative review. J. Am. Osteopath. Assoc. 2019, 119, 446–455. [Google Scholar] [CrossRef]
- Heald, A.; Perrin, R.; Walther, A.; Stedman, M.; Hann, M.; Mukherjee, A.; Riste, L. Reducing fatigue-related symptoms in long COVID-19: A preliminary report of a lymphatic drainage intervention. Cardiovasc. Endocrinol. Metab. 2022, 11, e0261. [Google Scholar] [CrossRef]
- Brandl, A.; Engel, R.; Egner, C.; Schleip, R.; Schubert, C. Relations between daily stressful events, exertion, heart rate variability and thoracolumbar fasciadeformability: An integrative single-case study on asport climber. J. Med. Case Rep. 2024, 18, 589. [Google Scholar] [CrossRef]
- Beaumont, A.; Burton, A.R.; Lemon, J.; Bennett, B.K.; Lloyd, A.; Vollmer-Conna, U. Reduced cardiac vagal modulation impacts on cognitive performance in chronic fatigue syndrome. PLoS ONE 2012, 7, e49518. [Google Scholar] [CrossRef]
- Asarcikli, L.D.; Hayiroglu, M.I.; Osken, A.; Keskin, K.; Kolak, Z.; Aksu, T. Heart rate variability and cardiac autonomic functions in post-COVID period. J. Interv. Card. Electrophysiol. 2022, 63, 715–721. [Google Scholar] [CrossRef]
- Aliani, C.; Rossi, E.; Luchini, M.; Calamai, I.; Deodati, R.; Spina, R.; Lanata, A.; Bocchi, L. Cardiovascular dynamics in COVID-19: A heart rate variability investigation. In Proceedings of the 2022 44th Annual International Conference of the IEEE Engineering in Medicine & Biology Society (EMBC), Glasgow, UK, 11–15 July 2022; pp. 2278–2281. [Google Scholar] [CrossRef]
- Henley, C.E.; Ivins, D.; Mills, M.; Wen, F.K.; Benjamin, B.A. Osteopathic manipulative treatment and its relationship to autonomic nervous system activity as demonstrated by heart rate variability: A repeated measures study. Osteopath. Med. Prim. Care 2008, 2, 7. [Google Scholar] [CrossRef]
- Bialosky, J.E.; Bishop, M.D.; George, S.Z.; Robinson, M.E. Placebo response to manual therapy: Something out of nothing? J. Man. Manip. Ther. 2011, 19, 11–19. [Google Scholar] [CrossRef]
- Benedetti, F. Placebo and the new physiology of the doctor-patient relationship. Physiol. Rev. 2013, 93, 1207–1246. [Google Scholar] [CrossRef]
- Antunes, M.D.; Marques, A.P. The role of physiotherapy in fibromyalgia: Current and future perspectives. Front. Physiol. 2022, 13, 968292. [Google Scholar] [CrossRef] [PubMed]
- McGlone, F.; Moberg, K.U.; Norholt, H.; Eggart, M.; Muller-Oerlinghausen, B. Touch medicine: Bridging the gap between recent insights from touch research and clinical medicine and its special significance for the treatment of affective disorders. Front. Psychiatry 2024, 15, 1390673. [Google Scholar] [CrossRef] [PubMed]
- Watkins, L.L.; Grossman, P.; Krishnan, R.; Sherwood, A. Anxiety and vagal control of heart rate. Psychosom. Med. 1998, 60, 498–502. [Google Scholar] [CrossRef] [PubMed]
- Vemuri, K.S.; Sihag, B.K.; Sharma, Y.; Nevali, K.P.; Vijayvergiya, R.; Kumar, R.M.; Bahl, A.; Singh, P.; Mehrotra, S.; Khanal, S.; et al. Real world perspective of coronary chronic total occlusion in third world countries: A tertiary care centre study from northern india. Indian Heart J. 2021, 73, 156–160. [Google Scholar] [CrossRef]
- Laborde, S.; Mosley, E.; Thayer, J.F. Heart rate variability and cardiac vagal tone in psychophysiological research—Recommendations for experiment planning, data analysis, and data reporting. Front. Psychol. 2017, 8, 213. [Google Scholar] [CrossRef]
- Hope-Bell, J.; Draper-Rodi, J.; Edwards, D.J. Applying an osteopathic intervention to improve mild to moderate mental health symptoms: A mixed-methods feasibility randomised trial. Chiropr. Man. Therap. 2024, 32, 32. [Google Scholar] [CrossRef]
- Yang, J.; Lim, K.H.; Lim, K.T.; Woods, J.T.; Mohabbat, A.B.; Wahner-Roedler, D.L.; Ganesh, R.; Bauer, B.A. Complementary and alternative medicine for long COVID: A systematic review of randomized controlled trials. Ther. Adv. Chronic Dis. 2023, 14, 20406223231204727. [Google Scholar] [CrossRef]




| Osteopathic Manipulative Treatment | Sham Treatment | p-Value | |
|---|---|---|---|
| Number of Participants [n] | 21 | 21 | n.d. |
| Age [years] | 51.0 ± 12.5 | 50.1 ± 11.7 | 0.81 (a) |
| Sex [female/male] | 16/5 | 15/6 | >0.99 (b) |
| FAS | 31.2 ± 5.6 | 34.4 ± 5.6 | 0.07 (a) |
| Vaccinated before infection [n] | 17 (41%) | 19 (45%) | 0.66 (c) |
| Duration since SARS-CoV-2 infection [d] | 543.7 ± 65.0 | 433.1 ± 61.9 | 0.23 |
| Health issues (in acute phase) | |||
| Common cold w/o fever | 6 (14%) | 3 (7%) | 0.45 (c) |
| Common cold with fever | 11 (26%) | 13 (31%) | 0.76 (c) |
| Shortness of Breath and Cough | 14 (33%) | 15 (36%) | >0.99 (b) |
| Hospitalization | 4 (10%) | 2 (5%) | 0.66 (b) |
| Admission to intensive care unit (ICU) | 1 (3%) | 0 (0%) | >0.99 (b) |
| Fatigue or weakness (scale score) | 7.1 ± 2.5 | 8.1 ± 1.8 | 0.21 (a) |
| Joint and muscle pain (scale score) | 5.7 ± 3.3 | 5.6 ± 3.4 | >0.99 (a) |
| Sleep disturbances (scale score) | 4.9 ± 3.5 | 6.6 ± 3.3 | |
| Anxiety | 1.6 ± 2.0 | 3.4 ± 3.4 | 0.05 (a) |
| Loss of self-control | 1.7 ± 2.7 | 4.7 ± 3.1 | 0.02 (a) |
| Lack of drive, interest, or feeling lonely (scale score) | 3.6 ± 3.7 | 4.7 ± 3.1 | 0.33 (a) |
| Impaired balance or dizziness (scale score) | 3.5 ± 2.9 | 5.0 ± 3.9 | 0.17 (a) |
| Loss of smell and taste (scale score) | 0.9 ± 2.1 | 1.5 ± 2.5 | 0.42 (a) |
| Entire Study Population | Outlier | |
|---|---|---|
| Number of Participants [n] | 29 | 6 |
| Range of Age [years] | 29–75 | 32–48 |
| RMSSD [ms] | 20.5 | 88.3 |
| SDNN [ms] | 21.5 | 67.3 |
| FAS | 33 | 29 |
Disclaimer/Publisher’s Note: The statements, opinions and data contained in all publications are solely those of the individual author(s) and contributor(s) and not of MDPI and/or the editor(s). MDPI and/or the editor(s) disclaim responsibility for any injury to people or property resulting from any ideas, methods, instructions or products referred to in the content. |
© 2025 by the authors. Licensee MDPI, Basel, Switzerland. This article is an open access article distributed under the terms and conditions of the Creative Commons Attribution (CC BY) license (https://creativecommons.org/licenses/by/4.0/).
Share and Cite
Zissler, U.M.; Poehlmann, T.; Gloeckl, R.; Ibrahim, S.; Klupsch, K.; Schneeberger, T.; Jarosch, I.; Koczulla, A.R. Acute Effects of Osteopathic Treatment in Long COVID-19 Patients with Fatigue Symptoms: A Randomized, Controlled Trial. J. Clin. Med. 2025, 14, 6066. https://doi.org/10.3390/jcm14176066
Zissler UM, Poehlmann T, Gloeckl R, Ibrahim S, Klupsch K, Schneeberger T, Jarosch I, Koczulla AR. Acute Effects of Osteopathic Treatment in Long COVID-19 Patients with Fatigue Symptoms: A Randomized, Controlled Trial. Journal of Clinical Medicine. 2025; 14(17):6066. https://doi.org/10.3390/jcm14176066
Chicago/Turabian StyleZissler, Ulrich M., Tino Poehlmann, Rainer Gloeckl, Sami Ibrahim, Kerstin Klupsch, Tessa Schneeberger, Inga Jarosch, and Andreas Rembert Koczulla. 2025. "Acute Effects of Osteopathic Treatment in Long COVID-19 Patients with Fatigue Symptoms: A Randomized, Controlled Trial" Journal of Clinical Medicine 14, no. 17: 6066. https://doi.org/10.3390/jcm14176066
APA StyleZissler, U. M., Poehlmann, T., Gloeckl, R., Ibrahim, S., Klupsch, K., Schneeberger, T., Jarosch, I., & Koczulla, A. R. (2025). Acute Effects of Osteopathic Treatment in Long COVID-19 Patients with Fatigue Symptoms: A Randomized, Controlled Trial. Journal of Clinical Medicine, 14(17), 6066. https://doi.org/10.3390/jcm14176066

