Fertility Preservation in Pediatric Oncology: A 10-Year Single-Center Experience in Northern Spain
Abstract
1. Introduction
2. Materials and Methods
2.1. Participants and Ethics
2.2. Data Collection
2.3. Statistical Analysis
3. Results
3.1. Characteristics of Patients
3.2. Patient Characteristics at Study
3.3. Risk of Infertility Associated with Antineoplastic Treatment
3.4. Fertility Preservation
3.4.1. Patient Age
3.4.2. Time of Fertility Preservation
3.4.3. Quality of the Samples Obtained and Complications
3.5. Follow-Up After Treatment
4. Discussion
4.1. Characteristics of the Cohort
4.2. Risk of Gonadotoxicity and Fertility Preservation Techniques
4.3. Long-Term Follow-Up and Outcomes
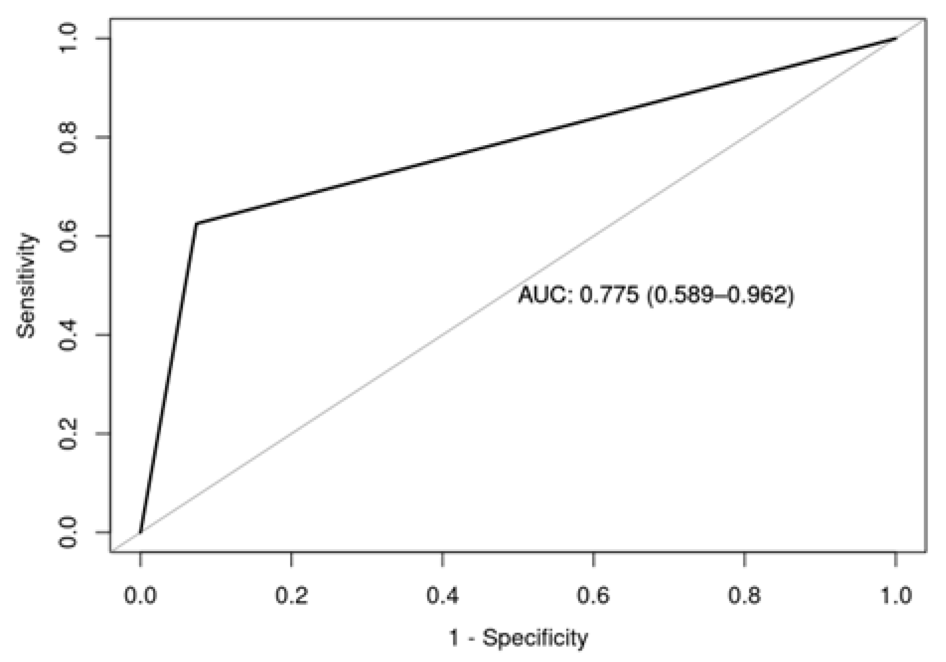
4.4. Predictors of POI and Azoospermia
5. Conclusions
Author Contributions
Funding
Institutional Review Board Statement
Informed Consent Statement
Data Availability Statement
Acknowledgments
Conflicts of Interest
References
- Cañete Nieto, A.; Romaguera, E.; Alfonso Comos, P.; Valero Poveda, S.; Porta Cebolla, S.; Valderrama Zurián, J.; Peris Bonet, R. Cáncer Infantil En España. Estadísticas 1980–2023; Registro Español de Tumores Infantiles (RETI-SEHOP): Valencia, Spain, 2024. [Google Scholar]
- Armstrong, G.T.; Chen, Y.; Yasui, Y.; Leisenring, W.; Gibson, T.M.; Mertens, A.C.; Stoval, M. Reduction in Late Mortality among Five-Year Survivors of Childhood Cancer. N. Engl. J. Med. 2016, 374, 833–842. [Google Scholar] [CrossRef] [PubMed]
- Mulder, R.L.; Font-Gonzalez, A.; Hudson, M.M.; van Santen, H.M.; Loeffen, E.A.H.; Burns, K.C.; Quinn, G.P.; van Dulmen-den Broeder, E.; Byrne, J.; Haupt, R.; et al. Fertility Preservation for Female Patients with Childhood, Adolescent, and Young Adult Cancer: Recommendations from the PanCareLIFE Consortium and the International Late Effects of Childhood Cancer Guideline Harmonization Group. Lancet Oncol. 2021, 22, e45–e56. [Google Scholar] [CrossRef]
- Talbot, L.; Corkum, K.S.; McCracken, K.; Cost, N.G.; Aldrink, J.H. Oncofertility Care for Children, Adolescents, and Young Adults at Risk for Treatment-Related Fertility Loss. Pediatr. Blood Cancer 2024, 72, 1–11. [Google Scholar] [CrossRef]
- Lehmann, V.; Kutteh, W.H.; Sparrow, C.K.; Bjornard, K.L.; Klosky, J.L. Fertility-Related Services in Pediatric Oncology across the Cancer Continuum: A Clinic Overview. Support. Care Cancer 2020, 28, 3955–3964. [Google Scholar] [CrossRef]
- Sklar, C.A.; Mertens, A.C.; Mitby, P.; Whitton, J.; Stovall, M.; Kasper, C.; Mulder, J.; Green, D.; Nicholson, H.S.; Yasui, Y.; et al. Premature Menopause in Survivors of Childhood Cancer: A Report From the Childhood Cancer Survivor Study. JNCI J. Natl. Cancer Inst. 2006, 98, 890–896. [Google Scholar] [CrossRef]
- Wallace, W.H.B.; Anderson, R.A.; Irvine, D.S. Fertility Preservation for Young Patients with Cancer: Who Is at Risk and What Can Be Offered? Lancet Oncol. 2005, 6, 209–218. [Google Scholar] [CrossRef] [PubMed]
- Santaballa, A.; Márquez-Vega, C.; Rodríguez-Lescure, A.; Rovirosa, A.; Vázquez, L.; Zeberio-Etxetxipia, I.; Andrés, M.; Bassas, L.; Ceballos-Garcia, E.; Domingo, J.; et al. Multidisciplinary Consensus on the Criteria for Fertility Preservation in Cancer Patients. Clin. Transl. Oncol. 2022, 24, 227–243. [Google Scholar] [CrossRef]
- Burns, K.C.; Hoefgen, H.; Strine, A.; Dasgupta, R. Fertility Preservation Options in Pediatric and Adolescent Patients with Cancer. Cancer 2018, 124, 1867–1876. [Google Scholar] [CrossRef]
- Green, D.M.; Kawashima, T.; Stovall, M.; Leisenring, W.; Sklar, C.A.; Mertens, A.C.; Donaldson, S.S.; Byrne, J.; Robison, L.L. Fertility of Female Survivors of Childhood Cancer: A Report From the Childhood Cancer Survivor Study. J. Clin. Oncol. 2009, 27, 2677–2685. [Google Scholar] [CrossRef]
- Wallace, W.H.B.; Smith, A.G.; Kelsey, T.W.; Edgar, A.E.; Anderson, R.A. Fertility Preservation for Girls and Young Women with Cancer: Population-Based Validation of Criteria for Ovarian Tissue Cryopreservation. Lancet Oncol. 2014, 15, 1129–1136. [Google Scholar] [CrossRef] [PubMed]
- Talbot, L.; Corkum, K.S.; McCracken, K.; Cost, N.G.; Aldrink, J.H. Fertility Preservation in Patients Undergoing Gonadotoxic Therapy or Gonadectomy: A Committee Opinion. Fertil. Steril. 2019, 112, 1022–1033. [Google Scholar] [CrossRef] [PubMed]
- Dolmans, M.-M.; Donnez, J. Fertility Preservation in Women for Medical and Social Reasons: Oocytes vs Ovarian Tissue. Best Pract. Res. Clin. Obstet. Gynaecol. 2021, 70, 63–80. [Google Scholar] [CrossRef]
- Duffin, K.; Neuhaus, N.; Andersen, C.Y.; Barraud-Lange, V.; Feraille, A.; Braye, A.; Eguizabal, C.; Ginsberg, J.P.; Gook, D.; Goossens, E.; et al. A 20-Year Overview of Fertility Preservation in Boys: New Insights Gained through a Comprehensive International Survey. Hum. Reprod. Open 2024, 2024, hoae010. [Google Scholar] [CrossRef]
- Mulder, R.L.; Font-Gonzalez, A.; Green, D.M.; Loeffen, E.A.H.; Hudson, M.M.; Loonen, J.; Yu, R.; Ginsberg, J.P.; Mitchell, R.T.; Byrne, J.; et al. Fertility Preservation for Male Patients with Childhood, Adolescent, and Young Adult Cancer: Recommendations from the PanCareLIFE Consortium and the International Late Effects of Childhood Cancer Guideline Harmonization Group. Lancet Oncol. 2021, 22, e57–e67. [Google Scholar] [CrossRef]
- Braye, A.; Tournaye, H.; Goossens, E. Setting Up a Cryopreservation Programme for Immature Testicular Tissue: Lessons Learned After More Than 15 Years of Experience. Clin. Med. Insights Reprod. Health 2019, 13, 1–8. [Google Scholar] [CrossRef]
- Green, D.M.; Nolan, V.G.; Goodman, P.J.; Whitton, J.A. The Cyclophosphamide Equivalent Dose as an Approach for Quantifying Alkylating Agent Exposure. A Report from the Childhood Cancer Survivor Study. Pediatr. Blood Cancer 2014, 61, 53–67. [Google Scholar] [CrossRef] [PubMed]
- Fraser, O.; Crowne, E.; Tacey, M.; Cramer, R.; Cameron, A. Correlating Measured Radiotherapy Dose with Patterns of Endocrinopathy: The Importance of Minimizing Pituitary Dose. Pediatr. Blood Cancer 2022, 69, e29847. [Google Scholar] [CrossRef] [PubMed]
- Takae, S.; Furuta, S.; Iwahataa, H.; Iwahata, Y.; Keino, D.; Kanamori, R.; Oyama, K.; Tanaka, K.; Shiraishi, E.; Suzuki, Y.; et al. Cryopreservation of Paediatric Ovarian Tissue with an Updated Version of the Edinburgh Criteria for Appropriate Patient Selection. Reprod. Biomed. Online 2022, 44, 667–676. [Google Scholar] [CrossRef]
- Grellet-Grün, M.; Delepine, B.; Le Van Quyen, P.; Avérous, G.; Durlach, A.; Greze, C.; Ladureau-Fritsch, L.; Lichtblau, I.; Canepa, A.S.; Liné, A.; et al. A 16-Year Bicentric Retrospective Analysis of Ovarian Tissue Cryopreservation in Pediatric Units: Indications, Results, and Outcome. Front. Endocrinol. 2023, 14, 1–7. [Google Scholar] [CrossRef]
- Chemaitilly, W.; Li, Z.; Krasin, M.J.; Brooke, R.J.; Wilson, C.L.; Green, D.M.; Klosky, J.L.; Barnes, N.; Clark, K.L.; Farr, J.B.; et al. Premature Ovarian Insufficiency in Childhood Cancer Survivors: A Report From the St. Jude Lifetime Cohort. J. Clin. Endocrinol. Metab. 2017, 102, 2242–2250. [Google Scholar] [CrossRef]
- Lie Fong, S.; Visser, J.A.; Welt, C.K.; de Rijke, Y.B.; Eijkemans, M.J.C.; Broekmans, F.J.; Roes, E.M.; Peters, W.H.M.; Hokken-Koelega, A.C.S.; Fauser, B.C.J.M.; et al. Serum Anti-Müllerian Hormone Levels in Healthy Females: A Nomogram Ranging from Infancy to Adulthood. J. Clin. Endocrinol. Metab. 2012, 97, 4650–4655. [Google Scholar] [CrossRef]
- Visser, J.A.; De Jong, F.H.; Laven, J.S.E.; Themmen, A.P.N. Anti-Müllerian Hormone: A New Marker for Ovarian Function. Reproduction 2006, 131, 1–9. [Google Scholar] [CrossRef] [PubMed]
- De Vet, A.; Laven, J.S.E.; De Jong, F.H.; Themmen, A.P.N.; Fauser, B.C.J.M. Antimüllerian Hormone Serum Levels: A Putative Marker for Ovarian Aging. Fertil. Steril. 2002, 77, 357–362. [Google Scholar] [CrossRef]
- Anderson, R.A.; Mitchell, R.T.; Kelsey, T.W.; Spears, N.; Telfer, E.E.; Wallace, W.H.B. Cancer Treatment and Gonadal Function: Experimental and Established Strategies for Fertility Preservation in Children and Young Adults. Lancet Diabetes Endocrinol. 2015, 3, 556–567. [Google Scholar] [CrossRef] [PubMed]
- Broekmans, F.J.; Soules, M.R.; Fauser, B.C. Ovarian Aging: Mechanisms and Clinical Consequences. Endocr. Rev. 2009, 30, 465–493. [Google Scholar] [CrossRef] [PubMed]
- McHugh, M.L. Interrater Reliability: The Kappa Statistic. Biochem. Medica 2012, 22, 276–282. [Google Scholar] [CrossRef]
- Mandrekar, J.N. Receiver Operating Characteristic Curve in Diagnostic Test Assessment. J. Thorac. Oncol. 2010, 5, 1315–1316. [Google Scholar] [CrossRef]
- de la Cruz Ortega, M.; Sainz de Aja Gallastegui, L.; de Castro Laiz, V. Cáncer Infantil en la Comunidad Autónoma Vasca 1990–2018; Unidad de Vigilancia Epidemiológica de la Comunidad Autónoma de Euskadi: Euskadi, Spain, 2023; Available online: https://www.euskadi.eus/contenidos/informacion/registros_cancer/es_def/adjuntos/Cancer_infantil_2023.pdf (accessed on 12 March 2025).
- Demeestere, I.; Simon, P.; Dedeken, L.; Moffa, F.; Tsépélidis, S.; Brachet, C.; Delbaere, A.; Devreker, F.; Ferster, A. Live Birth after Autograft of Ovarian Tissue Cryopreserved during Childhood. Hum. Reprod. 2015, 30, 2107–2109. [Google Scholar] [CrossRef]
- Van Dorp, W.; Mulder, R.L.; Kremer, L.C.M.; Hudson, M.M.; Van Den Heuvel-Eibrink, M.M.; Van Den Berg, M.H.; Levine, J.M.; Van Dulmen-den Broeder, E.; Di Iorgi, N.; Albanese, A.; et al. Recommendations for Premature Ovarian Insufficiency Surveillance for Female Survivors of Childhood, Adolescent, and Young Adult Cancer: A Report From the International Late Effects of Childhood Cancer Guideline Harmonization Group in Collaboration With the PanCareSurFup Consortium. J. Clin. Oncol. 2016, 34, 3440–3450. [Google Scholar] [CrossRef]
- Fleseriu, M.; Hashim, I.A.; Karavitaki, N.; Melmed, S.; Murad, M.H.; Salvatori, R.; Samuels, M.H. Hormonal Replacement in Hypopituitarism in Adults: An Endocrine Society Clinical Practice Guideline. J. Clin. Endocrinol. Metab. 2016, 101, 3888–3921. [Google Scholar] [CrossRef]




| Age at Diagnosis | n | % |
|---|---|---|
| 0–4 years | 167 | 40.5 |
| 5–11 years | 129 | 31.3 |
| 12–16 years | 107 | 26 |
| >16 years | 9 | 2,2 |
| Sex | n | % |
| Female | 180 | 43.7 |
| Male | 230 | 55.8 |
| Transgender | 2 | 0.5 |
| Metastasis | n | % |
| No | 356 | 86.4 |
| Yes | 56 | 13.6 |
| Age at Study | n | % |
|---|---|---|
| 0–4 years | 31 | 7.5 |
| 5–11 years | 139 | 33.7 |
| 12–16 years | 100 | 24.3 |
| >16 years | 101 | 24.5 |
| Deceased | 41 | 10 |
| Pubertal status | n | % |
| Prepubertal | 177 | 43 |
| Normal puberty | 135 | 32.8 |
| Late puberty | 10 | 2.4 |
| Early puberty | 7 | 1.7 |
| Sex hormone replacement therapy | 9 | 2.2 |
| Transgender-induced puberty | 1 | 0.2 |
| No pubertal records * | 32 | 7.7 |
| Deceased | 41 | 10 |
| Relapsed disease or 2nd malignancies | n | % |
| No | 336 | 81.6 |
| Yes | 76 | 18.4 |
| Current status | n | % |
| Alive, no evidence of disease | 324 | 78.7 |
| Alive with intractable tumor ** | 10 | 2.4 |
| Alive, on-treatment | 37 | 8.9 |
| Deceased | 41 | 10 |
| All (n = 412) | No (n = 326) | Yes (n = 86) | p | |
|---|---|---|---|---|
| Gonadotoxicity risk [8], n (%) | <0.001 | |||
| Low | 163 (39.6%) | 143 (43.9%) | 20 (23.3%) | |
| Low–intermediate | 123 (29.85%) | 100 (30.7%) | 23 (26.7%) | |
| Intermediate–high | 20 (4.85%) | 10 (3.1%) | 10 (11.6%) | |
| High | 106 (25.7%) | 73 (22.3%) | 33 (38.4%) | |
| Age group at diagnosis, n (%) | <0.001 | |||
| Prepubertal (<12 y) | 296 (71.8%) | 270 (82.8%) | 26 (30.2%) | |
| Peripubertal (12–16 y) | 107 (26%) | 55 (16.9%) | 52 (60.5%) | |
| Postpubertal (>16 y) | 9 (2.2%) | 1 (0.3%) | 8 (9.3%) | |
| Tumor group, n (%) | 0.328 | |||
| Extracranial solid | 163 (39.6%) | 129 (39.6%) | 34 (39.53%) | |
| Hematologic | 160 (38.83%) | 122 (37.42%) | 38 (44.19%) | |
| CNS | 89 (21.6%) | 75 (23.01%) | 14 (16.28%) | |
| Gonadal or pelvic RT, n (%) | 0.085 | |||
| No | 398 (96.6%) | 318 (97.5%) | 80 (93%) | |
| Yes | 14 (3.4%) | 8 (2.5%) | 6 (7%) |
| All | <12 y | 12–16 y | >16 y | p | |
|---|---|---|---|---|---|
| FP Options, n (%) | n = 79 | n = 14 | n = 45 | n = 20 | <0.001 |
| OTC | 9 (11.4%) | 7 (50%) | 2 (4.4%) | 0 (0%) | |
| OTC and Oocyte * | 2 (2.5%) | 1 (7.1%) | 1 (2.2%) | 0 (0%) | |
| Oocyte cryopreservation | 21 (26.6%) | 0 (0%) | 14 (31.1%) | 7 (35%) | |
| TTC | 9 (11.4%) | 6 (42.9%) | 3 (6.7%) | 0 (0%) | |
| Sperm cryopreservation | 22 (27.9%) | 0 (0%) | 16 (35.6%) | 6 (30%) | |
| Sample unable to collect | 10 (12.7%) | 0 (0%) | 6 (13.3%) | 4 (20%) | |
| Pending sample to collect | 6 (7.6%) | 0 (0%) | 3 (6.7%) | 3 (15%) |
| All (n = 86) | Pre- Treatment (n = 51) | During Treatment (n = 8) | Post- Treatment (n = 20) | Pre and Post Treatment (n = 2) | Relapse * (n = 5) | p | |
|---|---|---|---|---|---|---|---|
| Gonadotoxicity Risk [8], n (%) | 0.007 | ||||||
| Low | 20 (23.3%) | 8 (15.7%) | 1 (12.5%) | 11 (55%) | 0 (0%) | 0 (0%) | |
| Low–intermediate | 23 (26.7%) | 14 (27.4%) | 2 (25%) | 6 (30%) | 1 (50%) | 0 (0%) | |
| Intermediate–high | 10 (11.6%) | 8 (15.7%) | 1 (12.5%) | 1 (5%) | 0 (0%) | 0 (0%) | |
| High | 33 (38.4%) | 21 (41.2%) | 4 (50%) | 2 (10%) | 1 (50%) | 5 (100%) |
| All | 2014–2018 (n = 230) | 2019–2023 (n = 182) | p | n | |
|---|---|---|---|---|---|
| FP offer, n (%) | 0.02 | 412 | |||
| No | 326 (79.1%) | 192 (83.5%) | 134 (73.6%) | ||
| Yes | 86 (20.9%) | 38 (16.5%) | 48 (26.4%) | ||
| Time of FP, n (%) | <0.001 | 86 | |||
| Pretreatment | 51 (59.3%) | 15 (39.5%) | 36 (75%) | ||
| During treatment | 8 (9.3%) | 3 (7.9%) | 5 (10.4%) | ||
| Post-treatment | 20 (23.3%) | 16 (42.1%) | 4 (8.3%) | ||
| Pre- and post-treatment | 2 (2.3%) | 0 (0%) | 2 (4.2%) | ||
| Relapse or second malignancies | 5 (5.8%) | 4 (10.5%) | 1 (2.1%) | ||
| FP options, n (%) | 0.11 | 73 | |||
| OTC | 9 (12.3%) | 2 (7.4%) | 7 (15.2%) | ||
| OTC and Oocyte * | 2 (2.7%) | 0 (0.00%) | 2 (4.35%) | ||
| Oocyte cryopreservation | 21 (28.8%) | 10 (37%) | 11 (23.9%) | ||
| TTC | 9 (12.3%) | 2 (7.4%) | 7 (15.2%) | ||
| Sperm cryopreservation | 22 (30.1%) | 6 (22.2%) | 16 (34.8%) | ||
| Sample unable to collect | 10 (13.7%) | 7 (25.9%) | 3 (6.5%) |
| Cryopreserved Oocytes | n | % |
|---|---|---|
| <10 oocytes | 9 | 39.2 |
| 10–15 oocytes | 7 | 30.4 |
| >15 oocytes | 7 | 30.4 |
| Semen analysis | n | % |
| Normospermia | 15 | 65.2 |
| Oligo/asthenospermia | 4 | 17.4 |
| Azoospermia | 4 | 17.4 |
| All (n = 38) | Fertility Assessment * (n = 13) | FP ** (n = 25) | p | |
|---|---|---|---|---|
| Gonadotoxicity Risk [8], n (%) | 0.01 | |||
| Low | 12 (31.6%) | 1 (7.7%) | 11 (44%) | |
| Low–intermediate | 7 (18.4%) | 1 (7.7%) | 6 (24%) | |
| Intermediate–high | 3 (7.9%) | 2 (15.4%) | 1 (4%) | |
| High | 16 (42.1%) | 9 (69.2%) | 7 (28%) |
Disclaimer/Publisher’s Note: The statements, opinions and data contained in all publications are solely those of the individual author(s) and contributor(s) and not of MDPI and/or the editor(s). MDPI and/or the editor(s) disclaim responsibility for any injury to people or property resulting from any ideas, methods, instructions or products referred to in the content. |
© 2025 by the authors. Licensee MDPI, Basel, Switzerland. This article is an open access article distributed under the terms and conditions of the Creative Commons Attribution (CC BY) license (https://creativecommons.org/licenses/by/4.0/).
Share and Cite
Carmona-Nunez, A.; Prieto Molano, M.B.; Gonzalez Lopez, A.; Astigarraga, I.; Lopez-Almaraz, R. Fertility Preservation in Pediatric Oncology: A 10-Year Single-Center Experience in Northern Spain. J. Clin. Med. 2025, 14, 5762. https://doi.org/10.3390/jcm14165762
Carmona-Nunez A, Prieto Molano MB, Gonzalez Lopez A, Astigarraga I, Lopez-Almaraz R. Fertility Preservation in Pediatric Oncology: A 10-Year Single-Center Experience in Northern Spain. Journal of Clinical Medicine. 2025; 14(16):5762. https://doi.org/10.3390/jcm14165762
Chicago/Turabian StyleCarmona-Nunez, Anabel, Maria Begoña Prieto Molano, Alba Gonzalez Lopez, Itziar Astigarraga, and Ricardo Lopez-Almaraz. 2025. "Fertility Preservation in Pediatric Oncology: A 10-Year Single-Center Experience in Northern Spain" Journal of Clinical Medicine 14, no. 16: 5762. https://doi.org/10.3390/jcm14165762
APA StyleCarmona-Nunez, A., Prieto Molano, M. B., Gonzalez Lopez, A., Astigarraga, I., & Lopez-Almaraz, R. (2025). Fertility Preservation in Pediatric Oncology: A 10-Year Single-Center Experience in Northern Spain. Journal of Clinical Medicine, 14(16), 5762. https://doi.org/10.3390/jcm14165762

