Efficacy and Safety of a Balanced Gelatine Solution for Fluid Resuscitation in Sepsis: A Prospective, Randomised, Controlled, Double-Blind Trial-GENIUS Trial
Abstract
1. Introduction
2. Materials and Methods
2.1. Participants
2.2. Randomisation, Blinding, Unblinding
2.3. Intervention
2.4. Outcome Measures
2.5. Statistical Methods
3. Results
3.1. Patient Characteristics
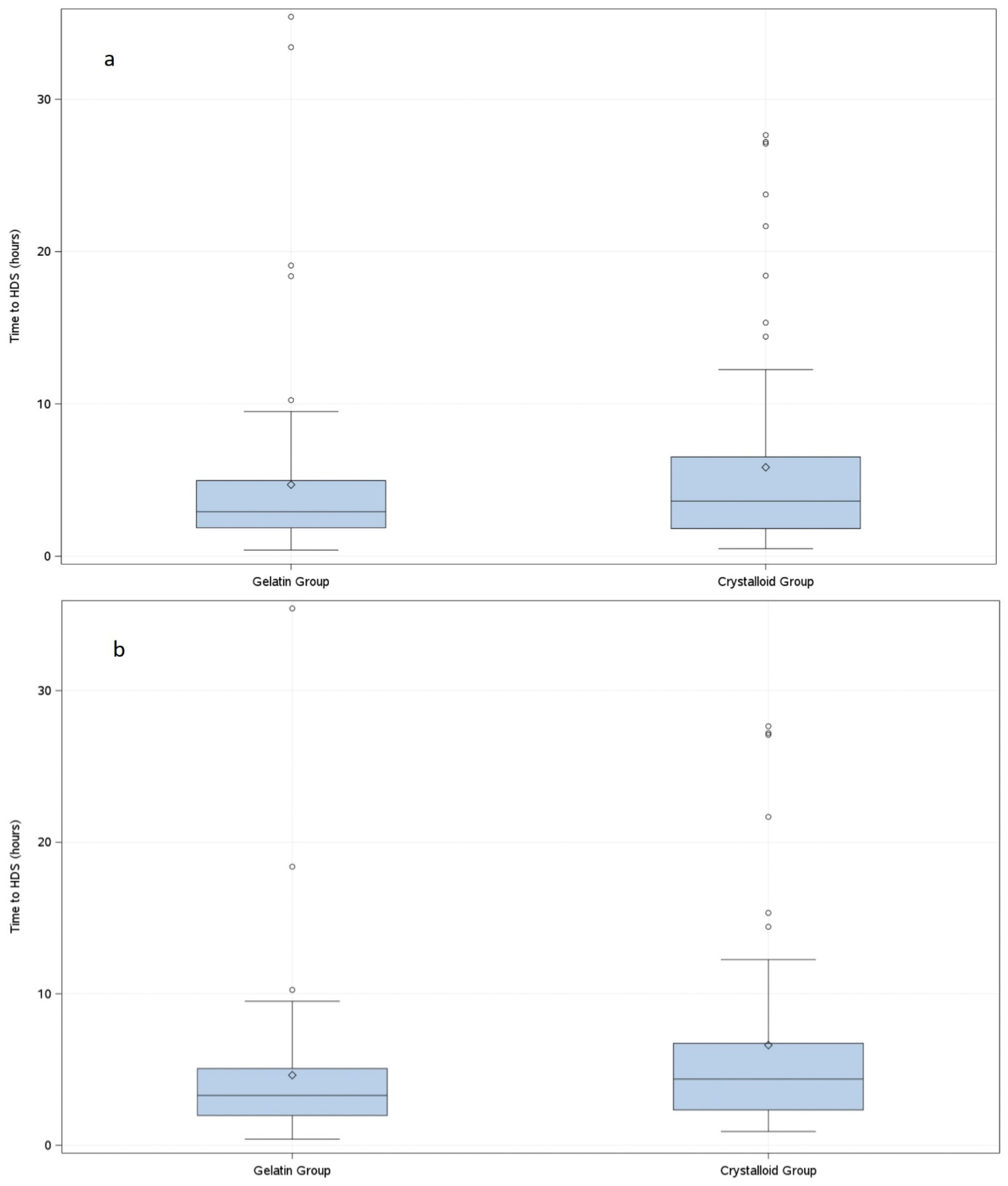
3.2. Primary Outcome: Time to First Achieved HDS
3.3. Fluid Intake/Fluid Balance
3.4. Patient-Related Outcome Variables
3.5. Adverse Events
4. Discussion
5. Conclusions
Supplementary Materials
Author Contributions
Funding
Institutional Review Board Statement
Informed Consent Statement
Data Availability Statement
Acknowledgments
Conflicts of Interest
References
- Bennett, S. Sepsis in the intensive care unit. Surgery 2012, 30, 673–678. [Google Scholar] [CrossRef]
- Dellinger, R.P. The surviving sepsis campaign: Where have we been and where are we going? Clevel. Clin. J. Med. 2015, 82, 237–244. [Google Scholar] [CrossRef]
- Schorr, C.A.; Zanotti, S.; Dellinger, R.P. Severe sepsis and septic shock: Management and performance improvement. Virulence 2014, 5, 190–199. [Google Scholar] [CrossRef]
- Chang, R.; Holcomb, J.B. Choice of fluid therapy in the initial management of sepsis, severe sepsis, and septic shock. Shock 2016, 46, 17–26. [Google Scholar] [CrossRef] [PubMed]
- Messmer, A.S.; Zingg, C.; Müller, M.; Gerber, J.L.; Schefold, J.C.; Pfortmueller, C.A. Fluid overload and mortality in adult critical care patients—A systematic review and meta-analysis of observational studies. Crit. Care Med. 2020, 48, 1862–1870. [Google Scholar] [CrossRef] [PubMed]
- Kelm, D.J.; Perrin, J.T.; Cartin-Ceba, R.; Gajic, O.; Schenck, L.; Kennedy, C.C. Fluid overload in patients with severe sepsis and septic shock treated with early goal-directed therapy is associated with increased acute need for fluid-related medical interventions and hospital death. Shock 2015, 43, 68–73. [Google Scholar] [CrossRef] [PubMed]
- Schuerholz, T.; Simon, T.P.; Marx, G. Investigating colloids and crystalloids—Everything clear? Br. J. Anaesth. 2016, 116, 453–455. [Google Scholar] [CrossRef]
- Myburgh, J.A.; Finfer, S.; Bellomo, R.; Billot, L.; Cass, A.; Gattas, D.; Glass, P.; Lipman, J.; Liu, B.; McArthur, C.; et al. Hydroxyethyl starch or saline for fluid resuscitation in intensive care. N. Engl. J. Med. 2012, 367, 1901–1911. [Google Scholar] [CrossRef]
- Monnet, X.; Marik, P.; Teboul, J.L. Passive leg raising for predicting fluid responsiveness: A systematic review and meta-analysis. Intensive Care Med. 2016, 42, 1935–1947. [Google Scholar] [CrossRef]
- Evans, L.; Rhodes, A.; Alhazzani, W.; Antonelli, M.; Coopersmith, C.M.; French, C.; Machado, F.R.; Mcintyre, L.; Ostermann, M.; Prescott, H.C.; et al. Surviving sepsis campaign: International guidelines for management of sepsis and septic shock 2021. Intensive Care Med. 2021, 47, 1181–1247. [Google Scholar] [CrossRef]
- Douglas, I.S.; Alapat, P.M.; Corl, K.A.; Exline, M.C.; Forni, L.G.; Holder, A.L.; Kaufman, D.A.; Khan, A.; Levy, M.M.; Martin, G.S.; et al. Fluid Response Evaluation in Sepsis Hypotension and Shock: A Randomized Clinical Trial. Chest 2020, 158, 1431–1445. [Google Scholar] [CrossRef]
- Severs, D.; Hoorn, E.J.; Rookmaaker, M.B. A critical appraisal of intravenous fluids: From the physiological basis to clinical evidence. Nephrol. Dial. Transplant. 2015, 30, 178–187. [Google Scholar] [CrossRef]
- PRAC. Commission Implementing Decision; PRAC: Amsterdam, The Netherlands, 2022. [Google Scholar]
- Marx, G.; Meybohm, P.; Schuerholz, T.; Lotz, G.; Ledinko, M.; Schindler, A.W.; Rossaint, R.; Zacharowski, K. Impact of a new balanced gelatine on electrolytes and pH in the perioperative care. PLoS ONE 2019, 14, e0213057. [Google Scholar] [CrossRef] [PubMed]
- Molnár, Z.; Mikor, A.; Leiner, T.; Szakmány, T. Fluid resuscitation with colloids of different molecular weight in septic shock. Intensive Care Med. 2004, 30, 1356–1360. [Google Scholar] [CrossRef]
- Trof, R.J.; Sukul, S.P.; Twisk, J.W.R.; Girbes, A.R.J.; Groeneveld, A.B.J. Greater cardiac response of colloid than saline fluid loading in septic and non-septic critically ill patients with clinical hypovolaemia. Intensive Care Med. 2010, 36, 697–701. [Google Scholar] [CrossRef] [PubMed]
- Schortgen, F.; Lacherade, J.C.; Bruneel, F.; Cattaneo, I.; Hemery, F.; Lemaire, F.; Brochard, L. Effects of hydroxyethylstarch and gelatin on renal function in severe sepsis: A multicentre randomised study. Lancet 2001, 357, 911–916. [Google Scholar] [CrossRef] [PubMed]
- Marx, G.; Zacharowski, K.; Ichai, C.; Asehnoune, K.; Černý, V.; Dembinski, R.; Ferrer Roca, R.; Fries, D.; Molnar, Z.; Rosenberger, P.; et al. Efficacy and safety of early target-controlled plasma volume replacement with a balanced gelatine solution versus a balanced electrolyte solution in patients with severe sepsis/septic shock: Study protocol, design, and rationale of a prospective, randomized, controlled, double-blind, multicentric, international clinical trial: GENIUS-Gelatine use in ICU and sepsis. Trials 2021, 22, 376. [Google Scholar] [CrossRef]
- Hopewell, S.; Chan, A.W.; Collins, G.S.; Hróbjartsson, A.; Moher, D.; Schulz, K.F.; Tunn, R.; Aggarwal, R.; Berkwits, M.; Berlin, J.A.; et al. CONSORT 2025 statement: Updated guideline for reporting randomized trials. Nat. Med. 2025, 31, 1776–1783. [Google Scholar] [CrossRef]
- Guidet, B.; Martinet, O.; Boulain, T.; Philippart, F.; Poussel, J.F.; Maizel, J.; Forceville, X.; Feissel, M.; Hasselmann, M.; Heininger, A.; et al. Assessment of hemodynamic efficacy and safety of 6% hydroxyethylstarch 130/0.4 vs. 0.9% NaCl fluid replacement in patients with severe sepsis: The CRYSTMAS study. Crit. Care 2012, 16, R94. [Google Scholar] [CrossRef]
- Stortz, J.A.; Cox, M.C.; Hawkins, R.B.; Ghita, G.L.; Brumback, B.A.; Mohr, A.M.; Moldawer, L.L.; Efron, P.A.; Brakenridge, S.C.; Moore, F.A. Phenotypic heterogeneity by site of infection in surgical sepsis: A prospective longitudinal study. Crit. Care 2020, 24, 203. [Google Scholar] [CrossRef]
- Schertz, A.R.; Eisner, A.E.; Smith, S.A.; Lenoir, K.M.; Thomas, K.W. Clinical phenotypes of sepsis in a cohort of hospitalized patients according to infection site. Crit. Care Explor. 2023, 5, e0955. [Google Scholar] [CrossRef] [PubMed]
- Rivers, E.; Nguyen, B.; Havstad, S.; Ressler, J.; Muzzin, A.; Knoblich, B.; Peterson, E.; Tomlanovich, M. Early goal-directed therapy in the treatment of severe sepsis and septic shock. N. Engl. J. Med. 2001, 345, 1368–1377. [Google Scholar] [CrossRef] [PubMed]
- Peake, S.L.; Delaney, A.; Bailey, M.; Bellomo, R.; Cameron, P.A.; Cooper, D.J.; Higgins, A.M.; Holdgate, A.; Howe, B.D.; Webb, S.A.; et al. Goal-directed resuscitation for patients with early septic shock. N. Engl. J. Med. 2014, 371, 1496–1506. [Google Scholar] [CrossRef]
- Yealy, D.M.; Kellum, J.A.; Huang, D.T.; Barnato, A.E.; Weissfeld, L.A.; Pike, F.; Terndrup, T.; Wang, H.E.; Hou, P.C.; LoVecchio, F.; et al. A randomized trial of protocol-based care for early septic shock. N. Engl. J. Med. 2014, 370, 1683–1693. [Google Scholar] [CrossRef]
- Mouncey, P.R.; Osborn, T.M.; Power, G.S.; Harrison, D.A.; Sadique, M.Z.; Grieve, R.D.; Jahan, R.; Harvey, S.E.; Bell, D.; Bion, J.F.; et al. Trial of early, goal-directed resuscitation for septic shock. N. Engl. J. Med. 2015, 372, 1301–1311. [Google Scholar] [CrossRef]
- Schindler, A.W.; Marx, G. Evidence-based fluid management in the ICU. Curr. Opin. Anaesthesiol. 2016, 29, 158–165. [Google Scholar] [CrossRef]
- Nunnally, M.E. Sepsis for the anaesthetist. Br. J. Anaesth. 2016, 117, iii44–iii51. [Google Scholar] [CrossRef]
- Corl, K.A.; Levy, M.M.; Holder, A.L.; Douglas, I.S.; Linde-Zwirble, W.T.; Alam, A. Moderate IV Fluid Resuscitation Is Associated With Decreased Sepsis Mortality. Crit. Care Med. 2024, 52, e557–e567. [Google Scholar] [CrossRef]
- Sakr, Y.; Birri, P.N.R.; Kotfis, K.; Nanchal, R.; Shah, B.; Kluge, S.; Schroeder, M.E.; Marshall, J.C.; Vincent, J.L. Higher fluid balance increases the risk of death from sepsis: Results from a large international audit. Crit. Care Med. 2017, 45, 386–394. [Google Scholar] [CrossRef] [PubMed]
- Brunkhorst, F.M.; Engel, C.; Bloos, F.; Meier-Hellmann, A.; Ragaller, M.; Weiler, N.; Moerer, O.; Gruendling, M.; Oppert, M.; Grond, S.; et al. Intensive insulin therapy and pentastarch resuscitation in severe sepsis. N. Engl. J. Med. 2008, 358, 125–139. [Google Scholar] [CrossRef]
- Perner, A.; Haase, N.; Guttormsen, A.B.; Tenhunen, J.; Klemenzson, G.; Åneman, A.; Madsen, K.R.; Møller, M.H.; Elkjær, J.M.; Poulsen, L.M.; et al. Hydroxyethyl starch 130/0.42 versus ringer’s acetate in severe sepsis. N. Engl. J. Med. 2012, 367, 124–134. [Google Scholar] [CrossRef]
- Marx, G.; Schindler, A.W.; Mosch, C.; Albers, J.; Bauer, M.; Gnass, I.; Hobohm, C.; Janssens, U.; Kluge, S.; Kranke, P.; et al. Intravascular volume therapy in adults: Guidelines from the association of the scientific medical societies in Germany. Eur. J. Anaesthesiol. 2016, 33, 488–521. [Google Scholar] [CrossRef]
- Mallat, J.; Fischer, M.O.; Granier, M.; Vinsonneau, C.; Jonard, M.; Mahjoub, Y.; Baghdadi, F.A.; Préau, S.; Poher, F.; Rebet, O.; et al. Passive leg raising-induced changes in pulse pressure variation to assess fluid responsiveness in mechanically ventilated patients: A multicentre prospective observational study. Br. J. Anaesth. 2022, 129, 308–316. [Google Scholar] [CrossRef]
- Wilkes, N.J.; Woolf, R.; Mutch, M.; Mallett, S.V.; Peachey, T.; Stephens, R.; Mythen, M.G. The effects of balanced versus saline-based hetastarch and crystalloid solutions on acid-base and electrolyte status and gastric mucosal perfusion in elderly surgical patients. Anesth. Analg. 2001, 93, 811–816. [Google Scholar] [CrossRef]
- Claure-Del Granado, R.; Mehta, R.L. Fluid overload in the ICU: Evaluation and management. BMC Nephrol. 2016, 17, 109. [Google Scholar] [CrossRef] [PubMed]
- Bauer, M.; Gerlach, H.; Vogelmann, T.; Preissing, F.; Stiefel, J.; Adam, D. Mortality in sepsis and septic shock in Europe, North America and Australia between 2009 and 2019—Results from a systematic review and meta-analysis. Crit. Care 2020, 24, 239. [Google Scholar] [CrossRef] [PubMed]
- Uchino, S. Acute renal failure in critically ill patients: A multinational, multicenter study. JAMA 2005, 294, 813–818. [Google Scholar] [CrossRef]
- Peerapornratana, S.; Manrique-Caballero, C.L.; Gómez, H.; Kellum, J.A. Acute kidney injury from sepsis: Current concepts, epidemiology, pathophysiology, prevention and treatment. Kidney Int. 2019, 96, 1083–1099. [Google Scholar] [CrossRef]
- Davidson, I.J. Renal impact of fluid management with colloids: A comparative review. Eur. J. Anaesthesiol. 2006, 23, 721–738. [Google Scholar] [CrossRef]
- Song, B.; Fu, K.; Zheng, X.; Liu, C. Fluid resuscitation in adults with severe infection and sepsis: A systematic review and network meta-analysis. Front. Med. 2025, 12, 1543586. [Google Scholar] [CrossRef] [PubMed]
- Pařízková, R.Č.; Martínková, J.; Havel, E.; Šafránek, P.; Kaška, M.; Astapenko, D.; Bezouška, J.; Chládek, J.; Černý, V. Impact of cumulative fluid balance on the pharmacokinetics of extended infusion meropenem in critically ill patients with sepsis. Crit. Care 2021, 25, 251. [Google Scholar] [CrossRef] [PubMed]
- Singer, M.; Deutschman, C.S.; Seymour, C.W.; Shankar-Hari, M.; Annane, D.; Bauer, M.; Bellomo, R.; Bernard, G.R.; Chiche, J.D.; Coopersmith, C.M.; et al. The third international consensus definitions for sepsis and septic shock (sepsis-3). JAMA 2016, 315, 801–810. [Google Scholar] [CrossRef] [PubMed]
- Simon, T.P.; Benes, J.; Ferrer, R.; Fries, D.; Ehler, J.; Dembinski, R.; Rosenberger, P.; Zacharowski, K.; Sanchez, M.; Asehnoune, K.; et al. Efficacy and safety of a balanced gelatine solution for fluid resuscitation in sepsis: A prospective, randomized, controlled, double-blind trial. Can. J. Anesth. 2025, 72 (Suppl. 1), 1–226. [Google Scholar] [CrossRef]



| Variable | Gelatine Group N = 83 | Crystalloid Group N = 84 | Total N = 167 | |
|---|---|---|---|---|
| Sex, n (%) | Male | 62 (74.7) | 64 (76.2) | 126 (75.4) |
| Female | 21 (25.3) | 20 (23.8) | 41 (24.6) | |
| Age (years) | Mean (SD) | 65.3 (14.20) | 65.9 (14.14) | 65.6 (14.13) |
| Weight (kg) | Mean (SD) | 83.2 (16.44) | 80.9 (15.23) | 82.1 (15.83) |
| Disease characteristics | ||||
| Type of patient, n (%) | Trauma | 8 (9.6) | 5 (6.0) | 13 (7.8) |
| Medical | 23 (27.7) | 22 (26.2) | 45 (26.9) | |
| Surgical | 52 (62.7) | 57 (67.9) | 109 (65.3) | |
| Diagnosis, n (%) | Severe sepsis | 20 (24.1) | 18 (21.4) | 38 (22.8) |
| Septic shock | 63 (75.9) | 66 (78.6) | 129 (77.2) | |
| Time from diagnosis to randomisation or ICU admission to randomisation (min) 1. | Mean (SD) | 60.4 (28.50) | 58.4 (25.98) | 59.4 (27.20) |
| Fluid input 24 h prior to randomisation, n (%) | Yes | 77 (92.8) | 77 (91.7) | 154 (92.2) |
| No | 6 (7.2) | 7 (8.3) | 13 (7.8) | |
| Total amount of fluids (mL) 24 h prior to randomisation | n | 77 | 76 | 153 |
| Mean (SD) | 2309.6 (1504.62) | 2439.5 (1802.82) | 2374.1 (1655.26) | |
| RBC therapy 24 h prior to randomisation, n (%) | Yes | 14 (16.9) | 14 (16.7) | 28 (16.8) |
| No | 69 (83.1) | 70 (83.3) | 139 (83.2) | |
| Total volume (mL) of RBCs 24 h prior to randomisation | n | 14 | 13 | 27 |
| Mean (SD) | 538.2 (274.46) | 727.7 (568.39) | 629.4 (442.81) | |
| Lactate prior treatment (mmol.L−1) | n | 52 | 48 | 100 |
| Mean (SD) | 2.6 (2.30) | 2.6 (2.64) | 2.6 (2.46) | |
| APACHE II total score | n | 78 | 76 | 154 |
| Mean (SD) | 23.6 (6.54) | 22.8 (7.47) | 23.2 (7.00) | |
| SOFA total score | n | 77 | 78 | 155 |
| Mean (SD) | 8.3 (2.73) | 8.1 (3.39) | 8.2 (3.07) | |
| Time | Parameter | Median (Q1–Q3) [n] | p Value * | |
|---|---|---|---|---|
| Gelatine Group N = 83 | Crystalloid Group N = 84 | |||
| 0–24 h | Fluid intake (mL) | 6046.00 (4246.00–7980.00) [83] | 6333.00 (4870.00–8970.00) [81] | 0.0712 |
| Fluid output (mL) | 2135.00 (1035.00–3262.00) [83] | 1730.00 (1270.00–2680.00) [81] | 0.3230 | |
| Fluid balance (mL) | 3463.00 (2020.00–5437.00) [83] | 4164.00 (2682.00–7526.00) [81] | 0.0395 | |
| Fluid overload (%) | 4296.05 (2424.28–6946.15) [83] | 5218.75 (3180.00–8884.71) [81] | 0.0217 | |
| 24–48 h | Fluid intake (mL) | 3379.00 (2439.00–4867.00) [83] | 3848.00 (2880.00–5001.00) [78] | 0.1491 |
| Fluid output (mL) | 1970.00 (990.00–2810.00) [83] | 1990.00 (1290.00–2954.00) [78] | 0.5370 | |
| Fluid balance (mL) | 1408.00 (−71.00–2696.00) [83] | 1733.00 (607.00–2621.00) [78] | 0.2214 | |
| Fluid overload (%) | 1586.67 (−97.26–3880.00) [83] | 2093.25 (642.86–3630.00) [78] | 0.2564 | |
Disclaimer/Publisher’s Note: The statements, opinions and data contained in all publications are solely those of the individual author(s) and contributor(s) and not of MDPI and/or the editor(s). MDPI and/or the editor(s) disclaim responsibility for any injury to people or property resulting from any ideas, methods, instructions or products referred to in the content. |
© 2025 by the authors. Licensee MDPI, Basel, Switzerland. This article is an open access article distributed under the terms and conditions of the Creative Commons Attribution (CC BY) license (https://creativecommons.org/licenses/by/4.0/).
Share and Cite
Marx, G.; Benes, J.; Ferrer, R.; Fries, D.; Ehler, J.; Dembinski, R.; Rosenberger, P.; Zacharowski, K.; Sanchez, M.; Asehnoune, K.; et al. Efficacy and Safety of a Balanced Gelatine Solution for Fluid Resuscitation in Sepsis: A Prospective, Randomised, Controlled, Double-Blind Trial-GENIUS Trial. J. Clin. Med. 2025, 14, 5323. https://doi.org/10.3390/jcm14155323
Marx G, Benes J, Ferrer R, Fries D, Ehler J, Dembinski R, Rosenberger P, Zacharowski K, Sanchez M, Asehnoune K, et al. Efficacy and Safety of a Balanced Gelatine Solution for Fluid Resuscitation in Sepsis: A Prospective, Randomised, Controlled, Double-Blind Trial-GENIUS Trial. Journal of Clinical Medicine. 2025; 14(15):5323. https://doi.org/10.3390/jcm14155323
Chicago/Turabian StyleMarx, Gernot, Jan Benes, Ricard Ferrer, Dietmar Fries, Johannes Ehler, Rolf Dembinski, Peter Rosenberger, Kai Zacharowski, Manuel Sanchez, Karim Asehnoune, and et al. 2025. "Efficacy and Safety of a Balanced Gelatine Solution for Fluid Resuscitation in Sepsis: A Prospective, Randomised, Controlled, Double-Blind Trial-GENIUS Trial" Journal of Clinical Medicine 14, no. 15: 5323. https://doi.org/10.3390/jcm14155323
APA StyleMarx, G., Benes, J., Ferrer, R., Fries, D., Ehler, J., Dembinski, R., Rosenberger, P., Zacharowski, K., Sanchez, M., Asehnoune, K., Bachmann-Mennenga, B., Ichai, C., & Simon, T.-P. (2025). Efficacy and Safety of a Balanced Gelatine Solution for Fluid Resuscitation in Sepsis: A Prospective, Randomised, Controlled, Double-Blind Trial-GENIUS Trial. Journal of Clinical Medicine, 14(15), 5323. https://doi.org/10.3390/jcm14155323

