Six-Year Single-Center Experience with ECMO Use in Various Strategies for Lung Transplantation, Including COVID-19 Patients
Abstract
1. Introduction
2. Materials and Method
3. Results
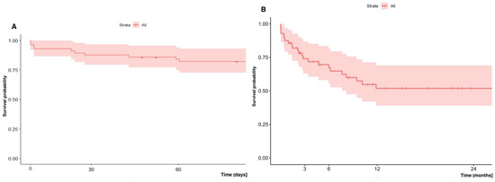
3.1. Key Outcomes
3.2. VV-ECMO vs. VA-ECMO—Outcomes
3.3. Bridge to Transplantation (BTT)—Outcomes
3.4. Pulmonary Hypertension Patients and ECMO—Outcomes
3.5. Left Ventricle Conditioning
Sport ECMO (VA-SPORT ECMO and VV-SPORT ECMO)
3.6. COVID-19-Related End-Stage Lung Disease; ECMO Support and Transplant—Outcomes
3.7. Heparin Usage and ECMO—Outcomes
4. Discussion
4.1. Introduction and Purpose of This Study
4.2. ECMO Results and Comparative Analysis
4.3. VA vs. VV ECMO
4.4. Awake ECMO and Rehabilitation
4.5. SPORT-ECMO
4.6. Bridge to Lung Transplantation (BTT)
4.7. Pulmonary Arterial Hypertension (PAH) and ECMO
4.8. COVID-19 and Lung Transplantation with ECMO
4.9. Anticoagulation Protocols
4.10. Limitations and Future Directions
5. Conclusions
Author Contributions
Funding
Institutional Review Board Statement
Informed Consent Statement
Data Availability Statement
Acknowledgments
Conflicts of Interest
Abbreviations
| ARDS | acute respiratory distress syndrome |
| BTT | bridge to transplantation |
| CARDS | coronavirus acute respiratory distress syndrome |
| CFV | common femoral vein |
| CFA | common femoral artery |
| CLAD | chronic lung allograft dysfunction |
| COPD | chronic obstructive pulmonary disease |
| CTEPH | chronic thromboembolic pulmonary hypertension |
| ECMO | extracorporeal membrane oxygenation |
| FA | femoral artery |
| IJV | internal jugular vein |
| iPAH | idiopathic pulmonary hypertension |
| IPF | idiopathic fibrosis |
| IQR | inter-quartile range |
| LuTx | lung transplantation |
| LV | left ventricle |
| PAH | pulmonary artery hypertension |
| PGD | primary graft dysfunction |
| PH | pulmonary hypertension |
| RV | right ventricle |
| SD | standard deviation |
| A | veno-arterial |
| VAV | veno-arterio-venous |
| VV | veno-venous |
References
- Arjuna, A.; Olson, M.T.; Walia, R. Current trends in candidate selection, contraindications, and indications for lung transplantation. J. Thorac. Dis. 2021, 13, 6514–6527. [Google Scholar] [CrossRef] [PubMed]
- Van der Mark, S.C.; Hoek, R.A.S.; Hellemons, M.E. Developments in lung transplantation over the past decade. Eur. Respir. Rev. 2020, 29, 190132. [Google Scholar] [CrossRef] [PubMed]
- Pervaiz Butt, S.; Kakar, V.; Abdulaziz, S.; Razzaq, N.; Saleem, Y.; Kumar, A.; Ashiq, F.; Ghisulal, P.; Thrush, A.; Malik, S.; et al. Enhancing lung transplantation with ECMO: A comprehensive review of mechanisms, outcomes, and future considerations. J. Extra Corpor. Technol. 2024, 56, 191–202. [Google Scholar] [CrossRef]
- Abrams, D.; Brodie, D.; Arcasoy, S.M. Extracorporeal Life Support in Lung Transplantation. Clin. Chest Med. 2017, 38, 655–666. [Google Scholar] [CrossRef]
- Garcia, J.P.; Ashworth, C.L.; Hage, C.A. ECMO in lung transplant: Pre, intra and post-operative utilization—A narrative review. Curr. Chall. Thorac. Surg. 2023, 5, 20. [Google Scholar] [CrossRef]
- Pavlushkov, E.; Berman, M.; Valchanov, K. Cannulation techniques for extracorporeal life support. Ann. Transl. Med. 2017, 5, 70. [Google Scholar] [CrossRef]
- Suwalski, P.; Staromłyński, J.; Brączkowski, J.; Bartczak, M.; Mariani, S.; Drobiński, D.; Szułdrzyński, K.; Smoczyński, R.; Franczyk, M.; Sarnowski, W.; et al. Transition from Simple V-V to V-A and Hybrid ECMO Configurations in COVID-19 ARDS. Membranes 2021, 11, 434. [Google Scholar] [CrossRef]
- Betit, P. Technical Advances in the Field of ECMO. Respir. Care. 2018, 63, 1162–1173. [Google Scholar] [CrossRef]
- Stącel, T.; Antończyk, R.; Latos, M.; Nęcki, M.; Przybyłowski, P.; Zembala, M.; Ochman, M.; Urlik, M. Extracorporeal Membrane Oxygenation as a Postoperative Left Ventricle Conditioning Tool After Lung Transplantation in Patients with Primary Pulmonary Artery Hypertension: First Polish Experience. Transplant. Proc. 2020, 52, 2113–2117. [Google Scholar] [CrossRef]
- Hoetzenecker, K.; Schwarz, S.; Muckenhuber, M.; Benazzo, A.; Frommlet, F.; Schweiger, T.; Bata, O.; Jaksch, P.; Ahmadi, N.; Muraközy, G.; et al. Intraoperative extracorporeal membrane oxygenation and the possibility of postoperative prolongation improve survival in bilateral lung transplantation. J. Thorac. Cardiovasc. Surg. 2018, 155, 2193–2206.e3. [Google Scholar] [CrossRef]
- Hwalek, A.; Rosenheck, J.P.; Whitson, B.A. Lung transplantation for pulmonary hypertension. J. Thorac. Dis. 2021, 13, 6708–6716. [Google Scholar] [CrossRef] [PubMed]
- Salman, J.; Bernhard, B.A.; Ius, F.; Poyanmehr, R.; Sommer, W.; Aburahma, K.; Alhadidi, H.; Siemeni, T.; Kuehn, C.; Avsar, M.; et al. Intraoperative Extracorporeal Circulatory Support in Lung Transplantation for Pulmonary Fibrosis. Ann. Thorac. Surg. 2021, 111, 1316–1324. [Google Scholar] [CrossRef] [PubMed]
- Stącel, T.; Urlik, M.; Antończyk, R.; Latos, M.; Wiklińska, A.; Przybyłowski, P.; Zembala, M.; Ochman, M.; Nęcki, M. Extracorporeal Membrane Oxygenation as a Bridge to Lung Transplantation: First Polish Experience. Transplant. Proc. 2020, 52, 2110–2112. [Google Scholar] [CrossRef] [PubMed]
- Ius, F.; Natanov, R.; Salman, J.; Kuehn, C.; Sommer, W.; Avsar, M.; Siemeni, T.; Bobylev, D.; Poyanmehr, R.; Boethig, D.; et al. Extracorporeal membrane oxygenation as a bridge to lung transplantation may not impact overall mortality risk after transplantation: Results from a 7-year single-centre experience. Eur. J. Cardiothorac. Surg. 2018, 54, 334–340. [Google Scholar] [CrossRef]
- McFadden, P.M.; Greene, C.L. The evolution of intraoperative support in lung transplantation: Cardiopulmonary bypass to extracorporeal membrane oxygenation. J. Thorac. Cardiovasc. Surg. 2015, 149, 1158–1160. [Google Scholar] [CrossRef][Green Version]
- Nazarnia, S.; Subramaniam, K. Pro: Veno-arterial Extracorporeal Membrane Oxygenation (ECMO) Should Be Used Routinely for Bilateral Lung Transplantation. J. Cardiothorac. Vasc. Anesth. 2017, 31, 1505–1508. [Google Scholar] [CrossRef]
- Cypel, M.; Keshavjee, S. Extracorporeal life support as a bridge to lung transplantation. Clin. Chest Med. 2011, 32, 245–251. [Google Scholar] [CrossRef]
- Bermudez, C.A.; Rocha, R.V.; Zaldonis, D.; Bhama, J.K.; Crespo, M.M.; Shigemura, N.; Pilewski, J.M.; Sappington, P.L.; Boujoukos, A.J.; Toyoda, Y. Extracorporeal membrane oxygenation as a bridge to lung transplant: Midterm outcomes. Ann. Thorac. Surg. 2011, 92, 1226–1232. [Google Scholar] [CrossRef]
- Hayes DJr Tobias, J.D.; Tumin, D. Center Volume and Extracorporeal Membrane Oxygenation Support at Lung Transplantation in the Lung Allocation Score Era. Am. J. Respir. Crit. Care Med. 2016, 194, 317–326. [Google Scholar] [CrossRef]
- Hart, J.P.; Davies, M.G. Vascular Complications in Extracorporeal Membrane Oxygenation-A Narrative Review. J. Clin. Med. 2024, 13, 5170. [Google Scholar] [CrossRef]
- Fisser, C.; Armbrüster, C.; Wiest, C.; Philipp, A.; Foltan, M.; Lunz, D.; Pfister, K.; Schneckenpointner, R.; Schmid, C.; Maier, L.S.; et al. Arterial and venous vascular complications in patients requiring peripheral venoarterial extracorporeal membrane oxygenation. Front. Med. 2022, 9, 960716. [Google Scholar] [CrossRef] [PubMed]
- Pasrija, C.; Bedeir, K.; Jeudy, J.; Kon, Z.N. Harlequin Syndrome during Venoarterial Extracorporeal Membrane Oxygenation. Radiol. Cardiothorac. Imaging 2019, 1, e190031. [Google Scholar] [CrossRef] [PubMed]
- Weill, D.; Benden, C.; Corris, P.A.; Dark, J.H.; Davis, R.D.; Keshavjee, S.; Lederer, D.J.; Mulligan, M.J.; Patterson, G.A.; Singer, L.G.; et al. A consensus document for the selection of lung transplant candidates: 2014—An update from the Pulmonary Transplantation Council of the International Society for Heart and Lung Transplantation. J. Heart Lung Transplant. 2015, 34, 1–15. [Google Scholar] [CrossRef] [PubMed]
- Oto, T.; Rosenfeldt, F.; Rowland, M.; Pick, A.; Rabinov, M.; Preovolos, A.; Snell, G.; Williams, T.; Esmore, D. Extracorporeal membrane oxygenation after lung transplantation: Evolving technique improves outcomes. Ann. Thorac. Surg. 2004, 78, 1230–1235. [Google Scholar] [CrossRef]
- Miller, C.L.; O, J.M.; Allan, J.S.; Madsen, J.C. Novel approaches for long-term lung transplant survival. Front. Immunol. 2022, 13, 931251. [Google Scholar] [CrossRef]
- Fernandez, R.; DeCamp, M.M.; Bharat, A. A novel strategy for cardiopulmonary support during lung transplantation. J. Thorac. Dis. 2018, 10, E142–E144. [Google Scholar] [CrossRef]
- Turner, D.A.; Cheifetz, I.M.; Rehder, K.J.; Williford, W.L.; Bonadonna, D.; Banuelos, S.J.; Peterson-Carmichael, S.; Lin, S.S.; Davis, R.D.; Zaas, D. Active rehabilitation and physical therapy during extracorporeal membrane oxygenation while awaiting lung transplantation: A practical approach. Crit. Care Med. 2011, 39, 2593–2598. [Google Scholar] [CrossRef]
- Suchanek, O.; Clatworthy, M.R. Novel strategies to target the humoral alloimmune response. HLA 2020, 96, 667–680. [Google Scholar] [CrossRef]
- Otani, S.; Davis, A.K.; Cantwell, L.; Ivulich, S.; Pham, A.; Paraskeva, M.A.; Snell, G.I.; Westall, G.P. Evolving experience of treating antibody-mediated rejection following lung transplantation. Transpl. Immunol. 2014, 31, 75–80. [Google Scholar] [CrossRef]
- Rahimi, R.A.; Skrzat, J.; Reddy, D.R.; Zanni, J.M.; Fan, E.; Stephens, R.S.; Needham, D.M. Physical rehabilitation of patients in the intensive care unit requiring extracorporeal membrane oxygenation: A small case series. Phys. Ther. 2013, 93, 248–255. [Google Scholar] [CrossRef]
- Yu, W.S.; Paik, H.C.; Haam, S.J.; Lee, C.Y.; Nam, K.S.; Jung, H.S.; Do, Y.W.; Shu, J.W.; Lee, J.G. Transition to routine use of venoarterial extracorporeal oxygenation during lung transplantation could improve early outcomes. J. Thorac. Dis. 2016, 8, 1712–1720. [Google Scholar] [CrossRef] [PubMed][Green Version]
- Fuehner, T.; Kuehn, C.; Hadem, J.; Wiesner, O.; Gottlieb, J.; Tudorache, I.; Olsson, K.M.; Greer, M.; Sommer, W.; Welte, T.; et al. Extracorporeal membrane oxygenation in awake patients as bridge to lung transplantation. Am. J. Respir. Crit. Care Med. 2012, 185, 763–768. [Google Scholar] [CrossRef] [PubMed]
- Kearns, S.K.; Hernandez, O.O. “Awake” Extracorporeal Membrane Oxygenation as a Bridge to Lung Transplant. AACN Adv. Crit. Care. 2016, 27, 293–300. [Google Scholar] [CrossRef] [PubMed]
- Biscotti, M.; Bacchetta, M. The “sport model”: Extracorporeal membrane oxygenation using the subclavian artery. Ann. Thorac. Surg. 2014, 98, 1487–1489. [Google Scholar] [CrossRef]
- Javidfar, J.; Brodie, D.; Costa, J.; Miller, J.; Jurrado, J.; LaVelle, M.; Newmark, A.; Takayama, H.; Sonett, J.R.; Bacchetta, M. Subclavian artery cannulation for venoarterial extracorporeal membrane oxygenation. ASAIO J. 2012, 58, 494–498. [Google Scholar] [CrossRef]
- Abrams, D.C.; Brodie, D.; Rosenzweig, E.B.; Burkart, K.M.; Agerstrand, C.L.; Bacchetta, M.D. Upper-body extracorporeal membrane oxygenation as a strategy in decompensated pulmonary arterial hypertension. Pulm. Circ. 2013, 3, 432–435. [Google Scholar] [CrossRef]
- Roussel, A.; Al-Attar, N.; Khaliel, F.; Alkhoder, S.; Raffoul, R.; Alfayyadh, F.; Rigolet, M.; Nataf, P. Arterial vascular complications in peripheral extracorporeal membrane oxygenation support: A review of techniques and outcomes. Future Cardiol. 2013, 9, 489–495. [Google Scholar] [CrossRef]
- Kervan, U.; Kocabeyoglu, S.S.; Sert, D.E.; Aygün, E.; Kavasoglu, K.; Karahan, M.; Unal, E.U.; Pac, M. A Novel Technique of Subclavian Artery Cannulation for Venoarterial Extracorporeal Membrane Oxygenation. Exp. Clin. Transplant. 2017, 15, 658–663. [Google Scholar] [CrossRef][Green Version]
- Faccioli, E.; Inci, I. Extracorporeal life support as a bridge to lung transplantation: A narrative review. J. Thorac. Dis. 2023, 15, 5221–5231. [Google Scholar] [CrossRef]
- Gupta, S.; Torres, F.; Bollineni, S.; Mohanka, M.; Kaza, V. Left Ventricular Dysfunction After Lung Transplantation for Pulmonary Arterial Hypertension. Transplant. Proc. 2015, 47, 2732–2736. [Google Scholar] [CrossRef]
- Hoeper, M.M. Extracorporeal Life Support in Pulmonary Hypertension: Practical Aspects. Semin. Respir. Crit. Care Med. 2023, 44, 771–776. [Google Scholar] [CrossRef] [PubMed]
- Verbelen, T.; Van Cromphaut, S.; Rega, F.; Meyns, B. Acute left ventricular failure after bilateral lung transplantation for idiopathic pulmonary arterial hypertension. J. Thorac. Cardiovasc. Surg. 2013, 145, e7–e9. [Google Scholar] [CrossRef] [PubMed]
- Manders, E.; Bogaard, H.J.; Handoko, M.L.; van de Veerdonk, M.C.; Keogh, A.; Westerhof, N.; Stienen, G.J.M.; Remedios, C.G.D.; Humbert, M.; Dorfmüller, P.; et al. Contractile dysfunction of left ventricular cardiomyocytes in patients with pulmonary arterial hypertension. J. Am. Coll. Cardiol. 2014, 64, 28–37. [Google Scholar] [CrossRef] [PubMed]
- Hardegree, E.L.; Sachdev, A.; Fenstad, E.R.; Villarraga, H.R.; Frantz, R.P.; McGoon, M.D.; Oh, J.K.; Ammash, N.M.; Connolly, H.M.; Eidem, B.W.; et al. Impaired left ventricular mechanics in pulmonary arterial hypertension: Identification of a cohort at high risk. Circ. Heart Fail. 2013, 6, 748–755. [Google Scholar] [CrossRef]
- Tudorache, I.; Sommer, W.; Kühn, C.; Wiesner, O.; Hadem, J.; Fühner, T.; Ius, F.; Avsar, M.; Schwerk, N.; Böthig, D.; et al. Lung transplantation for severe pulmonary hypertension—Awake extracorporeal membrane oxygenation for postoperative left ventricular remodelling. Transplantation 2015, 99, 451–458. [Google Scholar] [CrossRef]
- Hunt, M.; Bermudez, F.; Crespo, M.; Courtwright, A.; Diamond, J.; Christie, J.; Spelde, A.; Usman, A.; Clausen, E.; Cantum, E.; et al. ECMO as a bridge to lung transplantation for COVID-19 respiratory failure: Outcomes and risk factors for early mortality. J. Heart Lung Transplant. 2023, 42, S90. [Google Scholar] [CrossRef]
- Schaheen, L.; Bremner, R.M.; Walia, R.; Smith, M.A. Lung transplantation for coronavirus disease 2019 (COVID-19): The who, what, where, when, and why. J. Thorac. Cardiovasc. Surg. 2022, 163, 865–868. [Google Scholar] [CrossRef]
- Cypel, M.; Keshavjee, S. When to consider lung transplantation for COVID-19. Lancet Respir Med. 2020, 8, 944–946. [Google Scholar] [CrossRef]
- Bharat, A.; Querrey, M.; Markov, N.S.; Kim, S.; Kurihara, C.; Garza-Castillon, R.; Manerikar, A.; Shilatifard, A.; Tomic, R.; Politanska, Y.; et al. Lung transplantation for patients with severe COVID-19. Sci. Transl. Med. 2020, 12, eabe4282. [Google Scholar] [CrossRef]
- Lang, C.; Jaksch, P.; Hoda, M.A.; Lang, G.; Staudinger, T.; Tschernko, P.E.; Zapletal, B.; Geleff, S.; Prosch, H.; Gawish, R.; et al. Lung transplantation for COVID-19-associated acute respiratory distress syndrome in a PCR-positive patient. Lancet Respir. Med. 2020, 8, 1057–1060. [Google Scholar] [CrossRef]
- Bharat, A.; Machuca, T.N.; Querrey, M.; Kurihara, C.; Garza-Castillon, R., Jr.; Kim, S.; Manerikar, A.; Pelaez, A.; Pipkin, M.; Shahmohammadi, A.; et al. Early outcomes after lung transplantation for severe COVID-19: A series of the first consecutive cases from four countries. Lancet Respir. Med. 2021, 9, 487–497. [Google Scholar] [CrossRef] [PubMed]
- Scaravilli, V.; Fumagalli, J.; Rosso, L.; Polli, F.; Panigada, M.; Abbruzzese, C.; Crotti, S.; Lissoni, A.; Nosotti, M.; Pesenti, A.; et al. Heparin-Free Lung Transplantation on Venovenous Extracorporeal Membrane Oxygenation Bridge. ASAIO J. 2021, 67, e191–e197. [Google Scholar] [CrossRef] [PubMed]
- Fina, D.; Matteucci, M.; Jiritano, F.; Meani, P.; Coco, V.L.; Kowalewski, M.; Maessen, J.; Guazzi, M.; Ballotta, A.; Ranucci, M.; et al. Extracorporeal membrane oxygenation without therapeutic anticoagulation in adults: A systematic review of the current literature. Int. J. Artif. Organs. 2020, 43, 570–578. [Google Scholar] [CrossRef] [PubMed]
- Ruitenbeek, K.; Hugenholtz, G.C.; Adelmeijer, J.; Pereboom, I.T.A.; Meijers, J.C.M.; van der Bij, W.; Porte, R.J.; Erasmus, M.E.; Lisman, T. Development of a hypercoagulable status in patients undergoing off-pump lung transplantation despite prolonged conventional coagulation tests. Am. J. Respir. Crit. Care Med. 2015, 191, 230–233. [Google Scholar] [CrossRef]












| Disease | n | % |
|---|---|---|
| iPAH | 19 | 33.9 |
| COVID-19 | 9 | 16.1 |
| Idiopathic Pulmonary Fibrosis | 8 | 14.3 |
| Cystic Fibrosis | 4 | 7.1 |
| Retransplantation | 4 | 7.1 |
| Rescue | 4 | 7.1 |
| CTEPH | 1 | 1.8 |
| COPD | 1 | 1.8 |
| Emphysema | 1 | 1.8 |
| Silicosis | 1 | 1.8 |
| Langerhans cell histiocytosis | 1 | 1.8 |
| Sarcoidosis | 1 | 1.8 |
| Mounier–Kuhn Syndrome | 1 | 1.8 |
| Rendu–Osler–Weber Syndrome | 1 | 1.8 |
| Total | 56 | 100 |
| Variable | n | % | ||||||
|---|---|---|---|---|---|---|---|---|
| Female | 27 | 48.2 | ||||||
| Men | 29 | 51.8 | ||||||
| Hypertension | 6 | 10.9 | ||||||
| Osteoporosis | 2 | 3.6 | ||||||
| Renal insufficiency | 4 | 7.1 | ||||||
| Diabetes | 3 | 5.4 | ||||||
| Mechanical Ventilation before ECMO | 7 | 16.3 | ||||||
| Neurological complications before ECMO | 3 | 5.4 | ||||||
| Variable | n | min | max | Me | Q1 | Q3 | x | SD |
| Age [years] | 56 | 18.00 | 65.00 | 40.00 | 31.5 | 51.0 | 37.6 | 13.4 |
| Body mass [kg] | 50 | 20.5 | 102.0 | 62.2 | 54.0 | 73.5 | 63.4 | 17.1 |
| Height [cm] | 50 | 130.0 | 197.0 | 168.0 | 162.0 | 176.0 | 169.0 | 10.7 |
| BMI [kg/m2] | 49 | 12.0 | 33.2 | 21.8 | 19.5 | 24.9 | 21.9 | 4.67 |
| Variable | n | min | max | Me | Q1 | Q3 | x | SD |
|---|---|---|---|---|---|---|---|---|
| ECMO total time [hours] | 56 | 2.0 | 2166.0 | 66.2 | 7.05 | 266.0 | 232.0 | 398.0 |
| Hospitalizationtime after decannulation [days] | 55 | 0.0 | 140.0 | 29.0 | 21.5 | 41.5 | 34.0 | 26.6 |
| Bridge to transplant time [days] | 15 | 2.0 | 90.0 | 19.0 | 15.5 | 28.0 | 24.7 | 20.8 |
| Left ventricle conditioning time [days] | 13 | 0.0 | 45.0 | 4.0 | 3.0 | 7.0 | 10.3 | 15.1 |
| Procedure | 2018 | 2019 | 2020 | 2021 | 2022 | 2023 | Total | Total [%] * |
|---|---|---|---|---|---|---|---|---|
| Bridge to LuTx | 2 | 3 | 3 | 6 | 0 | 1 | 15 | 6.84 |
| AWAKE ECMO | 2 | 3 | 3 | 2 | 2 | 0 | 12 | 5.47 |
| LV Conditioning with ECMO | 0 | 3 | 1 | 3 | 5 | 1 | 13 | 5.93 |
| SPORT ECMO | 1 | 0 | 1 | 2 | 2 | 0 | 6 | 3.73 |
| iPAH with VA-ECMO | 0 | 4 | 1 | 5 | 4 | 5 | 19 | 8.67 |
| COVID-19 with VV-ECMO | 0 | 0 | 3 | 6 | 0 | 0 | 9 | 4.10 |
| LuTx with ECMO | 5 | 6 | 7 | 12 | 14 | 12 | 56 | 25.57 |
| Total LuTx | 27 | 36 | 29 | 41 | 50 | 36 | 219 | - |
| ECMO AWAKE Mode | ||||||||
| AWAKE-INTUBATED ECMO (tracheotomized) | 1 | 2 | 1 | 1 | 1 | 0 | 6 | 2.73 |
| AWAKE-EXTUBATED ECMO | 1 | 1 | 2 | 1 | 1 | 0 | 6 | 2.73 |
| Variable | BTT Patients n = 15 | Non-BTT Patients n = 41 | p |
|---|---|---|---|
| Median ECMO duration [hours] | 456.00 | 29.50 | 0.00 |
| Mechanical ventilation prior ECMO | 6 | 1 | 0.00 |
| Renal insufficiency prior to ECMO | 3 | 1 | 0.03 |
| Neurological complications prior to ECMO | 2 | 1 | 0.10 |
| Value | VA * n = 36 | VV n = 20 | p |
|---|---|---|---|
| Demography | |||
| Age [years] | 41.00 | 36.50 | 0.05 |
| RVSP [mmHg] | 80.00 | 34.00 | 0.00 |
| Comorbidities | |||
| Pulmonary hypertension | 33 | 1 | 0.00 |
| iPAH | 19 | 0 | 0.00 |
| COVID-19 | 0 | 9 | 0.00 |
| Procedure | |||
| Bridge to LuTx | 2 | 13 | 0.00 |
| Characteristics of patients’ ECMO runs | |||
| ECMO total time [hours] | 9.25 | 293.00 | 0.01 |
| Bridge to transplant time [days] | 2.00 | 13.00 | 0.00 |
| Variable | n | % |
|---|---|---|
| Death during ECMO run | 10 | 17.90 |
| 30-day mortality | 7 | 12.50 |
| Cannulation site complications | 3 | 5.40 |
| Neurological complications | 5 | 8.90 |
| Hemorrhagic complications | 12 | 21.40 |
| Additional Heparin After ECMO Initiation | |||||
|---|---|---|---|---|---|
| No | Yes | ||||
| n | % | n | % | p | |
| Sex (male) | 15 | 53.6 | 14 | 50.0 | 0.999 |
| Neurological complications | 2 | 7.1 | 3 | 10.7 | 0.999 |
| Cardiological complications | 5 | 17.9 | 4 | 14.3 | 0.999 |
| Hemorrhagic complications | 4 | 14.3 | 8 | 28.6 | 0.329 |
Disclaimer/Publisher’s Note: The statements, opinions and data contained in all publications are solely those of the individual author(s) and contributor(s) and not of MDPI and/or the editor(s). MDPI and/or the editor(s) disclaim responsibility for any injury to people or property resulting from any ideas, methods, instructions or products referred to in the content. |
© 2025 by the authors. Licensee MDPI, Basel, Switzerland. This article is an open access article distributed under the terms and conditions of the Creative Commons Attribution (CC BY) license (https://creativecommons.org/licenses/by/4.0/).
Share and Cite
Stącel, T.; Kegler, K.; Sybila, P.; Mędrala, A.; Jekiełek, M.; Nęcki, M.; Pasek, P.; Pióro-Lewandowska, A.; Przybyłowski, P.; Urlik, M. Six-Year Single-Center Experience with ECMO Use in Various Strategies for Lung Transplantation, Including COVID-19 Patients. J. Clin. Med. 2025, 14, 4195. https://doi.org/10.3390/jcm14124195
Stącel T, Kegler K, Sybila P, Mędrala A, Jekiełek M, Nęcki M, Pasek P, Pióro-Lewandowska A, Przybyłowski P, Urlik M. Six-Year Single-Center Experience with ECMO Use in Various Strategies for Lung Transplantation, Including COVID-19 Patients. Journal of Clinical Medicine. 2025; 14(12):4195. https://doi.org/10.3390/jcm14124195
Chicago/Turabian StyleStącel, Tomasz, Kamil Kegler, Paweł Sybila, Agata Mędrala, Małgorzata Jekiełek, Mirosław Nęcki, Piotr Pasek, Anna Pióro-Lewandowska, Piotr Przybyłowski, and Maciej Urlik. 2025. "Six-Year Single-Center Experience with ECMO Use in Various Strategies for Lung Transplantation, Including COVID-19 Patients" Journal of Clinical Medicine 14, no. 12: 4195. https://doi.org/10.3390/jcm14124195
APA StyleStącel, T., Kegler, K., Sybila, P., Mędrala, A., Jekiełek, M., Nęcki, M., Pasek, P., Pióro-Lewandowska, A., Przybyłowski, P., & Urlik, M. (2025). Six-Year Single-Center Experience with ECMO Use in Various Strategies for Lung Transplantation, Including COVID-19 Patients. Journal of Clinical Medicine, 14(12), 4195. https://doi.org/10.3390/jcm14124195

