Cluster Analysis in Diabetes Research: A Systematic Review Enhanced by a Cross-Sectional Study
Abstract
1. Introduction
2. Materials and Methods
2.1. Systematic Review
2.1.1. Search Strategy
2.1.2. Selection Criteria and Data Extraction
2.1.3. Statistical Analysis
2.1.4. Quality Assessment
2.2. Cross-Sectional Study
2.2.1. Study Population and Design
2.2.2. Cluster Analysis
3. Results
3.1. Systematic Review
3.1.1. Characteristics of Included Studies
3.1.2. Methods for Clustering and Dimensionality Reduction Techniques
3.1.3. Quality Assessment Results
3.1.4. Prevalence of Clusters
3.1.5. Characteristics of Clusters
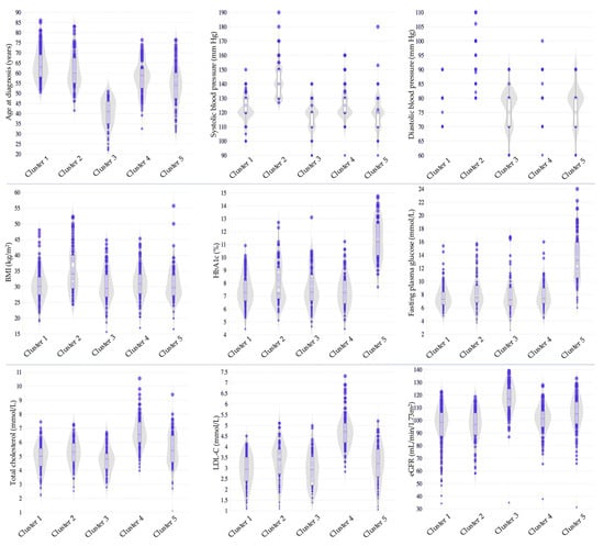
3.2. Cross-Sectional Study
4. Discussion
5. Conclusions
Supplementary Materials
Author Contributions
Funding
Institutional Review Board Statement
Informed Consent Statement
Data Availability Statement
Conflicts of Interest
Abbreviations
| ADA | American Diabetes Association |
| AMI | Acute myocardial infarction |
| ANDIS | All New Diabetics in Scania |
| BMI | Body mass index |
| BP | Blood pressure |
| CAD | Coronary artery disease |
| CHF | Congestive heart failure |
| CKD | Chronic kidney disease |
| CKD-EPI | Chronic Kidney Disease Epidemiology Collaboration |
| CVD | Cardiovascular disease |
| DBP | Diastolic blood pressure |
| DKA | Diabetic ketoacidosis |
| DKD | Diabetic kidney disease |
| DPN | Diabetic peripheral neuropathy |
| DPP-4 | Dipeptidyl peptidase-4 |
| DR | Diabetic retinopathy |
| eGFR | Estimated glomerular filtration rate |
| EHR | Electronic health record |
| ESRD | End-stage renal disease |
| FPG | Fasting plasma glucose |
| GADA | Glutamic acid decarboxylase antibodies |
| GFR | Glomerular filtration rate |
| GLP-1 RA | Glucagon-like peptide-1 receptor agonist |
| HbA1c | Hemoglobin A1c |
| HDL-C | High-density lipoprotein cholesterol |
| HOMA | homeostasis model assessment |
| HOMA2-B | Homeostasis model assessment 2 of β-cell function |
| HOMA2-IR | Homeostasis model assessment 2 of insulin resistance |
| HOMA-B | Homeostasis model assessment of β-cell function |
| HOMA-IR | Homeostasis model assessment of insulin resistance |
| ICD | International Classification of Diseases |
| IDF | International Diabetes Federation |
| LADA | Latent autoimmune diabetes in adults |
| LDL-C | Low-density lipoprotein cholesterol |
| MAFLD | Metabolic-associated fatty liver disease |
| MARD | Mild age-related diabetes |
| MD | Mild diabetes |
| MDH | Mild diabetes with high high-density lipoprotein cholesterol |
| MeSH | Medical subject heading |
| MOD | Mild obesity-related diabetes |
| NAFLD | Non-alcoholic fatty liver disease |
| PKC | Protein kinase C |
| PPAR-γ | Proliferator-activated receptor gamma |
| PRISMA | Preferred reporting items for systematic reviews and meta-analyses |
| RCT | Randomized controlled trial |
| REM | Random-effects model |
| RHAPSODY | Risk Assessment and Progression of Diabetes project |
| SAID | Severe autoimmune diabetes |
| SBP | Systolic blood pressure |
| SGLT2 | Sodium-glucose co-transporter 2 |
| SIDD | Severe insulin-deficient diabetes |
| SIRD | Severe insulin-resistant diabetes |
| SOIRD | Severe obesity-related and insulin-resistant diabetes |
| T1D | Type 1 diabetes |
| T2D | Type 2 diabetes |
| TC | Total cholesterol |
| TG | Triglycerides |
| TL | Telomere lengths |
| UARD | Uric acid-related diabetes |
| WCSS | Within-cluster sum of squares |
| WHO | World Health Organization |
References
- International Diabetes Federation. IDF Diabetes Atlas, 10th ed.; International Diabetes Federation: Brussels, Belgium, 2021; Available online: https://www.diabetesatlas.org (accessed on 21 November 2024).
- Ahlqvist, E.; Prasad, R.B.; Groop, L. Subtypes of type 2 diabetes determined from clinical parameters. Diabetes 2020, 69, 2086–2093. [Google Scholar] [CrossRef] [PubMed]
- Deutsch, A.J.; Ahlqvist, E.; Udler, M.S. Phenotypic and genetic classification of diabetes. Diabetologia 2022, 65, 1758–1769. [Google Scholar] [CrossRef] [PubMed]
- Ahlqvist, E.; Storm, P.; Käräjämäki, A.; Martinell, M.; Dorkhan, M.; Carlsson, A.; Vikman, P.; Prasad, R.B.; Aly, D.M.; Almgren, P.; et al. Novel subgroups of adult-onset diabetes and their association with outcomes: A data-driven cluster analysis of six variables. Lancet Diabetes Endocrinol. 2018, 6, 361–369. [Google Scholar] [CrossRef] [PubMed]
- Sarría-Santamera, A.; Orazumbekova, B.; Maulenkul, T.; Gaipov, A.; Atageldiyeva, K. The Identification of Diabetes Mellitus Subtypes Applying Cluster Analysis Techniques: A Systematic Review. Int. J. Environ. Res. Public Health 2020, 17, 9523. [Google Scholar] [CrossRef]
- Kairov, U.; Molkenov, A.; Sharip, A.; Rakhimova, S.; Seidualy, M.; Rhie, A.; Kozhamkulov, U.; Zhabagin, M.; Kim, J.I.; Lee, J.H.; et al. Whole-Genome Sequencing and genomic variant analysis of Kazakh individuals. Front. Genet. 2022, 13, 902804. [Google Scholar] [CrossRef]
- Page, M.J.; McKenzie, J.E.; Bossuyt, P.M.; Boutron, I.; Hoffmann, T.C.; Mulrow, C.D.; Shamseer, L.; Tetzlaff, J.M.; Akl, E.A.; Brennan, S.E.; et al. The PRISMA 2020 statement: An updated guideline for reporting systematic reviews. BMJ 2021, 372, n71. [Google Scholar] [CrossRef]
- National Heart, Lung, and Blood Institute. Quality Assessment Tool for Observational Cohort and Cross-Sectional Studies. National Institutes of Health. Available online: https://www.nhlbi.nih.gov/health-pro/guidelines/in-develop/cardiovascular-risk-reduction/tools/cohort (accessed on 27 November 2024).
- Moola, S.; Munn, Z.; Tufanaru, C.; Aromataris, E.; Sears, K.; Sfetcu, R.; Currie, M.; Qureshi, R.; Mattis, P.; Lisy, K.; et al. Chapter 7: Systematic reviews of etiology and risk. In JBI Manual for Evidence Synthesis; Aromataris, E., Munn, Z., Eds.; JBI: Adelaide, Australia, 2020; Available online: https://synthesismanual.jbi.global (accessed on 27 November 2024).
- Sterne, J.A.C.; Savović, J.; Page, M.J.; Elbers, R.G.; Blencowe, N.S.; Boutron, I.; Cates, C.J.; Cheng, H.-Y.; Corbett, M.S.; Eldridge, S.M.; et al. RoB 2: A revised tool for assessing risk of bias in randomised trials. BMJ 2019, 366, l4898. [Google Scholar] [CrossRef]
- Flourish Studio. Canva UK Operations Ltd. Available online: https://flourish.studio (accessed on 9 March 2023).
- Wang, W.; Pei, X.; Zhang, L.; Chen, Z.; Lin, D.; Duan, X.; Fan, J.; Pan, Q.; Guo, L. Application of new international classification of adult-onset diabetes in Chinese inpatients with diabetes mellitus. Diabetes Metab. Res. Rev. 2021, 37, e3427. [Google Scholar] [CrossRef]
- Xiong, X.F.; Yang, Y.; Wei, L.; Xiao, Y.; Li, L.; Sun, L. Identification of two novel subgroups in patients with diabetes mellitus and their association with clinical outcomes: A two-step cluster analysis. J. Diabetes Investig. 2021, 12, 1346–1358. [Google Scholar] [CrossRef]
- Song, X.; Lv, Y.; Huang, N.; Sun, J.; Yang, T.; Wang, X.; Zhang, J.; Zhou, Z.; Gao, H.; Li, J.; et al. Clinical characteristics of inpatients with new-onset diabetes mellitus in Eastern China: Based on novel clustering analysis. Front. Endocrinol. 2022, 13, 927661. [Google Scholar] [CrossRef]
- Zhang, J.; Deng, Y.; Wan, Y.; Wang, J.; Xu, J. Diabetes duration and types of diabetes treatment in data-driven clusters of patients with diabetes. Front. Endocrinol. 2022, 13, 994836. [Google Scholar] [CrossRef] [PubMed]
- Huang, J.; Peng, X.; Dong, K.; Tao, J.; Yang, Y. The association between antidiabetic agents and leukocyte telomere length in the novel classification of type 2 diabetes mellitus. Gerontology 2021, 67, 60–68. [Google Scholar] [CrossRef]
- Xing, L.; Peng, F.; Liang, Q.; Dai, X.; Ren, J.; Wu, H.; Yang, S.; Zhu, Y.; Jia, L.; Zhao, S. Clinical characteristics and risk of diabetic complications in data-driven clusters among type 2 diabetes. Front. Endocrinol. 2021, 12, 617628. [Google Scholar] [CrossRef]
- Gao, H.; Wang, K.; Zhao, W.; Zhuang, J.; Jiang, Y.; Zhang, L.; Liu, Q.; Ahmadizar, F. Cardiorenal risk profiles among data-driven type 2 diabetes sub-phenotypes: A post-hoc analysis of the China Health and Nutrition Survey. Front. Endocrinol. 2022, 13, 828403. [Google Scholar] [CrossRef]
- Peng, X.; Huang, J.; Zou, H.; Peng, B.; Xia, S.; Dong, K.; Sun, N.; Tao, J.; Yang, Y. Roles of plasma leptin and resistin in novel subgroups of type 2 diabetes driven by cluster analysis. Lipids Health Dis. 2022, 21, 7. [Google Scholar] [CrossRef]
- Wang, F.; Zheng, R.; Li, L.; Xu, M.; Lu, J.; Zhao, Z.; Li, M.; Wang, T.; Wang, S.; Bi, Y.; et al. Novel subgroups and chronic complications of diabetes in middle-aged and elderly Chinese: A prospective cohort study. Front. Endocrinol. 2022, 12, 802114. [Google Scholar] [CrossRef]
- Wang, W.; Jia, T.; Liu, Y.; Deng, H.; Chen, Z.; Wang, J.; Geng, Z.; Wei, R.; Qiao, J.; Ma, Y.; et al. Data-driven subgroups of newly diagnosed type 2 diabetes and the relationship with cardiovascular diseases at genetic and clinical levels in Chinese adults. Diabetes Metab. Syndr. 2023, 17, 102850. [Google Scholar] [CrossRef]
- Li, X.; Chen, H. Characteristics of glucolipid metabolism and complications in novel cluster-based diabetes subgroups: A retrospective study. Lipids Health Dis. 2023, 22, 200. [Google Scholar] [CrossRef]
- Wang, W.; Li, X.; Chen, F.; Wei, R.; Chen, Z.; Li, J.; Qiao, J.; Pan, Q.; Yang, W.; Guo, L. Secondary analysis of newly diagnosed type 2 diabetes subgroups and treatment responses in the MARCH cohort. Diabetes Metab. Syndr. 2024, 18, 102936. [Google Scholar] [CrossRef]
- Li, B.; Yang, Z.; Liu, Y.; Zhou, X.; Wang, W.; Gao, Z.; Yan, L.; Qin, G.; Tang, X.; Wan, Q.; et al. Clinical characteristics and complication risks in data-driven clusters among Chinese community diabetes populations. J. Diabetes 2024, 16, e13596. [Google Scholar] [CrossRef]
- Wang, C.; Li, Y.; Wang, J.; Dong, K.; Li, C.; Wang, G.; Lin, X.; Zhao, H. Unsupervised cluster analysis of clinical and metabolite characteristics in patients with chronic complications of T2DM: An observational study of real data. Front. Endocrinol. 2023, 14, 1230921. [Google Scholar] [CrossRef] [PubMed]
- Wang, Q.; Chen, Y.; Xie, Y.; Xia, Y.; Xie, Z.; Huang, G.; Fan, L.; Zhou, Z.; Li, X. Type 2 diabetes family history as a significant index on the clinical heterogeneity differentiation in type 1 diabetes. J. Clin. Endocrinol. Metab. 2023, 108, e1633–e1641. [Google Scholar] [CrossRef]
- Herder, C.; Maalmi, H.; Strassburger, K.; Zaharia, O.P.; Ratter, J.M.; Karusheva, Y.; Elhadad, M.A.; Bódis, K.; Bongaerts, B.W.C.; Rathmann, W.; et al. Differences in biomarkers of inflammation between novel subgroups of recent-onset diabetes. Diabetes 2021, 70, 1198–1208. [Google Scholar] [CrossRef]
- Tanabe, H.; Hirai, H.; Saito, H.; Tanaka, K.; Masuzaki, H.; Kazama, J.J.; Shimabukuro, M. Detecting sarcopenia risk by diabetes clustering: A Japanese prospective cohort study. J. Clin. Endocrinol. Metab. 2022, 107, 2729–2736. [Google Scholar] [CrossRef]
- Saito, K.; Inoue, T.; Ariyasu, H.; Shimada, T.; Itoh, H.; Tanaka, I.; Terao, C. Usefulness of subclassification of adult diabetes mellitus among inpatients in Japan. J. Diabetes Investig. 2022, 13, 706–713. [Google Scholar] [CrossRef]
- Anjana, R.M.; Baskar, V.; Nair, A.T.N.; Jebarani, S.; Siddiqui, M.K.; Pradeepa, R.; Unnikrishnan, R.; Palmer, C.; Pearson, E.; Mohan, V. Novel subgroups of type 2 diabetes and their association with microvascular outcomes in an Asian Indian population: A data-driven cluster analysis: The INSPIRED study. BMJ Open Diabetes Res. Care 2020, 8, e001506. [Google Scholar] [CrossRef]
- Arora, I.; Raizada, N.; Aslam, M.; Madhu, S. Phenotypic clusters of type 2 diabetes mellitus among North Indians reveal higher levels of insulin deficiency along with insulin resistance. Diabetes Metab. Syndr. 2024, 18, 102993. [Google Scholar] [CrossRef]
- Tripathi, P.; Vyawahare, A.; Kadam, N.; Tiwari, D.; Biswas, M.D.; Kathrikolly, T.; Sharma, B.; Vijayakumar, V.; Kuppusamy, M. Comparison of clustering and phenotyping approaches for subclassification of type 2 diabetes and its association with remission in Indian population. Sci. Rep. 2024, 14, 20260. [Google Scholar] [CrossRef]
- Lu, B.; Li, P.; Crouse, A.B.; Grimes, T.; Might, M.; Ovalle, F.; Shalev, A. Data-driven cluster analysis reveals increased risk for severe insulin-deficient diabetes in Black/African Americans. J. Clin. Endocrinol. Metab. 2024, 110, 387–395. [Google Scholar] [CrossRef]
- Choi, D.; Jones-Antwi, R.; Ali, M.K.; Patel, S.A. Do diabetes phenotypes in US women differ by race/ethnicity? A population-based cluster analysis. Metabol. Open 2022, 17, 100225. [Google Scholar] [CrossRef]
- Abbasi, M.; Tosur, M.; Astudillo, M.; Refaey, A.; Sabharwal, A.; Redondo, M.J. Clinical characterization of data-driven diabetes clusters of pediatric type 2 diabetes. Pediatr. Diabetes 2023, 2023, 6955723. [Google Scholar] [CrossRef] [PubMed]
- Somolinos-Simón, F.J.; García-Sáez, G.; Tapia-Galisteo, J.; Corcoy, R.; Elena Hernando, M. Cluster analysis of adult individuals with type 1 diabetes: Treatment pathways and complications over a five-year follow-up period. Diabetes Res. Clin. Pract. 2024, 215, 111803. [Google Scholar] [CrossRef]
- Danquah, I.; Mank, I.; Hampe, C.S.; Meeks, K.A.C.; Agyemang, C.; Owusu-Dabo, E.; Smeeth, L.; Klipstein-Grobusch, K.; Bahendeka, S.; Spranger, J.; et al. Subgroups of adult-onset diabetes: A data-driven cluster analysis in a Ghanaian population. Sci. Rep. 2023, 13, 10756. [Google Scholar] [CrossRef]
- Christensen, D.H.; Nicolaisen, S.K.; Ahlqvist, E.; Stidsen, J.V.; Nielsen, J.S.; Hojlund, K.; Olsen, M.H.; García-Calzón, S.; Ling, C.; Rungby, J.; et al. Type 2 diabetes classification: A data-driven cluster study of the Danish Centre for Strategic Research in Type 2 Diabetes (DD2) cohort. BMJ Open Diabetes Res. Care 2022, 10, e002731. [Google Scholar] [CrossRef]
- Wang, J.; Liu, J.J.; Gurung, R.L.; Liu, S.; Lee, J.; M, Y.; Ang, K.; Shao, Y.M.; Tang, J.I.; Benke, P.I.; et al. Clinical variable-based cluster analysis identifies novel subgroups with a distinct genetic signature, lipidomic pattern and cardio-renal risks in Asian patients with recent-onset type 2 diabetes. Diabetologia 2022, 65, 2146–2156, Erratum in Diabetologia 2022, 65, 2176. [Google Scholar] [CrossRef]
- Abdul-Ghani, T.; Puckett, C.; Migahid, O.; Abdelgani, S.; Migahed, A.; Adams, J.; Triplitt, C.; DeFronzo, R.; Jayyousi, A.; Abdul-Ghani, M. Type 2 diabetes subgroups and response to glucose-lowering therapy: Results from the EDICT and Qatar studies. Diabetes Obes. Metab. 2022, 24, 1810–1818. [Google Scholar] [CrossRef]
- Preechasuk, L.; Khaedon, N.; Lapinee, V.; Tangjittipokin, W.; Srivanichakorn, W.; Sriwijitkamol, A.; Plengvidhya, N.; Likitmaskul, S.; Thongtang, N. Cluster analysis of Thai patients with newly diagnosed type 2 diabetes mellitus to predict disease progression and treatment outcomes: A prospective cohort study. BMJ Open Diabetes Res. Care 2022, 10, e003145. [Google Scholar] [CrossRef]
- Li, X.; van Giessen, A.; Altunkaya, J.; Slieker, R.C.; Beulens, J.W.J.; ‘t Hart, L.M.; Pearson, E.R.; Elders, P.J.M.; Feenstra, T.L.; Leal, J. Potential value of identifying type 2 diabetes subgroups for guiding intensive treatment: A comparison of novel data-driven clustering with risk-driven subgroups. Diabetes Care 2023, 46, 1395–1403. [Google Scholar] [CrossRef]
- Hwang, Y.C.; Ahn, H.Y.; Jun, J.E.; Jeong, I.K.; Ahn, K.J.; Chung, H.Y. Subtypes of type 2 diabetes and their association with outcomes in Korean adults—A cluster analysis of community-based prospective cohort. Metabolism 2023, 141, 155514. [Google Scholar] [CrossRef]
- Bayoumi, R.; Farooqi, M.; Alawadi, F.; Hassanein, M.; Osama, A.; Mukhopadhyay, D.; Abdul, F.; Sulaiman, F.; Dsouza, S.; Mulla, F.; et al. Etiologies underlying subtypes of long-standing type 2 diabetes. PLoS ONE 2024, 19, e0304036. [Google Scholar] [CrossRef]
- Li, X.; Donnelly, L.A.; Slieker, R.C.; Beulens, J.W.J.; ‘t Hart, L.M.; Elders, P.J.M.; Pearson, E.R.; van Giessen, A.; Leal, J.; Feenstra, T. Trajectories of clinical characteristics, complications and treatment choices in data-driven subgroups of type 2 diabetes. Diabetologia 2024, 67, 1343–1355. [Google Scholar] [CrossRef] [PubMed]
- Lugner, M.; Gudbjörnsdottir, S.; Sattar, N.; Svensson, A.M.; Miftaraj, M.; Eeg-Olofsson, K.; Eliasson, B.; Franzén, S. Comparison between data-driven clusters and models based on clinical features to predict outcomes in type 2 diabetes: Nationwide observational study. Diabetologia 2021, 64, 1973–1981. [Google Scholar] [CrossRef] [PubMed]
- Cojic, M.M.; Klisic, A.; Kocic, R.; Veljkovic, A.; Kocic, G. Data-driven cluster analysis of oxidative stress indexes in relation to vitamin D level, age, and metabolic control in patients with type 2 diabetes on metformin therapy. Oxidative Med. Cell. Longev. 2021, 2021, 7942716. [Google Scholar] [CrossRef] [PubMed]
- Cojic, M.; Klisic, A.; Sahmanovic, A.; Petrovic, N.; Kocic, G. Cluster analysis of patient characteristics, treatment modalities, renal impairments, and inflammatory markers in diabetes mellitus. Sci. Rep. 2024, 14, 5994. [Google Scholar] [CrossRef]
- Grimsmann, J.M.; Tittel, S.R.; Bramlage, P.; Mayer, B.; Fritsche, A.; Seufert, J.; Laimer, M.; Zimny, S.; Meyhoefer, S.M.; Hummel, M.; et al. Disease heterogeneity of adult diabetes based on routine clinical variables at diagnosis: Results from the German/Austrian Diabetes Follow-up Registry. Diabetes Obes. Metab. 2022, 24, 2253–2262. [Google Scholar] [CrossRef]
- Manzini, E.; Vlacho, B.; Franch-Nadal, J.; Escudero, J.; Génova, A.; Reixach, E.; Andrés, E.; Pizarro, I.; Portero, J.L.; Mauricio, D.; et al. Longitudinal deep learning clustering of type 2 diabetes mellitus trajectories using routinely collected health records. J. Biomed. Inform. 2022, 135, 104218. [Google Scholar] [CrossRef]
- Alberti, K.G.; Zimmet, P.Z. Definition, diagnosis and classification of diabetes mellitus and its complications. Part 1: Diagnosis and classification of diabetes mellitus provisional report of a WHO consultation. Diabet. Med. 1998, 15, 539–553. [Google Scholar] [CrossRef]
- Classification of Diabetes Mellitus; World Health Organization: Geneva, Switzerland, 2019; Available online: https://iris.who.int/bitstream/handle/10665/325182/9789241515702-eng.pdf (accessed on 21 November 2024).
- American Diabetes Association. Standards of medical care in diabetes—2010. Diabetes Care 2010, 33 (Suppl. S1), S11–S61. [Google Scholar] [CrossRef]
- American Diabetes Association. Standards of medical care in diabetes—2011. Diabetes Care 2011, 34 (Suppl. S1), S11–S61. [Google Scholar] [CrossRef]
- American Diabetes Association. Standards of medical care in diabetes—2018 abridged for primary care providers. Clin. Diabetes 2018, 36, 14–37. [Google Scholar] [CrossRef]
- American Diabetes Association. 2. Classification and diagnosis of diabetes: Standards of medical care in diabetes-2020. Diabetes Care 2020, 43 (Suppl. S1), S14–S31. [Google Scholar] [CrossRef]
- American Diabetes Association Professional Practice Committee. 2. Classification and diagnosis of diabetes: Standards of medical care in diabetes-2022. Diabetes Care 2022, 45 (Suppl. S1), S17–S38. [Google Scholar] [CrossRef] [PubMed]
- Zou, X.; Huang, Q.; Luo, Y.; Ren, Q.; Han, X.; Zhou, X.; Ji, L. The efficacy of canagliflozin in diabetes subgroups stratified by data-driven clustering or a supervised machine learning method: A post hoc analysis of canagliflozin clinical trial data. Diabetologia 2022, 65, 1424–1435. [Google Scholar] [CrossRef]
- Pigeyre, M.; Hess, S.; Gomez, M.F.; Asplund, O.; Groop, L.; Paré, G.; Gerstein, H. Validation of the classification for type 2 diabetes into five subgroups: A report from the ORIGIN trial. Diabetologia 2022, 65, 206–215. [Google Scholar] [CrossRef]
- Tanabe, H.; Masuzaki, H.; Shimabukuro, M. Novel strategies for glycaemic control and preventing diabetic complications applying the clustering-based classification of adult-onset diabetes mellitus: A perspective. Diabetes Res. Clin. Pract. 2021, 180, 109067. [Google Scholar] [CrossRef]
- Varghese, J.S.; Narayan, K.M.V. Ethnic differences between Asians and non-Asians in clustering-based phenotype classification of adult-onset diabetes mellitus: A systematic narrative review. Prim. Care Diabetes 2022, 16, 853–856. [Google Scholar] [CrossRef]
- Singh, A.K. Incretin response in Asian type 2 diabetes: Are Indians different? Indian J. Endocrinol. Metab. 2015, 19, 30–38. [Google Scholar] [CrossRef]
- Yabe, D.; Seino, Y.; Fukushima, M.; Seino, S. β cell dysfunction versus insulin resistance in the pathogenesis of type 2 diabetes in East Asians. Curr. Diab Rep. 2015, 15, 602. [Google Scholar] [CrossRef]
- Kodama, K.; Tojjar, D.; Yamada, S.; Toda, K.; Patel, C.J.; Butte, A.J. Ethnic differences in the relationship between insulin sensitivity and insulin response: A systematic review and meta-analysis. Diabetes Care 2013, 36, 1789–1796. [Google Scholar] [CrossRef]
- Li, L.; Zou, X.; Huang, Q.; Han, X.; Zhou, X.; Ji, L. Do East Asians with normal glucose tolerance have worse β-cell function? A meta-analysis of epidemiological studies. Front. Endocrinol. 2021, 12, 780557. [Google Scholar] [CrossRef]
- Ma, R.C.; Chan, J.C. Type 2 diabetes in East Asians: Similarities and differences with populations in Europe and the United States. Ann. N. Y Acad. Sci. 2013, 1281, 64–91. [Google Scholar] [CrossRef]
- Wysham, C.; Shubrook, J. Beta-cell failure in type 2 diabetes: Mechanisms, markers, and clinical implications. Postgrad. Med. 2020, 132, 676–686. [Google Scholar] [CrossRef] [PubMed]
- Nair, K.S.; Bigelow, M.L.; Asmann, Y.W.; Chow, L.S.; Coenen-Schimke, J.M.; Klaus, K.A.; Guo, Z.K.; Sreekumar, R.; Irving, B.A. Asian Indians have enhanced skeletal muscle mitochondrial capacity to produce ATP in association with severe insulin resistance. Diabetes 2008, 57, 1166–1175, Erratum in Diabetes 2009, 58, 770. [Google Scholar] [CrossRef] [PubMed]
- Raji, A.; Seely, E.W.; Arky, R.A.; Simonson, D.C. Body fat distribution and insulin resistance in healthy Asian Indians and Caucasians. J. Clin. Endocrinol. Metab. 2001, 86, 5366–5371. [Google Scholar] [CrossRef]
- Yajnik, C.S. The insulin resistance epidemic in India: Fetal origins, later lifestyle, or both? Nutr. Rev. 2001, 59 Pt 1, 1–9. [Google Scholar] [CrossRef]
- Chandalia, M.; Abate, N.; Garg, A.; Stray-Gundersen, J.; Grundy, S.M. Relationship between generalized and upper body obesity to insulin resistance in Asian Indian men. J. Clin. Endocrinol. Metab. 1999, 84, 2329–2335. [Google Scholar] [CrossRef]
- Hulman, A.; Simmons, R.K.; Brunner, E.J.; Witte, D.R.; Færch, K.; Vistisen, D.; Ikehara, S.; Kivimaki, M.; Tabák, A.G. Trajectories of glycaemia, insulin sensitivity and insulin secretion in South Asian and white individuals before diagnosis of type 2 diabetes: A longitudinal analysis from the Whitehall II cohort study. Diabetologia 2017, 60, 1252–1260. [Google Scholar] [CrossRef]
- Raygor, V.; Abbasi, F.; Lazzeroni, L.C.; Kim, S.; Ingelsson, E.; Reaven, G.M.; Knowles, J.W. Impact of race/ethnicity on insulin resistance and hypertriglyceridaemia. Diab Vasc. Dis. Res. 2019, 16, 153–159. [Google Scholar] [CrossRef]
- Grepper, D.; Tabasso, C.; Aguettaz, A.K.F.; Martinotti, A.; Ebrahimi, A.; Lagarrigue, S.; Amati, F. Methodological advancements in organ-specific ectopic lipid quantitative characterization: Effects of high fat diet on muscle and liver intracellular lipids. Mol. Metab. 2023, 68, 101669. [Google Scholar] [CrossRef]
- Kanaya, A.M. Diabetes in South Asians: Uncovering novel risk factors with longitudinal epidemiologic data: Kelly West Award Lecture 2023. Diabetes Care 2024, 47, 7–16, Erratum in Diabetes Care 2024, 47, 763. [Google Scholar] [CrossRef]
- Narayan, K.M.V.; Kondal, D.; Daya, N.; Gujral, U.P.; Mohan, D.; Patel, S.A.; Shivashankar, R.; Anjana, R.M.; Staimez, L.R.; Ali, M.K.; et al. Incidence and pathophysiology of diabetes in South Asian adults living in India and Pakistan compared with US blacks and whites. BMJ Open Diabetes Res. Care 2021, 9, e001927. [Google Scholar] [CrossRef]
- Lee, S.H.; Park, S.Y.; Choi, C.S. Insulin resistance: From mechanisms to therapeutic strategies. Diabetes Metab. J. 2022, 46, 15–37. [Google Scholar] [CrossRef] [PubMed]
- Parvanova, A.I.; Trevisan, R.; Iliev, I.P.; Dimitrov, B.D.; Vedovato, M.; Tiengo, A.; Remuzzi, G.; Ruggenenti, P. Insulin resistance and microalbuminuria: A cross-sectional, case-control study of 158 patients with type 2 diabetes and different degrees of urinary albumin excretion. Diabetes 2006, 55, 1456–1462. [Google Scholar] [CrossRef] [PubMed]
- De Cosmo, S.; Menzaghi, C.; Prudente, S.; Trischitta, V. Role of insulin resistance in kidney dysfunction: Insights into the mechanism and epidemiological evidence. Nephrol. Dial. Transplant. 2013, 28, 29–36. [Google Scholar] [CrossRef]
- Artunc, F.; Schleicher, E.; Weigert, C.; Fritsche, A.; Stefan, N.; Häring, H.U. The impact of insulin resistance on the kidney and vasculature. Nat. Rev. Nephrol. 2016, 12, 721–737. [Google Scholar] [CrossRef]
- Lay, A.C.; Tran, V.D.T.; Nair, V.; Betin, V.; Hurcombe, J.A.; Barrington, A.F.; Pope, R.J.; Burdet, F.; Mehl, F.; Kryvokhyzha, D.; et al. Profiling of insulin-resistant kidney models and human biopsies reveals common and cell-type-specific mechanisms underpinning Diabetic Kidney Disease. Nat. Commun. 2024, 15, 10018. [Google Scholar] [CrossRef]
- Daza-Arnedo, R.; Rico-Fontalvo, J.; Aroca-Martínez, G.; Rodríguez-Yanez, T.; Martínez-Ávila, M.C.; Almanza-Hurtado, A.; Cardona-Blanco, M.; Henao-Velásquez, C.; Fernández-Franco, J.; Unigarro-Palacios, M.; et al. Insulin and the kidneys: A contemporary view on the molecular basis. Front. Nephrol. 2023, 3, 1133352. [Google Scholar] [CrossRef]
- Meyer, C.; Stumvoll, M.; Nadkarni, V.; Dostou, J.; Mitrakou, A.; Gerich, J. Abnormal renal and hepatic glucose metabolism in type 2 diabetes mellitus. J. Clin. Investig. 1998, 102, 619–624. [Google Scholar] [CrossRef]
- DeFronzo, R.A.; Goldberg, M.; Agus, Z.S. The effects of glucose and insulin on renal electrolyte transport. J. Clin. Investig. 1976, 58, 83–90. [Google Scholar] [CrossRef]
- Satoh, N.; Nakamura, M.; Suzuki, M.; Suzuki, A.; Seki, G.; Horita, S. Roles of Akt and SGK1 in the regulation of renal tubular transport. Biomed. Res. Int. 2015, 2015, 971697. [Google Scholar] [CrossRef]
- Hayashi, K.; Fujiwara, K.; Oka, K.; Nagahama, T.; Matsuda, H.; Saruta, T. Effects of insulin on rat renal microvessels: Studies in the isolated perfused hydronephrotic kidney. Kidney Int. 1997, 51, 1507–1513. [Google Scholar] [CrossRef]
- Schmetterer, L.; Müller, M.; Fasching, P.; Diepolder, C.; Gallenkamp, A.; Zanaschka, G.; Findl, O.; Strenn, K.; Mensik, C.; Tschernko, E.; et al. Renal and ocular hemodynamic effects of insulin. Diabetes 1997, 46, 1868–1874. [Google Scholar] [CrossRef] [PubMed]
- Welsh, G.I.; Hale, L.J.; Eremina, V.; Jeansson, M.; Maezawa, Y.; Lennon, R.; Pons, D.A.; Owen, R.J.; Satchell, S.C.; Miles, M.J.; et al. Insulin signaling to the glomerular podocyte is critical for normal kidney function. Cell Metab. 2010, 12, 329–340. [Google Scholar] [CrossRef]
- Madhusudhan, T.; Wang, H.; Dong, W.; Ghosh, S.; Bock, F.; Thangapandi, V.R.; Ranjan, S.; Wolter, J.; Kohli, S.; Shahzad, K.; et al. Defective podocyte insulin signalling through p85-XBP1 promotes ATF6-dependent maladaptive ER-stress response in diabetic nephropathy. Nat. Commun. 2015, 6, 6496. [Google Scholar] [CrossRef]
- Tejada, T.; Catanuto, P.; Ijaz, A.; Santos, J.V.; Xia, X.; Sanchez, P.; Sanabria, N.; Lenz, O.; Elliot, S.J.; Fornoni, A. Failure to phosphorylate AKT in podocytes from mice with early diabetic nephropathy promotes cell death. Kidney Int. 2008, 73, 1385–1393. [Google Scholar] [CrossRef]
- Takahashi, N.; Ito, O.; Abe, K. Tubular effects of insulin. Hypertens. Res. 1996, 19 (Suppl. S1), S41–S45. [Google Scholar] [CrossRef]
- Kuczkowski, A.; Brinkkoetter, P.T. Metabolism and homeostasis in the kidney: Metabolic regulation through insulin signaling in the kidney. Cell Tissue Res. 2017, 369, 199–210. [Google Scholar] [CrossRef]
- Yau, J.W.; Rogers, S.L.; Kawasaki, R.; Lamoureux, E.L.; Kowalski, J.W.; Bek, T.; Chen, S.J.; Dekker, J.M.; Fletcher, A.; Grauslund, J.; et al. Meta-Analysis for Eye Disease (META-EYE) Study Group. Global prevalence and major risk factors of diabetic retinopathy. Diabetes Care 2012, 35, 556–564. [Google Scholar] [CrossRef]
- Hainsworth, D.P.; Bebu, I.; Aiello, L.P.; Sivitz, W.; Gubitosi-Klug, R.; Malone, J.; White, N.H.; Danis, R.; Wallia, A.; Gao, X.; et al. Diabetes Control and Complications Trial (DCCT)/Epidemiology of Diabetes Interventions and Complications (EDIC) Research Group. Risk Factors for Retinopathy in Type 1 Diabetes: The DCCT/EDIC Study. Diabetes Care 2019, 42, 875–882. [Google Scholar] [CrossRef]
- Song, K.H.; Jeong, J.S.; Kim, M.K.; Kwon, H.S.; Baek, K.H.; Ko, S.H.; Ahn, Y.B. Discordance in risk factors for the progression of diabetic retinopathy and diabetic nephropathy in patients with type 2 diabetes mellitus. J. Diabetes Investig. 2019, 10, 745–752. [Google Scholar] [CrossRef]
- Tarasewicz, D.; Conell, C.; Gilliam, L.K.; Melles, R.B. Quantification of risk factors for diabetic retinopathy progression. Acta Diabetol. 2023, 60, 363–369. [Google Scholar] [CrossRef]
- Kim, H.U.; Park, S.P.; Kim, Y.K. Long-term HbA1c variability and the development and progression of diabetic retinopathy in subjects with type 2 diabetes. Sci. Rep. 2021, 11, 4731. [Google Scholar] [CrossRef] [PubMed]
- Hietala, K.; Wadén, J.; Forsblom, C.; Harjutsalo, V.; Kytö, J.; Summanen, P.; Groop, P.H.; FinnDiane Study Group. HbA1c variability is associated with an increased risk of retinopathy requiring laser treatment in type 1 diabetes. Diabetologia 2013, 56, 737–745. [Google Scholar] [CrossRef]
- Hermann, J.M.; Hammes, H.P.; Rami-Merhar, B.; Rosenbauer, J.; Schütt, M.; Siegel, E.; Holl, R.W.; DPV Initiative the German BMBF Competence Network Diabetes Mellitus. HbA1c variability as an independent risk factor for diabetic retinopathy in type 1 diabetes: A German/Austrian multicenter analysis on 35,891 patients. PLoS ONE 2014, 9, e91137. [Google Scholar] [CrossRef]
- Lonardo, A.; Lugari, S.; Ballestri, S.; Nascimbeni, F.; Baldelli, E.; Maurantonio, M. A round trip from nonalcoholic fatty liver disease to diabetes: Molecular targets to the rescue? Acta Diabetol. 2019, 56, 385–396. [Google Scholar] [CrossRef]
- Cernea, S. NAFLD fibrosis progression and type 2 diabetes: The hepatic-metabolic interplay. Life 2024, 14, 272. [Google Scholar] [CrossRef]
- Kosmas, C.E.; Bousvarou, M.D.; Kostara, C.E.; Papakonstantinou, E.J.; Salamou, E.; Guzman, E. Insulin resistance and cardiovascular disease. J. Int. Med. Res. 2023, 51, 3000605231164548. [Google Scholar] [CrossRef]
- Lopez-Jaramillo, P.; Gomez-Arbelaez, D.; Martinez-Bello, D.; Abat, M.E.M.; Alhabib, K.F.; Avezum, Á.; Barbarash, O.; Chifamba, J.; Diaz, M.L.; Gulec, S.; et al. Association of the triglyceride glucose index as a measure of insulin resistance with mortality and cardiovascular disease in populations from five continents (PURE study): A prospective cohort study. Lancet Healthy Longev. 2023, 4, e23–e33. [Google Scholar] [CrossRef]
- Mantovani, A.; Csermely, A.; Petracca, G.; Beatrice, G.; Corey, K.E.; Simon, T.G.; Byrne, C.D.; Targher, G. Non-alcoholic fatty liver disease and risk of fatal and non-fatal cardiovascular events: An updated systematic review and meta-analysis. Lancet Gastroenterol. Hepatol. 2021, 6, 903–913. [Google Scholar] [CrossRef]
- Targher, G.; Lonardo, A.; Byrne, C. Nonalcoholic fatty liver disease and chronic vascular complications of diabetes mellitus. Nat. Rev. Endocrinol. 2018, 14, 99–114. [Google Scholar] [CrossRef]
- Mantovani, A.; Petracca, G.; Beatrice, G.; Csermely, A.; Lonardo, A.; Schattenberg, J.M.; Tilg, H.; Byrne, C.D.; Targher, G. Non-alcoholic fatty liver disease and risk of incident chronic kidney disease: An updated meta-analysis. Gut 2022, 71, 156–162. [Google Scholar] [CrossRef]
- Cernea, S.; Raz, I. Management of diabetic neuropathy. Metabolism 2021, 123, 154867. [Google Scholar] [CrossRef] [PubMed]
- Zhu, J.; Hu, Z.; Luo, Y.; Liu, Y.; Luo, W.; Du, X.; Luo, Z.; Hu, J.; Peng, S. Diabetic peripheral neuropathy: Pathogenetic mechanisms and treatment. Front. Endocrinol. 2024, 14, 1265372. [Google Scholar] [CrossRef]
- Simes, B.C.; MacGregor, G.G. Sodium-glucose cotransporter-2 (SGLT2) inhibitors: A clinician’s guide. Diabetes Metab. Syndr. Obes. 2019, 12, 2125–2136. [Google Scholar] [CrossRef] [PubMed]
- Reed, J.W. Impact of sodium-glucose cotransporter 2 inhibitors on blood pressure. Vasc. Health Risk Manag. 2016, 12, 393–405. [Google Scholar] [CrossRef]
- Gomez-Peralta, F.; Abreu, C.; Gomez-Rodriguez, S.; Barranco, R.J.; Umpierrez, G.E. Safety and efficacy of DPP4 inhibitor and basal insulin in type 2 diabetes: An updated review and challenging clinical scenarios. Diabetes Ther. 2018, 9, 1775–1789. [Google Scholar] [CrossRef]
- Florentin, M.; Kostapanos, M.S.; Papazafiropoulou, A.K. Role of dipeptidyl peptidase 4 inhibitors in the new era of antidiabetic treatment. World J. Diabetes 2022, 13, 85–96. [Google Scholar] [CrossRef]
- Alam, F.; Islam, M.A.; Mohamed, M.; Ahmad, I.; Kamal, M.A.; Donnelly, R.; Idris, I.; Gan, S.H. Efficacy and safety of pioglitazone monotherapy in type 2 diabetes mellitus: A systematic review and meta-analysis of randomised controlled trials. Sci. Rep. 2019, 9, 5389. [Google Scholar] [CrossRef]
- Qian, X.; Wang, H.; Yang, G.; Gao, Z.; Luo, Y.; Dong, A.; Zhang, F.; Xu, M.; Liu, S.; Yang, X.; et al. Pioglitazone improved insulin sensitivity and first phase insulin secretion among obese and lean people with diabetes: A multicenter clamp study. Diabetes Ther. 2018, 9, 815–826. [Google Scholar] [CrossRef]
- Gastaldelli, A.; Ferrannini, E.; Miyazaki, Y.; Matsuda, M.; Mari, A.; DeFronzo, R.A. Thiazolidinediones improve beta-cell function in type 2 diabetic patients. Am. J. Physiol. Endocrinol. Metab. 2007, 292, E871–E883. [Google Scholar] [CrossRef]
- Eldor, R.; DeFronzo, R.A.; Abdul-Ghani, M. In vivo actions of peroxisome proliferator-activated receptors: Glycemic control, insulin sensitivity, and insulin secretion. Diabetes Care 2013, 36 (Suppl. S2), S162–S174. [Google Scholar] [CrossRef]
- Xiang, A.H.; Peters, R.K.; Kjos, S.L.; Marroquin, A.; Goico, J.; Ochoa, C.; Kawakubo, M.; Buchanan, T.A. Effect of pioglitazone on pancreatic beta-cell function and diabetes risk in Hispanic women with prior gestational diabetes. Diabetes 2006, 55, 517–522. [Google Scholar] [CrossRef] [PubMed]
- Mann, K.V.; Raskin, P. Exenatide extended-release: A once weekly treatment for patients with type 2 diabetes. Diabetes Metab. Syndr. Obes. 2014, 7, 229–239. [Google Scholar] [CrossRef] [PubMed][Green Version]
- Mariam, Z.; Niazi, S.K. Glucagon-like peptide agonists: A prospective review. Endocrinol. Diabetes Metab. 2024, 7, e462. [Google Scholar] [CrossRef]
- Clark, L. GLP-1 receptor agonists: A review of glycemic benefits and beyond. JAAPA 2024, 37, 1–4. [Google Scholar] [CrossRef]


| MEDLINE Complete | Pubmed | Web of Science |
|---|---|---|
| (MH “Diabetes Mellitus+” OR “Diabetes Mellitus” OR “Diabetes Mellitus Type 2” OR “Diabetes Mellitus Type 1” OR Diabetes) AND (MH “Cluster Analysis+” OR “Cluster analysis” OR Cluster) | (“Diabetes Mellitus” [Mesh] OR “Diabetes Mellitus” OR “Diabetes Mellitus Type 2” OR “Diabetes Mellitus Type 1” OR Diabetes) AND (“Cluster Analysis” [Mesh] OR “Cluster analysis”) | (ALL = (diabetes)) AND ALL = (“cluster analysis”) |
| Cluster | No. of Studies * | Sample Size | Prevalence (%) | 95% CI (%) |
|---|---|---|---|---|
| Overall | ||||
| SAID | 9 | 775 | 8 | 6–11 |
| SIDD | 9 | 3190 | 20 | 13–27 |
| SIRD | 9 | 1849 | 13 | 1–15 |
| MOD | 9 | 3659 | 31 | 23–39 |
| MARD | 9 | 4431 | 27 | 21–34 |
| Asian population | ||||
| SAID | 5 | 308 | 7 | 4–10 |
| SIDD | 5 | 1264 | 25 | 16–34 |
| SIRD | 5 | 699 | 14 | 10–19 |
| MOD | 5 | 1157 | 24 | 18–30 |
| MARD | 5 | 1310 | 29 | 23–34 |
| Other populations | ||||
| SAID | 3 | 226 | 12 | 5–18 |
| SIDD | 3 | 332 | 11 | 1–23 |
| SIRD | 3 | 236 | 10 | 4–15 |
| MOD | 3 | 907 | 46 | 19–72 |
| MARD | 3 | 448 | 22 | 10–33 |
| Cluster | No. of Studies * | Sample Size | Prevalence (%) | 95% CI (%) |
|---|---|---|---|---|
| Overall | ||||
| SIDD | 13 | 2748 | 22 | 18–26 |
| SIRD | 13 | 2817 | 17 | 14–19 |
| MOD | 12 | 3995 | 29 | 26–33 |
| MARD | 12 | 5915 | 37 | 34–40 |
| Asian population | ||||
| SIDD | 11 | 1102 | 22 | 18–26 |
| SIRD | 11 | 918 | 16 | 13–19 |
| MOD | 10 | 1623 | 30 | 25–35 |
| MARD | 10 | 1838 | 37 | 33–40 |
| Other populations | ||||
| SIDD | 2 | 344 | 9 | 8–10 |
| SIRD | 2 | 853 | 23 | 22–25 |
| MOD | 1 | 923 | 26 | 25–28 |
| MARD | 2 | 1509 | 42 | 40–43 |
| Cluster 1 | Cluster 2 | Cluster 3 | Cluster 4 | Cluster 5 | |
|---|---|---|---|---|---|
| n (%) | 176 (31.5) | 83 (14.9) | 98 (17.6) | 110 (19.7) | 91 (16.3) |
| Age at diagnosis (years) | 62.9 (58.0–69.0) | 60.0 (55.1–67.5) | 41.0 (35.0–46.0) | 58.8 (52.6–62.0) | 54.0 (47.5–60.2) |
| Systolic blood pressure (mm Hg) | 120 (120–130) | 140 (130–150) | 120 (110–120) | 120 (120–130) | 120 (110–121) |
| Diastolic blood pressure (mm Hg) | 80 (80–80) | 90 (90–90) | 80 (70–80) | 80 (80–80) | 80 (70–80) |
| BMI (kg/m2) | 30.1 (27.5–33.1) | 32.7 (29.5–35.7) | 29.4 (26.8–33.8) | 30.9 (27.8–33.9) | 29.7 (27.2–33.7) |
| HbA1c (%) | 7.3 (6.7–8.2) | 7.2 (6.8–9.2) | 7.3 (6.7–8.6) | 7.3 (6.4–8.2) | 11.2 (10.1–12.6) |
| Fasting plasma glucose (mmol/L) | 7.3 (6.5–8.4) | 7.6 (6.8–9.4) | 7.2 (6.3–9.0) | 7.4 (6.7–8.9) | 13.6 (10.5–15.9) |
| Total cholesterol (mmol/L) | 5.0 (4.3–5.6) | 5.3 (4.6–5.9) | 4.8 (4.1–5.2) | 6.6 (6.0–7.4) | 5.4 (4.6–6.5) |
| LDL-C (mmol/L) | 2.9 (2.4–3.5) | 3.4 (2.7–3.9) | 2.9 (2.2–3.5) | 4.7 (4.2–5.1) | 3.2 (2.6–3.9) |
| eGFR (mL/min/1.73 m2) | 89.8 (74.7–102.4) | 84.7 (71.3–100) | 110.5 (93.9 –120.2) | 97 (81.6–102.9) | 102.4 (84.2–109.4) |
Disclaimer/Publisher’s Note: The statements, opinions and data contained in all publications are solely those of the individual author(s) and contributor(s) and not of MDPI and/or the editor(s). MDPI and/or the editor(s) disclaim responsibility for any injury to people or property resulting from any ideas, methods, instructions or products referred to in the content. |
© 2025 by the authors. Licensee MDPI, Basel, Switzerland. This article is an open access article distributed under the terms and conditions of the Creative Commons Attribution (CC BY) license (https://creativecommons.org/licenses/by/4.0/).
Share and Cite
Taurbekova, B.; Sarsenov, R.; Yaqoob, M.M.; Atageldiyeva, K.; Semenova, Y.; Fazli, S.; Starodubov, A.; Angalieva, A.; Sarria-Santamera, A. Cluster Analysis in Diabetes Research: A Systematic Review Enhanced by a Cross-Sectional Study. J. Clin. Med. 2025, 14, 3588. https://doi.org/10.3390/jcm14103588
Taurbekova B, Sarsenov R, Yaqoob MM, Atageldiyeva K, Semenova Y, Fazli S, Starodubov A, Angalieva A, Sarria-Santamera A. Cluster Analysis in Diabetes Research: A Systematic Review Enhanced by a Cross-Sectional Study. Journal of Clinical Medicine. 2025; 14(10):3588. https://doi.org/10.3390/jcm14103588
Chicago/Turabian StyleTaurbekova, Binura, Radmir Sarsenov, Muhammad M. Yaqoob, Kuralay Atageldiyeva, Yuliya Semenova, Siamac Fazli, Andrey Starodubov, Akmaral Angalieva, and Antonio Sarria-Santamera. 2025. "Cluster Analysis in Diabetes Research: A Systematic Review Enhanced by a Cross-Sectional Study" Journal of Clinical Medicine 14, no. 10: 3588. https://doi.org/10.3390/jcm14103588
APA StyleTaurbekova, B., Sarsenov, R., Yaqoob, M. M., Atageldiyeva, K., Semenova, Y., Fazli, S., Starodubov, A., Angalieva, A., & Sarria-Santamera, A. (2025). Cluster Analysis in Diabetes Research: A Systematic Review Enhanced by a Cross-Sectional Study. Journal of Clinical Medicine, 14(10), 3588. https://doi.org/10.3390/jcm14103588

