Cephalometric Screening Assessment for Superior Airway Space Narrowing—Added Value of Three-Dimensional Imaging
Abstract
1. Introduction
2. Materials and Methods
2.1. Patients
2.2. Computed Tomography
2.3. Cephalometric Assessment
2.4. Data Analysis
3. Results
3.1. Demographic Characteristics
3.2. Reproducibility
3.3. Differences in CPs according to Three-Dimensional SASN and RSAV
3.4. Correlation Analysis of Two-Dimensional CPs to Three-Dimensional SASN
3.5. Multiple Linear Regression Analysis for Predicting Three-Dimensional SASN from Two-Dimensional CPs
3.6. Effectiveness of Predicting Three-Dimensional SASN and RSAV from Two-Dimensional CPs
3.7. Definition of Cut-Off Values for the Indication of Three-Dimensional Imaging
4. Discussion
5. Conclusions
Author Contributions
Funding
Institutional Review Board Statement
Informed Consent Statement
Data Availability Statement
Conflicts of Interest
References
- Park, J.-E.; Bae, S.-H.; Choi, Y.-J.; Choi, W.-C.; Kim, H.-W.; Lee, U.-L. The structural changes of pharyngeal airway contributing to snoring after orthognathic surgery in skeletal class III patients. Maxillofac. Plast. Reconstr. Surg. 2017, 39, 22. [Google Scholar] [CrossRef] [PubMed]
- Valls-Ontanon, A.; Arjooca, S.; Saavedra, O.; Giralt-Hernando, M.; Asensio-Salazar, J.; Haas, O.L., Jr.; Hernandez-Alfaro, F. Does Aesthetic Osseous Genioplasty Impact Upper Airway Volume? Aesthet. Surg. J. 2024, 44, 354–362. [Google Scholar] [CrossRef] [PubMed]
- Lorente, C.; Hernandez-Alfaro, F.; Perez-Vela, M.; Lorente, P.; Lorente, T. Surgical-orthodontic approach for facial rejuvenation based on a reverse facelift. Prog. Orthod. 2019, 20, 34. [Google Scholar] [CrossRef]
- Wei, Z.; Jiang, H.; Wang, S.; Wang, Z.; Qu, B.; Hu, M. Influencing factors for the development of obstructive sleep apnea after orthognathic surgery in skeletal class III patients: A systematic review. J. Craniomaxillofac. Surg. 2024, 52, 503–513. [Google Scholar] [CrossRef] [PubMed]
- Mayer, G.; Arzt, M.; Braumann, B.; Ficker, J.H.; Fietze, I.; Frohnhofen, H.; Galetke, W.; Maurer, J.T.; Orth, M.; Penzel, T.; et al. German S3 Guideline Nonrestorative Sleep/Sleep Disorders, chapter “Sleep-Related Breathing Disorders in Adults”: German Sleep Society (Deutsche Gesellschaft fur Schlafforschung und Schlafmedizin, DGSM). Somnologie 2017, 21, 290–301. [Google Scholar] [CrossRef] [PubMed]
- Stuck, B.A.; Arzt, M.; Fietze, I.; Galetke, W.; Hein, H.; Heiser, C.; Herkenrath, S.D.; Hofauer, B.; Maurer, J.T.; Mayer, G.; et al. Partial update of the German S3 Guideline Sleep-Related Breathing Disorders in Adults. Somnologie 2020, 24, 176–208. [Google Scholar] [CrossRef]
- MacKay, S.G.; Lewis, R.; McEvoy, D.; Joosten, S.; Holt, N.R. Surgical management of obstructive sleep apnoea: A position statement of the Australasian Sleep Association. Respirology 2020, 25, 1292–1308. [Google Scholar] [CrossRef] [PubMed]
- Rajesh, S.; Wonderling, D.; Simonds, A.K.; Guideline, C. Obstructive sleep apnoea/hypopnoea syndrome and obesity hyperventilation syndrome in over 16s: Summary of NICE guidance. BMJ 2021, 375, n2360. [Google Scholar] [CrossRef] [PubMed]
- Eckert, D.J. Phenotypic approaches to obstructive sleep apnoea—New pathways for targeted therapy. Sleep Med. Rev. 2018, 37, 45–59. [Google Scholar] [CrossRef]
- Budhiraja, R.; Budhiraja, P.; Quan, S.F. Sleep-disordered breathing and cardiovascular disorders. Respir. Care 2010, 55, 1322–1332; discussion 1330–1332. [Google Scholar]
- Dong, J.Y.; Zhang, Y.H.; Qin, L.Q. Obstructive sleep apnea and cardiovascular risk: Meta-analysis of prospective cohort studies. Atherosclerosis 2013, 229, 489–495. [Google Scholar] [CrossRef] [PubMed]
- Loke, Y.K.; Brown, J.W.; Kwok, C.S.; Niruban, A.; Myint, P.K. Association of obstructive sleep apnea with risk of serious cardiovascular events: A systematic review and meta-analysis. Circ. Cardiovasc. Qual. Outcomes 2012, 5, 720–728. [Google Scholar] [CrossRef] [PubMed]
- Wang, X.; Ouyang, Y.; Wang, Z.; Zhao, G.; Liu, L.; Bi, Y. Obstructive sleep apnea and risk of cardiovascular disease and all-cause mortality: A meta-analysis of prospective cohort studies. Int. J. Cardiol. 2013, 169, 207–214. [Google Scholar] [CrossRef]
- Parra, O.; Sanchez-Armengol, A.; Bonnin, M.; Arboix, A.; Campos-Rodriguez, F.; Perez-Ronchel, J.; Duran-Cantolla, J.; de la Torre, G.; Gonzalez Marcos, J.R.; de la Pena, M.; et al. Early treatment of obstructive apnoea and stroke outcome: A randomised controlled trial. Eur. Respir. J. 2011, 37, 1128–1136. [Google Scholar] [CrossRef] [PubMed]
- Aurora, R.N.; Punjabi, N.M. Obstructive sleep apnoea and type 2 diabetes mellitus: A bidirectional association. Lancet Respir. Med. 2013, 1, 329–338. [Google Scholar] [CrossRef] [PubMed]
- Mokhlesi, B.; Cifu, A.S. Diagnostic Testing for Obstructive Sleep Apnea in Adults. JAMA 2017, 318, 2035–2036. [Google Scholar] [CrossRef]
- Collop, N.A.; Tracy, S.L.; Kapur, V.; Mehra, R.; Kuhlmann, D.; Fleishman, S.A.; Ojile, J.M. Obstructive sleep apnea devices for out-of-center (OOC) testing: Technology evaluation. J. Clin. Sleep Med. 2011, 7, 531–548. [Google Scholar] [CrossRef]
- Randerath, W.J.; Hein, H.; Arzt, M.; Galetke, W.; Nilius, G.; Penzel, T.; Rasche, K.; Rühle, K.H.; Mayer, G. Konsensuspapier zur Diagnostik und Therapie schlafbezogener Atmungsstörungen bei Erwachsenen. Somnologie-Schlafforschung Schlafmed. 2014, 18, 34–52. [Google Scholar] [CrossRef]
- Sommer, J.U.; Heiser, C.; Gahleitner, C.; Herr, R.M.; Hörmann, K.; Maurer, J.T.; Stuck, B.A. Tonsillectomy with Uvulopalatopharyngoplasty in Obstructive Sleep Apnea. Dtsch. Ärzteblatt Int. 2016, 113, 1. [Google Scholar] [CrossRef]
- Costantino, A.; Rinaldi, V.; Moffa, A.; Luccarelli, V.; Bressi, F.; Cassano, M.; Casale, M.; Baptista, P. Hypoglossal nerve stimulation long-term clinical outcomes: A systematic review and meta-analysis. Sleep Breath 2020, 24, 399–411. [Google Scholar] [CrossRef]
- Strollo, P.J., Jr.; Soose, R.J.; Maurer, J.T.; de Vries, N.; Cornelius, J.; Froymovich, O.; Hanson, R.D.; Padhya, T.A.; Steward, D.L.; Gillespie, M.B.; et al. Upper-airway stimulation for obstructive sleep apnea. N. Engl. J. Med. 2014, 370, 139–149. [Google Scholar] [CrossRef] [PubMed]
- Pirklbauer, K.; Russmueller, G.; Stiebellehner, L.; Nell, C.; Sinko, K.; Millesi, G.; Klug, C. Maxillomandibular advancement for treatment of obstructive sleep apnea syndrome: A systematic review. J. Oral Maxillofac. Surg. 2011, 69, e165–e176. [Google Scholar] [CrossRef] [PubMed]
- Srijithesh, P.R.; Aghoram, R.; Goel, A.; Dhanya, J. Positional therapy for obstructive sleep apnoea. Cochrane Database Syst. Rev. 2019, 5, CD010990. [Google Scholar] [CrossRef] [PubMed]
- Marklund, M.; Verbraecken, J.; Randerath, W. Non-CPAP therapies in obstructive sleep apnoea: Mandibular advancement device therapy. Eur. Respir. J. 2012, 39, 1241–1247. [Google Scholar] [CrossRef] [PubMed]
- Stuck, B.A.; Maurer, J.T. Airway evaluation in obstructive sleep apnea. Sleep Med. Rev. 2008, 12, 411–436. [Google Scholar] [CrossRef] [PubMed]
- Hochban, W. Surgical maxillofacial diagnosis and treatment of obstructive sleep apnea. Der MKG-Chir. 2008, 1, 111–118. [Google Scholar] [CrossRef]
- Hochban, W.; Brandenburg, U. Morphology of the viscerocranium in obstructive sleep apnoea syndrome--cephalometric evaluation of 400 patients. J. Craniomaxillofac. Surg. 1994, 22, 205–213. [Google Scholar] [CrossRef] [PubMed]
- Riley, R.W.; Powell, N.B.; Guilleminault, C. Maxillofacial Surgery and Nasal CPAP. Chest 1990, 98, 1421–1425. [Google Scholar] [CrossRef] [PubMed]
- Lowe, A.A.; Fleetham, J.A.; Adachi, S.; Ryan, C.F. Cephalometric and computed tomographic predictors of obstructive sleep apnea severity. Am. J. Orthod. Dentofac. Orthop. 1995, 107, 589–595. [Google Scholar] [CrossRef]
- Ahmadi, K.; Amali, A.; Saedi, B.; Dasdar, S.; Rashedi, S.; Kianfar, N.; Fakhar, H.B.; Amirifard, H.; Erfanian, R.; Heidari, R. Evaluation of cephalometric indices in patients with obstructive sleep apnea in comparison with healthy individuals. Adv. Oral Maxillofac. Surg. 2022, 5, 100250. [Google Scholar] [CrossRef]
- Abramson, Z.; Susarla, S.; August, M.; Troulis, M.; Kaban, L. Three-dimensional computed tomographic analysis of airway anatomy in patients with obstructive sleep apnea. J. Oral Maxillofac. Surg. 2010, 68, 354–362. [Google Scholar] [CrossRef]
- Chen, Y.J.; Chen, H.H.; Hsu, L.F.; Wang, S.H.; Chen, Y.J.; Lai, E.H.H.; Chang, J.Z.C.; Yao, C.C.J. Airway increase after open bite closure with temporary anchorage devices for intrusion of the upper posteriors: Evidence from 2D cephalometric measurements and 3D magnetic resonance imaging. J. Oral Rehabil. 2018, 45, 939–947. [Google Scholar] [CrossRef] [PubMed]
- Sears, C.R.; Miller, A.J.; Chang, M.K.; Huang, J.C.; Lee, J.S. Comparison of pharyngeal airway changes on plain radiography and cone-beam computed tomography after orthognathic surgery. J. Oral Maxillofac. Surg. 2011, 69, e385–e394. [Google Scholar] [CrossRef] [PubMed]
- Pirila-Parkkinen, K.; Lopponen, H.; Nieminen, P.; Tolonen, U.; Paakko, E.; Pirttiniemi, P. Validity of upper airway assessment in children: A clinical, cephalometric, and MRI study. Angle Orthod. 2011, 81, 433–439. [Google Scholar] [CrossRef] [PubMed]
- Zhou, N.; Ho, J.-P.T.F.; Huang, Z.; Spijker, R.; de Vries, N.; Aarab, G.; Lobbezoo, F.; Ravesloot, M.J.L.; de Lange, J. Maxillomandibular advancement versus multilevel surgery for treatment of obstructive sleep apnea: A systematic review and meta-analysis. Sleep Med. Rev. 2021, 57, 101471. [Google Scholar] [CrossRef] [PubMed]
- Koo, T.K.; Li, M.Y. A Guideline of Selecting and Reporting Intraclass Correlation Coefficients for Reliability Research. J. Chiropr. Med. 2016, 15, 155–163. [Google Scholar] [CrossRef] [PubMed]
- Butterfield, K.J.; Marks, P.L.; McLean, L.; Newton, J. Pharyngeal airway morphology in healthy individuals and in obstructive sleep apnea patients treated with maxillomandibular advancement: A comparative study. Oral Surg. Oral Med. Oral Pathol. Oral Radiol. 2015, 119, 285–292. [Google Scholar] [CrossRef]
- Hemphill, J.F. Interpreting the magnitudes of correlation coefficients. Am. Psychol. 2003, 58, 78–79. [Google Scholar] [CrossRef]
- Benjamini, Y.; Hochberg, Y. Controlling the False Discovery Rate: A Practical and Powerful Approach to Multiple Testing. J. R. Stat. Soc. Ser. B Stat. Methodol. 1995, 57, 289–300. [Google Scholar] [CrossRef]
- Khosravani, S.; Esmaeili, S.; Malek Mohammadi, N.; Eslamian, L.; Dalaei, K.; Motamedian, S.R. Inter and Intra-rater Reliability of Lateral Cephalometric Analysis Using 2D Dolphin Imaging Software: Reliability of Lateral Cephalometric Analysis Using 2D Dolphin Software. J. Dent. Sch. Shahid Beheshti Univ. Med. Sci. 2021, 38, 148–152. [Google Scholar] [CrossRef]
- El, H.; Palomo, J.M. Airway volume for different dentofacial skeletal patterns. Am. J. Orthod. Dentofac. Orthop. 2011, 139, e511–e521. [Google Scholar] [CrossRef] [PubMed]
- Ghoneima, A.; Kula, K. Accuracy and reliability of cone-beam computed tomography for airway volume analysis. Eur. J. Orthod. 2011, 35, 256–261. [Google Scholar] [CrossRef]
- Guijarro-Martínez, R.; Swennen, G.R.J. Three-dimensional cone beam computed tomography definition of the anatomical subregions of the upper airway: A validation study. Int. J. Oral Maxillofac. Surg. 2013, 42, 1140–1149. [Google Scholar] [CrossRef]
- Burkhard, J.P.; Dietrich, A.D.; Jacobsen, C.; Roos, M.; Lubbers, H.T.; Obwegeser, J.A. Cephalometric and three-dimensional assessment of the posterior airway space and imaging software reliability analysis before and after orthognathic surgery. J. Craniomaxillofac. Surg. 2014, 42, 1428–1436. [Google Scholar] [CrossRef]
- Jordan, A.S.; White, D.P. Pharyngeal motor control and the pathogenesis of obstructive sleep apnea. Respir. Physiol. Neurobiol. 2008, 160, 1–7. [Google Scholar] [CrossRef]
- Abbott, M.B.; Donnelly, L.F.; Dardzinski, B.J.; Poe, S.A.; Chini, B.A.; Amin, R.S. Obstructive Sleep Apnea: MR Imaging Volume Segmentation Analysis. Radiology 2004, 232, 889–895. [Google Scholar] [CrossRef]
- Bhattacharyya, N.; Blake, S.P.; Fried, M.P. Assessment of the Airway in Obstructive Sleep Apnea Syndrome with 3-Dimensional Airway Computed Tomography. Otolaryngol.–Head Neck Surg. 2016, 123, 444–449. [Google Scholar] [CrossRef] [PubMed]
- Gaeta-Araujo, H.; Alzoubi, T.; Vasconcelos, K.F.; Orhan, K.; Pauwels, R.; Casselman, J.W.; Jacobs, R. Cone beam computed tomography in dentomaxillofacial radiology: A two-decade overview. Dentomaxillofac. Radiol. 2020, 49, 20200145. [Google Scholar] [CrossRef] [PubMed]
- Neelapu, B.C.; Kharbanda, O.P.; Sardana, H.K.; Balachandran, R.; Sardana, V.; Kapoor, P.; Gupta, A.; Vasamsetti, S. Craniofacial and upper airway morphology in adult obstructive sleep apnea patients: A systematic review and meta-analysis of cephalometric studies. Sleep Med. Rev. 2017, 31, 79–90. [Google Scholar] [CrossRef]
- Battagel, J.M.; L’Estrange, P.R. The cephalometric morphology of patients with obstructive sleep apnoea (OSA). Eur. J. Orthod. 1996, 18, 557–569. [Google Scholar] [CrossRef]
- Miles, P.G.; Vig, P.S.; Weyant, R.J.; Forrest, T.D.; Rockette, H.E. Craniofacial structure and obstructive sleep apnea syndrome—A qualitative analysis and meta-analysis of the literature. Am. J. Orthod. Dentofac. Orthop. 1996, 109, 163–172. [Google Scholar] [CrossRef] [PubMed]
- Apolloni, F.; Fusetti, S. Does overweight affect the sagittal dimension of the posterior airway space in a non-OSAS population? A case control study. Clin. Exp. Dent. Res. 2020, 7, 226–230. [Google Scholar] [CrossRef] [PubMed]
- Riley, R.; Powell, N.; Guilleminault, C. Cephalometric roentgenograms and computerized tomographic scans in obstructive sleep apnea. Sleep 1986, 9, 514–515. [Google Scholar] [CrossRef] [PubMed]
- Van Holsbeke, C.S.; Verhulst, S.L.; Vos, W.G.; De Backer, J.W.; Vinchurkar, S.C.; Verdonck, P.R.; van Doorn, J.W.; Nadjmi, N.; De Backer, W.A. Change in upper airway geometry between upright and supine position during tidal nasal breathing. J. Aerosol. Med. Pulm. Drug Deliv. 2014, 27, 51–57. [Google Scholar] [CrossRef] [PubMed]
- Samman, N.; Mohammadi, H.; Xia, J. Cephalometric norms for the upper airway in a healthy Hong Kong Chinese population. Hong Kong Med. J. 2003, 9, 25–30. [Google Scholar]
- Abé-Nickler, M.D.; Pörtner, S.; Sieg, P.; Hakim, S.G. No correlation between two-dimensional measurements and three-dimensional configuration of the pharyngeal upper airway space in cone-beam computed tomography. J. Cranio-Maxillofac. Surg. 2017, 45, 371–376. [Google Scholar] [CrossRef]



| Parameter | Definition | |
|---|---|---|
| Two-dimensional airway parameter | IPAS (mm) | Sagittal airway diameter in the B (point B)–Go (Gonion) Line |
| MPAS (mm) | Sagittal airway diameter at Ut (Uvula tip) parallel to the B-Go Line | |
| SPAS (mm) | Sagittal airway diameter in the middle between Ut and Pns (posterior nasal spine) parallel to the B-Go Line | |
| Three-dimensional airway parameter | Amin (mm2) | Minimal transversal airway cross-section area |
| VPAS (cm3) | Volume of posterior airway space between posterior nasal spine and hyoid plane | |
| ASag (mm2) | Maximal airway cross-section area in sagittal plane between posterior nasal spine and hyoid plane | |
| AIAS (mm2) | Transversal airway cross-section area in IPAS–Plane | |
| AMAS (mm2) | Transversal airway cross-section area in MPAS–Plane | |
| ASPAS (mm2) | Transversal airway cross-section area in SPAS–Plane | |
| Cranial base | S-N (mm) | Distance between S (Sella) and N (Nasion) |
| NSAr (°) | Angle from N to S to Ar (Articulare) | |
| Sagittal dimensions | SNA (°) | Angle from S to N to A (point A) |
| SNB (°) | Angle from S to N to B | |
| ANB (°) | Angle from A to N to B | |
| Ans-Pns (mm) | Distance between Ans (anterior nasal spine) and Pns | |
| GoGn (mm) | Distance between outer Go and outer Gn (Gnathion) | |
| Vertical dimensions | SP-SN (°) | Angle from Line Ans-Pns to Line S-N |
| MP-SN (°) | Angle from Line Go-Me (Menton) to Line S-N | |
| SP-MP (°) | Angle from Line Ans-Pns to Line Go-Me | |
| SArGo (°) | Angle from N to Ar to Go | |
| ArGoMe (°) | Angle from Ar to Go to Me | |
| Sum (°) | Sum of the Angles NSAr, SArGo, and ArGoMe | |
| NSGn (°) | Angle from N to S to Gn (Y-Axis) | |
| Face height | S-Go (mm) | Distance between S and Go (posterior face height) |
| N-Me (mm) | Distance between N and Me (anterior face height) | |
| N-Ans (mm) | Distance between N and Ans (upper anterior face height) | |
| Ans-Me (mm) | Distance between Ans and Me (lower anterior face height) | |
| S-Go/N-Me | Relation of anterior to posterior face height | |
| Ans-Go/N-Ans | Relation of lower anterior to upper anterior face height | |
| Hyoid position | MP-Hy (mm) | Distance from Hy (Hyoid) to Go-Me Line |
| Dental relations | OJ (mm) | Overjet |
| OB (mm) | Overbite | |
| Transversal dimensions | DI6 (mm) | Transversal distance between first lower molar |
| DI4 (mm) | Transversal distance between first lower premolar | |
| DMA (mm) | Transversal mandibular distance between the mandibular angles | |
| DCH (mm) | Transversal mandibular distance between lateral poles of the condylar heads | |
| Palate | SPL (mm) | Length of soft palate |
| SPT (mm) | Thickness of soft palate |
| Group A1: SASN (Amin < 80 mm2) | Group A2: No SASN (Amin ≥ 80 mm2) | p-Value (A1 vs. A2) | Group B1: RSAV (VPAS < 12 cm3) | Group B2: No RSAV (VPAS ≥ 12 cm3) | p-Value (B1 vs. B2) | All Patients | |
|---|---|---|---|---|---|---|---|
| n | 30 | 70 | 32 | 68 | 100 | ||
| Gender | |||||||
| Male | 13 | 34 | 9 | 38 | 47 | ||
| Female | 17 | 36 | 23 | 30 | 53 | ||
| Gender distribution m/f | 43.3%/ 56.7% | 48.6%/ 51.4% | 0.98 ° | 28.1%/ 71.9% | 55.9%/ 44.1% | 0.98 ° | 47.0%/ 53.0% |
| Age | 30.0 ± 10.9 | 26.1 ± 7.6 | 0.20 * | 27.2 ± 8.7 | 27.3 ± 9.0 | 0.97 * | 27.2 ± 8.9 |
| Body characteristics | |||||||
| Body height BH (cm) | 171.2 | 175.2 | 0.44 * | 169.8 | 175.9 | <0.01 * | 174.0 |
| Body weight BW (kg) | 75.8 | 76.6 | 0.26 * | 72.2 | 78.4 | 0.26 * | 76.4 |
| Body mass index BMI | 25.7 | 24.8 | 0.16 * | 24.9 | 25.1 | 0.96 * | 25.0 |
| Parameter | Group A1: SASN (Amin ≤ 80 mm2) | Group A2: No SASN (Amin > 80 mm2) | p-Value (A1 vs. A2) | Group B1: RASV (VPAS < 12 cm3) | Group B2: No RASV (VPAS ≥ 12 cm3) | p-Value (B1 vs. B2) | All Patients | |
|---|---|---|---|---|---|---|---|---|
| n= | 30 | 70 | 32 | 68 | 100 | |||
| Three- dimensional airway parameter | Amin | 55.9 ± 18.1 | 180.3 ± 82.6 | - | 72.1 ± 31.3 | 176.3 ± 89.7 | <0.01 * | 143.0 ± 90.2 |
| VPAS | 11.08 ± 3.00 | 19.85 ± 8.08 | <0.01 * | 9.75 ± 1.60 | 20.72 ± 7.40 | - | 17.2 ± 8.0 | |
| ASag | 614.6 ± 161.1 | 873.4 ± 234.0 | <0.01 * | 577.3 ± 137.3 | 898.5 ± 215.4 | <0.01 * | 795.7 ± 244.9 | |
| AIAS | 133.0 ± 59.9 | 312.0 ± 159.8 | <0.01 * | 133.9 ± 45.0 | 316.9 ± 161.4 | <0.01 * | 242.7 ± 153.6 | |
| AMAS | 90.7 ± 46.6 | 242.7 ± 126.3 | <0.01 * | 100.3 ± 42.2 | 242.7 ± 131.1 | <0.01 * | 201.4 ± 137.3 | |
| ASPAS | 163.0 ± 63.5 | 283.2 ± 102.1 | <0.01 * | 164.4 ± 53. | 286.1 ± 104.4 | <0.01 * | 337.9 ± 106.5 | |
| Two-dimensional airway parameter | SPAS | 9.5 ± 2.9 | 14.3 ± 3.1 | <0.01 * | 10.2 ± 2.8 | 14.2 ± 3.5 | <0.01 * | 12.9 ± 3.7 |
| MPAS | 8.0 ± 2.2 | 12.2 ± 3.3 | <0.01 * | 8.6 ± 2.6 | 12.0 ± 3.5 | <0.01 * | 10.9 ± 3.6 | |
| IPAS | 9.3 ± 3.0 | 15.0 ± 5.1 | <0.01 * | 9.5 ± 2.9 | 15.1 ± 5.2 | <0.01 * | 13.3 ± 5.3 | |
| Cranial base | S-N | 74.3 ± 5.3 | 75.8 ± 5.0 | 0.38 | 73.9 ± 5.4 | 76.0 ± 4.9 | 0.16 | 75.3 ± 5.1 |
| NSAr | 124.2 ± 5.6 | 123.2 ± 6.8 | 0.61 | 124.9 ± 6.3 | 122.8 ± 6.5 | 0.28 | 123.5 ± 5.5 | |
| Sagittal dimensions | SNA | 79.8 ± 3.6 | 80.8 ± 4.9 | 0.46 | 80.2 ± 4. | 80.6 ± 4.8 | 0.78 | 80.5 ± 4.6 |
| SNB | 76.7 ± 5.6 | 78.5 ± 5.8 | 0.29 | 76.7 ± 4.9 | 80.6 ± 4.8 | 0.25 | 77.9 ± 5.8 | |
| ANB | 3.1 ± 5.1 | 2.3 ± 5.0 | 0.62 | 3.5 ± 4.1 | 2.1 ± 5.3 | 0.31 | 2.6 ± 5.0 | |
| Ans-Pns | 55.9 ± 4.3 | 56.5 ± 5.3 | 0.72 | 55.4 ± 5.0 | 56.8 ± 5.0 | 0.35 | 56.4 ± 5.0 | |
| Go-Gn | 82.4 ± 7.5 | 86.1 ± 7.7 | 0.09 | 81.7 ± 5.7 | 86.6 ± 8.2 | <0.01 * | 85.0 ± 7.8 | |
| Vertical dimensions | SP-SN | 8.2 ± 3.6 | 8.1 ± 3.6 | 0.95 | 8.1 ± 3.7 | 8.1 ± 3.6 | 0.98 | 8.1 ± 3.6 |
| MP-SN | 37.1 ± 9.0 | 35.3 ± 7.0 | 0.49 | 34.6 ± 7.5 | 36.4 ± 7.7 | 0.45 | 35.8 ± 7.6 | |
| SP-MP | 28.9 ± 9.0 | 27.2 ± 6.7 | 0.53 | 26.5 ± 8.2 | 28.2 ± 7. | 0.48 | 27.7 ± 7.4 | |
| SArGo | 145.2 ± 7.1 | 145.4 ± 8.8 | 0.97 | 145.4 ± 8.3 | 145.3 ± 8.3 | 0.98 | 145.4 ± 8.3 | |
| ArGoMe | 127.7 ± 10.3 | 126.6 ± 8.3 | 0.78 | 124.3 ± 8.9 | 128.2 ± 8.7 | 0.13 | 127.0 ± 8.9 | |
| Sum | 397.1 ± 9.0 | 395.3 ± 7.0 | 0.49 | 394.6 ± 7.5 | 396.4 ± 7.7 | 0.46 | 395.8 ± 7.6 | |
| NSGn | 71.0 ± 5.4 | 68.8 ± 5.2 | 0.19 | 69.8 ± 4.6 | 69.3 ± 5.7 | 0.79 | 69.5 ± 5.4 | |
| Face height | S-Go | 85.5 ± 10.2 | 86.2 ± 8.4 | 0.89 | 83.9 ± 8.7 | 87. ± 8.9 | 0.25 | 86.0 ± 8.9 |
| N-Me | 131.7 ± 12.2 | 132.3 ± 11.9 | 0.94 | 127.4 ± 11.8 | 134.3 ± 11.4 | 0.03 * | 132.1 ± 11.9 | |
| N-Ans | 56.1 ± 4.5 | 56.6 ± 4.4 | 0.78 | 55.0 ± 4.5 | 57.1 ± 4.3 | 0.11 | 56.4 ± 4.4 | |
| Ans-Me | 73.6 ± 9.7 | 74.3 ± 8.8 | 0.88 | 70.5 ± 9.2 | 75.7 ± 8.5 | 0.03 * | 74.1 ± 9.0 | |
| S-Go/ N-Me | 0.65 ± 0.06 | 0.65 ± 0.05 | 0.95 | 0.66 ± 0.06 | 0.65 ± 0.05 | 0.49 | 65.3 ± 5.5 | |
| Ans-Me/ N-Ans | 1.31 ± 0.14 | 1.32 ± 0.17 | 0.98 | 1.29 ± 0.17 | 1.33 ± 0.14 | 0.38 | 1.32 ± 0.15 | |
| Hyoid position | MP-Hy | 12.7 ± 6.8 | 13.2 ± 7.1 | 0.87 | 10.2 ± 7.2 | 14.1 ± 6.3 | 0.04 * | 12.9 ± 6.8 |
| Dental relations | OJ | 1.6 ± 5.8 | 2.5 ± 5.8 | 0.62 | 3.7 ± 5.0 | 1.0 ± 5.9 | 0.07 | 1.9 ± 5.8 |
| OB | −0.2 ± 3.3 | 1.0 ± 2.5 | 0.14 | 1.3 ± 2.6 | −0.4 ± 3.2 | 0.03 * | 0.2 ± 3.1 | |
| Transversal dimensions | DI4 | 36.3 ± 2.5 | 36.3 ± 2.3 | 0.98 | 35.5 ± 2.1 | 36.6 ± 2.5 | 0.13 | 47.6 ± 3.6 |
| DI6 | 47.5 ± 3.8 | 48.1 ± 3.1 | 0.61 | 47.2 ± 2.9 | 47.8 ± 3.9 | 0.62 | 36.3 ± 2.4 | |
| DMA | 104.8 ± 8.7 | 104.5 ± 9.0 | 0.97 | 102.6 ± 9.4 | 105.8 ± 8.3 | 0.26 | 104.8 ± 8.7 | |
| DCH | 115.3 ± 7.4 | 116.6 ± 7.1 | 0.56 | 114.2 ± 5.9 | 116.4 ± 7.8 | 0.27 | 115.7 ± 7.3 | |
| Palate | SPL | 36.6 ± 4.9 | 37.8 ± 4.9 | 0.45 | 36.1 ± 5.0 | 37.3 ± 4.9 | 0.45 | 36.9 ± 4.9 |
| SPT | 7.3 ± 2.1 | 8.1 ± 2.4 | 0.28 | 7.5 ± 1.8 | 7.6 ± 2.4 | 0.96 | 7.6 ± 2.2 |
| Amin | VPAS | ||||
|---|---|---|---|---|---|
| rp | p-Value | rp | p-Value | ||
| Patient Characteristics | Age | −0.169 | 0.22 | −0.005 | 1.00 |
| BH | 0.015 | 0.26 | 0.282 | 0.02 * | |
| BW | 0.018 | 0.99 | 0.187 | 0.17 | |
| BMI | −0.088 | 0.56 | 0.063 | 0.72 | |
| Three- dimensional airway parameter | Amin | - | - | 0.857 | <0.01 * |
| VPAS | 0.857 | <0.01 * | - | - | |
| Asag | 0.708 | <0.01 * | 0.873 | <0.01 * | |
| ASPAS | 0.812 | <0.01 * | 0.736 | <0.01 * | |
| AMAS | 0.888 | <0.01 * | 0.835 | <0.01 * | |
| AIAS | 0.835 | <0.01 * | 0.890 | <0.01 * | |
| Two-dimensional airway parameter | SPAS | 0.706 | <0.01 * | 0.611 | <0.01 * |
| MPAS | 0.713 | <0.01 * | 0.662 | <0.01 * | |
| IPAS | 0.684 | <0.01 * | 0.752 | <0.01 * | |
| Cranial base | S-N | 0.208 | 0.11 | 0.303 | <0.01 * |
| NSAr | −0.094 | 0.53 | −0.118 | 0.43 | |
| Sagittal dimensions | SNA | 0.148 | 0.30 | 0.083 | 0.59 |
| SNB | 0.211 | 0.11 | 0.183 | 0.17 | |
| ANB | −0.109 | 0.45 | −0.136 | 0.36 | |
| Ans-Pns | 0.110 | 0.46 | 0.229 | 0.07 | |
| Go-Gn | 0.384 | <0.01 * | 0.426 | <0.01 * | |
| Vertical dimensions | SP-SN | −0.018 | 0.96 | −0.020 | 1.00 |
| MP-SN | −0.109 | 0.45 | −0.018 | 0.95 | |
| SP-MP | −0.104 | 0.46 | −0.008 | 0.99 | |
| SArGo | 0.019 | 1.00 | 0.019 | 1.00 | |
| ArGoMe | −0.043 | 0.86 | 0.053 | 0.80 | |
| Sum | −0.110 | 0.45 | −0.018 | 0.98 | |
| NSGn | −0.218 | 0.09 | −0.113 | 0.45 | |
| Face height | S-Go (PFH) | 0.121 | 0.42 | 0.296 | 0.01 * |
| N-Me (AFH) | 0.121 | 0.43 | 0.332 | <0.01 * | |
| N-Ans | 0.141 | 0.33 | 0.309 | <0.01 * | |
| Ans-Me | 0.129 | 0.39 | 0.310 | <0.01 * | |
| S-Go/N-Me | 0.014 | 0.96 | 0.007 | 0.99 | |
| Ans-Me/N-Ans | 0.036 | 0.90 | 0.115 | 0.45 | |
| Hyoid position | MP-Hy | −0.052 | 0.80 | 0.178 | 0.19 |
| Dental relations | OJ | −0.154 | 0.28 | −0.184 | 0.18 |
| OB | 0.151 | 0.29 | 0.210 | 0.11 | |
| Transversal dimensions | DI4 | −0.030 | 0.95 | 0.080 | 0.64 |
| DI6 | 0.048 | 0.85 | 0.179 | 0.26 | |
| DMA | 0.074 | 0.65 | 0.223 | 0.08 | |
| DCH | 0.014 | 0.47 | 0.287 | 0.01 * | |
| Palate | SPL | −0.123 | 0.42 | 0.015 | 0.96 |
| SPT | −0.093 | 0.53 | 0.035 | 0.90 |
| Dependent Variable | Independent Variable | Regression Coefficient B | Standard Error SE | Standardized Coefficient ß | T | R2 | R2adj | F |
|---|---|---|---|---|---|---|---|---|
| Amin | Constant | −91.215 *** | 21.382 | - | −4.266 | 0.597 | 0.584 | 47.325 *** |
| SPAS | 8.126 ** | 2.464 | 0.336 ** | 3.297 | (df = 3) | |||
| MPAS | 6.636 * | 2.982 | 0.264 * | 2.226 | ||||
| IPAS | 4.290 * | 1.803 | 0.251 * | 2.379 | ||||
| VPAS | Constant | −29.904 ** | 9.263 | - | 0.614 | 0.606 | 77.019 *** | |
| IPAS | 1.117 *** | 0.096 | 0.733 *** | 11.579 | (df = 2) | |||
| BH | 0.185 ** | 0.053 | 0.221 *** | 3.482 |
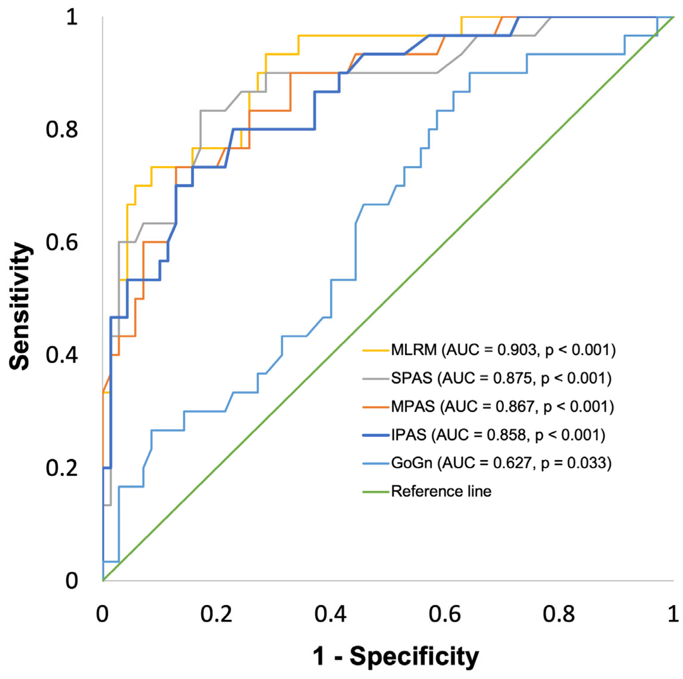
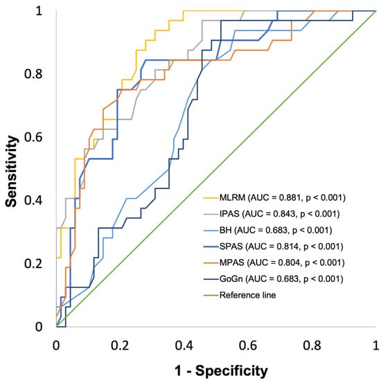
| Dependent Variable | Predictor | AUC [95% CI] | Cut-Off | Sensitivity (%) [95% CI] | Specificity (%) [95% CI] | Balanced Accuracy (%) | Lower Cut-Off | Upper Cut-Off | Balanced Accuracy (%) |
|---|---|---|---|---|---|---|---|---|---|
| Amin | MLRM Amin | 0.903 ** [0.841–0.966] | 100 | 73.3 | 91.4 | 82.3 | 100.0 | 133.0 | 90.7 |
| SPAS | 0.875 ** [0.795–0.955] | 11.8 | 0.833 | 0.829 | 83.1 | 10.4 | 12.5 | 90.7 | |
| MPAS | 0.867 ** [0.791–0.943] | 8.8 | 0.733 | 0.871 | 80.2 | 8.1 | 10.2 | 90.0 | |
| IPAS | 0.858 ** [0.779–0.937] | 10.9 | 0.733 | 0.843 | 78.8 | 9.4 | 13.5 | 90.0 | |
| GoGn | 0.627 * [0.510–0.744] | 90.2 | 0.900 | 0.357 | 62.9 | 77.0 | 90.2 | 90.0 | |
| VPAS | MLRM VPAS | 0.881 ** [0.817–0.947] | 16.40 | 0.938 | 0.691 | 81.5 | 13.00 | 16.4 | 91.9 |
| IPAS | 0.843 ** [0.767–0.920] | 14.0 | 0.969 | 0.544 | 75.7 | 9.6 | 14.0 | 93.5 | |
| BH | 0.683 ** [0.578–0.788] | 179.0 | 0.938 | 0.441 | 68.9 | 160.0 | 179.5 | 92.5 | |
| SPAS | 0.814 ** [0.726–0.902] | 12.4 | 0.844 | 0.720 | 78.2 | 10.0 | 14.2 | 90.9 | |
| MPAS | 0.804 ** [0.708–0.900] | 9.2 | 0.750 | 0.794 | 77.2 | 8.1 | 13.2 | 90.9 | |
| GoGn | 0.683 ** [0.578–0.787] | 88.8 | 0.969 | 0.485 | 72.7 | 74.4 | 88.8 | 93.5 |
Disclaimer/Publisher’s Note: The statements, opinions and data contained in all publications are solely those of the individual author(s) and contributor(s) and not of MDPI and/or the editor(s). MDPI and/or the editor(s) disclaim responsibility for any injury to people or property resulting from any ideas, methods, instructions or products referred to in the content. |
© 2024 by the authors. Licensee MDPI, Basel, Switzerland. This article is an open access article distributed under the terms and conditions of the Creative Commons Attribution (CC BY) license (https://creativecommons.org/licenses/by/4.0/).
Share and Cite
Meisgeier, A.; Dürrschnabel, F.; Pienkohs, S.; Weiser, A.; Neff, A. Cephalometric Screening Assessment for Superior Airway Space Narrowing—Added Value of Three-Dimensional Imaging. J. Clin. Med. 2024, 13, 2685. https://doi.org/10.3390/jcm13092685
Meisgeier A, Dürrschnabel F, Pienkohs S, Weiser A, Neff A. Cephalometric Screening Assessment for Superior Airway Space Narrowing—Added Value of Three-Dimensional Imaging. Journal of Clinical Medicine. 2024; 13(9):2685. https://doi.org/10.3390/jcm13092685
Chicago/Turabian StyleMeisgeier, Axel, Florian Dürrschnabel, Simon Pienkohs, Annabell Weiser, and Andreas Neff. 2024. "Cephalometric Screening Assessment for Superior Airway Space Narrowing—Added Value of Three-Dimensional Imaging" Journal of Clinical Medicine 13, no. 9: 2685. https://doi.org/10.3390/jcm13092685
APA StyleMeisgeier, A., Dürrschnabel, F., Pienkohs, S., Weiser, A., & Neff, A. (2024). Cephalometric Screening Assessment for Superior Airway Space Narrowing—Added Value of Three-Dimensional Imaging. Journal of Clinical Medicine, 13(9), 2685. https://doi.org/10.3390/jcm13092685

