Changes in Body Weight in Severely Obese Patients Treated with the Anorexiant Mazindol
Abstract
1. Introduction
2. Materials and Methods
3. Results
3.1. Demographic Data
3.2. Baseline Characteristics
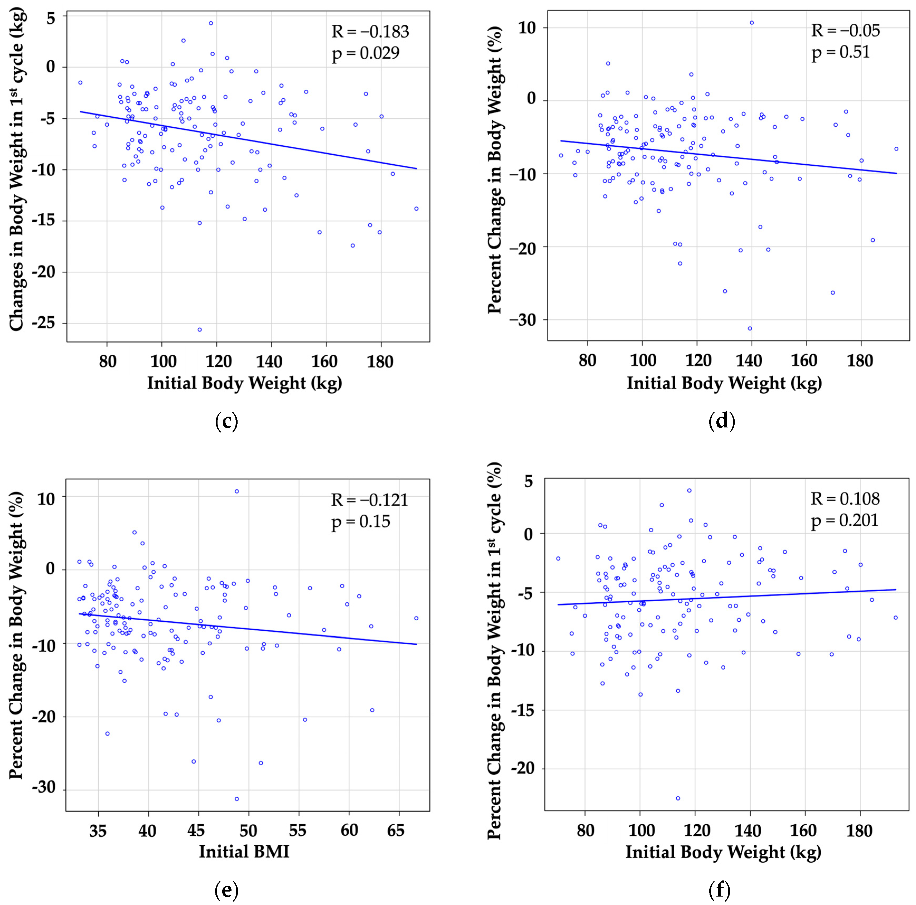
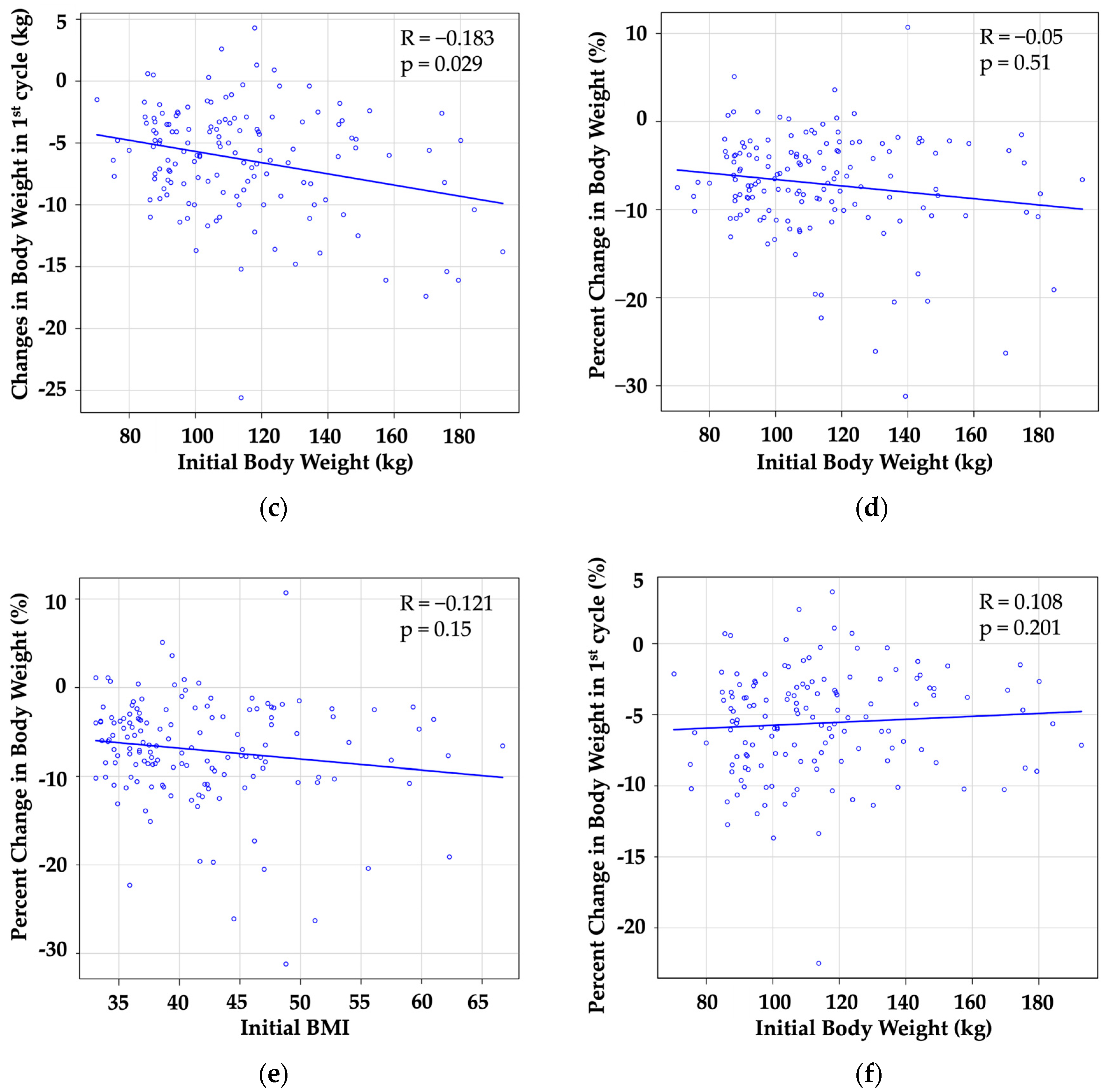
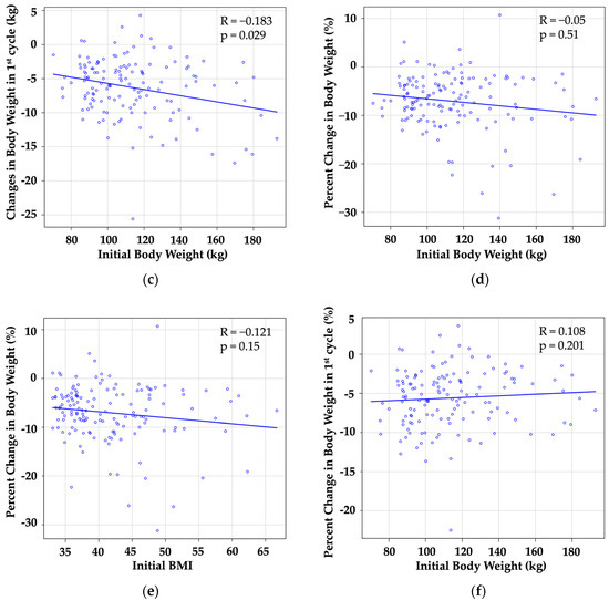
3.3. Change in Body Weight (CBW) and Percent Change in Body Weight (%CBW)
3.4. Factors Influencing CBW and %CBW
4. Discussion
Limitations
5. Conclusions
Supplementary Materials
Author Contributions
Funding
Institutional Review Board Statement
Informed Consent Statement
Data Availability Statement
Conflicts of Interest
References
- NCD Risk Factor Collaboration (NCD-RisC). Trends in adult body-mass index in 200 countries from 1975 to 2014: A pooled analysis of 1698 population-based measurement studies with 19.2 million participants. Lancet 2016, 387, 1377–1396. [Google Scholar] [CrossRef] [PubMed]
- Nguyen, N.T.; Nguyen, X.-M.T.; Lane, J.; Wang, P. Relationship Between Obesity and Diabetes in a US Adult Population: Findings from the National Health and Nutrition Examination Survey, 1999–2006. Obes. Surg. 2011, 21, 351–355. [Google Scholar] [CrossRef]
- Colditz, G.A.; Willett, W.C.; Rotnitzky, A.; Manson, J.E. Weight Gain as a Risk Factor for Clinical Diabetes Mellitus in Women. Ann. Intern. Med. 1995, 122, 481–486. [Google Scholar] [CrossRef]
- Carmo, J.M.D.; da Silva, A.A.; Wang, Z.; Fang, T.; Aberdein, N.; de Lara Rodriguez, C.E.; Hall, J.E. Obesity-Induced Hypertension: Brain Signaling Pathways. Curr. Hypertens. Rep. 2016, 18, 58. [Google Scholar] [CrossRef] [PubMed]
- Nordestgaard, B.G.; Palmer, T.M.; Benn, M.; Zacho, J.; Tybjærg-Hansen, A.; Smith, G.D.; Timpson, N.J. The Effect of Elevated Body Mass Index on Ischemic Heart Disease Risk: Causal Estimates from a Mendelian Randomisation Approach. PLoS Med. 2012, 9, e1001212. [Google Scholar] [CrossRef] [PubMed]
- Flegal, K.M.; Graubard, B.I.; Williamson, D.F.; Gail, M.H. Cause-Specific Excess Deaths Associated with Underweight, Overweight, and Obesity. JAMA 2007, 298, 2028–2037. [Google Scholar] [CrossRef]
- Balachandran, J.S.; Masa, J.F.; Mokhlesi, B. Obesity Hypoventilation Syndrome: Epidemiology and diagnosis. Sleep Med. Clin. 2014, 9, 341–347. [Google Scholar] [CrossRef] [PubMed]
- Harada, Y.; Chihara, Y.; Azuma, M.; Murase, K.; Toyama, Y.; Yoshimura, C.; Oga, T.; Nakamura, H.; Mishima, M.; Chin, K.; et al. Obesity hypoventilation syndrome in Japan and independent determinants of arterial carbon dioxide levels. Respirology 2014, 19, 1233–1240. [Google Scholar] [CrossRef]
- Müller, T.D.; Clemmensen, C.; Finan, B.; DiMarchi, R.D.; Tschöp, M.H. Anti-Obesity Therapy: From Rainbow Pills to Polyagonists. Pharmacol. Rev. 2018, 70, 712–746. [Google Scholar] [CrossRef]
- Kimura, Y.; Fujishima, Y.; Nishizawa, H.; Saito, T.; Miyazaki, Y.; Shirahase, K.; Tokuzawa, C.; Nagai, N.; Fukuda, S.; Maeda, K.; et al. Changes in Eating Behaviors and Their Associations with Weight Loss in Japanese Patients Who Underwent Laparoscopic Sleeve Gastrectomy. Nutrients 2023, 15, 353. [Google Scholar] [CrossRef]
- Altieri, M.S.; Yang, J.; Nie, L.; Blackstone, R.; Spaniolas, K.; Pryor, A. Rate of revisions or conversion after bariatric surgery over 10 years in the state of New York. Surg. Obes. Relat. Dis. 2018, 14, 500–507. [Google Scholar] [CrossRef]
- Tolvanen, L.; Christenson, A.; Surkan, P.J.; Lagerros, Y.T. Patients’ Experiences of Weight Regain After Bariatric Surgery. Obes. Surg. 2022, 32, 1498–1507. [Google Scholar] [CrossRef]
- Alyahya, R.; A Alnujaidi, M. Prevalence and Outcomes of Depression After Bariatric Surgery: A Systematic Review and Meta-Analysis. Cureus 2022, 14, e25651. [Google Scholar] [CrossRef]
- Adams, T.D.; Gress, R.E.; Smith, S.C.; Halverson, R.C.; Simper, S.C.; Rosamond, W.D.; LaMonte, M.J.; Stroup, A.M.; Hunt, S.C. Long-Term Mortality after Gastric Bypass Surgery. New Engl. J. Med. 2007, 357, 753–761. [Google Scholar] [CrossRef]
- Japan Society for the Study of Obesity. Guidelines for the Management of Obesity Disease 2022; Life Science Publishing Company: Tokyo, Japan, 2022. (In Japanese) [Google Scholar]
- Cunha, J.B.; Fialho, M.C.M.P.; Arruda, S.L.M.; Nóbrega, O.T.; Camargos, E.F. Clinical and Metabolic Improvement after Bariatric Surgery in Older Adults: A 6-Year Follow-Up. J. Nutr. Health Aging 2020, 24, 865–869. [Google Scholar] [CrossRef]
- Arguelles-Tello, F.A.; Kammar-García, A.; Trejo-Jasso, C.A.; Huerta-Cruz, J.C.; Barranco-Garduño, L.M.; Rocha-González, H.I.; Reyes-García, J.G. Metformin improves the weight reduction effect of mazindol in prediabetic obese Mexican subjects. Int. J. Clin. Pharmacol. Ther. 2022, 60, 336–345. [Google Scholar] [CrossRef] [PubMed]
- Huerta-Cruz, J.C.; Rocha-González, H.I.; Kammar-García, A.; Canizales-Quinteros, S.; Barranco-Garduño, L.M.; Reyes-García, J.G. Combined First Month Body Weight Loss and Development of Tolerance as Predictors of 6-Month Efficacy of Mazindol in Mild and Moderate Obese Subjects. J. Clin. Med. 2022, 11, 3211. [Google Scholar] [CrossRef]
- Farr, O.M.; Sofopoulos, M.; Tsoukas, M.A.; Dincer, F.; Thakkar, B.; Sahin-Efe, A.; Filippaios, A.; Bowers, J.; Srnka, A.; Gavrieli, A.; et al. GLP-1 receptors exist in the parietal cortex, hypothalamus and medulla of human brains and the GLP-1 analogue liraglutide alters brain activity related to highly desirable food cues in individuals with diabetes: A crossover, randomised, placebo-controlled trial. Diabetologia 2016, 59, 954–965. [Google Scholar] [CrossRef] [PubMed]
- Hetherington, A.W.; Ranson, S.W. Hypothalamic lesions and adiposity in the rat. Anat. Rec. 1940, 78, 149–172. [Google Scholar] [CrossRef]
- Anand, B.K.; Brobeck, J.R. Localization of a “Feeding Center” in the Hypothalamus of the Rat. Exp. Biol. Med. 1951, 77, 323–325. [Google Scholar] [CrossRef] [PubMed]
- Kanai, Y.; Lee, W.S.; You, G.; Brown, D.; Hediger, M.a. The human kidney low affinity Na+/glucose cotransporter SGLT2. Delineation of the major renal reabsorptive mechanism for D-glucose. J. Clin. Investig. 1994, 93, 397–404. [Google Scholar] [CrossRef] [PubMed]
- Nishikawa, T.; Iizuka, T.; Omura, M.; Kuramoto, N.; Miki, T.; Ito, H.; Chiba, S. Effect of Mazindol on Body Weight and Insulin Sensitivity in Severely Obese Patients after a Very-Low-Calorie Diet Therapy. Endocr. J. 1996, 43, 671–677. [Google Scholar] [CrossRef] [PubMed][Green Version]
- Yoshida, T.; Sakane, N.; Umekawa, T.; Yoshioka, K.; Kondo, M.; Wakabayashi, Y. Usefulness of mazindol in combined diet therapy consisting of a low-calorie diet and Optifast in severely obese women. Int. J. Clin. Pharm. Res. 1994, 14, 125–132. [Google Scholar]




| Clinical Parameters | 1 Cycle | 2 Cycles | 3–5 Cycles | Over 6 Cycles | p-Value | Pairwise Comparison |
|---|---|---|---|---|---|---|
| n | 77 | 35 | 22 | 13 | − | |
| Age (years) | 44.1 ± 1.4 | 45.0 ± 2.1 | 44.8 ± 2.9 | 53.3 ± 3.4 | 0.14 | n.s. |
| Sex (male/female) | 41/36 | 23/12 | 13/9 | 4/9 | 0.55 | n.s. |
| Height (cm) | 164 ± 1.0 | 165 ± 1.7 | 165 ± 1.8 | 163 ± 2.1 | 0.86 | n.s. |
| Weight (kg) | 110 ± 2.6 | 111 ± 4.1 | 123 ± 6.6 | 124 ± 7.4 | 0.09 | n.s. |
| BMI | 40.8 ± 0.8 | 40.5 ± 0.9 | 44.5 ± 1.7 | 46.8 ± 2.3 | 0.004 | 1 cycle, 2 cycles < over 6 cycles * |
| BS (mg/dL) | 125 ± 5.6 | 106 ± 4.1 | 117 ± 9.4 | 132 ± 16.6 | 0.22 | n.s. |
| HbA1c (%) | 6.6 ± 0.2 | 6.1 ± 0.1 | 6.0 ± 0.3 | 6.6 ± 0.3 | 0.10 | n.s. |
| Systolic blood pressure (mmHg) | 140 ± 2.0 | 135 ± 3.1 | 140 ± 3.9 | 140 ± 3.6 | 0.68 | n.s. |
| Diastolic blood pressure (mmHg) | 85 ± 1.4 | 83 ± 1.8 | 87 ± 2.3 | 86 ± 3.7 | 0.98 | n.s. |
| LDL cholesterol (mg/dL) | 120 ± 4.1 | 123 ± 4.7 | 128 ± 6.4 | 115 ± 3.9 | 0.65 | n.s. |
| HDL cholesterol (mg/dL) | 48 ± 1.2 | 50 ± 1.8 | 49 ± 1.9 | 48 ± 2.9 | 0.71 | n.s. |
| Triglyceride (mg/dL) | 178 ± 11 | 178 ± 20 | 146 ± 15 | 145 ± 19 | 0.33 | n.s. |
| Uric acid (mg/dL) | 5.9 ± 0.2 | 6.2 ± 0.2 | 5.6 ± 0.3 | 5.5 ± 0.3 | 0.20 | n.s. |
| AST (IU/L) | 32 ± 1.7 | 42 ± 4.9 | 27 ± 2.4 | 30 ± 3.4 | 0.16 | n.s. |
| ALT (IU/L) | 44 ± 3.4 | 60 ± 8.9 | 34 ± 4.6 | 36 ± 3.5 | 0.60 | n.s. |
| Comorbidities | ||||||
| Diabetes mellitus (%) | 33(42.9) | 13(37.1) | 11(50.0) | 9(69.2) | 0.23 | n.s. |
| Hypertension (%) | 30(39.0) | 16(45.7) | 13(59.1) | 8(61.5) | 0.22 | n.s. |
| Hyperlipidemia (%) | 18(23.4) | 19(54.3) | 12(54.5) | 11(84.6) | <0.001 | 1 cycle < 2 cycles, 3–5 cycles *, 1 cycle < over 6 cycles *** |
| Sleep apnea syndrome (%) | 10(13.0) | 17(48.6) | 13(59.1) | 9(69.2) | <0.001 | 1 cycle < 2 cycles, 3–5 cycles, over 6 cycles *** |
| Medications | ||||||
| Biguanide (%) | 16(20.8) | 8(22.9) | 6(27.3) | 6(46.2) | 0.26 | n.s. |
| SGLT2 inhibitor (%) | 16(20.8) | 7(20.0) | 2(9.1) | 5(38.5) | 0.25 | n.s. |
| DPP4 inhibitor (%) | 7(9.1) | 3(8.6) | 2(9.1) | 3(23.1) | 0.45 | n.s. |
| GLP1 receptor agonist (%) | 5(6.5) | 4(11.4) | 3(13.6) | 2(15.4) | 0.45 | n.s. |
| SU (%) | 6(7.8) | 1(2.9) | 0(0) | 1(7.7) | 0.44 | n.s. |
| Insulin (%) | 6(7.8) | 0(0) | 0(0) | 2(15.4) | 0.06 | n.s. |
| Angiotensin receptor blocker (%) | 24(31.2) | 9(25.7) | 7(27.3) | 8(61.5) | 0.14 | n.s. |
| Calcium channel blocker (%) | 22(28.6) | 5(14.3) | 6(27.3) | 6(46.2) | 0.13 | n.s. |
| Statin (%) | 13(16.9) | 5(14.3) | 9(40.9) | 6(46.2) | 0.01 | n.s. |
Disclaimer/Publisher’s Note: The statements, opinions and data contained in all publications are solely those of the individual author(s) and contributor(s) and not of MDPI and/or the editor(s). MDPI and/or the editor(s) disclaim responsibility for any injury to people or property resulting from any ideas, methods, instructions or products referred to in the content. |
© 2024 by the authors. Licensee MDPI, Basel, Switzerland. This article is an open access article distributed under the terms and conditions of the Creative Commons Attribution (CC BY) license (https://creativecommons.org/licenses/by/4.0/).
Share and Cite
Tanaka, Y.; Maeda, N.; Koseki, M.; Maeda, K. Changes in Body Weight in Severely Obese Patients Treated with the Anorexiant Mazindol. J. Clin. Med. 2024, 13, 1860. https://doi.org/10.3390/jcm13071860
Tanaka Y, Maeda N, Koseki M, Maeda K. Changes in Body Weight in Severely Obese Patients Treated with the Anorexiant Mazindol. Journal of Clinical Medicine. 2024; 13(7):1860. https://doi.org/10.3390/jcm13071860
Chicago/Turabian StyleTanaka, Yoshimitsu, Norikazu Maeda, Masahiro Koseki, and Kazuhisa Maeda. 2024. "Changes in Body Weight in Severely Obese Patients Treated with the Anorexiant Mazindol" Journal of Clinical Medicine 13, no. 7: 1860. https://doi.org/10.3390/jcm13071860
APA StyleTanaka, Y., Maeda, N., Koseki, M., & Maeda, K. (2024). Changes in Body Weight in Severely Obese Patients Treated with the Anorexiant Mazindol. Journal of Clinical Medicine, 13(7), 1860. https://doi.org/10.3390/jcm13071860

