Abstract
Atopic dermatitis (AD) is a chronic inflammatory skin disease associated with pruritus, an impaired cutaneous barrier function and a disrupted water holding capacity. Levels of ceramides, which are major components of intercellular lipids and are crucial for their functions, are decreased in the stratum corneum of patients with AD. Treatments to increase ceramide levels are effective for AD care. Synthetic pseudo-ceramide (cetyl PG hydroxyethyl palmitamide (SLE66)), which has a structure developed via molecular designs, and a eucalyptus leaf extract (ELE) enhance ceramide synthesis in the epidermis. The topical application of a skin moisturizer containing SLE66 and ELE improves the barrier functions and water holding capacity of AD skin accompanied by an improvement in skin symptoms. This is a multifaceted review that summarizes the efficacy of the topical application of a skin moisturizer containing SLE66 and ELE on atopic dermatitis.
1. Introduction
Atopic dermatitis (AD) is a chronic inflammatory skin disease associated with pruritus. Different etiologies are involved in the pathogenesis of AD, such as skin hypersensitivity, abnormalities of the epidermis, especially the horny cell layer [1,2,3,4], inflammation [5,6], Th2-dominant immune phenotype reaction, and pruritus [7,8,9]. Thus, there are some medical treatments to reduce these skin symptoms. Controlling inflammation is one of the main treatments. Topical corticosteroids, topical calcineurin inhibitor, and biologics are used as drug treatments. The efficacy and safety of topical corticosteroids have been examined in many clinical studies [10] and used as topical drug therapy for AD for over 60 years [11]. Topical calcineurin inhibitors are strongly recommended as alternatives to topical corticosteroids in AD treatment, particularly when there is concern about steroid-induced adverse effects. The biologics prevent the signaling pathway contributing to Th-2 immune responses in AD.
Topical application of emollients is also important for the treatment of AD [12,13,14]. Cutaneous barrier function is important for maintaining cutaneous conditions and plays significant roles in defending the skin against external stimuli such as allergens [15,16,17]. When the barrier is perturbed, multiple reactions occurred in the skin, such as the induction of cytokine cascade [18] and protease activation [19]. The barrier perturbation also causes a Th2-dominant immunophenotype of AD [20,21,22,23]. The cutaneous barrier function of AD subjects is impaired not only on the lesional skin, but also the non-lesional skin.
Furthermore, water in the stratum corneum (SC) maintains its softness and flexibility. If the water content in SC decreases, SC becomes hard and brittle, resulting in dry skin and skin itching easily occurring with nonspecific stimulation. Water in the epidermis is also required for metabolic processes. In different keratinocytes, enzymes depend on water content for their activity [24,25,26,27].
The permeability barrier localized in the SC consists of corneocytes and intercellular lipids. Corneocytes are composed of a cornified envelope, a keratin-filled interior, and are connected by corneodesmosomes. Filaggrin is a key component of the epidermal differentiation complex of the SC in the epidermal layer of human skin. It plays an important role in the barrier function of the skin and also forms the natural moisturizing factor (NMF) in the SC [28]. The keratohyalin granules in the granular layers are predominantly composed of profilaggrin [29]. As the cornified envelope forms, filaggrin molecules bind to and aggregate the keratin filaments, causing flattening of the cell to form the corneocyte. After aggregation of the keratin filaments, filaggrin is degraded to amino acids by a combination of bleomycin hydrolase, caspase 14 and calpain 1 [30,31]. Loss-of-function mutations in the filaggrin gene (FLG) predispose it to AD [32,33,34,35,36]. This down-regulation of the FLG gene might be related to the defective epidermal function [37,38,39,40,41,42].
The intercellular lipids that form lamellae structures are also crucial for maintaining the cutaneous permeability barrier and water holding function [43,44]. These lipids are organized in a predominant repeat distance of approximately 13 nm [45]. These lipids account for about 10% of the tissue mass of the SC, with a composition of approximately 50% lipid mass ceramides, 25% cholesterol, and 15% free fatty acids, with a small amount of phospholipid [46,47]. The ceramides in the SC are unusual and very diverse, with a high percentage of very-long-chain N-acyl fatty acids. There are around 25 ceramide subclasses identified [48]. Most of these ceramides have a sphingoid base and an acyl chain linked by an amide bond. The acyl chain is designated as non-hydroxy (N), α-hydroxy (A), ω-hydroxy (O), esterfied-hydroxy (EO) or β-hydroxy acyl (B). In human SC, the sphingoid bases of the ceramides are dihydrosphingosine (dS), sphingosine (S), phytosphingosine (P), 6-hydroxy-sphingosine (H) and 4.14 sphingadiene (SD). In addition to the variation in subclasses, their total chain length (sphingoid base + acyl chain) varies substantially between around 32 and 72 carbon atoms. The variation in the length of the sphingoid bases is much less than the variation in the acyl chain length [48,49,50]. The ceramides’ EO subclasses are defined as all subclasses with a very long ω-hydroxy acyl chain ester linked to a fatty acid chain with 18 carbon atoms, the majority of which is a linoleate [51]. The ceramides are essential for cutaneous barrier function, and the decreases in ceramide levels perturb this SC function. The papers about the clinical usefulness of preparations containing natural or synthetic ceramides for water retention and barrier functions were summarized in Kono’s report [52].
In the skin of patients with AD, decreased ceramide levels in the SC are observed, which correlate with cutaneous conditions [53,54,55,56,57,58]. Thus, the barrier perturbation and dry skin of patients with AD may be mainly attributable to a decrease in ceramides in the SC. Topically applied ceramides can improve both the permeability barrier and water holding functions when provided at sufficient concentrations [59]. Topically applied lipids do not only form an occlusive layer on the SC surface but also help to form lamellar structures in intercellular spaces. The efficacies of topically applied ceramides [60,61], pseudo-ceramide [62,63,64,65,66] and precursors of ceramide [67], have been reported for patients with AD, which are summarized in Table 1. The reports were searched for in PubMed with the key words, “atopic dermatitis” and “ceramide” or “pseudoceramimde”. To apply sufficient concentrations, a synthetic pseudo-ceramide, cetyl PG hydroxyethyl palmitamide (SLE66), was developed using molecular designs [68]. Further, it was shown that eucalyptus leaf extract (ELE) can enhance ceramide synthesis in the epidermis, which results in reinforcing SC functions [69]. Most reports shown in Table 1 indicate the efficacy or safety of ceramide or pseudo-ceramides on the skin symptoms of AD only. However, we have evaluated the efficacy of SLE66 and ELE on cutaneous conditions of AD with various points. This is the first review summarizing these studies. Table 2 indicates the points of analysis of SLE66 and ELE in AD.
Table 1.
A list of manuscripts about the efficacy of ceramides or pseudo-ceramides written in English.
Table 2.
The points of efficacy of SLE66 and ELE in AD.
2. Atopic Dermatitis and Ceramides
Ceramides are composed of long-chain fatty acids linked to sphingoid bases by amide bonds. In human skin, ceramides consist of four kinds of sphingoids and three kinds of fatty acids that result in a total of twelve distinct types of ceramides. Furthermore, each type of ceramide has various carbon numbers of fatty acids and ceramides in intercellular lipids that exist as a mixture of these ceramide species (ceramide profile) [104]. It has been reported that there are ceramide deficiencies in AD skin, even in non-lesional SC [53,54,55,56,57,105]. The analysis of ceramides in the SC has revealed that AD skin contains not only lower levels of ceramides but also that the ceramide profile is different from that of healthy skin, which correlates with SC functions [58]. The ceramide deficiency in AD skin is caused by lower levels of ceramides containing non-hydroxy fatty acids and 6-hydroxysphingosines (Cer[NH]), ceramides containing non-hydroxy fatty acids and phytosphingosines (Cer[NP]), ceramides containing ester-linked ω-hydroxy fatty acids and sphingosines (Cer[EOS]), ceramides containing ester-linked ω-hydroxy fatty acids and 6-hydroxysphingosines (Cer[EOH]) and ceramides containing ester-linked ω-hydroxy fatty acids and phytosphingosines (Cer[EOP]). Interestingly, the level of ceramides containing a-hydroxy fatty acids and sphingosines (Cer[AS]) is significantly higher in AD skin. In addition, the larger species of ceramides containing non-hydroxy fatty acids and sphingosines (Cer[NS]); ceramides containing non-hydroxy fatty acids and dihydrosphingosines (Cer[NDS]), Cer[NH], Cer[AS]; and ceramides containing a-hydroxy fatty acids and 6-hydroxysphingosines (Cer[AH]) in AD subjects tended to be expressed at lower levels, whereas the smaller species of Cer[NS], Cer[NDS] and Cer[AS] tended to be expressed at higher levels than in healthy individuals.
De novo synthesis of ceramide starts in the stratum spinosum [106] with the condensation of serine and palmitoyl-CoA to form 3-ketodihydrosphingosine by serine palmitoyl transferase [107] as the first step. The biosynthesized ceramides are converted to glucosylceramides and sphingomyelin and stored in lamellar bodies [108,109]. In the final step of cornification, these lipids are converted to ceramides again by beta-glucocerebrosidase or sphingomyelinase and form lipid lamellae oriented approximately parallel to the corneocytes at the interface between stratum granulosum and SC [110]. And some ceramides are degraded to sphingosine by ceramidase [111]. In AD skin, neither beta-glucocerebrosidase nor ceramidase activities were different from those in healthy skin [112]. However, sphingomyelin deacylase, which hydrolyzes sphingomyelin and glucosylceramide at the acyl site to yield sphingosylphosphorylcholine and glucosylsphingosine, respectively, instead of ceramide, is over-expressed in AD skin resulting in a decrease in ceramides [113,114,115]. And it is revealed that this sphingomyelin deacylase is an acid ceramidase-degrading β-subunit [116].
Ceramides form multi-layered lamellar structures between corneocytes with free fatty acids and cholesterol. Interestingly, cholesterol is also important for cutaneous barrier function [117,118]; however, no decrease in cholesterol was observed in AD skin [55].
Because the decrease in ceramides in the SC may cause a barrier deficiency in AD skin [53,54,55,56,57,58] and topically applied ceramides can improve both the permeability of the barrier and water holding functions when provided at sufficient concentrations [59], topically applied ceramides or precursors of ceramides in subjects with AD improve their skin symptoms [60,61].
3. The Efficacy of SLE66 and ELE on AD Skin Symptoms
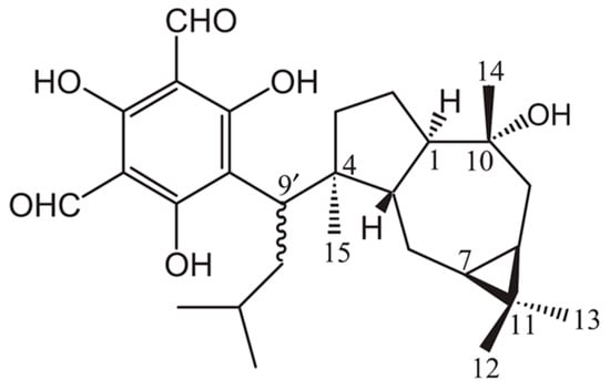
However, using natural ceramides has many risks, such as its high cost and low stability. Thus, pseudo-ceramides have been developed to avoid these problems [66,68,119,120]. Synthetic pseudo-ceramide (cetyl PG hydroxyethyl palmitamide (SLE66)) was developed using molecular designs [68] based on the structure of Cer[NS] (Figure 1). Synthesized pseudo-ceramide derivatives are characterized by structures having both amide bonds and hydroxyl groups as hydrophilic units, as well as two long alkyl chains. From the analysis of alkyl chain properties, it is revealed that the presence of saturated straight alkyl chains whose structural characteristics are very similar to naturally occurring ceramide in the SC and the absence of unsaturation or methyl branching are necessary for forming multi-lipid bilayers in the SC. Analysis with differential scanning calorimetry and X-ray analysis revealed that this pseudo-ceramide constructed stable alpha form has a lamellar structure with fatty acids and cholesterol [121]. The topical application of this compound caused a significant recovery of the water holding capacity accompanied by an improvement in the scaling of dry skin induced by solvent treatment.
Figure 1.
Structure of synthesized pseudo-ceramide (SLE66).
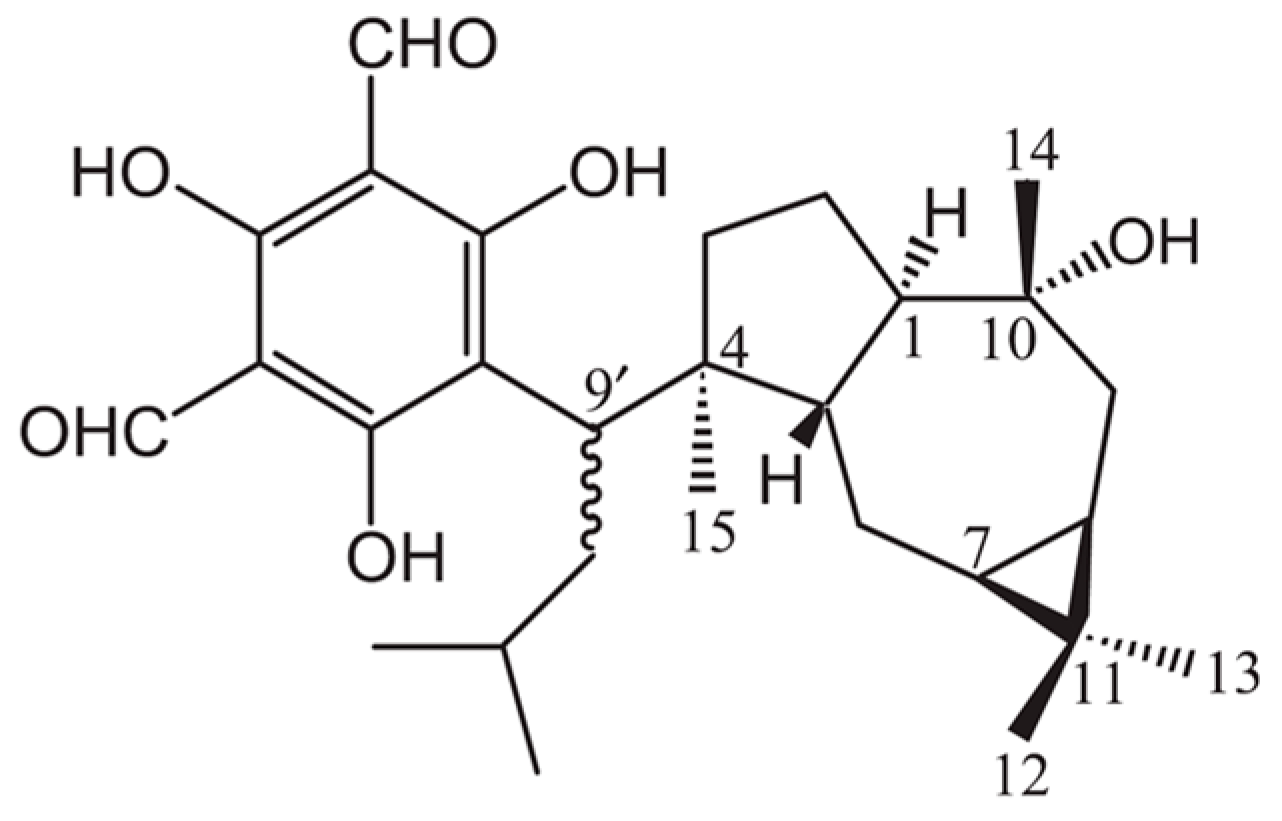
ELE-increased ceramide levels both in cultured human keratinocytes and in human SC. This increase in ceramide levels was caused by topically applying ELE to the SC [69]. It was shown that macrocarpal A is the key component that stimulates ceramide synthesis (Figure 2) [122]. It is revealed that macrocarpal A enhances ceramide synthesis with an increase in the mRNA expression of serine palmitoyltransferase, acid sphingomyelinase, neutral sphingomyelinase, glucosylceramide synthase and glucocerebrosidase in a dose-dependent manner.
Figure 2.
Structure of Macrocarpal A.
The skin moisturizer containing SLE66 and ELE (P-Cer moisturizer) contains more than 3% of SLE and more than 0.9% of ELE [92,123]. Evaluations of the efficacy of P-Cer moisturizer on mild to moderate AD skin indicate that more than 60% of patients with AD significantly improved their skin symptoms accompanied by improvement in their SC functions [62,63,64,65]. Skin dryness, scaling, itching, and follicular papules were significantly improved [64]. These treatments indicated similar efficacies with the topical treatment of urea or heparinoid derivatives [62,63]. Interestingly, the 4 weeks of topically applied P-Cer moisturizer decreased the sensitivity against mite antigen, which was revealed by a patch test [63]. Furthermore, accompanying the improvement of SC functions, erythema and itchiness significantly decreased, which corelated with the improvement in skin dryness [124].
4. The P-Cer Moisturizer Improves Ceramide Profiles in AD Skin
The difference in ceramide levels in the SC of AD skin to healthy skin is not only due to the amount of each ceramide but also the total ceramide profile [58]. However, the topical application of the P-Cer moisturizer changed the AD skin ceramide profile to a healthy skin ceramide profile [92]. Four weeks of treatment with the P-Cer moisturizer significantly reduced the skin symptoms, such as erythema, desquamation, lichenification, excoriation, stinging, burning and itching. Based on this evaluation, as well as the improvement in skin symptoms, the cutaneous barrier and water holding function were significantly improved. Accompanying those improvements, the levels of Cer[NH] and Cer[NP] were increased and the levels of Cer[NS] and Cer[AS] were decreased. Also, the levels of the larger species of Cer[NS] were increased. These ceramide profiles are similar to a healthy skin phenotype. SLE66 penetrated the SC, and this penetrated SLE66 level was significantly correlated with the SC water content and the level and average carbon chain length of Cer[NS] [92]. Thus, the penetrated SLE66 may have contributed to these changes in the ceramide profile from an AD skin type to a healthy skin type. It is reported that the Cer[NP]/Cer[NS] ratio in the SC is correlated to epidermal differentiation [125]. Thus, it is presumable that the disrupted keratinization process resulted from cutaneous inflammation may cause the ceramide profile changes. And P-Cer moisturizer may reduce this cutaneous inflammation with the improvement in the cutaneous barrier and water holding function, switching the ceramide profile to a healthy skin phenotype by normalizing the epidermal keratinization.
5. The P-Cer Moisturizer Improves AD Even in the Summer Season
Patients with AD recognize that treatments with a moisturizer are beneficial for their dry skin during the dry and/or cold winter season. However, in the less dry summer season, many of them pay less attention to skin moisturizing, and many patients with AD stop applying moisturizers in the summer because of the high humidity and excessive sweating. In fact, accompanied by the increase in atmospheric temperature, skin dryness and scaling significantly improved without the application of moisturizers. However, the improvement in skin dryness in the P-Cer moisturizer users was significantly higher than in the non-moisturizer users, even in the summer season [93]. Furthermore, erythema and itchiness significantly improved, and skin hydration on the forearm increased significantly in the P-Cer moisturizer users, but not in the non-moisturizer users. Accompanied by these improvements, the QoL of patients with AD analyzed with the Skindex-16® revealed significant improvements in emotions, functioning and global after 4 weeks of usage. Thus, the high humidity conditions in the summer may decrease skin dryness and scaling but not enough to prevent the skin symptoms of AD, such as erythema and itchiness, and the P-Cer moisturizer is effective for the skin care of patients with AD, even in the summer. Confirmation of the efficacy of P-Cer moisturizer in South and East Asia may be coincident with this result [89,96,126].
6. The P-Cer Moisturizer Improves Sweating
Many patients with AD have a significant decrease in sweat volume [127,128,129,130,131]. Since sweat regulates body temperature, decreased perspiration may cause the retention of body heat and it moisturizes the skin [132], controls the skin pH [133] and contains antimicrobial materials [134,135]. Thus, decreases in perspiration may be a crucial factor that worsens the skin symptoms of patients with AD.
Various factors might induce a decrease in perspiration in patients with AD, for example, the histamine produced in inflammation inhibits sweating [136,137]. Although acetylcholine levels are increased in the skin of patients with AD [138], the expression of acetylcholine receptors is reduced [139]. The decreased number of tight junctions in the sweat glands of patients with AD leads to sweat leakage [140,141]. Furthermore, the occlusion of sweat pores caused by hyper-keratinization in AD skin might also be a crucial factor that prevents sweating [142,143]. Davis and Lawler confirmed that the removal of superficial corneocytes by tape-stripping recovered the perspiration of subjects with AD [144]. Papa and Kligman reported that decreasing the occlusion of sweat pores by improving parakeratosis might be effective for the recovery of perspiration [136]. Thus, improving SC functions may help to improve perspiration. It was reported that ceramides modulate acetylcholine receptor levels [144], and activation of the sphingosine-1-phosphate receptor induces the synthesis of claudin-3 [145,146].
We have evaluated the efficacy of P-Cer moisturizers on the sweating function in adult patients with AD in a double-blind, randomized, controlled left–right comparison clinical trial. A P-Cer moisturizer was topically applied on the cubital fossa of one arm of each patient with AD and a moisturizer without P-Cer was applied topically on the cubital fossa of the other arm of each patient. Following application twice a day for 4 weeks, the skin conditions and sweating ability, measured as the response to acetylcholine stimulation, were evaluated. Both moisturizers (with or without P-Cer) improved the visually evaluated skin symptoms and skin hydration. However, only the P-Cer moisturizer significantly improved the cutaneous barrier function and significantly increased the ceramide level in the SC. Accompanied by these improvements, the sweating volume and a shortened latency time for sweating, an indicator of sweating ability, were observed. Although the moisturizer without P-Cer also improved the visually evaluated skin symptoms and skin hydration, it did not improve the sweating function. Thus, SLE66 and/or the increase in ceramides with ELE may help recover the sweat function of patients with AD [90]. Mizukawa’s group reported that dupilumab restored the sweating disturbance in addition to improving AD symptoms [147]. Our results may indicate that treatment with P-Cer moisturizer has the ability to improve the sweating function of patients with AD as a clinical treatment.
7. Filaggrin Mutations and the P-Cer Moisturizer
Filaggrin is associated with keratin intermediate filaments that work in the cutaneous barrier function, and its metabolites work as NMFs [148,149]. Loss-of-function FLG mutations are genetic risk factors for AD [150]. Decreases in filaggrin function may induce weakening of corneocytes and decrease the level of NMF [151,152]. Although decreases in intercellular lipids and in filaggrin are crucial factors for AD skin symptoms, the lipid metabolism in AD might be independent of the FLG genotype [153], and AD with a normal FLG genotype has aberrant changes in the expression of various enzymes involved in the metabolism and synthesis of lipids. Furthermore, the frequency of FLG mutations was not significantly different between the AD and non-AD groups in a cohort of children from Ishigaki Island [154]. Filaggrin is one of the sources of natural moisturizing factors in the SC, but sweat also supplies moisturizing factors [132,155]. The lactate and potassium in the sweat are essential for skin moisturizing [156]. Thus, in a warm environment such as in Japan, sweating in daily life may help to moisturize skin, even in those with FLG mutations. Thus, skin care for moisturizing and reinforcing the barrier function of skin may be effective to prevent the induction of skin symptoms of AD, even in patients with FLG mutations. The effect of FLG mutations on the efficacy of the P-Cer moisturizer in patients with AD was evaluated at Oita University [87]. Of the 39 patients with AD studied, 7 had at least one of the FLG loss-of-function mutations that have been reported in Japan [157,158,159]. In that evaluation, FLG mutations made no significant difference in maintaining the remission phase between AD exacerbation (−) and AD exacerbation, suggesting that there might be no correlation between the existence of FLG mutations and the efficacy of P-Cer skin care.
8. The Ceramide Profile Affects the Efficacy of the P-Cer Moisturizer to Maintain the Remission Phase
Although FLG mutations may not affect the efficacy of P-Cer skin care, there are some patients with AD who have difficulty in controlling their skin symptoms following topical corticosteroid treatments. Although there were no differences in skin severity, analysis of the SC ceramide profiles revealed that some patients with AD had a ceramide profile that was similar to the healthy skin phenotype and some patients with AD had a ceramide profile with a lower ratio of Cer[NP]/Cer[NS] and a lower carbon number of acyl chains of Cer[NS]. Patients with AD with a heathy ceramide profile could maintain the remission phase; however, patients with AD with an abnormal ceramide profile did not improve, even after topical corticosteroid treatments [87]. Generally, the relief of AD skin symptoms causes an improvement in ceramide profiles. The Cer[NP]/Cer[NS] ratio in the SC might be a potential marker for skin properties and epidermal differentiation, and a low ratio may indicate immature differentiation of the SC [125]. Thus, this evaluation may indicate that abnormal ceramide profiles, which may be caused by perturbed keratinization, had even fewer skin symptoms following medical treatment, and even inflammation might be equally relieved, as there were no significant differences in TARC values. Further, the P-Cer moisturizer was not effective in patients with AD with keratinocytes that are not normalized with respect to their turnover, even with corticosteroid treatments.
9. The P-Cer Moisturizer and Skin Cleansing
Regarding skin care for patients with AD, skin cleansing also affects their skin conditions [160,161]. As mentioned above, the P-Cer moisturizer is effective for AD care, even in higher temperature conditions and also in South and East Asia [96,126]. Concerning the evaluation of the efficacy of P-Cer moisturizer in patients with mild AD in Thailand, this moisturizer indicates a significant improvement both in the SCORing Atopic Dermatitis (SCORAD) index and subjectively using Patient-Oriented Eczema Measure (POEM) scores. In addition to this improvement in skin symptoms by application of the test lotion, the use of a mild body cleanser [162] induced a significantly higher improvement in both evaluations [89]. Effective cleansing and retaining skin moisture are conflicting propositions and have been called the ‘cleansing paradox’. This mild cleanser mainly formulated with sodium laureth sulphate supplemented with sodium laureth carboxylate and lauryl glucoside has a high sebum cleansing ability and also caused decreases in scaling and erythema in subjects with dry skin in a controlled usage study [162].
This result may suggest that P-Cer moisturizer can partly compensate for the effect of body cleansing, but it is not sufficient. Thus, both mild and suitable body cleansing and P-Cer moisturizing may be effective in maintaining inflammation-relieved skin.
10. Summary
Moisturizing skin is quite important for the treatment of AD. There are some reports of many patients with AD experiencing improved skin conditions in the summer compared to the winter. Filaggrin is an important material for cutaneous moisture content, and loss-of-function FLG mutations are genetic risk factors for AD; however, in a cohort study of children from Ishigaki Island, a decrease in filaggrin might have had less of an effect on the condition within a humid environment [154]. In contrast, topical treatment with P-Cer moisturizer is effective even in the summer and in South and East Asia. Also, there is no correlation between the existence of FLG mutations and the efficacy of P-Cer moisturizer.
Ceramides, which are crucial for SC function, are decreased in the SC of patients with AD, resulting in induced cutaneous barrier perturbation and skin dryness. Cutaneous barrier perturbation and skin dryness are major factors of atopic dermatitis. These SC disfunctions induced various skin symptoms such as severe immune responses, itching, inflammation, sweating abnormities, and abnormal epidermal turnover. And this abnormal turnover induces a decrease in ceramide contents and also an abnormal ceramide profile, which has less efficient SC function. Thus, controlling epidermal proliferation and differentiation might be also effective. For example, vitamin D enhances the differentiation of keratinocytes and reinforces the cutaneous barrier function [163]. Vitamin D has the potential to modulate allergies, the epidermal barrier function, immune dysregulation, and bacterial defense [164,165]. Thus, these materials may be useful for AD skin care to increase the barrier and water holding function.
The P-Cer moisturizer that contains synthetic pseudo-ceramide and ELE with sufficient concentrations may compensate this decreased ceramide, resulting in improving the cutaneous barrier and water holding functions of patients with AD. By reinforcing these functions of SC, skin itchiness, erythema, and inflammation are relieved, and epidermal turnover is normalized, resulting in improved sweating function and ceramide metabolism. This ceramide metabolism increases ceramide contents with healthy profiles in the SC. As shown here, P-Cer moisturizer is an excellent and useful material for treating AD skin.
Recently, the efficacy of drugs that contain P-Cer has been confirmed. A cream containing heparinoid and P-Cer forms lamellar structures that result in inhibiting allergen penetration with an improvement in SC functions. This cream is effective in maintaining the AD remission period [91]. The cream with steroids and P-Cer, which also forms a lamellar structure, not only demonstrates anti-inflammatory effects but also significantly improves SC functions [88].
In this review, I summarize the studies which have evaluated the efficacy of P-Cer moisturizer in cutaneous conditions of AD with various points. Of course, the formulations of the moisturizers are very important for these efficacies, but the similar formulation without SLE66 or ELE was less effective in patients with AD. It is presumed that natural ceramides with sufficient concentrations may indicate similar efficacies, but we have not compared the efficacy of P-Cer with that of natural ceramides. Further studies with natural ceramides or pseudo-ceramides may discover more effective treatments for AD.
Funding
This review received no external funding.
Institutional Review Board Statement
Not applicable.
Informed Consent Statement
Not applicable.
Data Availability Statement
Not applicable.
Conflicts of Interest
The author declares no conflicts of interest.
References
- Cabanillas, B.; Novak, N. Atopic dermatitis and filaggrin. Curr. Opin. Immunol. 2016, 42, 1–8. [Google Scholar] [CrossRef]
- Kono, M.; Nomura, T.; Ohguchi, Y.; Mizuno, O.; Suzuki, S.; Tsujiuchi, H.; Hamajima, N.; McLean, W.H.I.; Shimizu, H.; Akiyama, M. Comprehensive screening for a complete set of Japanese- population- specific filaggrin gene mutations. Allergy 2014, 69, 537–540. [Google Scholar] [CrossRef] [PubMed]
- De Benedetto, A.; Rafaels, N.M.; McGirt, L.Y.; Ivanov, A.I.; Georas, S.N.; Cheadle, C.; Berger, A.E.; Zhang, K.; Vidyasagar, S.; Yoshida, T.; et al. Tight junction defects in patients with atopic dermatitis. J. Allergy Clin. Immunol. 2011, 127, 773–786. [Google Scholar] [CrossRef] [PubMed]
- Tokumasu, R.; Yamaga, K.; Yamazaki, Y.; Murota, H.; Suzuki, K.; Tamura, A.; Bando, K.; Furuta, Y.; Katayama, I.; Tsukita, S. Dose-dependent role of claudin-1 in vivo in orchestrating features of atopic dermatitis. Proc. Natl. Acad. Sci. USA 2016, 113, E4061–E4068. [Google Scholar] [CrossRef] [PubMed]
- Fujita, H.; Nograles, K.E.; Kikuchi, T.; Gonzalez, J.; Carucci, J.A.; Krueger, J.G. Human Langerhans cells induce distinct IL-22- producing CD4+ T cells lacking IL-17 production. Proc. Natl. Acad. Sci. USA 2009, 106, 21795–21800. [Google Scholar] [CrossRef]
- Hammad, H.; Lambrecht, B.N. Barrier epithelial cells and the control of type 2 immunity. Immunity 2015, 43, 29–40. [Google Scholar] [CrossRef]
- Papoiu, A.D.; Wang, H.; Coghill, R.C.; Chan, Y.H.; Yosipovitch, G. Contagious itch in humans: A study of visual ‘transmission’ of itch in atopic dermatitis and healthy subjects. Br. J. Dermatol. 2011, 164, 1299–1303. [Google Scholar] [CrossRef]
- Ikoma, A.; Fartasch, M.; Heyer, G.; Miyachi, Y.; Handwerker, H.; Schmelz, M. Painful stimuli evoke itch in patients with chronic pruritus: Central sensitization for itch. Neurology 2004, 27, 212–217. [Google Scholar] [CrossRef]
- Murota, H.; Katayama, I. Evolving understanding on the aetiology of thermally provoked itch. Eur. J. Pain 2016, 20, 47–50. [Google Scholar] [CrossRef]
- Hoare, C.; Li Wan Po, A.; Williams, H. Systematic review of treatments for atopic eczema. Health Technol. Assess. 2000, 4, 1–191. [Google Scholar] [CrossRef]
- Hepburn, D.J.; Aeling, J.L.; Weston, W.L. A reappraisal of topical steroid potency. Pediatr. Dermatol. 1996, 13, 239–245. [Google Scholar] [CrossRef] [PubMed]
- Lodén, M.; Andersson, A.-C.; Andersson, C.; Bergbrant, I.-M.; Frödin, T.; Ohman, H.; Sandström, M.-H.; Särnhult, T.; Voog, E.; Stenberg, B.; et al. A double-blind study comparing the effect of glycerin and urea on dry, eczematous skin in atopic patients. Acta Derm. Venereol. 2002, 82, 45–47. [Google Scholar] [CrossRef] [PubMed]
- Kawashima, M.; Numano, K.; Ishizaki, C. Usefulness of moisturizers for dermato-physiological dysfunction in patients with atopic dermatitis. Jpn. J. Dermatol. 2007, 117, 969–977. (In Japanese) [Google Scholar]
- van Zuuren, E.J.; Fedorowicz, Z.; Christensen, R.; Lavrijsen, A.; Arents, B.W.M. Emollients and moisturisers for eczema. Cochrane Database Sys. Rev. 2017, 2017, CD012119. [Google Scholar]
- Elias, P.M.; Hatano, Y.; Williams, M.L. Basis for the barrier abnormality in atopic dermatitis: Outside-inside-outside pathogenic mechanisms. J. Allergy Clin. Immunol. 2008, 121, 1337–1343. [Google Scholar] [CrossRef] [PubMed]
- Vijayanand, P.; Seumois, G.; Simpson, L.J.; Abdul-Wajid, S.; Baumjohann, D.; Panduro, M.; Huang, X.; Interlandi, J.; Djuretic, I.M.; Brown, D.R.; et al. Interleukin-4 production by follicular helper T cells requires the conserved Il4 enhancer hypersensitivity site V. Immunity 2012, 36, 175–187. [Google Scholar] [CrossRef]
- Kabashima, K. New concept of the pathogenesis of atopic dermatitis: Interplay among the barrier, allergy, and pruritus as a trinity. J. Dermatol. Sci. 2013, 70, 3–11. [Google Scholar] [CrossRef] [PubMed]
- Wood, L.C.; Jackson, S.M.; Elias, P.M.; Grunfeld, C.; Feingold, K.R. Cutaneous barrier perturbation stimulates cytokine production in the epidermis of mice. J. Clin. Investig. 1992, 90, 482–487. [Google Scholar] [CrossRef]
- Hachem, J.P.; Houben, E.; Crumrine, D.; Man, M.Q.; Schurer, N.; Roelandt, T.; Choi, E.H.; Uchida, Y.; Brown, B.E.; Feingold, K.R.; et al. Serine protease signaling of epidermal permeability barrier homeostasis. J. Investig. Dermatol. 2006, 126, 2074–2086. [Google Scholar] [CrossRef]
- Kondo, H.; Ichikawa, Y.; Imokawa, G. Percutaneous sensitization with allergens through barrier-disrupted skin elicits a Th2-dominant cytokine response. Eur. J. Immunol. 1998, 28, 769–779. [Google Scholar] [CrossRef]
- De Benedetto, A.; Kubo, A.; Beck, L.A. Skin barrier disruption: A requirement for allergen sensitization? J. Investig. Dermatol. 2012, 132, 949–963. [Google Scholar] [CrossRef] [PubMed]
- Vestergaard, C.; Yoneyama, H.; Murai, M.; Nakamura, K.; Tamaki, K.; Terashima, Y.; Imai, T.; Yoshie, O.; Irimura, T.; Mizutani, H.; et al. Overproduction of Th2-specific chemokines in NC/Nga mice exhibiting atopic dermatitis-like lesions. J. Clin. Investig. 1999, 104, 1097–1105. [Google Scholar] [CrossRef]
- Leung, D.Y. Pathogenesis of atopic dermatitis. J. Allergy Clin. Immunol. 1999, 104, S99–S108. [Google Scholar] [CrossRef] [PubMed]
- Suzuki, Y.; Nomura, J.; Koyama, J.; Horii, I. The role of proteases in stratum corneum: Involvement in stratum corneum desquamation. Arch. Dermatol. Res. 1994, 286, 249–253. [Google Scholar] [CrossRef] [PubMed]
- Rawlings, A.V.; Harding, C.; Watkinson, A.; Banks, J.; Ackerman, C.; Sabin, R. The effect of glycerol and humidity on desmosome degradation in stratum corneum. Arch. Dermatol. Res. 1995, 287, 457–464. [Google Scholar] [CrossRef] [PubMed]
- Ohman, H.; Vahlquist, A. The pH gradient over the stratum corneum differs in X-linked recessive and autosomal dominant ichthyosis: A clue to the molecular origin of the “acid skin mantle”? J. Investig. Dermatol. 1998, 111, 674–677. [Google Scholar] [CrossRef]
- Lundström, A.; Egelrud, T. Cell shedding from human plantar skin in vitro: Evidence of its dependence on endogenous proteolysis. J. Investig. Dermatol. 1988, 91, 340–343. [Google Scholar] [CrossRef]
- Enomoto, H.; Hirata, K.; Otsuka, K.; Kawai, T.; Takahashi, T.; Hirota, T.; Suzuki, Y.; Tamari, M.; Otsuka, F.; Fujieda, S.; et al. Filaggrin null mutations are associated with atopic dermatitis and elevated levels of IgE in the Japanese population: A family and case-control study. J. Hum. Genet. 2008, 53, 615–621. [Google Scholar] [CrossRef]
- Candi, E.; Schmidt, R.; Melino, G. The cornified envelope: A model of cell death in the skin. Nat. Rev. Mol. Cell. Biol. 2005, 6, 328–340. [Google Scholar] [CrossRef]
- Kim, Y.; Lim, K.-M. Skin barrier dysfunction and filaggrin. Arch. Pharm. Res. 2021, 44, 36–49. [Google Scholar] [CrossRef]
- Barrett, J.G.; Scott, I.R. Pyrrolidone carboxylic acid synthesis in guinea pig epidermis. J. Investig. Dermatol. 1983, 81, 122–124. [Google Scholar] [CrossRef] [PubMed]
- Marenholz, I.; Nickel, R.; Ruschendorf, F.; Schulz, F.; Esparza-Gordillo, J.; Kerscher, T.; Grüber, C.; Lau, S.; Worm, M.; Keil, T.; et al. Filaggrin loss-of-function mutations predispose to phenotypes involved in the atopic march. J. Allergy Clin. Immunol. 2006, 118, 866–871. [Google Scholar] [CrossRef]
- Palmer, C.N.; Irvine, A.D.; Terron-Kwiatkowski, A.; Zhao, Y.; Liao, H.; Lee, S.P.; Goudie, D.R.; Sandilands, A.; Campbell, L.E.; Smith, F.J.D.; et al. Affiliations expand common loss-of-function variants of the epidermal barrier protein filaggrin are a major predisposing factor for atopic dermatitis. Nat. Genet. 2006, 38, 441–446. [Google Scholar] [CrossRef] [PubMed]
- Sandilands, A.; Terron-Kwiatkowski, A.; Hull, P.R.; O’Regan, G.M.; Clayton, T.H.; Watson, R.M.; Carrick, T.; Evans, A.T.; Liao, H.; Zhao, Y.; et al. Comprehensive analysis of the gene encoding filaggrin uncovers prevalent and rare mutations in ichthyosis vulgaris and atopic eczema. Nat. Genet. 2007, 39, 650–654. [Google Scholar] [CrossRef] [PubMed]
- Sandilands, A.; Smith, F.J.; Irvine, A.D.; McLean, W.H. Filaggrin’s fuller figure: A glimpse into the genetic architecture of atopic dermatitis. J. Investig. Dermatol. 2007, 127, 1282–1284. [Google Scholar] [CrossRef] [PubMed]
- Ching, G.; Hon, K.L. Filaggrin null mutations in childhood atopic dermatitis among the Chinese. Int. J. Immunogenet. 2009, 36, 251–254. [Google Scholar] [CrossRef] [PubMed]
- Krakowski, A.C.; Eichenfield, L.F.; Dohil, M.A. Management of atopic dermatitis in the pediatric population. Pediatrics 2008, 122, 812–824. [Google Scholar] [CrossRef]
- Thulin, C.D.; Taylor, J.A.; Walsh, K.A. Microheterogeneity of human filaggrin: Analysis of a complex peptide mixture using mass spectrometry. Protein Sci. 1996, 5, 1157–1164. [Google Scholar] [CrossRef]
- Bikle, D.D.; Chang, S.; Crumrine, D.; Elalieh, H.; Man, M.Q.; Choi, E.H.; Dardenne, O.; Xie, Z.; St Arnaud, R.; Feingold, K.; et al. 25 Hydroxyvitamin D 1 alpha-hydroxylase is required for optimal epidermal differentiation and permeability barrier homeostasis. J. Investig. Dermatol. 2004, 122, 984–992. [Google Scholar] [CrossRef]
- O’Regan, G.M.; Irvine, A.D. The role of filaggrin in the atopic diathesis. Clin. Exp. Allergy 2010, 40, 965–972. [Google Scholar] [CrossRef]
- Rousseau, M.; Bedouet, L.; Lati, E.; Gasser, P.; Le, N.K.; Lopez, E. Restoration of stratum corneum with nacre lipids. Comp. Biochem. Physiol. B Biochem. Mol. Biol. 2006, 145, 1–9. [Google Scholar] [CrossRef] [PubMed]
- Jungersted, J.M.; Scheer, H.; Mempel, M.; Baurecht, H.; Cifuentes, L.; Høgh, J.K.; Hellgren, L.I.; Jemec, G.B.E.; Agner, T.; Weidinger, S. Stratum corneum lipids, skin barrier function and filaggrin mutations in patients with atopic eczema. Allergy 2010, 65, 911–918. [Google Scholar] [CrossRef] [PubMed]
- Elias, P.M. Epidermal lipids, barrier function, and desquamation. J. Investig. Dermatol. 1983, 80, 44s–49s. [Google Scholar] [CrossRef] [PubMed]
- Imokawa, G.; Akasaki, S.; Hattori, M.; Yoshizuka, N. Selective recovery of deranged water-holding properties by stratum corneum lipids. J. Investig. Dermatol. 1986, 87, 758–761. [Google Scholar] [CrossRef] [PubMed]
- Bouwstra, J.A.; Gooris, G.S.; van der Spek, J.A.; Bras, W. Structural investigations of human stratum corneum by small-angle X-ray scattering. J. Investig. Dermatol. 1991, 97, 1005–1012. [Google Scholar] [CrossRef] [PubMed]
- Feingold, K.R. Thematic review series: Skin lipids. The role of epidermal lipids in cutaneous permeability barrier homeostasis. J. Lipid Res. 2007, 48, 2531–2546. [Google Scholar] [CrossRef] [PubMed]
- Gray, G.M.; White, R.J.; Williams, R.H.; Yardley, H.J. Lipid composition of the superficial stratum corneum cells of pig epidermis. Br. J. Dermatol. 1982, 106, 59–63. [Google Scholar] [CrossRef]
- Kawana, M.; Miyamoto, M.; Ohno, Y.; Kihara, A. Comparative profiling and comprehensive quantification of stratum corneum ceramides in humans and mice by LC/MS/MS. J. Lipid Res. 2020, 61, 884–895. [Google Scholar] [CrossRef]
- Masukawa, Y.; Narita, H.; Sato, H.; Naoe, A.; Kondo, N.; Sugai, Y.; Oba, T.; Homma, R.; Ishikawa, J.; Takagi, Y.; et al. Comprehensive quantification of ceramide species in human stratum corneum. J. Lipid Res. 2009, 50, 1708–1719. [Google Scholar] [CrossRef]
- Ohnari, H.; Naru, E.; Sakata, O.; Obata, Y. Distribution of domains formed by lateral packing of intercellular lipid in the stratum corneum. Chem. Pharm. Bull. 2023, 71, 31–40. [Google Scholar] [CrossRef]
- Wertz, P.W.; Miethke, M.C.; Long, S.A.; Strauss, J.S.; Downing, D.T. The composition of the ceramides from human stratum corneum and from comedones. J. Investig. Dermatol. 1985, 84, 410–412. [Google Scholar] [CrossRef] [PubMed]
- Kono, T.; Miyachi, Y.; Kawashima, M. Clinical significance of the water retention and barrier function-improving capabilities of ceramide-containing formulations: A qualitative review. J. Dermatol. 2021, 48, 1807–1816. [Google Scholar] [CrossRef] [PubMed]
- Imokawa, G.; Abe, A.; Jin, K.; Higaki, Y.; Kawashima, M.; Hidano, A. Decreased level of ceramides in stratum corneum of atopic dermatitis: An etiologic factor in atopic dry skin? J. Investig. Dermatol. 1991, 96, 523–526. [Google Scholar] [CrossRef]
- Yamamoto, A.; Serizawa, S.; Ito, M.; Sato, Y. Stratum corneum lipid abnormalities in atopic dermatitis. Arch. Dermatol. Res. 1991, 283, 219–223. [Google Scholar] [CrossRef] [PubMed]
- Di Nardo, A.; Wertz, P.; Giannetti, A.; Seidenari, S. Ceramide and cholesterol composition of the skin of patients with atopic dermatitis. Acta Dermatol. Venereol. 1998, 78, 27–30. [Google Scholar] [CrossRef] [PubMed]
- Bleck, O.; Abeck, D.; Ring, J.; Hoppe, U.; Vietzke, J.P.; Wolber, R.; Brandt, O.; Schreiner, V. Two ceramide subfractions detectable in Cer(AS) position by HPTLC in skin surface lipids of non-lesional skin of atopic eczema. J. Investig. Dermatol. 1999, 113, 894–900. [Google Scholar] [CrossRef] [PubMed]
- Macheleidt, O.; Kaiser, H.W.; Sandhoff, K. Deficiency of epidermal protein-bound omega-hydroxyceramides in atopic dermatitis. J. Investig. Dermatol. 2002, 119, 166–173. [Google Scholar] [CrossRef]
- Ishikawa, J.; Narita, H.; Kondo, N.; Hotta, M.; Takagi, Y.; Masukawa, Y.; Kitahara, T.; Takema, Y.; Koyano, S.; Yamazaki, S.; et al. Changes in the ceramide profile of atopic dermatitis patients. J. Investig. Dermatol. 2010, 130, 2511–2514. [Google Scholar] [CrossRef]
- Danby, S.G.; Brown, K.; Higgs-Bayliss, T.; Chittock, J.; Albenali, L.; Cork, M.J. The effect of an emollient containing urea, ceramide NP, and lactate on skin barrier structure and function in older people with dry skin. Skin Pharmacol. Physiol. 2016, 29, 135–147. [Google Scholar] [CrossRef]
- Berardesca, E.; Barbareschi, M.; Veraldi, S.; Pimpinelli, N. Evaluation of efficacy of a skin lipid mixture in patients with irritant contact dermatitis, allergic contact dermatitis or atopic dermatitis: A multicenter study. Contact Dermat. 2001, 45, 280–285. [Google Scholar] [CrossRef]
- Chamlin, S.L.; Frieden, I.J.; Fowler, A.; Williams, M.; Kao, J.; Sheu, M.; Elias, P.M. Ceramide-dominant, barrier-repair lipids improve childhood atopic dermatitis. Arch. Dermatol. 2001, 137, 1110–1112. [Google Scholar] [PubMed]
- Yamanaka, M.; Ishikawa, O.; Takahashi, A.; Sato, H.; Imokawa, G. Clinical evaluation of Curel medicated cream in patients with atopic dermatitis. Skin Res. 2001, 43, 278–285. (In Japanese) [Google Scholar]
- Mizutani, H.; Takahashi, M.; Shimizu, M.; Kariya, K.; Sato, H.; Imokowa, G. Usage of pseudoceramide cream in atopic dry skin in comparison with 10% urea cream. Nishinihon J. Dermatol. 2001, 63, 457–461. (In Japanese) [Google Scholar] [CrossRef]
- Hata, M.; Tokura, Y.; Takigawa, M.; Tamura, Y.; Imokawa, G. Efficacy of using pseudoceramide-containing cream for the treatment of atopic dry skin in comparison with urea cream. Nishinihon J. Dermatol. 2002, 64, 606–611. (In Japanese) [Google Scholar] [CrossRef]
- Matsuki, H.; Kiyokane, K.; Matsuki, T.; Sato, S.; Imokawa, G. Reevaluation of the importance of barrier dysfunction in the nonlesional dry skin of atopic dermatitis patients through the use of two barrier creams. Exog. Dermatol. 2004, 3, 293–302. [Google Scholar] [CrossRef]
- Uchida, Y.; Holleran, W.M.; Elias, P.M. On the effects of topical synthetic pseudoceramides: Comparison of possible keratinocyte toxicities provoked by the pseudoceramides, PC104 and BIO391, and natural ceramides. J. Dermatol. Sci. 2008, 5, 37–43. [Google Scholar] [CrossRef] [PubMed]
- Simpson, E.; Bohling, A.; Bielfeldt, S.; Bosc, C.; Kerrouche, N. Improvement of skin barrier function in atopic dermatitis patients with a new moisturizer containing a ceramide precursor. J. Dermatol. Treat. 2013, 24, 122–125. [Google Scholar] [CrossRef]
- Imokawa, G.; Akasaki, S.; Kawamata, A.; Yano, S.; Takaishi, N. Water retaining function in the stratum corneum and its recovery properties by synthetic pseudoceramides. J. Soc. Cosmet. Chem. 1989, 40, 273–286. [Google Scholar]
- Ishikawa, J.; Shimotoyodome, Y.; Chen, S.; Ohkubo, K.; Takagi, Y.; Fujimura, T.; Kitahara, T.; Takema, Y. Eucalyptus increases ceramide levels in keratinocytes and improves stratum corneum function. Int. J. Cosmet. Sci. 2012, 34, 17–22. [Google Scholar] [CrossRef]
- Spada, F.; Harrison, I.P.; Barnes, T.M.; Greive, K.A.; Daniels, D.; Townley, J.P.; Mostafa, N.; Fong, A.T.; Tong, P.L.; Shumack, S. A daily regimen of a ceramide-dominant moisturizing cream and cleanser restores the skin permeability barrier in adults with moderate eczema: A randomized trial. Dermatol. Ther. 2021, 34, e14970. [Google Scholar] [CrossRef]
- Zirwas, M.J.; Barkovic, S. Anti-pruritic efficacy of itch relief lotion and cream in patients with atopic history: Comparison with hydrocortisone cream. J. Drugs Dermatol. 2017, 16, 243–247. [Google Scholar] [PubMed]
- Koppes, S.A.; Charles, F.; Lammers, L.; Frings-Dresen, M.; Kezic, S.; Rustemeyer, T. Efficacy of a cream containing ceramides and magnesium in the treatment of mild to moderate atopic dermatitis: A randomized, double-blind, emollient- and hydrocortisone-controlled trial. Acta Derm. Venereol. 2016, 96, 948–953. [Google Scholar] [CrossRef] [PubMed]
- Somjorn, P.; Kamanamool, N.; Kanokrungsee, S.; Rojhirunsakool, S.; Udompataikul, M. A cream containing linoleic acid, 5% dexpanthenol and ceramide in the treatment of atopic dermatitis. Asian Pac. J. Allergy Immunol. 2021. in print. [Google Scholar] [CrossRef]
- Kircik, L.H.; Del Rosso, J.Q. Nonsteroidal treatment of atopic dermatitis in pediatric patients with a ceramide-dominant topical emulsion formulated with an optimized ratio of physiological lipids. J. Clin. Aesthet. Dermatol. 2011, 4, 25–31. [Google Scholar]
- Kircik, L.H.; Del Rosso, J.Q.; Aversa, D. Evaluating clinical use of a ceramide-dominant, physiologic lipid-based topical emulsion for atopic dermatitis. J. Clin. Aesthet. Dermatol. 2011, 4, 34–40. [Google Scholar] [PubMed]
- Draelos, Z.D. A clinical evaluation of the comparable efficacy of hyaluronic acid-based foam and ceramide-containing emulsion cream in the treatment of mild-to-moderate atopic dermatitis. J. Cosmet. Dermatol. 2011, 10, 185–188. [Google Scholar] [CrossRef] [PubMed]
- Miller, D.W.; Koch, S.B.; Yentzer, B.A.; Clark, A.R.; O’Neill, J.R.; Fountain, J.; Weber, T.M.; Fleischer, A.B. An over-the-counter moisturizer is as clinically effective as, and more cost-effective than, prescription barrier creams in the treatment of children with mild-to-moderate atopic dermatitis: A randomized, controlled trial. J. Drugs Dermatol. 2011, 10, 531–537. [Google Scholar]
- Sugarman, J.L.; Parish, L.C. Efficacy of a lipid-based barrier repair formulation in moderate-to-severe pediatric atopic dermatitis. J. Drugs Dermatol. 2009, 8, 1106–1111. [Google Scholar]
- Puviani, M.; Agostinis, F.; Milani, M. Barrier repair therapy for facial atopic eczema with a non-steroidal emollient cream containing rhamnosoft, ceramides and iso-leucine. A six-case report series. Minerva Pediatr. 2014, 66, 307–311. [Google Scholar]
- Park, K.Y.; Kim, D.H.; Jeong, M.S.; Li, K.; Seo, S.J. Changes of antimicrobial peptides and transepidermal water loss after topical application of tacrolimus and ceramide-dominant emollient in patients with atopic dermatitis. J. Korean Med. Sci. 2010, 25, 766–771. [Google Scholar] [CrossRef][Green Version]
- Chamlin, S.L.; Kao, J.; Frieden, I.J.; Sheu, M.Y.; Fowler, A.J.; Fluhr, J.W.; Williams, M.L.; Elias, P.M. Ceramide-dominant barrier repair lipids alleviate childhood atopic dermatitis: Changes in barrier function provide a sensitive indicator of disease activity. J. Am. Acad. Dermatol. 2002, 47, 198–208. [Google Scholar] [CrossRef] [PubMed]
- Gupta, S.; Ramam, M.; Sharma, V.K.; Sethuraman, G.; Pandey, R.M.; Bhari, N. Evaluation of a paraffin-based moisturizer compared to a ceramide-based moisturizer in children with atopic dermatitis: A double-blind, randomized controlled trial. Pediatr. Dermatol. 2023, 40, 627–632. [Google Scholar] [CrossRef]
- Tey, H.L.; Tay, E.Y.; Tan, W.D. Safety and antipruritic efficacy of a menthol-containing moisturizing cream. Skinmed 2017, 15, 437–439. [Google Scholar] [PubMed]
- Yang, Q.; Liu, M.; Li, X.; Zheng, J. The benefit of a ceramide-linoleic acid-containing moisturizer as an adjunctive therapy for a set of xerotic dermatoses. Dermatol. Ther. 2019, 32, e13017. [Google Scholar] [CrossRef] [PubMed]
- Lynde, C.W.; Andriessen, A. A cohort study on a ceramide-containing cleanser and moisturizer used for atopic dermatitis. Cutis 2014, 93, 207–213. [Google Scholar] [PubMed]
- Takada, M.; Ishikawa, Y.; Numano, K.; Hirano, S.; Imokawa, G. A nano-emulsion containing ceramide-like lipo-amino acid cholesteryl derivatives improves skin symptoms in patients with atopic dermatitis by ameliorating the water-holding function. Int. J. Mol. Sci. 2022, 23, 13362. [Google Scholar] [CrossRef] [PubMed]
- Sho, Y.; Sakai, T.; Sato, T.; Sonezaki, M.; Taima, H.; Taguchi, H.; Kaizu, K.; Nishizaka, T.; Takagi, Y.; Hatano, Y. Stratum corneum ceramide profiles provide reliable indicators of remission and potential flares in atopic dermatitis. J. Investig. Dermatol. 2022, 142, 3184–3191. [Google Scholar] [CrossRef]
- Okoshi, K.; Kinugasa, Y.; Ito, S.; Kume, T.; Seki, T.; Nishizaka, T.; Okada, J.; Kawada, H.; Nagasawa, A.; Iijima, M.; et al. Efficacy of pseudo-ceramide-containing steroid lamellar cream in patients with mild to moderate atopic dermatitis: A randomized, double-blind study. Dermatol. Ther. 2022, 12, 1823–1834. [Google Scholar] [CrossRef]
- Nojiri, H.; Palungwachira, P.; Poommarapan, K.; Pawasuttikul, N.; Lerttibat, K.; Kunathathorn, W.; Kaizu, K.; Takagi, Y.; Nararatwanchai, T. Washing with a body cleanser and topical application of a moisturizer containing a pseudo-ceramide and a eucalyptus extract are effective to improve mild atopic dermatitis in Thailand. J. Cosmet. Dermatol. 2022, 21, 6443–6445. [Google Scholar] [CrossRef]
- Shindo, S.; Murota, H.; Seki, T.; Mori, K.; Kaizu, K.; Nishizaka, T.; Takagi, Y.; Katayama, I. Effects of a moisturizer containing pseudo-ceramide and a eucalyptus extract on sweating function in adult atopic dermatitis: A double-blind, randomized, controlled left-right comparison clinical trial. J. Cosmet. Dermatol. 2022, 21, 4503–4509. [Google Scholar] [CrossRef]
- Matsuoka, M.; Okoshi, K.; Ito, S.; Kume, T.; Seki, T.; Nishizaka, T.; Okada, J.; Nagasawa, A.; Iijima, M.; Abe, M.; et al. efficacy of heparinoid cream containing pseudo-ceramide for remission of atopic dermatitis. Clin. Cosmet. Investig. Dermatol. 2021, 14, 1839–1847. [Google Scholar] [CrossRef] [PubMed]
- Ishida, K.; Takahashi, A.; Bito, K.; Draelos, Z.; Imokawa, G. Treatment with synthetic pseudoceramide improves atopic skin, switching the ceramide profile to a healthy skin phenotype. J. Investig. Dermatol. 2020, 140, 1762–1770. [Google Scholar] [CrossRef]
- Mori, K.; Seki, T.; Kaizu, K.; Takagi, Y.; Miyaki, M.; Ishizaki, C.; Katayama, I. Efficacy of a moisturizer containing a pseudo-ceramide and a eucalyptus extract for Japanese patients with mild atopic dermatitis in the summer. J. Cosmet. Dermatol. 2019, 18, 850–856. [Google Scholar] [CrossRef] [PubMed]
- Hon, K.L.; Wang, S.S.; Lau, Z.; Lee, H.C.; Lee, K.K.C.; Leung, T.F.; Luk, N.M. Pseudoceramide for childhood eczema: Does it work? Hong Kong Med. J. 2011, 17, 132–136. [Google Scholar] [PubMed]
- Hon, K.L.; Kung, J.S.C.; Tsang, K.Y.C.; Yu, J.W.S.; Lee, V.W.; Leung, T.F. Testing the actions of a multi-action emollient: Patient’s acceptability determines product efficacy. Curr. Pediatr. Rev. 2018, 14, 110–116. [Google Scholar] [CrossRef]
- Seghers, A.C.; Cai, S.C.; Ho, M.S.; Giam, Y.C.; Tan, L.; Grönhagen, C.M.; Tang, M.B. Evaluation of a pseudoceramide moisturizer in patients with mild-to-moderate atopic dermatitis. Dermatol. Ther. 2014, 4, 83–92. [Google Scholar] [CrossRef] [PubMed][Green Version]
- Ma, L.; Li, P.; Tang, J.; Guo, Y.; Shen, C.; Chang, J.; Kerrouche, N. Prolonging time to flare in pediatric atopic dermatitis: A randomized, investigator-blinded, controlled, multicenter clinical study of a ceramide-containing moisturizer. Adv. Ther. 2017, 34, 2601–2611. [Google Scholar] [CrossRef]
- Ho, V.P.Y.; Ma, E.; Liew, H.M.; Ng, M.S.Y.; Koh, M.J.A. Comparing the potential for irritation of a ceramide-based moisturizer with a urea-based moisturizer for pediatric atopic dermatitis. Dermatol. Ther. 2020, 10, 807–813. [Google Scholar] [CrossRef]
- Koh, M.J.-A.; Giam, Y.C.; Liew, H.M.; Foong, A.Y.-W.; Chong, J.H.; Wong, S.M.Y.; Tang, M.B.Y.; Ho, M.S.L.; Tan, S.; Mason, J.M.; et al. Comparison of the simple patient-centric atopic dermatitis scoring system PEST with SCORAD in young children using a ceramide dominant therapeutic moisturizer. Dermatol. Ther. 2017, 7, 383–393. [Google Scholar] [CrossRef]
- Chang, A.L.S.; Chen, S.C.; Osterberg, L.; Brandt, S.; von Grote, E.C.; Meckfessel, M.H. A daily skincare regimen with a unique ceramide and filaggrin formulation rapidly improves chronic xerosis, pruritus, and quality of life in older adults. Geriatr. Nurs. 2018, 39, 24–28. [Google Scholar] [CrossRef]
- Draelos, Z.D.; Raymond, I. The efficacy of a ceramide-based cream in mild-to-moderate atopic dermatitis. J. Clin. Aesthet. Dermatol. 2018, 11, 30–32. [Google Scholar] [PubMed]
- Na, J.-I.; Hwang, J.-S.; Park, H.-J.; Kim, D.-H.; Park, W.-S.; Youn, S.-W.; Huh, C.-H.; Park, K.-C. A new moisturizer containing physiologic lipid granules alleviates atopic dermatitis. J. Dermatolog. Treat. 2010, 21, 23–27. [Google Scholar] [CrossRef] [PubMed]
- Hon, K.L.; Pong, N.H.; Wang, S.S.; Lee, V.W.; Luk, N.M.; Leung, T.F. Acceptability and efficacy of an emollient containing ceramide-precursor lipids and moisturizing factors for atopic dermatitis in pediatric patients. Drugs R D 2013, 13, 37–42. [Google Scholar] [CrossRef] [PubMed]
- Masukawa, Y.; Narita, H.; Shimizu, E.; Kondo, N.; Sugai, Y.; Oba, T.; Homma, R.; Ishikawa, J.; Takagi, Y.; Kitahara, T.; et al. Characterization of overall ceramide species in human stratum corneum. J. Lipid Res. 2008, 49, 1466–1476. [Google Scholar] [CrossRef] [PubMed]
- Melnik, B.; Hollmann, J.; Hofmann, U.; Yuh, M.S.; Plewig, G. Lipid composition of outer stratum corneum and nails in atopic and control subjects. Arch. Dermatol. Res. 1990, 282, 549–551. [Google Scholar] [CrossRef] [PubMed]
- Holleran, W.M.; Takagi, Y.; Uchida, Y. Epidermal sphingolipids: Metabolism, function, and roles in skin disorders. FEBS Lett. 2006, 580, 5456–5466. [Google Scholar] [CrossRef] [PubMed]
- Holleran, W.M.; Feingold, K.R.; Man, M.Q.; Gao, W.N.; Lee, J.M.; Elias, P.M. Regulation of epidermal sphingolipid synthesis by permeability barrier function. J. Lipid Res. 1991, 32, 1151–1158. [Google Scholar] [CrossRef]
- Holleran, W.M.; Takagi, Y.; Menon, G.K.; Legler, G.; Feingold, K.R.; Elias, P.M. Processing of epidermal glucosylceramides is required for optimal mammalian cutaneous permeability barrier function. J. Clin. Investig. 1993, 91, 1656–1664. [Google Scholar] [CrossRef]
- Wertz, P.W.; Downing, D.T.; Freinkel, R.K.; Traczyk, T.N. Sphingolipids of the stratum corneum and lamellar granules of fetal rat epidermis. J. Investig. Dermatol. 1984, 83, 193–195. [Google Scholar] [CrossRef]
- Madison, K.C.; Swartzendruber, D.C.; Wertz, P.W.; Downing, D.T. Presence of intact intercellular lipid lamellae in the upper layers of the stratum corneum. J. Investig. Dermatol. 1987, 88, 714–718. [Google Scholar] [CrossRef]
- Yada, Y.; Higuchi, K.; Imokawa, G. Purification and biochemical characterization of mem-brane-bound epidermal ceramidases from guinea pig skin. J. Biol. Chem. 1995, 270, 12677–12684. [Google Scholar] [CrossRef] [PubMed]
- Jin, K.; Higaki, Y.; Takagi, Y.; Higuchi, K.; Yada, Y.; Kawashima, M.; Imokawa, G. Analysis of beta-glucocerebrosidase and ceramidase activities in atopic and aged dry skin. Acta Derm. Venereol. 1994, 74, 337–340. [Google Scholar] [CrossRef]
- Murata, Y.; Ogata, J.; Higaki, Y.; Kawashima, M.; Yada, Y.; Higuchi, K.; Tsuchiya, T.; Kawainami, S.; Imokawa, G. Abnormal expression of sphingomyelin acylase in atopic dermatitis: An etiologic factor for ceramide deficiency? J. Investig. Dermatol. 1996, 106, 1242–1249. [Google Scholar] [CrossRef]
- Higuchi, K.; Hara, J.; Okamoto, R.; Kawashima, M.; Imokawa, G. The skin of atopic dermatitis patients contains a novel enzyme, glucosylceramide sphingomyelin deacylase, which cleaves the N-acyl linkage of sphingomyelin and glucosylceramide. Biochem. J. 2000, 350, 747–756. [Google Scholar] [CrossRef] [PubMed]
- Imokawa, G. Cutting Edge of the Pathogenesis of Atopic Dermatitis: Sphingomyelin deacylase, the enzyme involved in its ceramide deficiency, plays a pivotal role. Int. J. Mol. Sci. 2021, 22, 1613. [Google Scholar] [CrossRef] [PubMed]
- Teranishi, Y.; Kuwahara, H.; Ueda, M.; Takemura, T.; Kusumoto, M.; Nakamura, K.; Sakai, J.; Kimura, T.; Furutani, Y.; Kawashima, M.; et al. Sphingomyelin deacylase, the enzyme involved in the pathogenesis of atopic dermatitis, is identical to the β-subunit of acid ceramidase. Int. J. Mol. Sci. 2020, 21, 8789. [Google Scholar] [CrossRef]
- Proksch, E.; Feingold, K.R.; Elias, P.M. Epidermal HMG CoA reductase activity in essential fatty acid deficiency: Barrier requirements rather than eicosanoid generation regulate cholesterol synthesis. J. Investig. Dermatol. 1992, 99, 216–220. [Google Scholar] [CrossRef]
- Jackson, S.M.; Wood, L.C.; Lauer, S.; Taylor, J.M.; Cooper, A.D.; Elias, P.M.; Feingold, K.R. Effect of cutaneous permeability barrier disruption on HMG-CoA reductase, LDL receptor, and apolipoprotein E mRNA levels in the epidermis of hairless mice. J. Lipid Res. 1992, 33, 1307–1314. [Google Scholar] [CrossRef]
- Park, B.D.; Youm, J.K.; Jeong, S.K.; Choi, E.H.; Ahn, S.K.; Lee, S.H. The characterization of molecular organization of multilamellar emulsions containing pseudoceramide and type III synthetic ceramide. J. Investig. Dermatol. 2003, 121, 794–801. [Google Scholar] [CrossRef]
- Kim, D.-H.; Park, W.R.; Kim, J.H.; Cho, E.C.; An, E.J.; Kim, J.-W.; Oh, S.-G. Fabrication of pseudo-ceramide-based lipid microparticles for recovery of skin barrier function. Colloids Surf. B Biointerfaces 2012, 94, 236–241. [Google Scholar] [CrossRef]
- Mizushima, H.; Fukasawa, J.; Suzuki, T. Thermotropic behavior of stratum corneum lipids containing a pseudo-ceramide. Lipids 1995, 30, 327–332. [Google Scholar] [CrossRef] [PubMed]
- Shibuya, Y.; Kusuoku, H.; Murphy, G.K. Isolation and structure determination of new macrocarpals from a herbal medicine Eucalyptus globulus leaf. Nat. Med. 2001, 55, 28–31. [Google Scholar]
- Nojiri, H.; Ishida, K.; Yao, X.; Liu, W.; Imokawa, G. Amelioration of lactic acid sensations in sensitive skin by stimulating the barrier function and improving the ceramide profile. Arch. Dermatol. Res. 2018, 310, 495–504. [Google Scholar] [CrossRef] [PubMed]
- Taima, H.; Kikuchi, M.; Takagi, Y.; Kaizu, K.; Numano, N.; Kikuchi, K. Clinical efficacy of a lamellar-in-oil cream containing pseudo-ceramide to treat atopic dermatitis. Aesthet. Dermatol. 2020, 30, 261–270. (In Japanese) [Google Scholar]
- Yokose, U.; Ishikawa, J.; Morokuma, Y.; Naoe, A.; Inoue, Y.; Yasuda, Y.; Tsujimura, H.; Fujimura, T.; Murase, T.; Hatamochi, A. The ceramide [NP]/[NS] ratio in the stratum corneum is a potential marker for skin properties and epidermal differentiation. BMC Dermatol. 2020, 20, 6. [Google Scholar] [CrossRef] [PubMed]
- Luk, D.; Hon, K.L.E.; Dizon, M.V.C.; Leong, K.-F.; Tay, Y.-K.; Koh, M.J.-A.; Chandran, N.S.; Wananukul, S.; Chatproedprai, S.; Luger, T. Practical recommendations for the topical treatment of atopic dermatitis in South and East Asia. Dermatol. Ther. 2021, 11, 275–291. [Google Scholar] [CrossRef]
- Fujita, M.; Aoki, T. Sweat suppression in patients with atopic dermatitis and infantile xerotic eczema. Nihon Hifuka Gakkai Zasshi 1975, 85, 291–294. (In Japanese) [Google Scholar]
- Kihara, M.; Takahashi, M.; Yamada, H.; Morigami, C.; Tezuka, T. Quantitative sudomotor axon reflex test - with special reference to atopic dermatitis. Ski. Res. 1998, 40, 231–235. (In Japanese) [Google Scholar]
- Eishi, K.; Lee, J.-B.; Bae, S.-J.; Takenaka, M.; Katayama, I. Impaired sweating function in adult atopic dermatitis: Results of the quantitative sudomotor axon reflex test. Br. J. Dermatol. 2002, 147, 683–688. [Google Scholar] [CrossRef]
- Kijima, A.; Murota, H.; Matsui, S.; Takahashi, A.; Kimura, A.; Kitaba, S.; Lee, S.-B.; Katayama, I. Abnormal axon reflex-mediated sweating correlates with high state of anxiety in atopic dermatitis. Allergol. Int. 2012, 61, 469–473. [Google Scholar] [CrossRef]
- Takahashi, A.; Murota, H.; Matsui, S.; Kijima, A.; Kitaba, S.; Lee, J.-B.; Katayama, I. Decreased sudomotor function is involved in the formation of atopic eczema in the cubital fossa. Allergol. Int. 2013, 62, 473–478. [Google Scholar] [CrossRef] [PubMed]
- Shiohara, T.; Sato, Y.; Komatsu, T.; Ushigome, Y.; Mizukawa, Y. Sweat as an efficient natural moisturizer. Curr. Probl. Dermatol. 2016, 51, 30–41. [Google Scholar] [PubMed]
- Schmid-Wendtner, M.H.; Korting, H.C. The pH of the skin surface and its impact on the barrier function. Skin Pharmacol. Physiol. 2006, 19, 296–302. [Google Scholar] [CrossRef] [PubMed]
- Rieg, S.; Steffen, H.; Seeber, S.; Humeny, A.; Kalbacher, H.; Dietz, K.; Garbe, C.; Schittek, B. Deficiency of dermcidin-derived antimicrobial peptides in sweat of patients with atopic dermatitis correlates with an impaired innate defense of human skin in vivo. J. Immunol. 2005, 174, 8003–8010. [Google Scholar] [CrossRef] [PubMed]
- Schittek, B.; Paulmann, M.; Senyürek, I.; Steffen, S. The role of antimicrobial peptides in human skin and in skin infectious diseases. Infect Disord. Drug. Targets 2008, 8, 135–143. [Google Scholar] [CrossRef] [PubMed]
- Matsui, S.; Murota, H.; Takahashi, A.; Yang, L.; Lee, J.B.; Omiya, K.; Ohmi, M.; Kikuta, J.; Ishii, M.; Katayama, I. Dynamic analysis of histamine-mediated attenuation of acetylcholine- induced sweating via GSK3β activation. J. Investig. Dermatol. 2014, 134, 326–334. [Google Scholar] [CrossRef] [PubMed]
- Matsui, S.; Murota, H.; Ono, E.; Kikuta, J.; Ishii, M.; Katayama, I. Olopatadine hydrochloride restores histamine- induced impaired sweating. J. Dermatol. Sci. 2014, 74, 260–261. [Google Scholar] [CrossRef]
- Wessler, I.; Reinheimer, T.; Kilbinger, H.; Bittinger, F.; Kirkpatrick, C.J.; Saloga, J.; Knop, J. Increased acetylcholine levels in skin biopsies of patients with atopic dermatitis. Life Sci. 2003, 72, 2169–2172. [Google Scholar] [CrossRef]
- Kindt, F.; Wiegand, S.; Niemeier, V.; Kupfer, J.; Löser, C.; Nilles, M.; Kurzen, H.; Kummer, W.; Gieler, U.; Haberberger, R.V. Reduced expression of nicotinic alpha subunits 3, 7, 9 and 10 in lesional and nonlesional atopic dermatitis skin but enhanced expression of alpha subunits 3 and 5 in mast cells. Br. J. Dermatol. 2008, 159, 847–857. [Google Scholar] [CrossRef]
- Murota, H.; Yamaga, K.; Ono, E.; Katayama, I. Sweat in the pathogenesis of atopic dermatitis. Allergol. Int. 2018, 67, 455–459. [Google Scholar] [CrossRef]
- Yamaga, K.; Murota, H.; Tamura, A.; Miyata, M.; Ohmi, M.; Kikuta, J.; Ishii, M.; Tsukita, S.; Katayama, I. Claudin-3 loss causes leakage of sweat from the sweat gland to contribute to the pathogenesis of atopic dermatitis. J. Investig. Dermatol. 2018, 138, 1279–1287. [Google Scholar] [CrossRef] [PubMed]
- Davis, M.J.; Lawler, J.C. Observations on the delayed blanch phenomenon in atopic subjects. J. Investig. Dermatol. 1958, 30, 127–132. [Google Scholar] [CrossRef] [PubMed]
- Papa, C.M.; Kligman, A.M. Mechanisms of eccrine anidrosis. I. High level blockade. J. Investig. Dermatol. 1966, 47, 1–9. [Google Scholar] [CrossRef] [PubMed]
- Gallegos, C.E.; Pediconi, M.F.; Barrantes, F.J. Ceramides modulate cell-surface acetylcholine receptor levels. Biochim. Biophys. Acta 2008, 1778, 917–930. [Google Scholar] [CrossRef] [PubMed]
- Zuo, S.; Ge, H.; Li, Q.; Zhang, X.; Hu, R.; Hu, S.; Liu, X.; Zhang, J.H.; Chen, Y.; Feng, H. Artesunate protected blood-brain barrier via sphingosine 1 phosphate receptor 1/phosphatidylinositol 3 kinase pathway after subarachnoid hemorrhage in rats. Mol. Neurobiol. 2017, 54, 1213–1228. [Google Scholar] [CrossRef] [PubMed]
- Rolland, W.B.; Krafft, P.R.; Lekic, T.; Klebe, D.; LeGrand, J.; Weldon, A.J.; Xu, L.; Zhang, J.H. Fingolimod confers neuro-protection through activation of Rac1 after experimental germinal matrix hemorrhage in rat pups. J. Neurochem. 2017, 140, 776–786. [Google Scholar] [CrossRef] [PubMed]
- Mizukawa, Y.; Sato, Y.; Ohyama, M.; Shiohara, T. Restoration of sweating disturbance in atopic dermatitis treated with dupilumab. J. Dermatol. Sci. 2020, 100, 79–81. [Google Scholar] [CrossRef]
- Rawlings, A.V.; Harding, C.R. Moisturization and skin barrier function. Dermatol. Ther. 2004, 17, 43s–48s. [Google Scholar] [CrossRef]
- Sandilands, A.; Sutherland, C.; Irvine, A.D.; McLean, W.H.I. Filaggrin in the frontline: Role in skin barrier function and disease. J. Cell Sci. 2009, 122, 1285–1294. [Google Scholar] [CrossRef]
- Irvine, A.D.; McLean, W.H.I.; Leung, D.Y.M. Filaggrin mutations associated with skin and allergic diseases. N. Engl. J. Med. 2011, 365, 1315–1327. [Google Scholar] [CrossRef]
- O’Regan, G.M.; Kemperman, P.M.J.H.; Sandilands, A.; Chen, H.; Campbell, L.E.; Kroboth, K.; Watson, R.; Rowland, M.; Puppels, G.J.; McLean, W.H.I.; et al. Raman profiles of the stratum corneum define 3 filaggrin genotype-determined atopic dermatitis endophenotypes. J. Allergy Clin. Immunol. 2010, 126, 574–580. [Google Scholar] [CrossRef] [PubMed]
- Riethmuller, C.; McAleer, M.A.; Koppes, C.S.A.; Abdayem, R.; Franz, J.; Haftek, M.; Campbell, L.E.; MacCallum, S.F.; McLean, W.H.I.; Irvine, A.D.; et al. Filaggrin breakdown products determine corneocyte conformation in patients with atopic dermatitis. J. Allergy Clin. Immunol. 2015, 136, 1573–1580. [Google Scholar] [CrossRef] [PubMed]
- Cole, C.; Kroboth, K.; Schurch, N.J.; Sandilands, A.; Sherstnev, A.; O’Regan, G.M.; Watson, R.M.; McLean, W.H.I.; Barton, G.J.; Irvine, A.D.; et al. Filaggrin-stratified transcriptomic analysis of pediatric skin identifies mechanistic pathways in patients with atopic dermatitis. J. Allergy Clin. Immunol. 2014, 134, 82–91. [Google Scholar] [CrossRef] [PubMed]
- Sasaki, T.; Furusyo, N.; Shiohama, A.; Takeuchi, S.; Nakahara, T.; Uchi, H.; Hirota, T.; Tamari, M.; Shimizu, N.; Ebihara, T.; et al. Filaggrin loss-of-function mutations are not a predisposing factor for atopic dermatitis in an Ishigaki Island under subtropical climate. J. Dermatol. Sci. 2014, 76, 10–15. [Google Scholar] [CrossRef] [PubMed]
- Shiohara, T.; Mizukawa, Y.; Shimoda-Komatsu, Y.; Aoyama, Y. Sweat is a most efficient natural moisturizer providing protective immunity at points of allergen entry. Allergol. Int. 2018, 67, 442–447. [Google Scholar] [CrossRef] [PubMed]
- Nakagawa, N.; Sakai, S.; Matsumoto, M.; Yamada, K.; Nagano, M.; Yuki, T.; Sumida, Y.; Uchiwa, H. Relationship between NMF (lactate and potassium) content and the physical properties of the stratum corneum in healthy subjects. J. Investig. Dermatol. 2004, 122, 755–763. [Google Scholar] [CrossRef] [PubMed]
- Nemoto-Hasebe, I.; Akiyama, M.; Nomura, T.; Sandilands, A.; McLean, W.H.I.; Shimizu, H. FLG mutation p.Lys4021X in the C-terminal imperfect filaggrin repeat in Japanese patients with atopic eczema. Br. J. Dermatol. 2009, 161, 1387–1390. [Google Scholar] [CrossRef]
- Nomura, T.; Sandilands, A.; Akiyama, M.; Liao, H.; Evans, A.T.; Sakai, K.; Ota, M.; Sugiura, H.; Yamamoto, K.; Sato, H.; et al. Unique mutations in the filaggrin gene in Japanese patients with ichthyosis vulgaris and atopic dermatitis. J. Allergy Clin. Immunol. 2007, 119, 434–440. [Google Scholar] [CrossRef]
- Teye, K.; Numata, S.; Krol, R.P.; Ishii, N.; Matsuda, M.; Lee, J.B.; Hamada, T.; Hashimoto, T. Prevalence of filaggrin gene mutations in patients with atopic dermatitis and ichthyosis vulgaris in Kyushu area of Japan and South Korea. J. Dermatol. Sci. 2017, 86, 174–177. [Google Scholar] [CrossRef]
- Cheong, W.K. Gentle cleansing and moisturizing for patients with atopic dermatitis and sensitive skin. Am. J. Clin. Dermatol. 2009, 10, 13s–17s. [Google Scholar] [CrossRef]
- Hosokawa, K.; Taima, H.; Kikuchi, M.; Tsuda, H.; Numano, K.; Takagi, Y. Rubbing the skin when removing makeup cosmetics is a major factor that worsens skin conditions in atopic dermatitis patients. J. Cosmet. Dermatol. 2021, 20, 1915–1922. [Google Scholar] [CrossRef]
- Takagi, Y.; Shimizu, M.; Morokuma, Y.; Miyaki, M.; Kiba, A.; Matsuo, K.; Isoda, K.; Mizutani, H. A new formula for a mild body cleanser: Sodium laureth sulphate supplemented with sodium laureth carboxylate and lauryl glucoside. Int. J. Cosmet. Sci. 2014, 36, 305–311. [Google Scholar] [CrossRef] [PubMed]
- Bikle, D.D. Vitamin D metabolism and function in the skin. Mol. Cell. Endocrinol. 2011, 347, 80–89. [Google Scholar] [CrossRef]
- Sugarman, J.L. The epidermal barrier in atopic dermatitis. Semin. Cutan. Med. Surg. 2008, 27, 108–114. [Google Scholar] [CrossRef] [PubMed]
- Paolino, G.; Moliterni, E.; Didona, D.; Garelli, V.; Corsetti, P.; Lopez, T.; Richetta, A.G.; Cantisani, C.; Bottoni, U.; Calvieri, S. Clinicopathological features, vitamin D serological levels and prognosis in cutaneous melanoma of shield-sites: An update. Med. Oncol. 2015, 32, 451. [Google Scholar] [CrossRef] [PubMed]
Disclaimer/Publisher’s Note: The statements, opinions and data contained in all publications are solely those of the individual author(s) and contributor(s) and not of MDPI and/or the editor(s). MDPI and/or the editor(s) disclaim responsibility for any injury to people or property resulting from any ideas, methods, instructions or products referred to in the content. |
© 2024 by the author. Licensee MDPI, Basel, Switzerland. This article is an open access article distributed under the terms and conditions of the Creative Commons Attribution (CC BY) license (https://creativecommons.org/licenses/by/4.0/).

