The Role of Early Intubation in Status Epilepticus with Out-of-Hospital Onset: A Large Prospective Observational Study
Abstract
1. Introduction
2. Methods
2.1. Study Design, Setting, and Patients
2.2. Outcome
2.3. Ethical Aspects
2.4. Statistical Analysis
3. Data Availability
3.1. Results
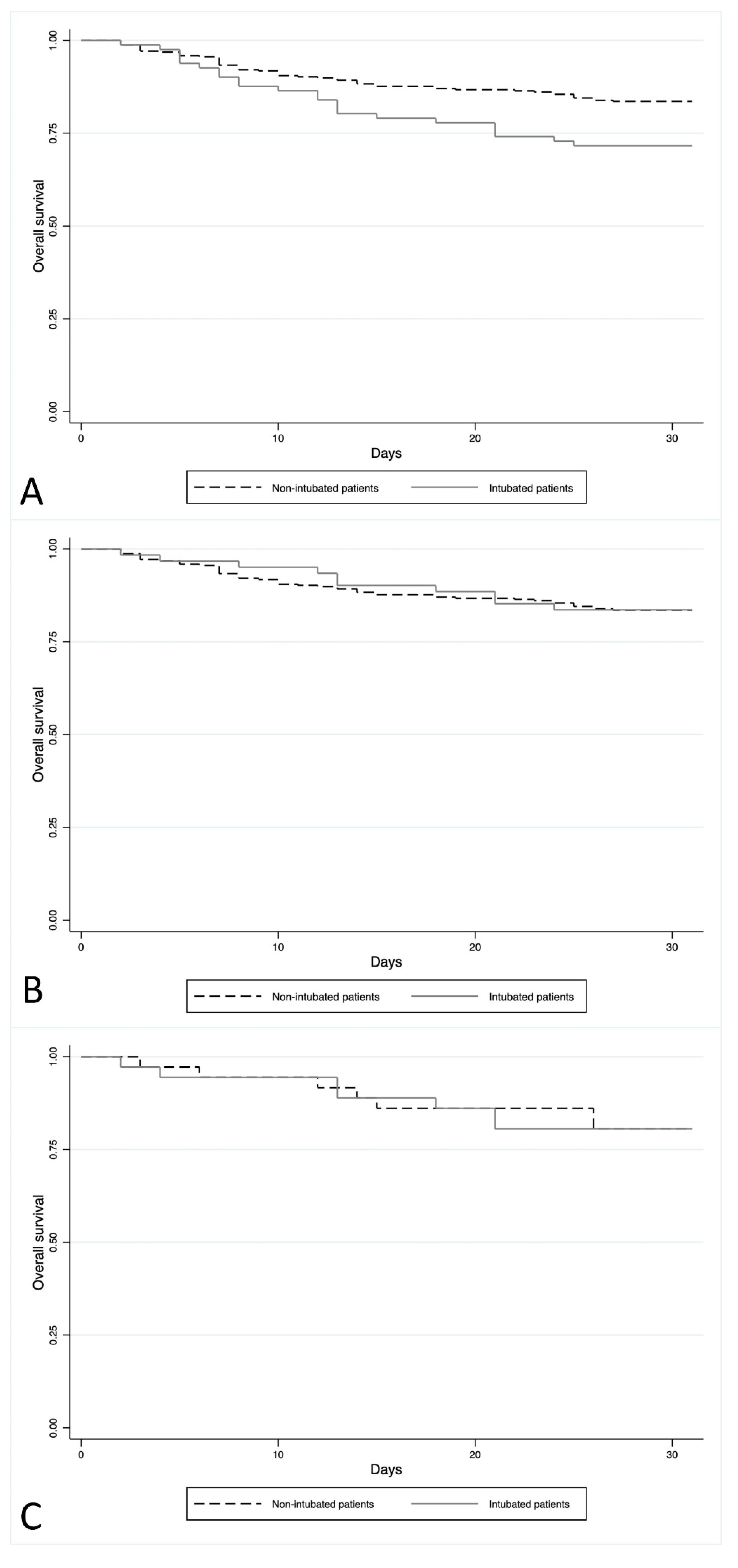
3.2. 30-Day Mortality and Secondary Outcomes
3.3. Propensity Matching of Patients
4. Discussion
5. Conclusions
Supplementary Materials
Author Contributions
Funding
Institutional Review Board Statement
Informed Consent Statement
Data Availability Statement
Conflicts of Interest
References
- Trinka, E.; Cock, H.; Hesdorffer, D.; Rossetti, A.O.; Scheffer, I.E.; Shinnar, S.; Shorvon, S.; Lowenstein, D.H. A definition and classification of status epilepticus—Report of the ILAE Task Force on Classification of Status Epilepticus. Epilepsia 2015, 56, 1515–1523. [Google Scholar] [CrossRef] [PubMed]
- Trinka, E.; Höfler, J.; Leitinger, M.; Rohracher, A.; Kalss, G.; Brigo, F. Pharmacologic treatment of status epilepticus. Expert Opin. Pharmacother. 2016, 17, 513–534. [Google Scholar] [CrossRef] [PubMed]
- Trinka, E.; Höfler, J.; Leitinger, M.; Brigo, F. Pharmacotherapy for Status Epilepticus. Drugs 2015, 75, 1499–1521. [Google Scholar] [CrossRef] [PubMed]
- Betjemann, J.P.; Lowenstein, D.H. Status epilepticus in adults. Lancet Neurol. 2015, 14, 615–624. [Google Scholar] [CrossRef] [PubMed]
- Leitinger, M.; Trinka, E.; Zimmermann, G.; Granbichler, C.A.; Kobulashvili, T.; Siebert, U. Epidemiology of status epilepticus in adults: Apples, pears, and oranges—A critical review. Epilepsy Behav. 2020, 103 Pt A, 106720. [Google Scholar] [CrossRef]
- Brophy, G.M.; Bell, R.; Claassen, J.; Alldredge, B.; Bleck, T.P.; Glauser, T.; LaRoche, S.M.; Riviello, J.J.; Shutter, L.; Sperling, M.R.; et al. Guidelines for the evaluation and management of status epilepticus. Neurocrit. Care 2012, 17, 3–23. [Google Scholar] [CrossRef] [PubMed]
- Glauser, T.; Shinnar, S.; Gloss, D.; Alldredge, B.; Arya, R.; Bainbridge, J.; Bare, M.; Bleck, T.; Dodson, W.E.; Garrity, L.; et al. Evidence-Based Guideline: Treatment of Convulsive Status Epilepticus in Children and Adults: Report of the Guideline Committee of the American Epilepsy Society. Epilepsy Curr. 2016, 16, 48–61. [Google Scholar] [CrossRef] [PubMed]
- Minicucci, F.; Ferlisi, M.; Brigo, F.; Mecarelli, O.; Meletti, S.; Aguglia, U.; Michelucci, R.; Mastrangelo, M.; Specchio, N.; Sartori, S.; et al. Management of status epilepticus in adults. Position paper of the Italian League against Epilepsy. Epilepsy Behav. 2020, 102, 106675. [Google Scholar] [CrossRef]
- De Stefano, P.; Baumann, S.M.; Semmlack, S.; Rüegg, S.; Marsch, S.; Seeck, M.; Sutter, R. Safety and Efficacy of Coma Induction Following First-Line Treatment in Status Epilepticus: A 2-Center Study. Neurology 2021, 97, e564–e576. [Google Scholar] [CrossRef] [PubMed]
- Beuchat, I.; Rosenow, F.; Kellinghaus, C.; Trinka, E.; Unterberger, I.; Rüegg, S.; Sutter, R.; Tilz, C.; Uzelac, Z.; Rossetti, A.O.; et al. Refractory Status Epilepticus: Risk Factors and Analysis of Intubation in the Multicenter SENSE Registry. Neurology 2022, 99, e1824–e1834. [Google Scholar] [CrossRef] [PubMed]
- Lowenstein, D.H.; Bleck, T.; Macdonald, R.L. It’s time to revise the definition of status epilepticus. Epilepsia 1999, 40, 120–122. [Google Scholar] [CrossRef] [PubMed]
- Leitinger, M.; Beniczky, S.; Rohracher, A.; Gardella, E.; Kalss, G.; Qerama, E.; Höfler, J.; Lindberg-Larsen, A.H.; Kuchukhidze, G.; Dobesberger, J.; et al. Salzburg Consensus Criteria for Non-Convulsive Status Epilepticus—Approach to clinical application. Epilepsy Behav. 2015, 49, 158–163. [Google Scholar] [CrossRef] [PubMed]
- Leitinger, M.; Trinka, E.; Gardella, E.; Rohracher, A.; Kalss, G.; Qerama, E.; Höfler, J.; Hess, A.; Zimmermann, G.; Kuchukhidze, G.; et al. Diagnostic accuracy of the Salzburg EEG criteria for non-convulsive status epilepticus: A retrospective study. Lancet Neurol. 2016, 15, 1054–1062. [Google Scholar] [CrossRef] [PubMed]
- Leitinger, M.; Höller, Y.; Kalss, G.; Rohracher, A.; Novak, H.F.; Höfler, J.; Dobesberger, J.; Kuchukhidze, G.; Trinka, E. Epidemiology-based mortality score in status epilepticus (EMSE). Neurocrit. Care 2015, 22, 273–282. [Google Scholar] [CrossRef] [PubMed]
- Rossetti, A.O.; Logroscino, G.; Bromfield, E.B. A clinical score for prognosis of status epilepticus in adults. Neurology 2006, 66, 1736–1738. [Google Scholar] [CrossRef] [PubMed]
- Shorvon, S.; Ferlisi, M. The treatment of super-refractory status epilepticus: A critical review of available therapies and a clinical treatment protocol. Brain 2011, 134 Pt 10, 2802–2818. [Google Scholar] [CrossRef]
- Kellinghaus, C.; Rossetti, A.O.; Trinka, E.; Lang, N.; May, T.W.; Unterberger, I.; Rüegg, S.; Sutter, R.; Strzelczyk, A.; Tilz, C.; et al. Factors predicting cessation of status epilepticus in clinical practice: Data from a prospective observational registry (SENSE). Ann. Neurol. 2019, 85, 421–432. [Google Scholar] [CrossRef] [PubMed]
- Wang, H.E.; Yealy, D.M. Out-of-hospital endotracheal intubation: Where are we? Ann. Emerg. Med. 2006, 47, 532–541. [Google Scholar] [CrossRef] [PubMed]
- Wang, H.E.; Benger, J.R. Endotracheal intubation during out-of-hospital cardiac arrest: New insights from recent clinical trials. J. Am. Coll. Emerg. Physicians Open 2019, 1, 24–29. [Google Scholar] [CrossRef] [PubMed]

| Variable | All Patients | Non-Intubated Patients | Intubated Patients | p-Value |
|---|---|---|---|---|
| Patients, n (%) | 322 (100) | 316 (79.6) | 81 (20.4) | |
| Age, years, mean (SD) | 68.7 (18.2) | 62 (16.4) | 0.003 | |
| Sex, n (%) | 0.023 | |||
| Male | 169 (42.6) | 124 (39.6) | 44 (54.3) | |
| Female | 228 (57.4) | 191 (60.4) | 37 (45.7) | |
| GCS at SE onset, mean (SD) | 11.1 (3.9) | 12.1 (3.1) | 6.8 (4.1) | <0.001 |
| Impaired consciousness before treatment, n (%) | 82 (20.7) | 31 (9.8) | 51 (63) | <0.001 |
| Etiological classification, n (%) | ||||
| Acute symptomatic, hypoxic | 20 (5.0) | 0 (0) | 20 (24.7) | <0.001 |
| Acute symptomatic, non-hypoxic | 181 (45.6) | 152 (48.1) | 29 (35.8) | 0.031 |
| Remote symptomatic | 87 (21.9) | 77 (24.4) | 10 (12.3) | 0.023 |
| Progressive symptomatic | 86 (21.7) | 70 (22.2) | 16 (19.8) | 0.763 |
| Other | 23 (5.8) | 17 (5.4) | 6 (7.4) | 0.430 |
| SE semiology, n (%) | ||||
| Generalized convulsive | 90 (22.7) | 60 (19) | 30 (37) | 0.001 |
| Focal motor | 108 (27.2) | 89 (28.2) | 19 (23.5) | 0.484 |
| Non-convulsive | 189 (47.6) | 162 (51.3) | 27 (33.3) | 0.004 |
| Myoclonic | 10 (2.5) | 5 (1.6) | 5 (6.2) | 0.034 |
| Prior history of epilepsy, n (%) | 166 (41.8) | 139 (44) | 27 (33.3) | 0.101 |
| Comorbidities, n (%) | ||||
| Ischemic heart disease | 40 (10.1) | 25 (7.9) | 15 (18.5) | 0.011 |
| Cerebrovascular disease | 45 (11.3) | 40 (12.7) | 5 (6.2) | 0.117 |
| Connective tissue disease | 9 (2.3) | 8 (2.5) | 1 (1.2) | 0.693 |
| Diabetes mellitus | 62 (15.6) | 53 (16.8) | 9 (11.1) | 0.234 |
| Heart Failure | 18 (4.5) | 16 (5.1) | 2 (2.5) | 0.548 |
| Dementia | 77 (19.4) | 70 (22.2) | 7 (8.6) | 0.005 |
| Ulcer | 18 (4.5) | 12 (3.8) | 6 (7.4) | 0.225 |
| Hemiplegia | 35 (8.8) | 30 (9.5) | 5 (6.2) | 0.509 |
| Tumor | 48 (12.1) | 37 (11.7) | 11 (13.6) | 0.702 |
| Peripheral vascular disease | 8 (2.0) | 8 (2.5) | 0 (0) | 0.168 |
| COPD | 39 (9.8) | 31 (9.8) | 8 (9.8) | 1.000 |
| Liver failure | 17 (4.3) | 14 (4.4) | 3 (3.7) | 1.000 |
| Chronic kidney disease | 29 (7.3) | 24 (7.6) | 5 (6.2) | 0.813 |
| Abnormal EEG, n (%) * | 126 (31.7) | 85 (26.9) | 41 (50.6) | <0.001 |
| Prognostic scores | ||||
| EMSE | 48.7 (36.1) | 43.7 (30.8) | 68.1 (47.2) | <0.001 |
| STESS | 2.7 (1.6) | 2.4 (1.4) | 3.7 (1.7) | <0.001 |
| Variable | Survivors | Non-Survivors | p-Value |
|---|---|---|---|
| Patients, n (%) | 322 (81.1) | 75 (18.9) | |
| Out-of-hospital intubation | 0.017 | ||
| No | 264 (82) | 52 (69.3) | |
| Yes | 58 (18) | 23 (30.7) | |
| Age, years, mean (SD) | 64.6 (18.2) | 79.4 (11.3) | <0.001 |
| Sex, n (%) | 0.121 | ||
| Male | 131 (40.7) | 38 (50.7) | |
| Female | 191 (59.3) | 37 (49.3) | |
| GCS at SE onset, mean (SD) | 11.6 (3.6) | 8.7 (4.1) | <0.001 |
| Impaired consciousness before treatment, n (%) | 53 (16.5) | 29 (38.7) | <0.001 |
| Etiological classification, n (%) | |||
| Acute symptomatic, hypoxic | 7 (2.2) | 13 (17.3) | <0.001 |
| Acute symptomatic, non-hypoxic | 143 (44.4) | 58 (50.7) | 0.364 |
| Remote symptomatic | 80 (24.8) | 7 (9.3) | 0.003 |
| Progressive symptomatic | 75 (23.3) | 11 (14.7) | 0.120 |
| Other | 17 (5.3) | 6 (8.0) | 0.408 |
| SE semiology, n (%) | |||
| Generalized convulsive | 75 (23.3) | 15 (20) | 0.646 |
| Focal motor | 88 (27.3) | 20 (26.7) | 1.000 |
| Non-convulsive | 153 (47.5) | 36 (48) | 1.000 |
| Myoclonic | 6 (1.9) | 4 (5.3) | 0.099 |
| Prior history of epilepsy, n (%) | 145 (45) | 21 (28) | 0.009 |
| Comorbidities, n (%) | |||
| Ischemic heart disease | 23 (7.1) | 17 (22.7) | <0.001 |
| Cerebrovascular disease | 25 (7.8) | 20 (26.7) | <0.001 |
| Connective tissue disease | 9 (2.8) | 0 (0) | 0.218 |
| Diabetes mellitus | 49 (15.2) | 13 (17.3) | 0.724 |
| Heart Failure | 12 (3.7) | 6 (8) | 0.123 |
| Dementia | 50 (15.5) | 27 (36) | <0.001 |
| Ulcer | 11 (3.4) | 7 (9.3) | 0.056 |
| Hemiplegia | 27 (8.4) | 8 (10.7) | 0.503 |
| Tumor | 30 (9.3) | 18 (24) | 0.001 |
| Peripheral vascular disease | 5 (1.6) | 3 (4) | 0.177 |
| COPD | 25 (7.8) | 14 (18.7) | 0.008 |
| Liver failure | 9 (2.8) | 8 (10.7) | 0.006 |
| Chronic kidney disease | 4 (1.2) | 5 (6.7) | 0.014 |
| Abnormal EEG, n (%) * | 79 (24.5) | 47 (62.7) | <0.001 |
| Prognostic scores | |||
| EMSE | 40.4 (30.2) | 84.3 (37.7) | <0.001 |
| STESS | 2.4 (1.5) | 3.7 (1.6) | <0.001 |
| Variable | Coefficient | Error | HR | 95% Confidence Intervals | p-Value |
|---|---|---|---|---|---|
| Age | 0.072 | 0.012 | 1.075 | 1.049–1.101 | <0.001 |
| GCS at SE onset | −0.075 | 0.031 | 0.928 | 0.872–0.987 | 0.017 |
| Ischemic heart disease | 0.646 | 0.290 | 1.907 | 1.080–3.368 | 0.026 |
| Cerebrovascular disease | 0.580 | 0.272 | 1.786 | 1.048–3.045 | 0.033 |
| COPD | 0.594 | 0.300 | 1.811 | 1.006–3.259 | 0.048 |
| EMSE | 0.020 | 0.003 | 1.020 | 1.014–1.026 | <0.001 |
| Outcome, n (%) | Non-Intubated Patients | Intubated Patients | p-Value |
|---|---|---|---|
| In-hospital mortality | 47 (63.5) | 27 (36.5) | <0.001 |
| Progression to refractory or super-refractory SE | 24 (27.9) | 62 (72.1) | <0.001 |
| Worsening of mRS between hospital discharge and admission | 126 (70) | 54 (30) | <0.001 |
| SE cessation a | 110 (78) | 31 (22) | 0.603 |
| Lack of return to baseline condition at 30 days | 130 (71) | 53 (29) | <0.001 |
| Outcome, n (%) | Non-Intubated Patients | Intubated Patients | p-Value |
|---|---|---|---|
| In-hospital mortality | 6 (46.2) | 7 (53.8) | 1.000 |
| Progression to refractory or super-refractory SE | 2 (7.1) | 26 (92.9) | <0.001 |
| Worsening of mRS between hospital discharge and admission | 10 (30.3) | 23 (69.7) | 0.004 |
| SE cessation a | 11 (50) | 11 (50) | 1.000 |
| Lack of return to baseline condition at 30 days | 10 (31.3) | 22 (68.8) | 0.004 |
Disclaimer/Publisher’s Note: The statements, opinions and data contained in all publications are solely those of the individual author(s) and contributor(s) and not of MDPI and/or the editor(s). MDPI and/or the editor(s) disclaim responsibility for any injury to people or property resulting from any ideas, methods, instructions or products referred to in the content. |
© 2024 by the authors. Licensee MDPI, Basel, Switzerland. This article is an open access article distributed under the terms and conditions of the Creative Commons Attribution (CC BY) license (https://creativecommons.org/licenses/by/4.0/).
Share and Cite
Turcato, G.; Giovannini, G.; Lattanzi, S.; Orlandi, N.; Turchi, G.; Zaboli, A.; Brigo, F.; Meletti, S. The Role of Early Intubation in Status Epilepticus with Out-of-Hospital Onset: A Large Prospective Observational Study. J. Clin. Med. 2024, 13, 936. https://doi.org/10.3390/jcm13040936
Turcato G, Giovannini G, Lattanzi S, Orlandi N, Turchi G, Zaboli A, Brigo F, Meletti S. The Role of Early Intubation in Status Epilepticus with Out-of-Hospital Onset: A Large Prospective Observational Study. Journal of Clinical Medicine. 2024; 13(4):936. https://doi.org/10.3390/jcm13040936
Chicago/Turabian StyleTurcato, Gianni, Giada Giovannini, Simona Lattanzi, Niccolò Orlandi, Giulia Turchi, Arian Zaboli, Francesco Brigo, and Stefano Meletti. 2024. "The Role of Early Intubation in Status Epilepticus with Out-of-Hospital Onset: A Large Prospective Observational Study" Journal of Clinical Medicine 13, no. 4: 936. https://doi.org/10.3390/jcm13040936
APA StyleTurcato, G., Giovannini, G., Lattanzi, S., Orlandi, N., Turchi, G., Zaboli, A., Brigo, F., & Meletti, S. (2024). The Role of Early Intubation in Status Epilepticus with Out-of-Hospital Onset: A Large Prospective Observational Study. Journal of Clinical Medicine, 13(4), 936. https://doi.org/10.3390/jcm13040936

