e14a2 Transcript Favors Treatment-Free Remission in Chronic Myeloid Leukemia When Associated with Longer Treatment with Tyrosine Kinase Inhibitors and Sustained Deep Molecular Response
Abstract
1. Introduction
2. Materials and Methods
2.1. Patient Samples
2.2. Cytogenetic Studies
2.3. Determination of BCR::ABL1 Transcript Type and Real-Time Quantitative Polymerase Chain Reaction
2.4. Statistical Analysis
3. Results
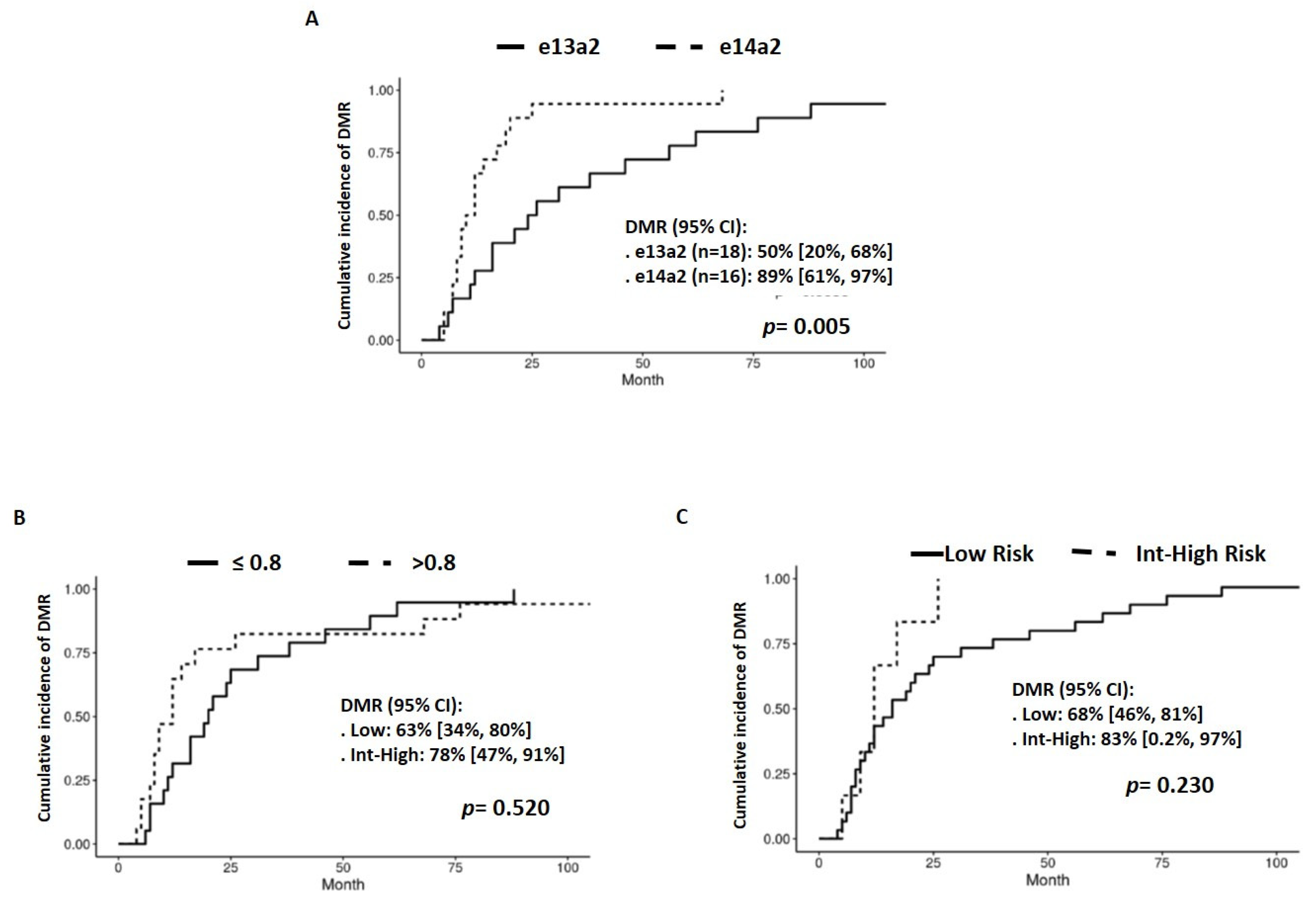
3.1. Effect of Transcript Type on DMR and TFR in IM-Treated Patients
3.2. IM Treatment Duration and Influence of sDMR on TFR, and by Transcript Type
3.3. Influence of Age, the Sokal and ELTS Scores on DMR and TFR in IM-Treated Patients
3.4. Patients Treated with 2G-TKI as Frontline Treatment
3.5. Effect of Transcript Type on DMR and TFR in 2G-TKI-Treated Patients
3.6. 2G-TKI Treatment Duration and Influence of sDMR on TFR
3.7. Influence of Age and the Sokal and ELTS Scores on DMR and TFR in 2G-TKI-Treated Patients
4. Discussion and Conclusions
Supplementary Materials
Author Contributions
Funding
Institutional Review Board Statement
Informed Consent Statement
Data Availability Statement
Acknowledgments
Conflicts of Interest
References
- Rea, D.; Nicolini, F.E.; Tulliez, M.; Guilhot, F.; Guilhot, J.; Guerci-Bresler, A.; Gardembas, M.; Coiteux, V.; Guillerm, G.; Legros, L.; et al. Discontinuation of dasatinib or nilotinib in chronic myeloid leukemia: Interim analysis of the STOP 2G-TKI study. Blood 2017, 129, 846–854. [Google Scholar] [CrossRef] [PubMed]
- Molica, M.; Noguera, N.I.; Trawinska, M.M.; Martinelli, G.; Cerchione, C.; Abruzzese, E. Treatment free remission in chronic myeloid leukemia: Lights and shadows. Hematol. Rep. 2020, 12 (Suppl. S1), 8950. [Google Scholar] [CrossRef] [PubMed]
- Chen, Y.; Zou, J.; Cheng, F.; Li, W. Treatment-Free Remission in Chronic Myeloid Leukemia and New Approaches by Targeting Leukemia Stem Cells. Front. Oncol. 2021, 11, 769730. [Google Scholar] [CrossRef] [PubMed]
- Efficace, F.; Cannella, L. The value of quality of life assessment in chronic myeloid leukemia patients receiving tyrosine kinase inhibitors. Hematol. Am. Soc. Hematol. Educ. Program 2016, 2016, 170–179. [Google Scholar] [CrossRef]
- Etienne, G.; Guilhot, J.; Rea, D.; Rigal-Huguet, F.; Nicolini, F.; Charbonnier, A.; Guerci-Bresler, A.; Legros, L.; Varet, B.; Gardembas, M.; et al. Long-Term Follow-Up of the French Stop Imatinib (STIM1) Study in Patients with Chronic Myeloid Leukemia. J. Clin. Oncol. 2017, 35, 298–305. [Google Scholar] [CrossRef] [PubMed]
- Cortes, J.; Rea, D.; Lipton, J.H. Treatment-free remission with first- and second-generation tyrosine kinase inhibitors. Am. J. Hematol. 2019, 94, 346–357. [Google Scholar] [CrossRef] [PubMed]
- Özdemir, Z.N.; Kiliçaslan, N.A.; Yilmaz, M.; Eskazan, A.E. Guidelines for the treatment of chronic myeloid leukemia from the NCCN and ELN: Differences ans similarities. Int. J. Hematol. 2023, 117, 3–15. [Google Scholar] [CrossRef]
- Marcé, S.; Xicoy, B.; García, O.; Cabezón, M.; Estrada, N.; Vélez, P.; Boqué, C.; Sagüés, M.; Angona, A.; Teruel-Montoya, R.; et al. Impact of BCR-ABL1 Transcript Type on Response, Treatment-Free Remission Rate and Survival in Chronic Myeloid Leukemia Patients Treated with Imatinib. J. Clin. Med. 2021, 10, 3146. [Google Scholar] [CrossRef]
- Nazha, A. Should I rock the boat? When to stop TKIs in CML. Blood 2021, 137, 1136–1137. [Google Scholar] [CrossRef]
- Sokal, J.E.; Cox, E.B.; Baccarani, M.; Tura, S.; Gomez, G.A.; Robertson, J.E.; Tso, C.Y.; Braun, T.J.; Clarkson, B.D.; Cervantes, F.; et al. Prognostic discrimination in “good risk” chronic granulocytic leukemia. Blood 1984, 63, 789–799. [Google Scholar] [CrossRef]
- Millot, F.; Guilhot, J.; Suttorp, M.; Güneş, A.M.; Sedlacek, P.; De Bont, E.; Chi Kong Li, C.K.; Kalwak, K.; Lausen, B.; Culic, S.; et al. Prognostic discrimination based on the EUTOS long-term survival score within the International Registry for Chronic Myeloid Leukemia in children and adolescents. Haematologica 2017, 102, 1704–1708. [Google Scholar] [CrossRef] [PubMed]
- Ross, D.M.; Masszi, T.; Gómez-Casares, M.T.; Hellmann, A.; Stentoft, J.; Conneally, E.; Garcia-Gutierrez, V.; Gattermann, N.; le Coutre, P.D.; Martino, B.; et al. Durable treatment-free remission in patients with chronic myeloid leukemia in chronic phase following frontline nilotinib: 96-week update of the ENESTfreedom study. J. Cancer Res. Clin. Oncol. 2018, 144, 945–954. [Google Scholar] [CrossRef] [PubMed]
- Breccia, M.; Abruzzese, E.; Annunziata, M.; Luciano, L.; Sica, S. Clinical and Psychological Factors to Consider in Achieving Treatment-Free Remission in Patients with Chronic Myeloid Leukemia. Front. Oncol. 2021, 11, 631570–631577. [Google Scholar] [CrossRef] [PubMed]
- Mori, S.; Vagge, E.; le Coutre, P.; Abruzzese, E.; Martino, B.; Pungolino, E.; Elena, C.; Pierri, I.; Assouline, S.; D’Emilio, A.; et al. Age and dPCR can predict relapse in CML patients who discontinued imatinib: The ISAV study. Am. J. Hematol. 2015, 90, 910–914. [Google Scholar] [CrossRef] [PubMed]
- Haddad, F.G.; Sasaki, K.; Issa, G.C.; Garcia-Moreno, G.; Ravandi, F.; Kadia, T.; Cortes, J.; Konopleva, M.; Pemmaraju, N.; Alvarado, Y.; et al. Treatment-free remission in patients with chronic myeloid leukemia following the discontinuation of tyrosine kinase inhibitors. Am. J. Hematol. 2022, 97, 856–864. [Google Scholar] [CrossRef] [PubMed]
- D’adda, M.; Farina, M.; Schieppati, F.; Borlenghi, E.; Bottelli, E.; Bottelli, C.; Cerqui, E.; Ferrari, S.; Gramegna, D.; Pagani, A.; et al. The e13a2 BCR-ABL transcript negatively affects sustained deep molecular response and the achievement of treatment-free remission in patients with chronic myeloid leukemia who receive tyrosine kinase inhibitors. Cancer 2019, 125, 1674–1682. [Google Scholar] [CrossRef] [PubMed]
- Breccia, M.; Molica, M.; Colafigli, G.; Massaro, F.; Quattrocchi, L.; Latagliata, R.; Mancini, M.; Diverio, D.; Guarini, A.; Alimena, G.; et al. Prognostic factors associated with a stable MR4.5 achievement in chronic myeloid leukemia patients treated with imatinib. Oncotarget 2017, 9, 7534–7540. [Google Scholar] [CrossRef]
- Chen, k.; Ruan, Y.; Tian, K.; Xiong, P.; Xia, N.; Li, J.; Huang, W.; Cao, F.; Chen, Q. Impact of BCR-ABL1 transcript type on outcome in chronic myeloid leukemia patinets treated with tyrosine kinase inhibitors: A pairwise and bayesian network meta-analysis. Front. Oncol. 2022, 12, 841546. [Google Scholar] [CrossRef]
- Saifullah, H.H.; Lucas, C.M. Treatment-Free Remission in Chronic Myeloid Leukemia: Can We Identify Prognostic Factors? Cancers 2021, 13, 4175. [Google Scholar] [CrossRef]
- Hochhaus, A.; Baccarani, M.; Silver, R.T.; Schiffer, C.; Apperley, J.F.; Cervantes, F.; Clark, R.E.; Cortes, J.E.; Deininger, M.W.; Guilhot, F.; et al. European LeukemiaNet 2020 recommendations for treating chronic myeloid leukemia. Leukemia 2020, 34, 966–984. [Google Scholar] [CrossRef]
- Swerdlow, S.H. Organización Mundial de la Salud and Asociación Internacional de Investigación sobre el Cancer. In WHO Classification of Tumours of Haematopoietic and Lymphoid Tissues, 4th ed.; International Agency for Research on Cancer: Lyon, France, 2008. [Google Scholar]
- Hanfstein, B.; Lauseker, M.; Hehlmann, R.; Saussele, S.; Erben, P.; Dietz, C.; Fabarius, A.; Proetel, U.; Schnittger, S.; Haferlach, C.; et al. Distinct characteristics of e13a2 versus e14a2 BCR-ABL1 driven chronic myeloid leukemia under first-line therapy with imatinib. Haematologica 2014, 99, 1441–1447. [Google Scholar] [CrossRef] [PubMed]
- Castagnetti, F.; Gugliotta, G.; Breccia, M.; Iurlo, A.; Levato, L.; Albano, F.; Vigneri, P.; Abruzzese, E.; Rossi, G.; Rupoli, S.; et al. The BCR-ABL1 transcript type influences response and outcome in Philadelphia chromosome-positive chronic myeloid leukemia patients treated frontline with imatinib. Am. J. Hematol. 2017, 92, 797–805. [Google Scholar] [CrossRef] [PubMed]
- Sharma, P.; Kumar, L.; Mohanty, S.; Kochupillai, V. Response to Imatinib mesylate in chronic myeloid leukemia patients with variant BCR-ABL fusion transcripts. Ann. Hematol. 2010, 89, 241–247. [Google Scholar] [CrossRef] [PubMed]
- Molica, M.; Abruzzese, E.; Breccia, M. Prognostic significance of transcript-type BCR-ABL1 in Chronic Myeloid Leukemia. Mediterr. J. Hematol. Infect. Dis. 2020, 12, e2020062. [Google Scholar] [CrossRef] [PubMed]
- Baccarani, M.; Rosti, G.; Soverini, S. Chronic myeloid leukemia: The concepts of resistance and persistence and the relationship with BCR-ABL1 transcript type. Leukemia 2019, 33, 2358–2364. [Google Scholar] [CrossRef] [PubMed]
- Pagnano, K.B.B.; Miranda, E.C.; Delamain, M.T.; Duarte, G.O.; de Paula, E.V.; Lorand-Metze, I.; de Souza, C.A. Influence of BCR-ABL transccrip type on outcome in patients with Chronic-Phase Chronic Myeloid Leukemia treated with Imatinib. Clin. Lymphoma Myeloma Leuk. 2017, 17, 728–733. [Google Scholar] [CrossRef] [PubMed]
- Polampalli, S.; Choughule, A.; Negi, N.; Shinde, S.; Baisane, C.; Amre, P.; Subramanian, P.; Gujral, S.; Prabhash, K.; Parikh, P. Analysis and comparison of clinicohematological parameters and molecular and cytogenetic response of two Bcr/Abl fusion transcripts. Genet. Mol. Res. 2008, 7, 1138–1149. [Google Scholar] [CrossRef] [PubMed]
- Cortes, J.E.; Saglio, G.; Kantarjian, H.M.; Baccarani, M.; Mayer, J.; Boque, C.; Shah, N.P.; Chua, C.; Casanova, L.; Bradley_Galerik, B.; et al. Final 5-year study results of dasision: The dasatinib versus imatinib study in treatment-naive chronicmyeloid leukemia patients trial. J. Clin. Oncol. 2016, 34, 2333–2340. [Google Scholar] [CrossRef]
- Su, Y.-J.; Kuo, M.-C.; Chen, T.-Y.; Wang, M.-C.; Yang, Y.; Ma, M.-C.; Lin, T.-L.; Lin, T.-H.; Chang, H.; Jerry Teng, C.-L.; et al. Comparison of molecular response and outcomes between BCR::ABL1 e14a2 and e13a2 transcripts inc chronic myeloid leukemia. Cancer Sci. 2022, 113, 3518–3527. [Google Scholar] [CrossRef]
- Kantarjian, H.M.; Hughes, T.P.; Larson, R.A.; Kim, D.W.; Issaragrisil, S.; le Coutre, P.; Etienne, G.; Boquimpani, C.; Pasquini, R.; Clark, R.E.; et al. Long-term outcomes with frontline nilotinib versus imatinib in newly diagnosed chronic myeloid leukemia in chronic phase: ENESTnd 10-year analysis. Leukemia 2021, 35, 440–453. [Google Scholar] [CrossRef]
- Shah, N.P.; García-Gutiérrez, V.; Jiménez-Velasco, A.; Larson, S.; Saussele, S.; Rea, D.; Mahon, F.X.; Levy, M.Y.; Gómez-Casares, M.T.; Pane, F.; et al. Dasatinib discontinuation in patients with chronic-phase chronic myeloid leukemia and stable deep molecular response: The DASFREE study. Leuk. Lymphoma 2020, 61, 650–659. [Google Scholar] [CrossRef] [PubMed]
- Jain, P.; Kantarjian, H.; Patel, K.P.; Gonzalez, G.N.; Luthra, R.; Kanagal Shamanna, R.; Sasaki, K.; Jabbour, E.; Romo, C.G.; Kadia, T.M.; et al. Impact of BCR-ABL transcript type on outcome in patients with chronic-phase CML treated with tyrosine kinase inhibitors. Blood 2016, 127, 1269–1275. [Google Scholar] [CrossRef] [PubMed]
- Ghalesardi, O.K.; Khosravi, A.; Azizi, E.; Ahmadi, S.E.; Hajifathali, A.; Bonakchi, H.; Shahidi, M. The prognostic importance of BCR-ABL transcripts in Chronic Myeloid Leukemia: A systematic review and meta-analysis. Leuk. Res. 2021, 101, 106512. [Google Scholar] [CrossRef] [PubMed]
- Baccarani, M.; Castagnetti, F.; Gugliotta, G.; Rosti, G.; Soverini, S.; Albeer, A.; Pfirrmann, M.; for the International BCR-ABL Study Group. The proportion of different BCR-ABL1 transcript types in chronic myeloid leukemia. An international overview. Leukemia 2019, 33, 1173–1183. [Google Scholar] [CrossRef] [PubMed]
- Shanmuganathan, N.; Pagani, I.S.; Ross, D.M.; Park, S.; Yong, A.S.; Braley, J.A.; Altamura, H.K.; Hiwase, D.K.; Yeung, D.T.; Kim, D.W.; et al. Early BCR-ABL1 kinetics are predictive of subsequent achievement of treatment-free remission in chronic myeloid leukemia. Blood 2021, 137, 1196–1207. [Google Scholar] [CrossRef] [PubMed]
- Claudiani, S.; Apperley, J.F.; Gale, R.P.; Clark, R.; Szydlo, R.; Deplano, S.; Palanicawandar, R.; Khorashad, J.; Foroni, L.; Milojkovic, D. E14a2 BCR-ABL1 transcript is associated with a higher rate of treatment-free remission in individuals with chronic myeloid leukemia after stopping tyrosine kinase inhibitor therapy. Haematologica 2017, 102, e297–e299. [Google Scholar] [CrossRef] [PubMed]
- Horn, M.; Glauche, I.; Müller, M.C.; Hehlmann, R.; Hochhaus, A.; Loeffler, M.; Roeder, I. Model-based decision rules reduce the risk of molecular relapse after cessation of tyrosine kinase inhibitor therapy in chronic myeloid leukemia. Blood 2013, 121, 378–384. [Google Scholar] [CrossRef]
- Stein, A.M.; Bottino, D.; Modur, V.; Branford, S.; Kaeda, J.; Goldman, J.M.; Hughes, T.P.; Radich, J.P. BCR-ABL transcript dynamics support the hypothesis that leukemic stem cells are reduced during imatinib treatment. Clin. Cancer Res. 2011, 17, 6812–6821. [Google Scholar] [CrossRef]
- Takahashi, N.; Kyo, T.; Maeda, Y.; Sugihara, T.; Usuki, K.; Kawaguchi, T.; Usui, N.; Okamoto, S.; Ohe, Y.; Ohtake, S.; et al. Discontinuation of imatinib in Japanese patients with chronic myeloid leukemia. Haematologica 2012, 97, 903–906. [Google Scholar] [CrossRef]
- Roeder, I.; Horn, M.; Glauche, I.; Hochhaus, A.; Mueller, M.C.; Loeffler, M. Dynamic modeling of imatinib-treated chronic myeloid leukemia: Functional insights and clinical implications. Nat. Med. 2006, 12, 1181–1184. [Google Scholar] [CrossRef]
- Park, H.; Kim, H.-J.; Sohn, S.-K.; Baik, Y.; Kim, D.; Lee, S.-Y.; Kong, J.H.; Kim, H.; Shin, D.-Y.; Ahn, J.-S.; et al. Effect of BCR::ABL1 transcript type and droplet digital polymerase chain reaction on succesful treatment-free remission in chronic myeloid leukemia patients who discontinued tyrosine kinase inhibitor. Ther. Adv. Hematol. 2023, 14, 20406207231205637. [Google Scholar] [CrossRef]
- Pfirrmann, M.; Mahon, F.X.; Dulucq, S.; Hochhaus, A.; Panayiotidis, P.; Almeida, A.; Mayer, J.; Hjorth-Hansen, H.; Janssen, J.J.W.M.; Mustjoki, S.; et al. Prognostic factors for 3-year major molecular response maintenance in chronoc myeloid leukaemia patients in the European Stop Kinase Inhibitors (EURO-SKI) Trial. HemaSphere 2023, 7 (Suppl. S3), 127–129. [Google Scholar] [CrossRef]
- Mahon, F.X.; Réa, D.; Guilhot, J.; Guilhot, F.; Huguet, F.; Nicolini, F.; Legros, L.; Charbonnier, A.; Guerci, A.; Varet, B.; et al. Discontinuation of imatinib in patients with chronic myeloid leukaemia who have maintained complete molecular remission for at least 2 years: The prospective, multicentre Stop Imatinib (STIM) trial. Lancet Oncol. 2010, 11, 1029–1035. [Google Scholar] [CrossRef]
- Saussele, S.; Richter, J.; Guilhot, J.; Gruber, F.X.; Hjorth-Hansen, H.; Almeida, A.; Janssen, J.J.W.M.; Mayer, J.; Koskenvesa, P.; Panayiotidis, P.; et al. Discontinuation of tyrosine kinase inhibitor therapy in chronic myeloid leukaemia (EURO-SKI): A prespecified interim analysis of a prospective, multicentre, non-randomised, trial. Lancet Oncol. 2018, 19, 747–757. [Google Scholar] [CrossRef]
- Han, J.J. Treatment-free remission after discontinuation of imatinib, dasatinib, and nilotinib in patients with chronic myeloid leukemia. Blood Res. 2023, 58 (Suppl. S1), S58–S65. [Google Scholar] [CrossRef]






| e13a2 (n = 19) | e14a2 (n = 20) | Total (n = 39) | p Value | ||
|---|---|---|---|---|---|
| Sex (male/total) (%) | 9/19 (47.4) | 11/20 (55.0) | 20/39 (51.3) | 0.876 | |
| Age, median (min, max) | 48 (26, 62) | 49.5 (25, 78) | 48 (25, 78) | 0.279 | |
| Splenomegaly, median cm (min, max) | 1.5 (0, 13) | 0 (0, 18) | 1 (0, 18) | 0.834 | |
| Platelets (×109/L), median (min, max) | 493 (127, 1080) | 463 (338, 1040) | 478 (127, 1080) | 0.521 | |
| PB Blasts (%), median (min, max) | 0 (0, 4) | 1 (0, 5) | 0 (0, 5) | 0.071 | |
| Cytogenetics, n (%) | t(9;22) | 18/19 (94.7) | 19/20 (95.0) | 37/39 (94.9) | 1.000 |
| t(9;22) + others | 1/19 (5.3) | 1/20 (5.0) | 2/39 (5.1) | ||
| Sokal, n (%) | Low risk | 13/19 (68.4) | 7/20 (35.0) | 20/39 (51.3) | 0.077 |
| Intermediate risk | 6/19 (31.6) | 12/20 (60.0) | 18/39 (46.2) | ||
| High risk | 0/19 (0) | 1/20 (5.0) | 1/39 (2.6) | ||
| ELTS, n (%) | Low risk | 17/19 (89.5) | 16/20 (80.0) | 33/39 (84.6) | 0.342 |
| Intermediate risk | 1/19 (5.3) | 59/20 (20.0) | 5/20 (12.8) | ||
| High risk | 1/19 (5.3) | 0/20 (0) | 1/20 (2.6) | ||
| e13a2 | e14a2 | Total | p Value | ||
|---|---|---|---|---|---|
| CCyR | 3 months (n) | 49% (18) | 43% (16) | 92% (34) | 0.603 |
| 6 months (n) | 51% (19) | 46% (17) | 97% (36) | 0.487 | |
| MR3.0 | 3 months (n) | 33% (10) | 17% (5) | 50% (15) | 0.462 |
| 6 months (n) | 41% (11) | 41% (11) | 82% (22) | 0.341 | |
| 12 months (n) | 46% (17) | 46% (17) | 92% (34) | 1.000 | |
Disclaimer/Publisher’s Note: The statements, opinions and data contained in all publications are solely those of the individual author(s) and contributor(s) and not of MDPI and/or the editor(s). MDPI and/or the editor(s) disclaim responsibility for any injury to people or property resulting from any ideas, methods, instructions or products referred to in the content. |
© 2024 by the authors. Licensee MDPI, Basel, Switzerland. This article is an open access article distributed under the terms and conditions of the Creative Commons Attribution (CC BY) license (https://creativecommons.org/licenses/by/4.0/).
Share and Cite
Marcé, S.; Méndez, A.; Xicoy, B.; Estrada, N.; Cabezón, M.; Sturla, A.L.; García, M.R.; Angona, A.; Amat, P.; Escribano Serrat, S.; et al. e14a2 Transcript Favors Treatment-Free Remission in Chronic Myeloid Leukemia When Associated with Longer Treatment with Tyrosine Kinase Inhibitors and Sustained Deep Molecular Response. J. Clin. Med. 2024, 13, 779. https://doi.org/10.3390/jcm13030779
Marcé S, Méndez A, Xicoy B, Estrada N, Cabezón M, Sturla AL, García MR, Angona A, Amat P, Escribano Serrat S, et al. e14a2 Transcript Favors Treatment-Free Remission in Chronic Myeloid Leukemia When Associated with Longer Treatment with Tyrosine Kinase Inhibitors and Sustained Deep Molecular Response. Journal of Clinical Medicine. 2024; 13(3):779. https://doi.org/10.3390/jcm13030779
Chicago/Turabian StyleMarcé, Sílvia, Aleix Méndez, Blanca Xicoy, Natalia Estrada, Marta Cabezón, Antonella Luciana Sturla, Miriam Ratia García, Anna Angona, Paula Amat, Silvia Escribano Serrat, and et al. 2024. "e14a2 Transcript Favors Treatment-Free Remission in Chronic Myeloid Leukemia When Associated with Longer Treatment with Tyrosine Kinase Inhibitors and Sustained Deep Molecular Response" Journal of Clinical Medicine 13, no. 3: 779. https://doi.org/10.3390/jcm13030779
APA StyleMarcé, S., Méndez, A., Xicoy, B., Estrada, N., Cabezón, M., Sturla, A. L., García, M. R., Angona, A., Amat, P., Escribano Serrat, S., Scalzulli, E., Morgades, M., Senín, A., Hernández-Boluda, J. C., Ferrer-Marín, F., Anguita, E., Cortés, M., Plensa, E., Breccia, M., ... Zamora, L., on behalf of the Grupo Español de Leucemia Mieloide Crónica (GELMC). (2024). e14a2 Transcript Favors Treatment-Free Remission in Chronic Myeloid Leukemia When Associated with Longer Treatment with Tyrosine Kinase Inhibitors and Sustained Deep Molecular Response. Journal of Clinical Medicine, 13(3), 779. https://doi.org/10.3390/jcm13030779

