High Prevalence of Severe Depression in Mexican Patients Diagnosed with HIV Treated with Efavirenz and Atazanavir: Clinical Follow-Up at Four Weeks and Analysis of TPH2 SNPs
Abstract
1. Introduction
2. Materials and Methods
2.1. Study Design and Subjects
2.2. Blood Sampling
2.3. Isolation of Peripheral Blood Mononuclear Cells (PBMCs)
2.4. Genotyping
2.5. Statistical Procedures
3. Results
3.1. TPH2 Genotyping Analysis
3.1.1. Beck Depression Inventory (BDI)
3.1.2. Relationship Between Polymorphisms and Depression
4. Discussion
5. Conclusions
Author Contributions
Funding
Institutional Review Board Statement
Informed Consent Statement
Data Availability Statement
Acknowledgments
Conflicts of Interest
References
- Migliarini, S.; Pacini, G.; Pelosi, B.; Lunardi, G.; Pasqualetti, M. Lack of brain serotonin affects postnatal development and serotonergic neuronal circuitry for-mation. Mol. Psychiatry 2013, 18, 1106–1118. [Google Scholar] [CrossRef]
- Jacobsen, J.P.; Medvedev, I.O.; Caron, M.G. The 5-HT deficiency theory of depression: Perspectives from a naturalistic 5-HT deficiency model, the tryptophan hydroxylase 2Arg439His knockin mouse. Philos. Trans. R. Soc. Lond. B Biol. Sci. 2012, 367, 2444–2459. [Google Scholar] [CrossRef] [PubMed]
- Walther, D.J.; Peter, J.U.; Bashammakh, S.; Hörtnagl, H.; Voits, M.; Fink, H.; Bader, M. Synthesis of serotonin by a second tryptaphan hydroxylase isoform. Science 2003, 299, 76. [Google Scholar] [CrossRef] [PubMed]
- Patel, P.D.; Pontrello, C.; Burke, S. Robust and tissue-specific expression of TPH2 versus TPH1 in rat raphe and pineal gland. Biol. Psychiatry 2004, 55, 428–433. [Google Scholar] [CrossRef]
- Tesoro-Cruz, E.; Manuel-Apolinar, L.; Oviedo, N.; Orozco-Suárez, S.; Ramírez, M.C.; Bekker-Méndez, V.C.; Aguirre-García, M.M.; Rojas-Osornio, S.A.; Paredes-Cervantes, V.; de la Mora, M.P. Increase of 5-HT levels is induced both in mouse brain and HEK-293 cells following their exposure to a non-viral tryptophan hydroxylase construct. Transl. Psychiatry 2021, 11, 512. [Google Scholar] [CrossRef]
- López-Narváez, M.L.; Tovilla-Zárate, C.A.; González-Castro, T.B.; Juárez-Rojop, I.; Pool-García, S.; Genis, A.; Ble-Castillo, J.L.; Fresán, A. Association analysis of TPH-1 and TPH-2 genes with suicidal behavior in patients with attempted suicide in Mexican population. Compr. Psychiatr. 2015, 61, 72–77. [Google Scholar] [CrossRef]
- Zhang, Y.; Zhang, C.; Yuan, G.; Yao, J.; Cheng, Z.; Liu, C.; Liu, Q.; Wan, G.; Shi, G.; Cheng, Y.; et al. Effect of tryptophan hydroxylase-2 rs7305115 SNP on suicide attempts risk in major depression. Behav. Brain Funct. 2010, 6, 49–53. [Google Scholar] [CrossRef] [PubMed]
- Zupanc, T.; Pregelj, P.; Tomori, M.; Komel, R.; Paska, A.V. TPH2 polymorphisms and alcohol-related suicide. Neurosci. Lett. 2011, 490, 78–81. [Google Scholar] [CrossRef] [PubMed]
- Liu, Z.L.; Wang, X.Q.; Liu, M.F.; Ye, B.J. Meta-analysis of association between TPH2 single nucleotide poiymorphism and depression. Neurosci. Biobehav. Rev. 2022, 134, 104517. [Google Scholar] [CrossRef] [PubMed]
- Gao, J.; Pan, Z.; Jiao, Z.; Li, F.; Zhao, G.; Wei, Q.; Pan, F.; Evangelou, E. TPH2 Gene Polymorphisms and Major Depression—A Meta-Analysis. PLoS ONE 2012, 7, e36721. [Google Scholar] [CrossRef][Green Version]
- Gutknecht, L.; Jacob, C.; Strobel, A.; Kriegebaum, C.; Müller, J.; Zeng, Y.; Markert, C.; Escher, A.; Wendland, J.; Reif, A.; et al. Tryptophan hydroxylase-2 gene variation influences personality traits and disorders related to emotional dysregulation. Int. J. Neuropsychopharmacol. 2007, 10, 309–320. [Google Scholar] [CrossRef] [PubMed]
- Günthard, H.F.; Saag, M.S.; Benson, C.A.; del Rio, C.; Eron, J.J.; Gallant, J.E.; Hoy, J.F.; Mugavero, M.J.; Sax, P.E.; Thompson, M.A.; et al. Antiretroviral drugs for treatment and prevention of HIV infection in adults. JAMA 2016, 316, 191–210. [Google Scholar] [CrossRef] [PubMed]
- Sonenthal, P.D.; Ratshaa, B.; Chimbengo, G.; Rantleru, T.; Ngoni, T.; Barenbaum, S.; Platoff, R.; Steenhoff, A.P.; Gross, R. Baseline predictors of efavirenz-containing antiretroviral regimen adverse experiences. Pharmacoepidemiol. Drug Saf. 2014, 23, 773–777. [Google Scholar] [CrossRef]
- Dalwadi, D.A.; Ozuna, L.; Harvey, B.H.; Viljoen, M.; Schetz, J.A. Adverse Neuropsychiatric Events and Recreational Use of Efavirenz and Other HIV-1 Antiretroviral Drugs. Pharmacol. Rev. 2018, 70, 684–711. [Google Scholar] [CrossRef] [PubMed]
- Sumari-de Boer, M.; Schellekens, A.; Duinmaijer, A.; Lalashowi, J.M.; Swai, H.J.; de Mast, Q.; van der Ven, A.; Kinabo, G. Efavirenz is related to neuropsychiatric symptoms among adults, but not among adolescents living with human immunodeficiency virus in Kilimanjaro, Tanzania. Trop. Med. Int. Health 2018, 23, 164–172. [Google Scholar] [CrossRef]
- Gaida, R.; Truter, I.; Grobler, C.; Kotze, T.; Godman, B. A review of trials investigating efavirenz-induced neuropsychiatric side effects and the implica-tions. Expert. Rev. Anti Infect. Ther. 2016, 14, 377–388. [Google Scholar] [CrossRef] [PubMed]
- Haas, D.W.; Ribaudo, H.J.; Kim, R.B.; Tierney, C.; Wilkinson, G.R.; Gulick, R.M.; Clifford, D.B.; Hulgan, T.; Marzolini, C.; Acosta, E.P. Pharmacogenetics of efavirenz and central nervous system side effects: An Adult AIDS Clinical Trials Group study. AIDS 2004, 18, 2391–2400. Available online: https://pubmed.ncbi.nlm.nih.gov/15622315/ (accessed on 1 November 2024). [PubMed]
- Rotger, M.; Colombo, S.; Furrer, H.; Bleiber, G.; Buclin, T.; Lee, B.L.; Keiser, O.; Biollaz, J.; Décosterd, L.; Telenti, A. Influence of CYP2B6 polymorphism on plasma and intracellular concentrations and toxicity of efavirenz and nevirapine in HIV-infected patients. Pharmacogenet. Genom. 2005, 15, 1–5. [Google Scholar] [CrossRef] [PubMed]
- Mathiesen, S.; Stenz Justesen, U.; Von Lüttichau, H.R.; Eg Hansen, A.B. Genotyping of CYP2B6 and therapeutic drug monitoring in an HIV-infected patient with high efavirenz plasma concentrations and severe CNS side effects. Scand. J. Infect. Dis. 2006, 38, 733–735. [Google Scholar] [CrossRef] [PubMed]
- Desta, Z.; Saussele, T.; Ward, B.; Blievernicht, J.; Li, L.; Klein, K.; A Flockhart, D.; Zanger, U.M. Impact of CYP2B6 polymorphism on hepatic efavirenz metabolism in vitro. Pharmacogenomics 2007, 8, 547–558. [Google Scholar] [CrossRef] [PubMed]
- Gounden, V.; Van Niekerk, C.; Snyman, T.; George, J.A. Presence of the CYP2B6 516G.T polymorphism, increased plasma efavirenz concentrations and early neuropsychiatric side effects in South African HIV-infected patients. AIDS Res. Ther. 2010, 7, 32. [Google Scholar] [CrossRef] [PubMed]
- Kwara, A.; Lartey, M.; Sagoe, K.W.; Rzek, N.L.; Court, M.H. CYP2B6 (c.516G-T) and CYP2A6 (*9B and/or *17) polymorphisms are independent predictors of efavirenz plasma concentrations in HIV-infected patients. Br. J. Clin. Pharmacol. 2009, 67, 427–436. [Google Scholar] [CrossRef]
- Lowenhaupt, E.A.; Matson, K.; Qureishi, B.; Saitoh, A.; Pugatch, D. Psychosis in a 12-year-old HIV-positive girl with an increased serum concentration of efavirenz. Clin. Infect. Dis. 2007, 45, e128–e130. [Google Scholar] [CrossRef]
- Ramachandran, G.; Ramesh, K.; Kumar, A.K.H.; Jagan, I.; Vasantha, M.; Padmapriyadarsini, C.; Narendran, G.; Rajasekaran, S.; Swaminathan, S. Association of high T allele frequency of CYP2B6 G516T polymorphism among ethnic south Indian HIV-infected patients with elevated plasma efavirenz and nevirapine. J. Antimicrob. Chemother. 2009, 63, 841–843. [Google Scholar] [CrossRef][Green Version]
- Saitoh, A.; Fletcher, C.V.; Brundage, R.; Alvero, C.; Fenton, T.; Hsia, K.; Spector, S.A. Efavirenz pharmacokinetics in HIV-1-infected children are associated with CYP2B6-G516T polymorphism. J. Acquir. Immune Defic. Syndr. 2007, 45, 280–285. [Google Scholar] [CrossRef] [PubMed]
- Swart, M.; Skelton, M.; Ren, Y.; Smith, P.; Takuva, S.; Dandara, C. High predictive value of CYP2B6 SNPs for steady-state plasma efavirenz levels in South African HIV/AIDS patients. Pharmacogenet. Genom. 2013, 23, 415–427. [Google Scholar] [CrossRef]
- Wang, P.F.; Neiner, A.; Kharasch, E.D. Efavirenz Metabolism: Influence of Polymorphic CYP2B6 Variants and Stereochemistry. Drug Metab. Dispos. Biol. Fate Chem. 2019, 47, 1195–1205. [Google Scholar] [CrossRef] [PubMed]
- Rojas-Osornio, S.A.; Crespo-Ramírez, M.; Paredes-Cervantes, V.; Mata-Marín, A.; Martínez-Lara, R.; Pérez de la Mora, M.; Tesoro-Cruz, E. Oral Administration of Efavirenz Dysregulates the Tph2 Gene in Brain Serotonergic Areas and Alters Weight and Mood in Mice. Pharmaceuticals 2024, 801, 17. [Google Scholar] [CrossRef] [PubMed]
- Mandala, S.; Prathipatia, P.K.; Belshanb, M.; Destache, C.J. A potential long-acting bictegravir loaded nano-drug delivery system for HIV-1 infection: A proof-of-concept study. Antivir. Res. 2019, 167, 83–88. [Google Scholar] [CrossRef]
- Wood, R. Atazanavir: Its role in HIV treatment. Expert. Rev. Anti-Infect. Ther. 2008, 6, 785–796. [Google Scholar] [CrossRef]
- Beck, A.T.; Steer, A.R.; Carbin, G.M. Psychometric properties of the Beck Depression Inventory: Twenty-five years of evaluation. Clin. Psychol. Rev. 1988, 8, 77–100. [Google Scholar] [CrossRef]
- Teva, I.; Bermúdez, M.P.; Hernández-Quero, J.; Buela-Casal, G. Evaluación de la depresión, ansiedad e ira en pacientes con VIH/SIDA. Salud Ment. 2005, 28, 40–49. Available online: https://www.scielo.org.mx/scielo.php?script=sci_arttext&pid=S0185-33252005000500040 (accessed on 1 November 2024).
- Lagathu, C.; Béréziat, V.; Gorwood, J.; Fellahi, S.; Bastard, J.P.; Vigouroux, C.; Boccara, F.; Capeau, J. Metabolic complications affecting adipose tissue, lipid and glucose metabolism associated with HIV antiretroviral treatment. Expert. Opin. Drug Saf. 2019, 18, 829–840. [Google Scholar] [CrossRef] [PubMed]
- Palacios, R.; González, M.; Ruiz, J.; Santos, J. Efectos adversos de atazanavir. Enferm. Infecc. Microbiol. Clin. 2008, 26 (Suppl. 17), 41–44. [Google Scholar] [CrossRef] [PubMed]
- Guía de Manejo Antirretroviral de las Personas con VIH—México 2021. Centro Nacional para la Prevención y Control del VIH y el sida. Consejo Nacional para la Prevención y Control del Sida (Conasida)Subsecretaría de Prevención y Promoción de la SaludCentro Nacional para la Prevención y el Control del VIH y Sida (Censida). Gobierno de México. Available online: https://www.gob.mx/censida/documentos/guia-de-manejo-antirretroviral-de-las-personas-con-vih-mexico-2021-297710 (accessed on 1 November 2024).
- Dunn, E.C.; Brown, R.C.; Dai, Y.; Rosand, J.; Nugent, N.R.; Amstadter, A.B.; Smoller, J.W. Genetic determinants of depression: Recent findings and future directions. Harv. Rev. Psychiatry 2015, 23, 1–18. [Google Scholar] [CrossRef] [PubMed]
- Gebru, T.; Ejara, D.; Yalew, A.; Deyessa, N. Prevalence of depression and associated factors among HIV/AIDS patients attending antiretroviral therapy clinic at Adama Hospital Medical College, Adama, Central Ethiopia. Sci. Rep. 2024, 14, 1642. [Google Scholar] [CrossRef] [PubMed]
- Zhang, X.; Nicholls, P.J.; Laje, G.; Sotnikova, T.D.; Gainetdinov, R.R.; Albert, P.R.; Rajkowska, G.; A Stockmeier, C.; Speer, M.C.; Steffens, D.C.; et al. A functional alternative splicing mutation in human tryptophan hydroxylase-2. Mol. Psychiatry 2011, 16, 1169–1176. [Google Scholar] [CrossRef][Green Version]
- Ke, L.; Qi, Z.Y.; Ping, Y.; Ren, C.Y. Effect of SNP at position 40237 in exon 7 of the TPH2 gene on susceptibility to suicide. Brain Res. 2006, 1122, 24–26. [Google Scholar] [CrossRef] [PubMed]
- González-Castro, T.B.; Juárez-Rojop, I.; López-Narváez, M.L.; Tovilla-Zárate, C.A. Association of TPH-1 and TPH-2 gene polymorphisms with suicidal behavior: A systematic review and meta-analysis. BMC Psychiatry 2014, 14, 196. [Google Scholar] [CrossRef] [PubMed]
- Inoue, H.; Yamasue, H.; Tochigi, M.; Takei, K.; Suga, M.; Abe, O.; Yamada, H.; Rogers, M.A.; Aoki, S.; Sasaki, T.; et al. Effect of tryptophan hydroxylase-2 gene variants on amygdalar and hippo-campal volumes. Brain Res. 2010, 1331, 51–57. [Google Scholar] [CrossRef]
- Kim, Y.-K.; Lee, H.-J.; Yang, J.-C.; Hwang, J.-A.; Yoon, H.-K. A Tryptophan Hydroxylase 2 Gene Polymorphism is Associated with Panic Disorder. Behav. Genet. 2009, 39, 170–175. [Google Scholar] [CrossRef] [PubMed]
- Grant, B.F.; Hardford, T.C. Comorbidity between DSM-IV alcohol use disorders and major depression: Results of a national survey. Drug Alcohol. Depend. 1995, 39, 197–206. [Google Scholar] [CrossRef] [PubMed]
- Ross, H.E. DSM-III-R alcohol abuse and dependence and psychiatric comorbidity in Ontario: Results from the mental health supplement to the Ontario Health Survey. Drug Alcohol. Depend. 1995, 39, 111–128. [Google Scholar] [CrossRef]
- Kessler, R.C.; Nelon, C.B.; McGonagle, K.A.; Liu, J.; Swartz, M.; Blazer, D.G. Comorbidity of DSM-III-R major depressive disorder in the general population: Results from the US National Comorbidity Survey. Br. J. Psychiatry 1996, 168 (Suppl. 30), 17–30. Available online: https://pubmed.ncbi.nlm.nih.gov/8864145/ (accessed on 1 November 2024). [CrossRef]
- Kessler, R.C.; Crum, R.M.; Warner, L.A.; Nelson, C.B.; Schulenberg, J.; Anthony, J.C. Lifetime co-occurrence of DSM-III-R alcohol abuse and dependence with other psychiatric disorders in the national Comorbidity Survey. Arch. Gen. Psychiatry 1997, 54, 313–324. [Google Scholar] [CrossRef] [PubMed]
- Sher, L.; Oquendo, M.A.; Li, S.; Huang, Y.; Grunebaum, M.F.; Burke, A.K.; Malone, K.M.; Mann, J.J. Lower CSF homovanillic acid levels in depressed patients with a history of alcoholism. Neuropsychopharmacology 2003, 28, 1712–1719. [Google Scholar] [CrossRef] [PubMed]
- Agrawal, A.; Lynskey, M.T.; Todorov, A.A.; Schrage, A.J.; Littlefield, A.K.; Grant, J.D.; Zhu, Q.; Nelson, E.C.; Madden, P.A.; Bucholz, K.K.; et al. A can-didate gene association study of alcohol consumption in young women. Alcohol. Clin. Exp. Res. 2011, 35, 550–558. [Google Scholar] [CrossRef] [PubMed]
- Gacek, P.; Conner, T.S.; Tennen, H.; Kranzler, H.R.; Covault, J. Tryptophan hydroxylase 2 gene and alcohol use among college students. Addict. Biol. 2008, 13, 440–448. [Google Scholar] [CrossRef] [PubMed]
- Bragatti, J.A.; Bandeira, I.C.; de Carvalho, A.M.; Abujamra, A.L.; Leistner-Segal, S.; Bianchin, M.M. Tryptophan hydroxylase 2 (TPH2) gene polymorphisms and psychiatric comorbidities in temporal lobe epilepsy. Epilepsy Behav. 2014, 32, 59–63. [Google Scholar] [CrossRef]
- Wray, N.R.; Ripke, S.; Mattheisen, M.; Trzaskowski, M.; Byrne, E.M.; Abdellaoui, A.; Adams, M.J.; Agerbo, E.; Air, T.M.; Andlauer, T.M.F.; et al. Genome-wide association analysis identify 44 risk variants and refine the genetic architecture of major depression. Nat. Genet. 2018, 50, 668–681. [Google Scholar] [CrossRef]


| Control n (%) | TDF/FTC + EFV n (%) | TDF/FTC + ATV/r n (%) | ||||
|---|---|---|---|---|---|---|
| Anthropometry | ||||||
| Sex | Male | 18 (30.5) | 39 (100) | 42 (100) | ||
| Female | 41 (69.4) | 0 | 0 | |||
| Age (years) | 19–29 | 40 (67.7) | 30 (76.9) | 23 (54.7) | ||
| 30–39 | 2 (3.3) | 8 (20.5) | 16 (38) | |||
| 40–49 | 17 (28.8) | 1 (2.5) | 3 (7.1) | |||
| BMI | Underweight | 2 (6) | 1 (2.8) | |||
| Normoweight | 22 (57.5) | 25 (60) | ||||
| Overweight | 11 (27.2) | 12 (28.5) | ||||
| Obesity | 4 (9) | 4 (8.5) | ||||
| Psychoactive Substances | ||||||
| Smoker | 21 (53.8) | 17 (41.4) | ||||
| Alcohol drinker | 23 (58.9) | 27 (63.4) | ||||
| Laboratory Elements | ||||||
| Start | After 4 weeks | Start | After 4 weeks | |||
| Cr mg/dL (0.6–1.2) | 0.91 (± 0.2) | 0.90 (± 0.1) | 0.88 (± 0.16) | 0.94 (± 0.13) | ||
| ALT U/L (4–36) | 32.13 (± 18.9) | 50.77 (± 54.0) | 38.26 (± 24.2) | 32.5 (± 21.48) | ||
| AST U/L (8–33) | 25.6 (± 9.5) | 36.27 (± 25.8) | 29.85 (± 17.4) | 24.42 (± 7.1) | ||
| TC mg/dL (200) | 139.94 (± 36.2) | 163.09 (± 33.36) | 133.15 (± 46.0) | 147.4 (± 32.9) | ||
| TG mg/dL (150) | 151.4 (± 106.8) | 191.18 (± 103.0) | 138.82 (± 67.3) | 199.8 (± 111) | ||
| TBIL mg/dL (0.1–1.2) | 0.73 (± 0.3) | 0.42 (± 0.16) | 0.67 (± 0.31) | 3.34 (± 1.98) | ||
| UBIL mg/dL (0.8) | 0.45 (± 0.2) | 0.25 (± 0.11) | 0.41 (± 0.27) | 3.38 (± 3.52) | ||
| Polymorphism | Genotype | Control n (%) | TDF/FTC + EFV n (%) | OR (95% CI) | p Value | TDF/FTC + ATV/r n (%) | OR (95% CI) | p Value |
|---|---|---|---|---|---|---|---|---|
| rs7305115 A > G | A/A | 12 (20.3) | 8 (20.5) | 0.989 | 0.983 | 12 (28.5) | 0.638 | 0.338 |
| A/G | 32 (54.2) | 20 (51.2) | 1.126 | 0.774 | 17 (40.4) | 1.743 | 0.172 | |
| G/G | 15 (25.4) | 11 (28.2) | 0.868 | 0.760 | 13 (30.9) | 0.760 | 0.540 | |
| rs4570625 G > T | G/G | 21 (35.5) | 14 (35.8) | 0.987 | 0.975 | 12 (28.5) | 1.382 | 0.458 |
| G/T | 30 (50.8) | 19 (48.7) | 1.089 | 0.836 | 25 (59.5) | 0.703 | 0.388 | |
| T/T | 8 (13.5) | 6 (15.3) | 0.862 | 0.800 | 5 (11.9) | 1.161 | 0.806 | |
| rs1386493 A > G | A/A | 3 (5.0) | 3 (7.6) | 0.643 | 0.598 | 3 (7.1) | 0.696 | 0.666 |
| A/G | 17 (28.8) | 11 (28.2) | 1.030 | 0.948 | 11 (26.1) | 1.141 | 0.771 | |
| G/G | 39 (66.1) | 25 (64.1) | 1.092 | 0.838 | 28 (66.6) | 0.975 | 0.952 |
| Beck Depression Inventory (BDI) | Control n = 59 (%) | Patients on TDF/FTC + EFV n = 39 (%) | Patients on TDF/FTC + ATV/r n = 42 (%) | ||
|---|---|---|---|---|---|
| Start | After 4 Weeks | Start | After 4 Weeks | ||
| No depression | 44 (74.5) | 0 (0) | 0 (0) | 0 (0) | 0 (0) |
| Mild depression | 8 (13.5) | 0 (0) | 0 (0) | 0 (0) | 0 (0) |
| Moderate depression | 4 (6.7) | 14 (35.8) | 4 (9.5) | 11 (26.1) | 5 (12.5) |
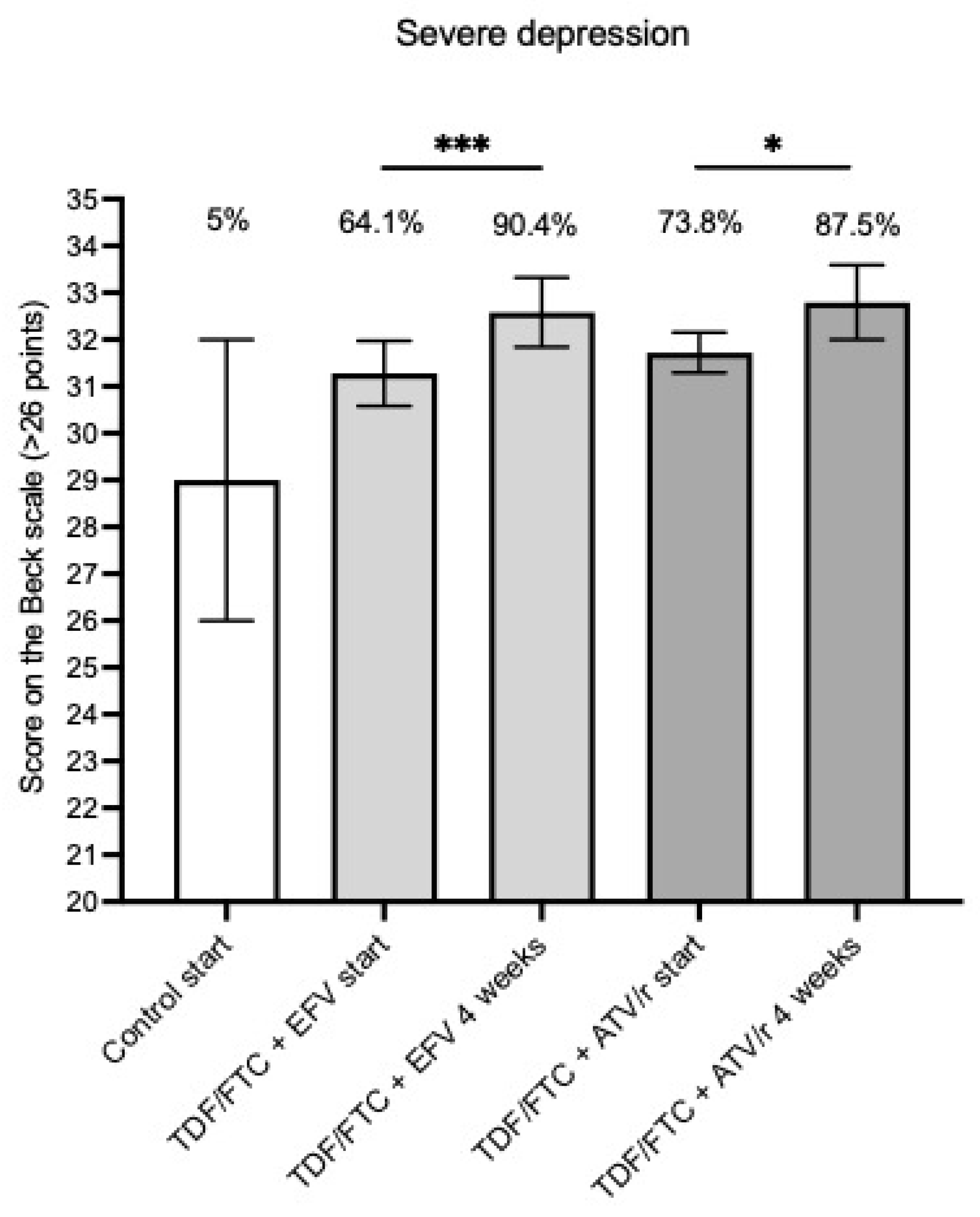
| Severe depression | 3 (5.0) | 25 (64.1) | 35 (90.4) *** | 31 (73.8) | 37 (87.5) * |
| BDI Basal Score | |||||||
|---|---|---|---|---|---|---|---|
| Control n (%) | TDF/FTC + EFV n (%) | RR | p Value | TDF/FTC + ATV/r n (%) | RR | p Value | |
| SNP | rs7305115GG | ||||||
| No depression | 12 (20.3) | 0 (0) | 0.55 | ** 0.002 | 0 (0) | 0.53 | ** 0.001 |
| Mild depression | 2 (3.3) | 0 (0) | 0.59 | 0.515 | 0 (0) | 0.58 | 0.509 |
| Moderate depression | 0 (0) | 0 (0) | 0.00 | --- | 0 (0) | 0.00 | --- |
| Severe depression | 0 (0) | 8 (20.5) | + infinity | *** 0.0004 | 12 (28.5) | + infinity | **** <0.0001 |
| SNP | rs4570625TT | ||||||
| No depression | 4 (6.7) | 0 (0) | 0.59 | 0.148 | 0 (0) | 0.57 | 0.138 |
| Mild depression | 2 (3.3) | 0 (0) | 0.59 | 0.515 | 0 (0) | 0.58 | 0.509 |
| Moderate depression | 0 (0) | 1 (2.5) | + infinity | 0.398 | 0 (0) | + infinity | >0.9 |
| Severe depression | 2 (3.3) | 4 (10.2) | 1.85 | 0.211 | 5 (11.9) | 2.12 | 0.124 |
| SNP | rs1386493GG | ||||||
| No depression | 23 (38.9) | 0 (0) | 0.48 | **** <0.0001 | 0 (0) | 0.46 | **** <0.0001 |
| Mild depression | 5 (8.4) | 0 (0) | 0.58 | 0.153 | 0 (0) | 0.56 | 0.073 |
| Moderate depression | 1 (1.6) | 1 (2.5) | 1.20 | >0.9 | 0 (0) | 0.58 | >0.9 |
| Severe depression | 4 (6.7) | 24 (61.5) | 5.50 | **** <0.0001 | 26 (61.9) | 5.81 | **** <0.0001 |
Disclaimer/Publisher’s Note: The statements, opinions and data contained in all publications are solely those of the individual author(s) and contributor(s) and not of MDPI and/or the editor(s). MDPI and/or the editor(s) disclaim responsibility for any injury to people or property resulting from any ideas, methods, instructions or products referred to in the content. |
© 2024 by the authors. Licensee MDPI, Basel, Switzerland. This article is an open access article distributed under the terms and conditions of the Creative Commons Attribution (CC BY) license (https://creativecommons.org/licenses/by/4.0/).
Share and Cite
Rojas-Osornio, S.A.; Guerra-Castillo, F.; Mata-Marín, A.; Paredes-Cervantes, V.; Aguirre-Alvarado, C.; Bekker-Méndez, C.; Pérez-Sánchez, G.; Molina-López, J.; Ortiz-Maganda, M.; Mercado-Méndez, A.; et al. High Prevalence of Severe Depression in Mexican Patients Diagnosed with HIV Treated with Efavirenz and Atazanavir: Clinical Follow-Up at Four Weeks and Analysis of TPH2 SNPs. J. Clin. Med. 2024, 13, 7823. https://doi.org/10.3390/jcm13247823
Rojas-Osornio SA, Guerra-Castillo F, Mata-Marín A, Paredes-Cervantes V, Aguirre-Alvarado C, Bekker-Méndez C, Pérez-Sánchez G, Molina-López J, Ortiz-Maganda M, Mercado-Méndez A, et al. High Prevalence of Severe Depression in Mexican Patients Diagnosed with HIV Treated with Efavirenz and Atazanavir: Clinical Follow-Up at Four Weeks and Analysis of TPH2 SNPs. Journal of Clinical Medicine. 2024; 13(24):7823. https://doi.org/10.3390/jcm13247823
Chicago/Turabian StyleRojas-Osornio, Sandra Angélica, Francisco Guerra-Castillo, Antonio Mata-Marín, Vladimir Paredes-Cervantes, Charmina Aguirre-Alvarado, Carolina Bekker-Méndez, Gilberto Pérez-Sánchez, José Molina-López, Mónica Ortiz-Maganda, Aurora Mercado-Méndez, and et al. 2024. "High Prevalence of Severe Depression in Mexican Patients Diagnosed with HIV Treated with Efavirenz and Atazanavir: Clinical Follow-Up at Four Weeks and Analysis of TPH2 SNPs" Journal of Clinical Medicine 13, no. 24: 7823. https://doi.org/10.3390/jcm13247823
APA StyleRojas-Osornio, S. A., Guerra-Castillo, F., Mata-Marín, A., Paredes-Cervantes, V., Aguirre-Alvarado, C., Bekker-Méndez, C., Pérez-Sánchez, G., Molina-López, J., Ortiz-Maganda, M., Mercado-Méndez, A., & Tesoro-Cruz, E. (2024). High Prevalence of Severe Depression in Mexican Patients Diagnosed with HIV Treated with Efavirenz and Atazanavir: Clinical Follow-Up at Four Weeks and Analysis of TPH2 SNPs. Journal of Clinical Medicine, 13(24), 7823. https://doi.org/10.3390/jcm13247823

