No Obesity Paradox for Health-Related Quality of Life in Patients with Heart Failure and Reduced Ejection Fraction: Insights from the VIDA Multicenter Study
Abstract
1. Introduction
2. Materials and Methods
3. Results
3.1. Baseline Patient Characteristics and Differences Between BMI Categories
3.2. Analysis of Quality of Life According Obesity Status
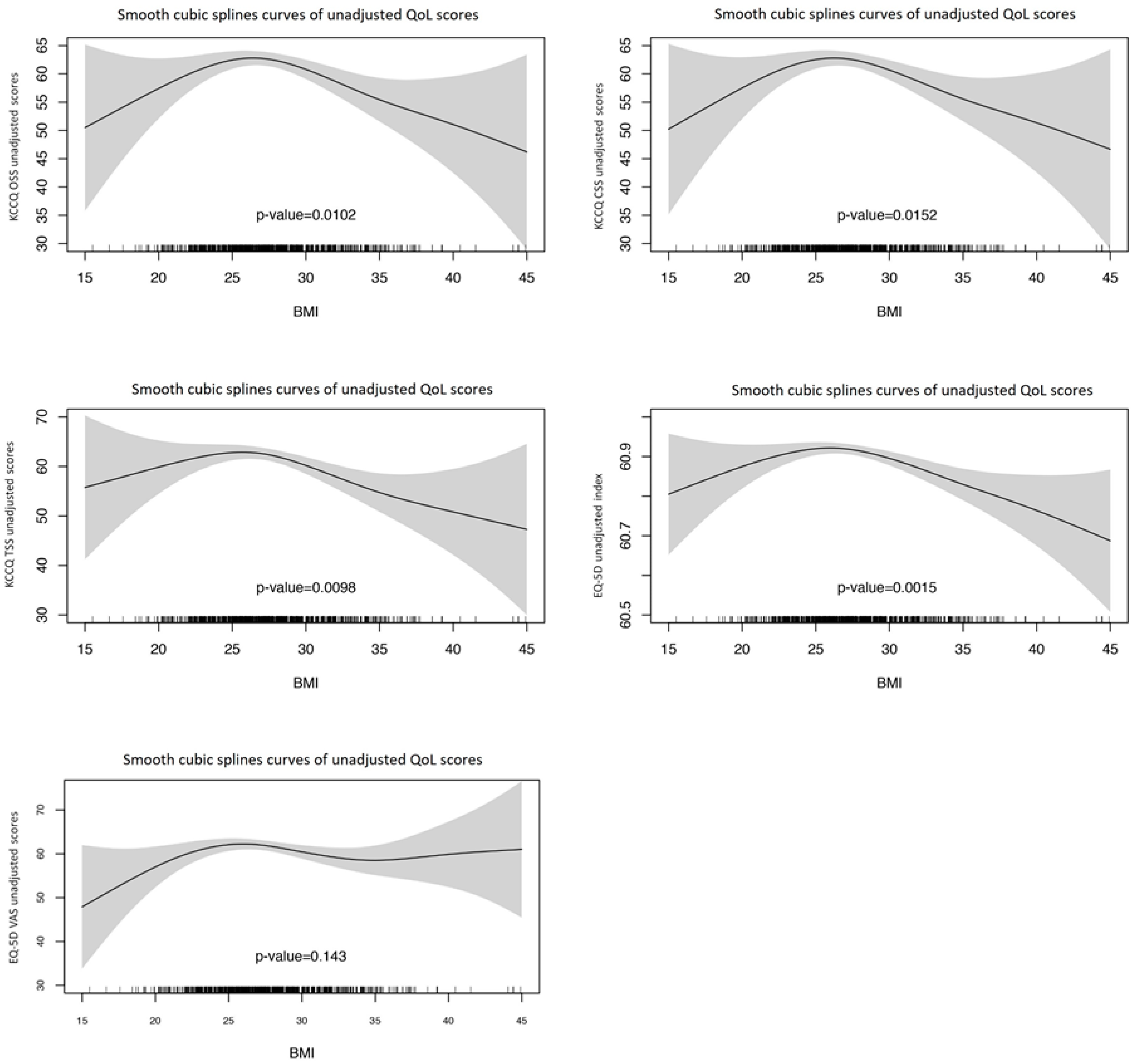
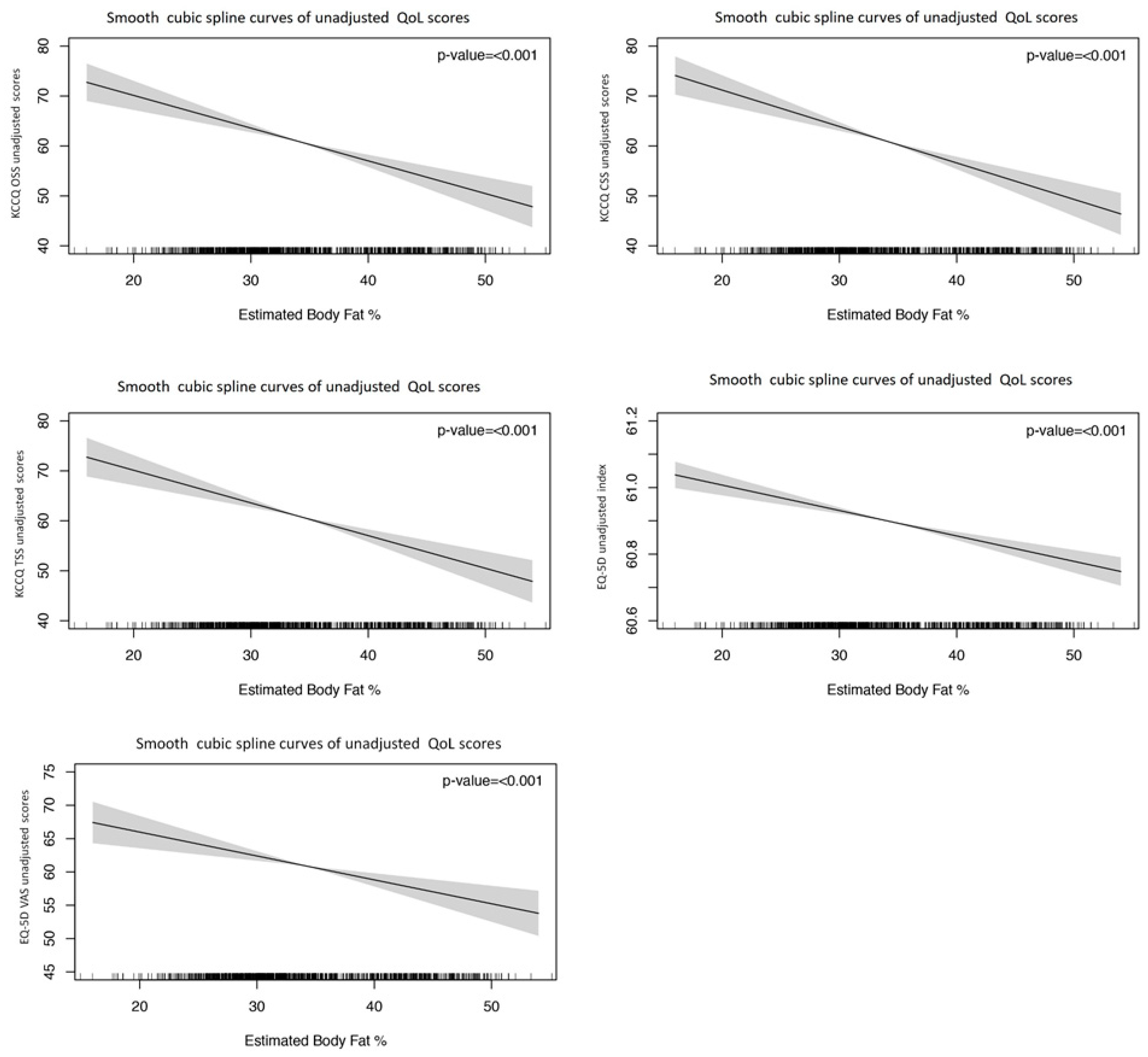
3.3. Analysis of the Influence of BMI and BAE on QoL
4. Discussion
5. Limitations
6. Conclusions
Supplementary Materials
Author Contributions
Funding
Institutional Review Board Statement
Informed Consent Statement
Data Availability Statement
Acknowledgments
Conflicts of Interest
References
- Reddy, Y.N.V.; Rikhi, A.; Obokata, M.; Shah, S.J.; Lewis, G.D.; AbouEzzedine, O.F.; Dunlay, S.; McNulty, S.; Chakraborty, H.; Stevenson, L.W.; et al. Quality of life in heart failure with preserved ejection fraction: Importance of obesity, functional capacity, and physical inactivity. Eur. J. Heart Fail. 2020, 22, 1009–1018. [Google Scholar] [CrossRef] [PubMed]
- Farré, N.; Vela, E.; Clèries, M.; Bustins, M.; Caínzos-Achirica, M.; Enjuanes, C.; Comín Colet, J. Real world heart failure epidemiology and outcome: A population-based analysis of 88,195 patients. PLoS ONE 2017, 1, 12. [Google Scholar] [CrossRef] [PubMed]
- Farré, N.; Vela, E.; Clèries, M.; Bustins, M.; Cainzos-Achirica, M.; Enjuanes, C.; Moliner, P.; Ruiz, S.; Verdú-Rotellar, J.M.; Comín-Colet, J. Medical resource use and expenditure in patients with chronic heart failure: A population-based analysis of 88 195 patients. Eur. J. Heart Fail. 2016, 18, 1132–1140. [Google Scholar] [CrossRef] [PubMed]
- Tamara, B.H.; Gregg, C.F.; Adrienne, L.C. Obesity and the Obesity Paradox in Heart Failure. Prog. Cardiovasc. Dis. 2018, 61, 151–156. [Google Scholar]
- Butt, J.H.; Petrie, M.C.; Jhund, P.S.; Sattar, N.; Desai, A.S.; Køber, L.; Rouleau, J.L.; Swedberg, K.; Zile, M.R.; Solomon, S.D.; et al. Anthropometric measures and adverse outcomes in heart failure with reduced ejection fraction: Revisiting the obesity paradox. Eur. Heart J. 2023, 44, 1136–1153. [Google Scholar] [CrossRef]
- Farré, N.; Aranyó, J.; Enjuanes, C.; Verdú-Rotellar, J.M.; Ruiz, S.; Gonzalez-Robledo, G.; Meroño, O.; de Ramon, M.; Moliner, P.; Bruguera, J.; et al. Differences in neurohormonal activity partially explain the obesity paradox in patients with heart failure: The role of sympathetic activation. Int. J. Cardiol. 2015, 181, 120–126. [Google Scholar] [CrossRef]
- Gavaldà-Manso, M.; Jimenez-Marrero, S.; Cainzos-Achirica, M.; Garay, A.; Enjuanes, C.; Yun, S.; Diez, C.; Gonzalez-Costello, J.; Tajes, M.; Farre, N.; et al. Reduced levels of vasopressin, an independent mechanism in the obesity paradox in patients with chronic heart failure: Insights from the DAMOCLES study. Int. J. Cardiol. 2019, 276, 171–176. [Google Scholar] [CrossRef]
- Oga, E.A.; Eseyin, O.R. The Obesity Paradox and Heart Failure: A Systematic Review of a Decade of Evidence. J. Obes. 2016, 2016, 9040248. [Google Scholar] [CrossRef]
- Anker, S.D.; Agewall, S.; Borggrefe, M.; Calvert, M.; Jaime Caro, J.; Cowie, M.R.; Kirchhof, P. The importance of patient-reported outcomes: A call for their compr hensive integration in cardiovascular clinical trials. Eur. Heart J. 2014, 35, 2001–2009. [Google Scholar] [CrossRef]
- Rumsfeld, J.S.; Alexander, K.P.; Goff, D.C.; Graham, M.M.; Ho, P.M.; Masoudi, F.A.; Zerwic, J.J. Cardiovascular health: The importance of measuring patient-reported health status a scientific statement from the American heart association. Circulation 2013, 127, 2233–2249. [Google Scholar] [CrossRef]
- Ties, D.; Singh, T.K.; Zhang, X.; van Veghel, D.; Schalkers, I.; Groot, H.; Krabbe, P.F.M.; van der Harst, P. What really matters: A patient-centered instrument to evaluate health-related quality of life in cardiovascular disease. Eur. Heart J. Qual. Care Clin. Outcomes 2022, 8, 722–729. [Google Scholar] [CrossRef] [PubMed]
- Pinheiro, L.C.; Reshetnyak, E.; Sterling, M.R.; Richman, J.S.; Kern, L.M.; Safford, M.M. Using health-related quality of life to predict cardiovascular disease events. Qual. Life Res. 2019, 28, 1465–1475. [Google Scholar] [CrossRef] [PubMed]
- Chandra, A.; Vaduganathan, M.; Lewis, E.F.; Claggett, B.L.; Rizkala, A.R.; Wang, W. Health-Related Quality of Life in Heart Failure with Preserved Ejection Fraction: The PARAGON-HF Trial. JACC Heart Fail. 2019, 7, 862–874. [Google Scholar] [CrossRef] [PubMed]
- FDA. Guidance for Industry Patient-Reported Outcome Measures: Use in Medical Product Development to Support Labeling Claims; FDA: Rockville, MD, USA, 2009.
- Comín-Colet, J.; Anguita, M.; Formiga, F.; Almenar, L.; Crespo-Leiro, M.G.; Manzano, L.; Muñiz, J.; Chaves, J.; de Frutos, T.; Enjuanes, C. Health-related Quality of Life of Patients with Chronic Systolic Heart Failure in Spain: Results of the VIDA-IC Study. Rev. Esp. Cardiol. 2016, 69, 256–271. [Google Scholar] [CrossRef]
- Evangelista, L.S.; Moser, D.K.; Westlake, C.; Hamilton, M.A.; Fonarow, G.C.; Dracup, K. Impact of obesity on quality of life and depression in patients with heart failure. Eur. J. Heart Fail. 2006, 8, 750–755. [Google Scholar] [CrossRef]
- Iqbal, J.; Francis, L.; Reid, J.; Murray, S.; Denvir, M. Quality of life in patients with chronic heart failure and their carers: A 3-year follow-up study assessing hospitalization and mortality. Eur. J. Heart Fail. 2010, 12, 1002–1008. [Google Scholar] [CrossRef]
- Lupón, J.; Gastelurrutia, P.; de Antonio, M.; González, B.; Cano, L.; Cabanes, R.; Urrutia, A.; Díez, C.; Coll, R.; Altimir, S.; et al. Quality of life monitoring in ambulatory heart failure patients: Temporal changes and prognostic value. Eur. J. Heart Fail. 2013, 15, 103–109. [Google Scholar] [CrossRef]
- Rubio, R.; Palacios, B.; Varela, L.; Fernández, R.; Correa, S.C.; Estupiñan, M.F.; Calvo, E.; José, N.; Muñoz, M.R.; Yun, S.; et al. Quality of life and disease experience in patients with heart failure with reduced ejection fraction in Spain: A mixed-methods study. BMJ Open. 2021, 11, e053216. [Google Scholar] [CrossRef]
- Xu, Y.; Zhou, Z.; Li, Y.; Yang, J.; Guo, X.; Gao, J.; Yan, J.; Chen, G. Exploring the nonlinear relationship between body mass index and health-related quality of life among adults: A cross-sectional study in Shaanxi Province, China. Health Qual. Life Outcomes 2015, 13, 153. [Google Scholar] [CrossRef]
- Müller-Nordhorn, J.; Muckelbauer, R.; Englert, H.; Grittner, U.; Berger, H.; Sonntag, F.; Völler, H.; Prugger, C.; Wegscheider, K.; Katus, H.A.; et al. Longitudinal association between body mass index and health-related quality of life. PLoS ONE 2014, 9, e93071. [Google Scholar] [CrossRef]
- Green, C.P.; Porter, C.B.; Bresnahan, D.R.; Spertus, J.A. Development and Evaluation of the Kansas City Cardiomyopathy Questionnaire: A New Health Status Measure for Heart Failure. J. Am. Coll. Cardiol. 2000, 35, 1245–1255. [Google Scholar] [CrossRef] [PubMed]
- Badia, X.; Roset, M.; Herdman, M.; Kind, P. A comparison of United Kingdom and Spanish general population time trade-off values for EQ-5D health states. Med. Decis. Mak. 2001, 21, 7–16. [Google Scholar] [CrossRef] [PubMed]
- Gómez-Ambrosi, J.; Silva, C.; Catalán, V.; Rodríguez, A.; Galofré, J.C.; Escalada, J.; Valentí, V.; Rotellar, F.; Romero, S.; Ramírez, B.; et al. Clinical usefulness of a new equation for estimating body fat. Diabetes Care 2012, 35, 383–388. [Google Scholar] [CrossRef] [PubMed]
- Clark, A.L.; Chyu, J.; Horwich, T.B. The obesity paradox in men versus women with systolic heart failure. Am. J. Cardiol. 2012, 110, 77–82. [Google Scholar] [CrossRef]
- Curtis, J.P.; Selter, J.G.; Wang, Y.; Rathore, S.S.; Jovin, I.S.; Jadbabaie, F.; Krumholz, H.M. The obesity paradox: Body mass index and outcomes in patients with heart failure. Arch. Intern. Med. 2005, 165, 55–61. [Google Scholar] [CrossRef]
- Clark, A.L.; Fonarow, G.C.; Horwich, T.B. Waist circumference, body mass index, and survival in systolic heart failure: The obesity paradox revisited. J. Card. Fail. 2011, 17, 374–380. [Google Scholar] [CrossRef]
- Lavie, C.J.; Cahalin, L.P.; Chase, P.; Myers, J.; Bensimhon, D.; Peberdy, M.A.; Ashley, E.; West, E.; Forman, D.E.; Guazzi, M.; et al. Impact of cardiorespiratory fitness on the obesity paradox in patients with heart failure. Mayo Clin. Proc. 2013, 88, 251–258. [Google Scholar] [CrossRef]
- Carbone, S.; Lavie, C.J.; Arena, R. Obesity and Heart Failure: Focus on the Obesity Paradox. Mayo Clin. Proc. 2017, 92, 266–279. [Google Scholar] [CrossRef]



| Whole Cohort N = 1028 | Non-Obese N = 789 | Obese (BMI ≥ 30 kg/m2) N = 239 | p-Value | |
|---|---|---|---|---|
| Demographics | ||||
| Age, years | 70 ± 11 | 71 ± 11 | 69 ± 11 | 0.066 |
| BMI, kg/m2 | 27.7 ± 4 | 26.1 ± 2 | 32.9 ± 3 | <0.001 |
| Gender (female) n (%) | 309 (30.1) | 211 (26.7) | 98 (41.0) | <0.001 |
| Systolic blood pressure, mmHg | 127 ± 19 | 126 ± 18 | 131 ± 20 | <0.001 |
| Heart rate, bpm | 74 ± 16 | 74 ± 15 | 75 ± 16 | 0.429 |
| NYHA functional class, n (%) | ||||
| I–II | 546 (54.9) | 441 (57.3) | 105 (46.7) | <0.001 |
| III–IV | 448 (45.1) | 328 (42.7) | 120 (53.3) | <0.001 |
| Previous hospitalization for HF, n (%) | 860 (83.7) | 653 (82.8) | 207 (86.6) | 0.194 |
| Hospitalization for HF < 6 months, n (%) | 521 (50.0) | 390 (49.4) | 131 (54.8) | 0.161 |
| Time since HF diagnosis > 1 year, n (%) | 695 (67.6) | 534 (74.6) | 161 (73.2) | 0.724 |
| Ischemic etiology, n (%) | 521 (50.7) | 395 (50.1) | 126 (52.7) | 0.506 |
| LVEF (%) | 34 ± 7 | 34 ± 6 | 33 ± 7 | 0.172 |
| Comorbidities | ||||
| Arterial hypertension, n (%) | 815 (79.3) | 609 (77.2) | 206 (86.2) | 0.003 |
| Diabetes mellitus, n (%) | 450 (43.8) | 323 (40.9) | 127 (53.1) | 0.001 |
| Previous AMI, n (%) | 447 (43.5) | 339 (43.0) | 108 (45.2) | 0.552 |
| Hypercholesterolemia, n (%) | 704 (68.5) | 515 (65.3) | 189 (79.1) | <0.001 |
| CKD, n (%) | 242 (23.5) | 179 (22.7) | 63 (26.4) | 0.258 |
| Atrial fibrillation, n (%) | 449 (43.7) | 345 (43.7) | 104 (43.5) | 1.000 |
| Anemia, n (%) | 194 (18.9) | 138 (17.5) | 56 (23.4) | 0.047 |
| COPD or emphysema, n (%) | 199 (19.4) | 147 (18.6) | 52 (21.8) | 0.304 |
| TIA/CVA, n (%) | 142 (13.8) | 104 (13.2) | 38 (15.9) | 0.286 |
| Pulmonary hypertension, n (%) | 204 (19.8) | 158 (20.0) | 46 (19.2) | 0.853 |
| Cancer, no. (%) | 81 (7.9) | 63 (8.0) | 18 (7.5) | 0.892 |
| Liver disease, n (%) | 43 (4.2) | 31 (3.9) | 12 (5.0) | 0.462 |
| Low weight, n (%) | 13 (1.3) | 13 (1.6) | 0 (0) | 0.047 |
| Overweight, n (%) | 801 (77.9) | 562 (71.2) | 239 (100) | <0.001 |
| Sleep apnea, n (%) | 94 (9.1) | 51 (6.5) | 43 (18.0) | <0.001 |
| Anemia, n (%) | 194 (18.9) | 138 (17.5) | 56 (23.4) | 0.047 |
| Number of comorbidities, points | 4.7 ± 2 | 4.5 ± 2 | 5.4 ± 2 | <0.001 |
| Treatment | ||||
| ACEi or ARBs | 922 (89.7) | 702 (89.0) | 220 (92.1) | 0.184 |
| Beta blockers | 787 (76.6) | 600 (76.0) | 187 (78.2) | 0.542 |
| MRA | 684 (66.5) | 520 (65.9) | 164 (68.6) | 0.481 |
| Ivabradine | 91 (8.9) | 72 (9.1) | 19 (7.9) | 0.697 |
| Digital | 221 (21.5) | 171 (21.7) | 50 (20.9) | 0.858 |
| Diuretics | 917 (89.2) | 703 (89.1) | 214 (89.5) | 0.906 |
| Statins | 779 (75.8) | 586 (74.3) | 193 (80.8) | 0.047 |
| Antiplatelet agents | 618 (60.1) | 467 (59.2) | 151 (63.2) | 0.291 |
| Anticoagulants | 410 (39.9) | 309 (39.2) | 101 (42.3) | 0.407 |
| Laboratory | ||||
| Hemoglobin, g/dL | 12.9 ± 1.7 | 12.9 ± 1.7 | 12.8 ± 1.7 | 0.483 |
| Creatinine mg/dL | 1.31 ± 0.8 | 1.29 ± 0.76 | 1.37 ± 0.90 | 0.184 |
| Creatinine clearance mL/min/1.73 m2 | 61.2 ± 27 | 61.1 ± 26 | 61.3 ± 31 | 0.954 |
| Creatinine clearance <60, n (%) | 259 (45) | 191 (44) | 68 (49) | 0.328 |
| NT-proBNP, pg/mL, (median, IQR) | 1135 [503–2392] | 410 [260–1700] | 618 [395.25–2148] | 0.809 |
| BNP, (pg/mL) (median, IQR) | 218.5 [124–430.50] | 198 [107–596] | 112 [93.5–181] | 0.003 |
| Dependent Variables | BMI | BAE | ||
|---|---|---|---|---|
| KCCQ | Parametric p-Value | Non-Parametric p-Value | Parametric p-Value | Non-Parametric p-Value |
| Subdomain Score | ||||
| Physical limitation | 0.3382 | 0.004297 | <0.001 | 0.6476 |
| Stability of symptoms | 0.3632 | 0.04502 | 0.443 | 0.321 |
| Symptom frequency | 0.02026 | 0.02452 | <0.001 | 0.3157 |
| Burden of symptoms | 0.01003 | 0.03059 | <0.001 | 0.6089 |
| Self-efficacy | 0.02703 | 0.2681 | 0.001102 | 0.01074 |
| Quality of life | 0.2715 | 0.01515 | 0.0001383 | 0.3082 |
| Social limitation | 0.05831 | 0.003436 | <0.001 | 0.4025 |
| KCCQ, summary measures | ||||
| Overall summary score | 0.07085 | 0.004032 | <0.001 | 0.5897 |
| Clinical summary score | 0.07325 | 0.006469 | <0.001 | 0.602 |
| Summary symptom score | 0.01206 | 0.02308 | <0.001 | 0.464 |
| EQ-5D, summary measurements | ||||
| Overall EQ-5D index | 0.008009 | 0.002694 | <0.001 | 0.3393 |
| Visual analogue scale | 0.5857 | 0.01461 | <0.001 | 0.1583 |
Disclaimer/Publisher’s Note: The statements, opinions and data contained in all publications are solely those of the individual author(s) and contributor(s) and not of MDPI and/or the editor(s). MDPI and/or the editor(s) disclaim responsibility for any injury to people or property resulting from any ideas, methods, instructions or products referred to in the content. |
© 2024 by the authors. Licensee MDPI, Basel, Switzerland. This article is an open access article distributed under the terms and conditions of the Creative Commons Attribution (CC BY) license (https://creativecommons.org/licenses/by/4.0/).
Share and Cite
Cassadó-Valls, P.; Enjuanes, C.; Anguita, M.; Formiga, F.; Almenar, L.; Crespo-Leiro, M.G.; Manzano, L.; Muñiz, J.; Chaves, J.; Hidalgo, E.; et al. No Obesity Paradox for Health-Related Quality of Life in Patients with Heart Failure and Reduced Ejection Fraction: Insights from the VIDA Multicenter Study. J. Clin. Med. 2024, 13, 7558. https://doi.org/10.3390/jcm13247558
Cassadó-Valls P, Enjuanes C, Anguita M, Formiga F, Almenar L, Crespo-Leiro MG, Manzano L, Muñiz J, Chaves J, Hidalgo E, et al. No Obesity Paradox for Health-Related Quality of Life in Patients with Heart Failure and Reduced Ejection Fraction: Insights from the VIDA Multicenter Study. Journal of Clinical Medicine. 2024; 13(24):7558. https://doi.org/10.3390/jcm13247558
Chicago/Turabian StyleCassadó-Valls, Paula, Cristina Enjuanes, Manuel Anguita, Francesc Formiga, Luis Almenar, María G. Crespo-Leiro, Luis Manzano, Javier Muñiz, José Chaves, Encarna Hidalgo, and et al. 2024. "No Obesity Paradox for Health-Related Quality of Life in Patients with Heart Failure and Reduced Ejection Fraction: Insights from the VIDA Multicenter Study" Journal of Clinical Medicine 13, no. 24: 7558. https://doi.org/10.3390/jcm13247558
APA StyleCassadó-Valls, P., Enjuanes, C., Anguita, M., Formiga, F., Almenar, L., Crespo-Leiro, M. G., Manzano, L., Muñiz, J., Chaves, J., Hidalgo, E., Ramos-Polo, R., Yun, S., José-Bazán, N., Moliner, P., & Comín-Colet, J. (2024). No Obesity Paradox for Health-Related Quality of Life in Patients with Heart Failure and Reduced Ejection Fraction: Insights from the VIDA Multicenter Study. Journal of Clinical Medicine, 13(24), 7558. https://doi.org/10.3390/jcm13247558

