Sepsis-Associated Acute Kidney Injury in Critically Ill Children: Incidence and Outcomes
Abstract
1. Introduction
2. Subject and Methods
2.1. Data Collection
2.2. Inclusion and Exclusion Criteria
2.3. Definitions
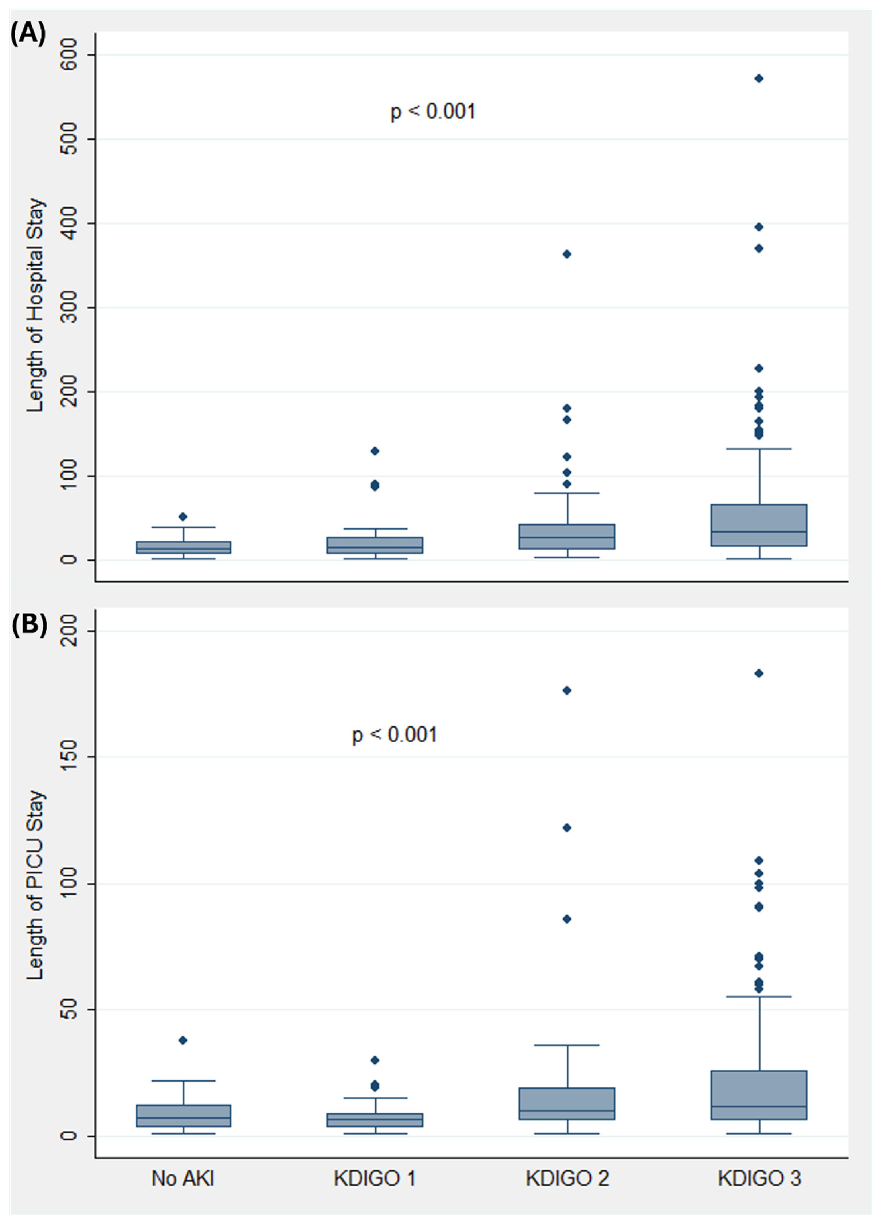
2.4. Outcome Measures
3. Results
4. Discussion
5. Conclusions
Limitations of Study
Author Contributions
Funding
Institutional Review Board Statement
Informed Consent Statement
Data Availability Statement
Acknowledgments
Conflicts of Interest
References
- Khwaja, A. KDIGO clinical practice guidelines for acute kidney injury. Nephron Clin. Pract. 2012, 120, c179–c184. [Google Scholar] [CrossRef] [PubMed]
- Luo, X.; Jiang, L.; Du, B.; Wen, Y.; Wang, M.; Xi, X.; Beijing Acute Kidney Injury Trial (BAKIT) Workgroup. A comparison of different diagnostic criteria of acute kidney injury in critically ill patients. Crit. Care 2014, 18, R144. [Google Scholar] [CrossRef] [PubMed]
- Kaddourah, A.; Basu, R.K.; Bagshaw, S.M.; Goldstein, S.L. Epidemiology of Acute Kidney Injury in Critically Ill Children and Young Adults. N. Engl. J. Med. 2017, 376, 11–20. [Google Scholar] [CrossRef] [PubMed]
- Sanchez-Pinto, L.N.; Goldstein, S.L.; Schneider, J.B.; Khemani, R.G. Association Between Progression and Improvement of Acute Kidney Injury and Mortality in Critically Ill Children. Pediatr. Crit. Care Med. 2015, 16, 703–710. [Google Scholar] [CrossRef]
- Bunchman, T.E. Treatment of acute kidney injury in children: From conservative management to renal replacement therapy. Nat. Clin. Pract. Nephrol. 2008, 4, 510–514. [Google Scholar] [CrossRef]
- Palmieri, T.; Lavrentieva, A.; Greenhalgh, D. An assessment of acute kidney injury with modified RIFLE criteria in pediatric patients with severe burns. Intensive Care Med. 2009, 35, 2125–2129. [Google Scholar] [CrossRef]
- Vachvanichsanong, P.; McNeil, E.; Dissaneevate, S.; Dissaneewate, P.; Chanvitan, P.; Janjindamai, W. Neonatal acute kidney injury in a tertiary center in a developing country. Nephrol. Dial. Transplant. 2012, 27, 973–977. [Google Scholar] [CrossRef]
- Bagshaw, S.M.; George, C.; Bellomo, R. Early acute kidney injury and sepsis: A multicentre evaluation. Crit. Care 2008, 12, R47. [Google Scholar] [CrossRef]
- Fitzgerald, J.C.; Basu, R.K.; Akcan-Arikan, A.; Izquierdo, L.M.; Olave, B.E.P.; Hassinger, A.B.; Szczepanska, M.; Deep, A.; Williams, D.; Sapru, A.; et al. Acute Kidney Injury in Pediatric Severe Sepsis: An Independent Risk Factor for Death and New Disability. Crit. Care Med. 2016, 44, 2241–2250. [Google Scholar] [CrossRef]
- Plötz, F.B.; Hulst, H.E.; Twisk, J.W.R.; Bökenkamp, A.; Markhorst, D.G.; van Wijk, J.A.E. Effect of acute renal failure on outcome in children with severe septic shock. Pediatr. Nephrol. 2005, 20, 1177–1181. [Google Scholar] [CrossRef]
- Henning, D.J.; Puskarich, M.A.; Self, W.H.; Howell, M.D.; Donnino, M.W.; Yealy, D.M.; Jones, A.E.; Shapiro, N.I. An Emergency Department Validation of the SEP-3 Sepsis and Septic Shock Definitions and Comparison with 1992 Consensus Definitions. Ann. Emerg. Med. 2017, 70, 544–552.e5. [Google Scholar] [CrossRef] [PubMed] [PubMed Central]
- Fani, F.; Regolisti, G.; Delsante, M.; Cantaluppi, V.; Castellano, G.; Gesualdo, L.; Villa, G.; Fiaccadori, E. Recent advances in the pathogenetic mechanisms of sepsis-associated acute kidney injury. J. Nephrol. 2018, 31, 351–359. [Google Scholar] [CrossRef] [PubMed]
- de Oliveira, C.F.; de Oliveira, D.S.F.; Gottschald, A.F.C.; Moura, J.D.G.; Costa, G.A.; Ventura, A.C.; Fernandes, J.C.; Vaz, F.A.C.; Carcillo, J.A.; Rivers, E.P.; et al. ACCM/PALS haemodynamic support guidelines for paediatric septic shock: An outcomes comparison with and without monitoring central venous oxygen saturation. Intensive Care Med. 2008, 34, 1065–1075. [Google Scholar] [CrossRef] [PubMed]
- Goldstein, S.L.; Basu, R.K.; Kaddourah, A. Acute Kidney Injury in Critically Ill Children and Young Adults. N. Engl. J. Med. 2017, 376, 1295–1296. [Google Scholar]
- Fan, C.; Ding, X.; Song, Y. A new prediction model for acute kidney injury in patients with sepsis. Ann. Palliat. Med. 2021, 10, 1772–1778. [Google Scholar] [CrossRef]
- Yang, S.; Su, T.; Huang, L.; Feng, L.-H.; Liao, T. A novel risk-predicted nomogram for sepsis associated-acute kidney injury among critically ill patients. BMC Nephrol. 2021, 22, 173. [Google Scholar] [CrossRef]
- Dong, J.; Feng, T.; Thapa-Chhetry, B.; Cho, B.G.; Shum, T.; Inwald, D.P.; Newth, C.J.L.; Vaidya, V.U. Machine learning model for early prediction of acute kidney injury (AKI) in pediatric critical care. Crit. Care 2021, 25, 288. [Google Scholar] [CrossRef]
- Schwartz, G.J.; Work, D.F. Measurement and estimation of GFR in children and adolescents. Clin. J. Am. Soc. Nephrol. 2009, 4, 1832–1843. [Google Scholar] [CrossRef]
- Goldstein, S.L. Urine Output Assessment in Acute Kidney Injury: The Cheapest and Most Impactful Biomarker. Front. Pediatr. 2020, 7, 565. [Google Scholar] [CrossRef] [PubMed] [PubMed Central]
- Zappitelli, M.; Parikh, C.R.; Akcan-Arikan, A.; Washburn, K.K.; Moffett, B.S.; Goldstein, S.L. Ascertainment and epidemiology of acute kidney injury varies with definition interpretation. Clin. J. Am. Soc. Nephrol. 2008, 3, 948–954. [Google Scholar] [CrossRef]
- Bone, R.C.; Balk, R.A.; Cerra, F.B.; Dellinger, R.P.; Fein, A.M.; Knaus, W.A.; Schein, R.M.H.; Sibbald, W.J. Definitions for sepsis and organ failure and guidelines for the use of innovative therapies in sepsis. The ACCP/SCCM Consensus Conference Committee. American College of Chest Physicians/Society of Critical Care Medicine. Chest 1992, 101, 1644–1655. [Google Scholar] [CrossRef] [PubMed]
- Vincent, J.L.; Moreno, R.; Takala, J.; Willatts, S.; De Mendonça, A.; Bruining, H.; Reinhart, C.K.; Suter, P.M.; Thijs, L.G. The SOFA (Sepsis-related Organ Failure Assessment) score to describe organ dysfunction/failure: On behalf of the Working Group on Sepsis-Related Problems of the European Society of Intensive Care Medicine. Intensive Care Med. 1996, 22, 707–710. [Google Scholar] [CrossRef] [PubMed]
- Basalely, A.; Menon, S. Sepsis and AKI: A Two-Way Street. Kidney360 2023, 4, 289–290. [Google Scholar] [CrossRef] [PubMed]
- Program to Improve Care in Acute Renal Disease (PICARD) Study Group; Mehta, R.L.; Bouchard, J.; Soroko, S.B.; Ikizler, T.A.; Paganini, E.P.; Chertow, G.M.; Himmelfarb, J. Sepsis as a cause and consequence of acute kidney injury: Program to Improve Care in Acute Renal Disease. Intensive Care Med. 2011, 37, 241–248. [Google Scholar] [CrossRef]
- Formeck, C.L.; Joyce, E.L.; Fuhrman, D.Y.D.; Kellum, J.A.M. Association of Acute Kidney Injury With Subsequent Sepsis in Critically Ill Children. Pediatr. Crit. Care Med. 2021, 22, e58–e66. [Google Scholar] [CrossRef]
- Yuniar, I.; Hafifah, C.N.; Adilla, S.F.; Shadrina, A.N.; Darmawan, A.C.; Nasution, K.; Ranakusuma, R.W.; Safitri, E.D. Prognostic factors and models to predict pediatric sepsis mortality: A scoping review. Front. Pediatr. 2022, 10, 1022110. [Google Scholar] [CrossRef]
- Aulia, M.; Triratna, S.; Iriani, Y.; Bakri, A.; Saputra, I. Pediatric SOFA score for detecting sepsis in children. Paediatr. Indones. 2021, 61, 1–7. [Google Scholar] [CrossRef]
- Matics, T.J.; Sanchez-Pinto, L.N. Adaptation and Validation of a Pediatric Sequential Organ Failure Assessment Score and Evaluation of the Sepsis-3 Definitions in Critically Ill Children. JAMA Pediatr. 2017, 171, e172352. [Google Scholar] [CrossRef]
- Starr, M.C.; Banks, R.; Reeder, R.W.; Fitzgerald, J.C.; Pollack, M.M.; Meert, K.L.; McQuillen, P.S.; Mourani, P.M.; Chima, R.S.; Sorenson, S.; et al. Severe Acute Kidney Injury Is Associated With Increased Risk of Death and New Morbidity After Pediatric Septic Shock. Pediatr. Crit. Care Med. 2020, 21, e686–e695. [Google Scholar] [CrossRef]
- Kari, J.A. Epidemiology of acute kidney injury in critically ill children living in the Kingdom of Saudi Arabia. Asian J. Pediatr. Nephrol. 2018, 1, 52–55. [Google Scholar] [CrossRef]
- Kari, J.A.; Alhasan, K.A.; Shalaby, M.A.; Khathlan, N.; Safdar, O.Y.; Al Rezgan, S.A.; El Desoky, S.; Albanna, A.S. Outcome of pediatric acute kidney injury: A multicenter prospective cohort study. Pediatr. Nephrol. 2018, 33, 335–340. [Google Scholar] [CrossRef]
- Kari, J.A.; A Shalaby, M.; Albanna, A.S.; Alahmadi, T.S.; Alherbish, A.; A Alhasan, K. Acute kidney injury in children with COVID-19: A retrospective study. BMC Nephrol. 2021, 22, 202. [Google Scholar] [CrossRef] [PubMed]
- Tang, Y.; Mak, S.K.; Xu, A.P.; Lan, H.Y. Role of C-reactive protein in the pathogenesis of acute kidney injury. Nephrology 2018, 23 (Suppl. S4), 50–52. [Google Scholar] [CrossRef] [PubMed]
- Weiss, R.; Meersch, M.; Pavenstädt, H.J.; Zarbock, A. Acute Kidney Injury: A Frequently Underestimated Problem in Perioperative Medicine. Dtsch Arztebl Int. 2019, 116, 833–842. [Google Scholar] [CrossRef] [PubMed] [PubMed Central]
- Manrique-Caballero, C.L.; Del Rio-Pertuz, G.; Gomez, H. Sepsis-associated acute kidney injury. Semin. Nephrol. 2015, 35, 2–11. [Google Scholar] [CrossRef] [PubMed]
- Aygun, F. Prognosis and early prediction of acute kidney injury in critically ill children. Nephro-Urol. Mon. 2018, 10. [Google Scholar] [CrossRef]
- Zhang, R.; Huang, H.; Lu, S.; Chen, J.; Pi, D.; Dang, H.; Liu, C.; Xu, F.; Fu, Y.-Q. Relationship between thrombocytopenia and prognosis in children with septic shock: A retrospective cohort study. Platelets 2024, 35, 2363242. [Google Scholar] [CrossRef]
- Riyuzo, M.C.; Silveira, L.V.D.A.; Macedo, C.S.; Fioretto, J.R. Predictive factors of mortality in pediatric patients with acute renal injury associated with sepsis. J. Pediatr. 2017, 93, 28–34. [Google Scholar] [CrossRef]
- Sayed, S.Z.; Mahmoud, M.M.; Moness, H.M.; Mousa, S.O. Admission platelet count and indices as predictors of outcome in children with severe Sepsis: A prospective hospital-based study. BMC Pediatr. 2020, 20, 387. [Google Scholar] [CrossRef]
- Ricci, Z.; Polito, A.; Ronco, C. The implications and management of septic acute kidney injury. Nat. Rev. Nephrol. 2011, 7, 218–225. [Google Scholar] [CrossRef]
- Weiss, S.L.; Balamuth, F.; Thurm, C.W.; Downes, K.J.; Fitzgerald, J.C.; Laskin, B.L. Major Adverse Kidney Events in Pediatric Sepsis. Clin. J. Am. Soc. Nephrol. 2019, 14, 664–672. [Google Scholar] [CrossRef] [PubMed]
- Mohamed, T.H.; Klamer, B.; Mahan, J.D.; Spencer, J.D.; Slaughter, J.L. Diuretic therapy and acute kidney injury in preterm neonates and infants. Pediatr. Nephrol. 2021, 36, 3981–3991. [Google Scholar] [CrossRef] [PubMed]
- Alhasan, K.; Raina, R.; Jamal, A.; Temsah, M. Combining human and AI could predict nephrologies future, but should be handled with care. Acta Paediatr. 2023, 112, 1844–1848. [Google Scholar] [CrossRef] [PubMed]
- Griffin, B.R.; Gist, K.M.; Faubel, S. Current status of novel biomarkers for the diagnosis of acute kidney injury: A historical perspective. J. Intensive Care Med. 2020, 35, 415–424. [Google Scholar] [CrossRef]





| Characteristics | No AKI | KDIGO 1 | KDIGO 2 | KDIGO 3 | p Value |
|---|---|---|---|---|---|
| Male Gender No. (%) | 13 (54.2) | 13 (34.2) | 35 (54.7) | 104 (56.8) | 0.088 # |
| Age in month, Mean (SD) | 52.9 (50.1) | 59.2 (51.9) | 51.3 (51.5) | 37.3 (44.4) | 0.019 |
| Median (IQR) | 48 (11–82) | 42 (10–108) | 22 (8–96) | 23 (5–60) | 0.020 |
| Fever No. (%) | 6 (25.0) | 13 (34.2) | 16 (25.0) | 56 (30.6) | 0.713 # |
| Respiratory distress No. (%) | 8 (33.3) | 12 (31.6) | 19 (29.7) | 35 (19.1) | 0.118 # |
| Neuromuscular symptoms No. (%) | 5 (20.8) | 4 (10.5) | 11 (17.2) | 23 (12.6) | 0.527 # |
| GI symptoms No. (%) | 2 (8.3) | 3 (7.9) | 2 (3.1) | 17 (9.3) | 0.424 * |
| BMI, Mean (SD) | 15.3 (5.0) | 16.3 (5.0) | 14.2 (4.3) | 14.8 (4.4) | 0.129 |
| Median (IQR) | 14.1 (13–15) | 15.8 (13–18) | 13.8 (11–17) | 14.4 (12–16) | 0.150 |
| Systolic BP, Mean (SD) | 125 (25) | 127 (20) | 124 (20) | 123 (18) | 0.600 |
| Median (IQR) | 121 (111–145) | 126 (113–138) | 124 (111–135) | 123 (111–132) | 0.573 |
| Diastolic BP, Mean (SD) | 82 (19) | 83 (17) | 80 (17) | 79 (17) | 0.592 |
| Median (IQR) | 78 (72–93) | 84 (72–94) | 86 (66–94) | 79 (66–91) | 0.554 |
| Hypoxia No. (%) | 2 (8.3) | 3 (7.9) | 7 (10.9) | 8 (4.4) | 0.205 * |
| Hypervolemia No. (%) | 1 (6.3) | 2 (8.0) | 6 (13.0) | 26 (20.5) | 0.288 * |
| Oliguria No. (%) | 0 | 0 | 4 (8.7) | 19 (15.1) | 0.057 * |
| 24 h UOP (mL/kg/h), Mean (SD) | 2.1 (1.0) | 2.0 (1.2) | 1.8 (1.1) | 2.1 (1.2) | 0.557 |
| Median (IQR) | 2.3 (1.1–2.8) | 1.7 (1.1–2.8) | 1.8 (1.1–2.4) | 1.2–2.7) | 0.449 |
| Anemia No. (%) | 17 (70.8) | 24 (63.2) | 53 (82.8) | 160 (87.4) | 0.002 # |
| TLC Mean (SD) | 16.2 (12.1) | 15.6 (7.7) | 21.1 (9.2) | 20.4 (12.5) | 0.114 |
| Median (IQR) | 14 (9.3–19) | 16 (9.5–22) | 18 (15–26) | 18 (14–25) | 0.049 |
| Neutrophil, Mean (SD) | 11.5 (9.9) | 11.3 (6.8) | 14.7 (7.1) | 12.9 (8.1) | 0.149 |
| Median (IQR) | 8 (6–14) | 11 (6–15) | 14 (10–18) | 12 (7–18) | 0.046 |
| Platelet, Mean (SD) | 392 (226) | 430 (170) | 372 (176) | 384 (244) | 0.621 |
| Median (IQR) | 365 (260–432) | 408 (326–501) | 391 (265–462) | 362 (213–515) | 0.343 |
| ESR Mean (SD) | 29.5 (27.8) | 47.2 (38.9) | 32.3 (26.5) | 37.8 (31.0) | 0.734 |
| Median (IQR) | 30 (4–54) | 36 (18–87) | 23 (13–49) | 32 (7–61) | 0.866 |
| CRP Mean (SD) | 57.3 (78.8) | 110 (105) | 77.7 (69.7) | 111 (91.7) | 0.011 |
| Median (IQR) | 19 (3–88) | 84 (17–152) | 51 (21–130) | 91 (37–162) | 0.005 |
| Baseline creatinine, Mean (SD) | 26.0 (10.5) | 26.3 (27.3) | 26.2 (48.2) | 13.9 (23.1) | 0.007 |
| Median (IQR) | 21 (19–33) | 21 (15–27) | 14 (12–21) | 8 (5–14) | <0.001 |
| Highest creatinine, Mean (SD) | 32.5 (13.5) | 45.2 (47.8) | 61.9 (111) | 95.3 (160) | 0.032 |
| Median (IQR) | 28 (24–42) | 34 (26–48) | 36 (27–50) | 47 (31–82) | <0.001 |
| RRT use No. (%) | 0 | 0 | 18 (28.1) | 65 (35.5) | <0.001 |
| Type of RRT No. (%) | 0.737 * | ||||
| Hemodialysis | 0 | 0 | 18 (100) | 59 (90.8) | |
| CRRT | 0 | 0 | 0 | 4 (6.2) | |
| Peritoneal dialysis | 0 | 0 | 0 | 1 (1.5) | |
| More than one modality | 0 | 0 | 0 | 1 (1.5) | |
| SOFA Score, Mean (SD) | 4.1 (2.9) | 5.2 (3.2) | 4.8 (3.0) | 7.1 (3.6) | <0.001 |
| Median (IQR) | 3.5 (2–6) | 5 (3–7) | 5 (3–6) | 7 (5–9) | <0.001 |
| Characteristics | Univariant Analysis OR (95% CI) | p Value | Multivariant Analysis OR (95% CI) | p Value |
|---|---|---|---|---|
| Age in month | 0.993 (0.988–0.998) | 0.003 | 0.990 (0.981–0.997) | 0.011 |
| Leukocytosis | 2.05 (1.02–4.10) | 0.043 | 2.17 (0.89–5.28) | 0.089 |
| Thrombocytopenia | 3.38 (1.24–9.18) | 0.017 | 1.02 (0.27–3.77) | 0.978 |
| +ve blood culture | 2.87 (1.79–4.60) | <0.001 | 2.2 (1.1–4.6) | 0.026 |
| +ve CSF culture | 5.96 (1.09–1.87) | 0.019 | Omitted * | - |
| Diuretics | 2.53 (1.55–4.14) | <0.001 | 0.81 (0.35–1.86) | 0.614 |
| Inotropic support | 3.11 (1.82–5.32) | <0.001 | 0.81 (0.65–3.68) | 0.351 |
| Amikacin | 2.65 (1.54–4.55) | <0.001 | 1.99 (0.93–4.56) | 0.077 |
| Gentamycin | 3.24 (1.55–6.77) | 0.002 | 2.89 (1.04–8.05) | 0.042 |
| Vancomycin | 2.79 (1.72–4.53) | <0.001 | 1.29 (0.64–2.59) | 0.474 |
| SOFA | 1.23 (1.12–1.34) | <0.001 | 1.22 (1.08–1.37) | 0.001 |
| Anemia | 2.37 (1.31–4.29) | 0.004 | 1.32 (0.37–4.69) | 0.665 |
Disclaimer/Publisher’s Note: The statements, opinions and data contained in all publications are solely those of the individual author(s) and contributor(s) and not of MDPI and/or the editor(s). MDPI and/or the editor(s) disclaim responsibility for any injury to people or property resulting from any ideas, methods, instructions or products referred to in the content. |
© 2024 by the authors. Licensee MDPI, Basel, Switzerland. This article is an open access article distributed under the terms and conditions of the Creative Commons Attribution (CC BY) license (https://creativecommons.org/licenses/by/4.0/).
Share and Cite
Shalaby, M.A.; Alhasan, K.A.; Sandokji, I.A.; Albanna, A.S.; Almukhtar, Z.; Elhaj, H.K.; Alwadai, K.; Bahassan, A.; Temsah, M.-H.; Raina, R.; et al. Sepsis-Associated Acute Kidney Injury in Critically Ill Children: Incidence and Outcomes. J. Clin. Med. 2024, 13, 6720. https://doi.org/10.3390/jcm13226720
Shalaby MA, Alhasan KA, Sandokji IA, Albanna AS, Almukhtar Z, Elhaj HK, Alwadai K, Bahassan A, Temsah M-H, Raina R, et al. Sepsis-Associated Acute Kidney Injury in Critically Ill Children: Incidence and Outcomes. Journal of Clinical Medicine. 2024; 13(22):6720. https://doi.org/10.3390/jcm13226720
Chicago/Turabian StyleShalaby, Mohammad A., Khalid A. Alhasan, Ibrahim A. Sandokji, Amr S. Albanna, Zahrah Almukhtar, Hind Khalifa Elhaj, Khaled Alwadai, Abdulaziz Bahassan, Mohamad-Hani Temsah, Rupesh Raina, and et al. 2024. "Sepsis-Associated Acute Kidney Injury in Critically Ill Children: Incidence and Outcomes" Journal of Clinical Medicine 13, no. 22: 6720. https://doi.org/10.3390/jcm13226720
APA StyleShalaby, M. A., Alhasan, K. A., Sandokji, I. A., Albanna, A. S., Almukhtar, Z., Elhaj, H. K., Alwadai, K., Bahassan, A., Temsah, M.-H., Raina, R., & Kari, J. A. (2024). Sepsis-Associated Acute Kidney Injury in Critically Ill Children: Incidence and Outcomes. Journal of Clinical Medicine, 13(22), 6720. https://doi.org/10.3390/jcm13226720

