The Geriatric Nutrition Risk Index Is Not a Prognostic Predictor for Postoperative Morbidity in Extremely Elderly Patients Undergoing Surgery for Proximal Femur Fractures
Abstract
1. Introduction
2. Materials and Methods
2.1. Ethical Considerations and Participants
2.2. Analyzing Variables
2.3. Statistical Analysis
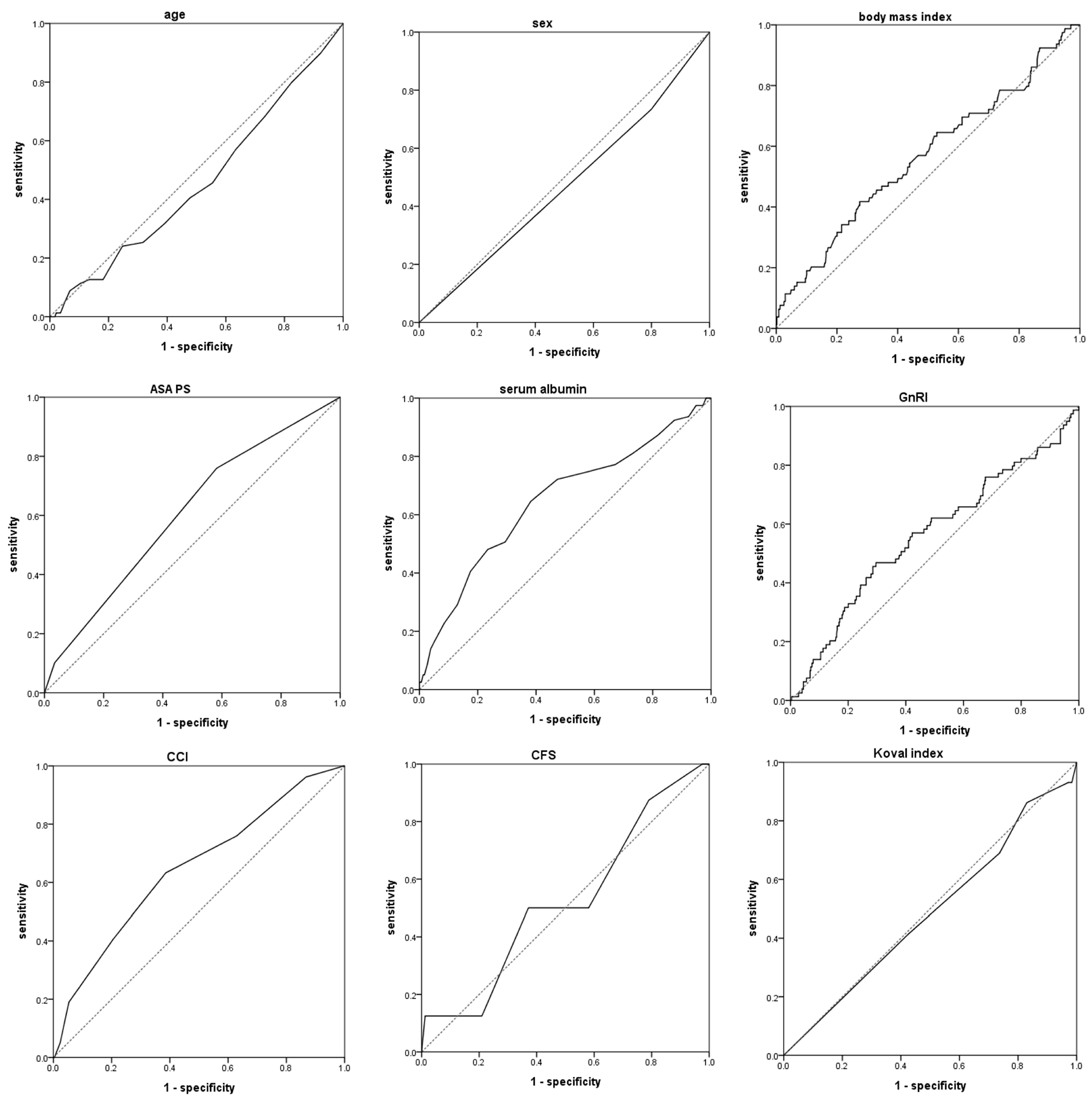
3. Results
4. Discussion
5. Conclusions
Author Contributions
Funding
Institutional Review Board Statement
Informed Consent Statement
Data Availability Statement
Conflicts of Interest
References
- Keene, G.S.; Parker, M.J. Mortality and morbidity after hip fractures. BMJ 1993, 307, 1248–1250. [Google Scholar] [CrossRef] [PubMed]
- Walter, N.; Szymski, D.; Kurtz, S.; Alt, V.; Lowenberg, D.W.; Lau, E.; Rupp, M. Factors associated with mortality after proximal femoral fracture. J. Orthop. Traumatol. Off. J. Ital. Soc. Orthop. Traumatol. 2023, 24, 31. [Google Scholar] [CrossRef]
- Narula, S.; Lawless, A.; D’Alessandro, P.; Jones, C.W.; Yates, P.; Seymour, H. Clinical Frailty Scale is a good predictor of mortality after proximal femur fracture: A cohort study of 30-day and one-year mortality. Bone Jt. Open 2020, 1, 443–449. [Google Scholar] [CrossRef]
- Fried, L.P.; Tangen, C.M.; Walston, J.; Newman, A.B.; Hirsch, C.; Gottdiener, J.; Seeman, T.; Tracy, R.; Kop, W.J.; Burke, G.; et al. Cardiovascular Health Study Collaborative Research Group. Frailty in older adults: Evidence for a phenotype. J. Gerontol. A. Biol. Sci. Med. Sci 2001, 56, M146–156. [Google Scholar] [CrossRef]
- Zhao, Y.; Lin, T.; Hou, L.; Zhang, M.; Peng, X.; Xie, D.; Gao, L.; Shu, X.; Yue, J.; Wu, C. Association between geriatric nutritional risk index and frailty in older hospitalized patients. Clin. Interv. Aging 2021, 16, 1241–1249. [Google Scholar] [CrossRef]
- Jia, Z.; El Moheb, M.; Nordestgaard, A.; Lee, J.M.; Meier, K.; Kongkaewpaisan, N.; Han, K.; El Hechi, M.W.; Mendoza, A.; King, D.; et al. The Geriatric Nutritional Risk Index is a powerful predictor of adverse outcome in the elderly emergency surgery patient. J. Trauma Acute Care Surg. 2020, 89, 397–404. [Google Scholar] [CrossRef] [PubMed]
- Huang, S.W.; Yin, S.M.; Hsieh, C.H. Association of a low geriatric nutritional risk index with higher adverse outcome in the elderly patients with fall injuries: Analysis of a propensity score-matched population. Risk Manag. Healthc. Policy 2021, 14, 1353–1361. [Google Scholar] [CrossRef] [PubMed]
- Kregel, H.R.; Murphy, P.B.; Attia, M.; Meyer, D.E.; Morris, R.S.; Onyema, E.C.; Adams, S.D.; Wade, C.E.; Harvin, J.A.; Kao, L.S.; et al. The Geriatric Nutritional Risk Index as a predictor of complications in geriatric trauma patients. J. Trauma Acute Care Surg. 2022, 93, 195–199. [Google Scholar] [CrossRef]
- Escourrou, E.; Laurent, S.; Leroux, J.; Oustric, S.; Gardette, V. The shift from old age to very old age: An analysis of the perception of aging among older people. BMC Prim. Care 2022, 23, 3. [Google Scholar] [CrossRef]
- Du Puy, R.S.; Poortvliet, R.K.E.; Snel, M.; den Elzen, W.P.J.; Ballieux, B.E.P.B.; Dekkers, O.M.; Mooijaart, S.P.; Gussekloo, J. Associations of elevated antithyroperoxidase antibodies with thyroid function, survival, functioning, and depressive symptoms in The oldest old: Leiden 85-Plus Study. Thyroid 2019, 29, 1201–1208. [Google Scholar] [CrossRef]
- Koval, K.J.; Skovron, M.L.; Aharonoff, G.B.; Meadows, S.E.; Zuckerman, J.D. Ambulatory ability after hip fracture. A prospective study in geriatric patients. Clin. Orthop. Relat. Res. 1995, 310, 150–159. [Google Scholar]
- Liu, H.T.; Wu, S.C.; Tsai, C.H.; Li, C.; Chou, S.E.; Su, W.T.; Hsu, S.Y.; Hsieh, C.H. Association between geriatric nutritional risk index and mortality in older trauma patients in the intensive care unit. Nutrients 2020, 12, 3861. [Google Scholar] [CrossRef]
- Alpantaki, K.; Papadaki, C.; Raptis, K.; Dretakis, K.; Samonis, G.; Koutserimpas, C. Gender and age fifferences in hip fracture types among elderly: A Retrospective cohort study. Maedica 2020, 15, 185–190. [Google Scholar] [CrossRef] [PubMed]
- Lee, J.; Lee, S.; Jang, S.; Ryu, O.H. Age-related changes in the prevalence of osteoporosis according to gender and skeletal site: The Korea national health and nutrition examination survey 2008–2010. Endocrinol. Metab. 2013, 28, 180–191. [Google Scholar] [CrossRef] [PubMed]
- Pan, J.; Xu, G.; Zhai, Z.; Sun, J.; Wang, Q.; Huang, X.; Guo, Y.; Lu, Q.; Mo, J.; Nong, Y.; et al. Geriatric nutritional risk index as a predictor for fragility fracture risk in elderly with type 2 diabetes mellitus: A 9-year ambispective longitudinal cohort study. Clin. Nutr. 2024, 43, 1125–1135. [Google Scholar] [CrossRef]
- Sharma, P.K.; Reddy, B.M.; Ganguly, E. Frailty Syndrome among oldest old Individuals, aged ≥80 years: Prevalence & Correlates. J. Frailty Sarcopenia Falls 2020, 5, 92–101. [Google Scholar]
- Wang, H.Y.; Lv, X.; Du, J.; Kong, G.; Zhang, L. Age and gender-specific prevalence of frailty and its outcomes in the longevous population: The Chinese longitudinal healthy longevity study. Front Med. 2021, 8, 719806. [Google Scholar] [CrossRef]
- Liu, T.; Chen, J.J.; Bai, X.J.; Zheng, G.S.; Gao, W. The effect of obesity on outcomes in trauma patients: A meta-analysis. Injury 2013, 44, 1145–1152. [Google Scholar] [CrossRef] [PubMed]
- McGee, A.; Levitt, E.B.; Prather, J.C.; Crowther, D.; McGwin, G.; Theiss, S.; Rajaram, S. Association of mortality and Charlson comorbidity index in surgical spinal trauma patients at a Level I academic center. J. Am Acad. Orthop. Surg. 2022, 30, 215–222. [Google Scholar] [CrossRef]
- Gabbe, B.J.; Magtengaard, K.; Hannaford, A.P.; Cameron, P.A. Is the Charlson comorbidity Index useful for predicting trauma outcomes? Acad. Emerg. Med. 2005, 12, 318–321. [Google Scholar] [CrossRef]
- Lai, K.Y.; Wu, T.H.; Liu, C.S.; Lin, C.H.; Lin, C.C.; Lai, M.M.; Lin, W.Y. Body mass index and albumin levels are prognostic factors for long-term survival in elders with limited performance status. Aging 2020, 12, 1104–1113. [Google Scholar] [CrossRef] [PubMed]
- Cromwell, P.M.; Reynolds, I.S.; Heneghan, H.M.; Glasgow, S.M. Obesity and outcomes in trauma—A systematic review and meta-analysis. Injury 2023, 54, 469–480. [Google Scholar] [CrossRef] [PubMed]
- Keller, U. Nutritional laboratory markers in malnutrition. J. Clin. Med. 2019, 8, 775. [Google Scholar] [CrossRef] [PubMed]
- Eckart, A.; Struja, T.; Kutz, A.; Baumgartner, A.; Baumgartner, T.; Zurfluh, S.; Neeser, O.; Huber, A.; Stanga, Z.; Mueller, B.; et al. Relationship of nutritional status, inflammation, and serum albumin levels during acute illness: A prospective study. Am. J. Med. 2020, 133, 713–722.e7. [Google Scholar] [CrossRef]
- Oster, H.S.; Dolev, Y.; Kehat, O.; Weis-Meilik, A.; Mittelman, M. Serum hypoalbuminemia is a long-term prognostic marker in medical hospitalized patients, irrespective of the underlying disease. J. Clin. Med. 2022, 11, 1207. [Google Scholar] [CrossRef]
- Akirov, A.; Masri-Iraqi, H.; Atamna, A.; Shimon, I. Low albumin levels are associated with mortality risk in hospitalized patients. Am. J. Med. 2017, 130, 1465.e11–1465.e19. [Google Scholar] [CrossRef]
- Kieffer, W.K.; Rennie, C.S.; Gandhe, A.J. Preoperative albumin as a predictor of one-year mortality in patients with fractured neck of femur. Ann. R. Coll. Surg. Engl. 2013, 95, 26–28. [Google Scholar] [CrossRef]
- Bernard, F.; Al-Tamimi, Y.Z.; Chatfield, D.; Lynch, A.G.; Matta, B.F.; Menon, D.K. Serum albumin level as a predictor of outcome in traumatic brain injury: Potential for treatment. J. Trauma 2008, 64, 872–875. [Google Scholar] [CrossRef]
- Shiyovich, A.; Bental, T.; Assali, A.; Vaknin-Assa, H.; Kornowski, R.; Perl, L. Changes over time in serum albumin levels predict outcomes following percutaneous coronary intervention. J. Cardiol. 2020, 75, 381–386. [Google Scholar] [CrossRef]
- Boz, G.; Uludag, K. Serum albumin trends in relation with prognosis of individuals receiving hemodialysis therapy. Cureus 2021, 13, e19958. [Google Scholar] [CrossRef]
- Li, P.; Li, J.; Lai, Y.; Wang, Y.; Wang, X.; Su, J.; Che, G. Perioperative changes of serum albumin are a predictor of postoperative pulmonary complications in lung cancer patients: A retrospective cohort study. J. Thorac. Dis. 2018, 10, 5755–5763. [Google Scholar] [CrossRef] [PubMed]
- Pape, M.; Giannakópoulos, G.F.; Zuidema, W.P.; de Lange-Klerk, E.S.M.; Toor, E.J.; Edwards, M.J.R.; Verhofstad, M.H.J.; Tromp, T.N.; van Lieshout, E.M.M.; Bloemers, F.W.; et al. Is there an association between female gender and outcome in severe trauma? A multi-center analysis in the Netherlands. Scand. J. Trauma Resusc. Emerg. Med. 2019, 27, 16. [Google Scholar] [CrossRef] [PubMed]
- Pandya, S.; Le, T.; Demissie, S.; Zaky, A.; Arjmand, S.; Patel, N.; Moko, L.; Garces, J.; Rivera, P.; Singer, K.; et al. The association of gender and mortality in geriatric trauma patients. Healthcare 2022, 10, 1472. [Google Scholar] [CrossRef] [PubMed]
- Djoussé, L.; Rothman, K.J.; Cupples, L.A.; Levy, D.; Ellison, R.C. Serum albumin and risk of myocardial infarction and all-cause mortality in the Framingham Offspring Study. Circulation 2002, 106, 2919–2924. [Google Scholar] [CrossRef] [PubMed]



| Overall n = 548 | Non-Morbidity n = 469 | Morbidity n = 79 | p-Value | |
|---|---|---|---|---|
| Age, years | 86 ± 4 | 86 ± 4 | 85 ± 4 | 0.238 |
| Sex, M/F | 115/433 | 94/375 | 21/58 | 0.183 |
| BMI, kg/m2 | 22 ± 4 | 22 ± 4 | 23 ± 4 | 0.032 |
| ASA PS, 2/3/4 | 215/309/24 | 196/257/16 | 19/52/8 | 0.001 |
| Serum albumin (g/dL) | 3.6 ± 0.5 | 3.7 ± 0.4 | 3.4 ± 0.5 | <0.001 |
| GnRI | 96 ± 10 | 96 ± 10 | 94 ± 11 | 0.226 |
| CCI | 6 (5–7) | 6 (5–7) | 7 (6–9) | <0.001 |
| CFS | 4 (3–5) | 4 (3–5) | 4 (3–5) | 0.714 |
| Koval index | 4 (3–5) | 4 (3–5) | 4 (3–5) | 0.620 |
| Postop hospital stay, days | 11.7 ± 7.6 | 10.4 ± 5.2 | 19.5 ± 13.2 | <0.001 |
| Major Morbidity (n = 79) | |
|---|---|
| Death | 22 (27.8) |
| Respiratory | 41 (51.9) |
| Cardiac | 15 (19.0) |
| Renal | 12 (15.2) |
| Gastrointestinal | 13 (16.5) |
| Cerebral | 6 (7.6) |
| Univariable | Multivariable | |||||
|---|---|---|---|---|---|---|
| OR | 95% CI | p-Value | OR | 95% CI | p-Value | |
| Age | 0.966 | 0.910–1.024 | 0.247 | |||
| Sex | 0.692 | 0.400–1.198 | 0.188 | |||
| BMI | 1.082 | 1.017–1.150 | 0.012 | 1.077 | 1.010–1.149 | 0.023 |
| ASA PS | 2.198 | 1.418–3.408 | <0.001 | 1.510 | 0.931–2.448 | 0.095 |
| Serum albumin | 0.318 | 0.189–0.535 | <0.001 | 0.389 | 0.223–0.678 | 0.001 |
| GnRI | 0.986 | 0.963–1.009 | 0.226 | |||
| CCI | 1.322 | 1.168–1.498 | <0.001 | 1.170 | 1.014–1.349 | 0.031 |
| CFS | 1.083 | 0.709–1.652 | 0.713 | |||
| Koval index | 0.926 | 0.685–1.252 | 0.619 | |||
| Univariable | Multivariable | |||||
|---|---|---|---|---|---|---|
| OR | 95% CI | p-Value | OR | 95% CI | p-Value | |
| Male | ||||||
| GnRI | 0.985 | 0.938–1.034 | 0.543 | |||
| CCI | 1.294 | 1.022–1.639 | 0.032 | 1.294 | 1.022–1.639 | 0.032 |
| Female | ||||||
| BMI | 1.115 | 1.040–1.196 | 0.002 | 1.113 | 1.031–1.202 | 0.006 |
| ASA PS | 2.421 | 1.463–4.008 | 0.001 | 1.675 | 0.950–2.951 | 0.074 |
| Serum albumin | 0.278 | 0.155–0.501 | <0.001 | 0.294 | 0.154–0.564 | <0.001 |
| GnRI | 0.988 | 0.962–1.015 | 0.395 | |||
| CCI | 1.305 | 1.128–1.510 | <0.001 | 1.104 | 0.927–1.315 | 0.268 |
Disclaimer/Publisher’s Note: The statements, opinions and data contained in all publications are solely those of the individual author(s) and contributor(s) and not of MDPI and/or the editor(s). MDPI and/or the editor(s) disclaim responsibility for any injury to people or property resulting from any ideas, methods, instructions or products referred to in the content. |
© 2024 by the authors. Licensee MDPI, Basel, Switzerland. This article is an open access article distributed under the terms and conditions of the Creative Commons Attribution (CC BY) license (https://creativecommons.org/licenses/by/4.0/).
Share and Cite
Choi, J.J.; Park, C.G.; Kim, J.W.; Jo, Y.Y. The Geriatric Nutrition Risk Index Is Not a Prognostic Predictor for Postoperative Morbidity in Extremely Elderly Patients Undergoing Surgery for Proximal Femur Fractures. J. Clin. Med. 2024, 13, 6333. https://doi.org/10.3390/jcm13216333
Choi JJ, Park CG, Kim JW, Jo YY. The Geriatric Nutrition Risk Index Is Not a Prognostic Predictor for Postoperative Morbidity in Extremely Elderly Patients Undergoing Surgery for Proximal Femur Fractures. Journal of Clinical Medicine. 2024; 13(21):6333. https://doi.org/10.3390/jcm13216333
Chicago/Turabian StyleChoi, Jung Ju, Chun Gon Park, Ji Woong Kim, and Youn Yi Jo. 2024. "The Geriatric Nutrition Risk Index Is Not a Prognostic Predictor for Postoperative Morbidity in Extremely Elderly Patients Undergoing Surgery for Proximal Femur Fractures" Journal of Clinical Medicine 13, no. 21: 6333. https://doi.org/10.3390/jcm13216333
APA StyleChoi, J. J., Park, C. G., Kim, J. W., & Jo, Y. Y. (2024). The Geriatric Nutrition Risk Index Is Not a Prognostic Predictor for Postoperative Morbidity in Extremely Elderly Patients Undergoing Surgery for Proximal Femur Fractures. Journal of Clinical Medicine, 13(21), 6333. https://doi.org/10.3390/jcm13216333

